Available Nutrients Can Accumulate in Permanent Skid Trails
Abstract
:1. Introduction
- How much biomass and associated Ca, K, Mg, and P are deposited on permanent skid trails through multiple thinnings?
- What fraction of the deposited nutrients is retained on the skid trails?
- What proportion of the remaining nutrients is found in the brash mat and mineral soil, and to what extent are they available?
- Would the accumulated nutrients change the nutrition state of trees adjacent to the skid trails?
2. Materials and Methods
2.1. Study Site
2.2. Field Design
2.2.1. Biomass
2.2.2. Forest Floor and Mineral Soil
2.3. Laboratory Analyses
2.4. Calculations
2.4.1. Biomass and Nutrient Redistribution
2.4.2. Forest Floor and Mineral Soil
2.4.3. Compaction and Roots
2.5. Statistics
3. Results
3.1. Biomass and Nutrient Redistribution
3.2. Total Nutrient Stocks
3.3. Available Nutrient Stocks
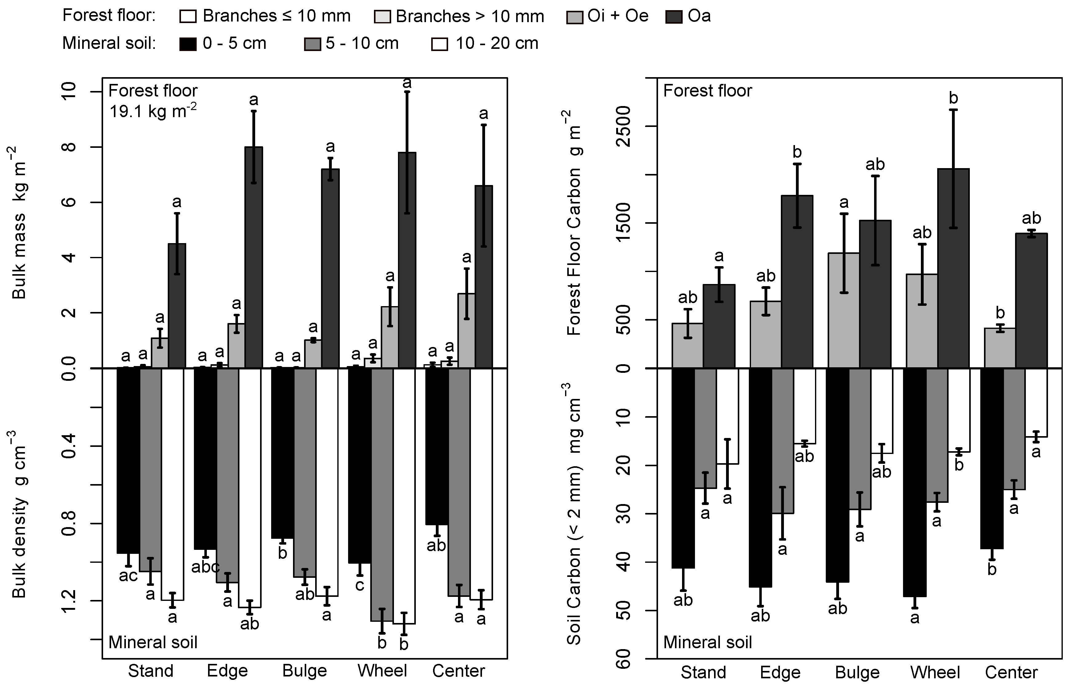
3.4. Forest Floor and Mineral Soil Properties
3.5. Needle Nutrient Concentrations
4. Discussion
- Accumulated nutrients were not needed due to sufficient nutrition.
- Accumulated nutrients were not available either physically or chemically.
5. Conclusions
Acknowledgments
Author Contributions
Conflicts of Interest
Abbreviations
| dGZ | Greman measure for mean total growth after 100 years (“durchsnittlicher Gesamtzuwachs im Alter 100”) |
| Br. >10 | Branches > 10 mm in diameter |
| Br. ≤10 | Branches ≤ 10 mm in diameter |
| LME models | Linear mixed effects models |
Appendix A. Equipment
References
- McDonald, T.P.; Seixas, F. Effect of slash on forwarder soil compaction. J. For. Eng. 1997, 8, 15–26. [Google Scholar]
- Han, H.S.; Page-Dumroese, D.; Han, S.K.; Tirocke, J. Effects of slash, machine passes, and soil moisture on penetration resistance in a cut-to-length harvesting. Int. J. For. Eng. 2006, 17, 11–24. [Google Scholar]
- Von Wilpert, K.; Schäffer, J. Ecological effects of soil compaction and initial recovery dynamics: A preliminary study. Eur. J. For. Res. 2006, 125, 129–138. [Google Scholar] [CrossRef]
- Contreras, M.A.; Parrott, D.L.; Chung, W. Designing skid-trail networks to reduce skidding cost and soil disturbance for ground-based timber harvesting operations. For. Sci. 2016, 62, 48–58. [Google Scholar] [CrossRef]
- Achat, D.L.; Deleuze, C.; Landmann, G.; Pousse, N.; Ranger, J.; Augusto, L. Quantifying consequences of removing harvesting residues on forest soils and tree growth—A meta-analysis. For. Ecol. Manag. 2015, 348, 124–141. [Google Scholar] [CrossRef]
- Palviainen, M.; Finér, L. Estimation of nutrient removals in stem-only and whole-tree harvesting of Scots pine, Norway spruce, and birch stands with generalized nutrient equations. Eur. J. For. Res. 2012, 131, 945–964. [Google Scholar] [CrossRef]
- Thiffault, E.; Hannam, K.D.; Paré, D.; Titus, B.D.; Hazlett, P.W.; Maynard, D.G.; Brais, S. Effects of forest biomass harvesting on soil productivity in boreal and temperate forests—A review. Environ. Rev. 2011, 19, 278–309. [Google Scholar] [CrossRef]
- Morris, L.A.; Pritchett, W.L.; Swindel, B.F. Displacement of nutrients into windrows during site preparation of a flatwood forest. Soil Sci. Soc. Am. J. 1983, 47, 591–594. [Google Scholar] [CrossRef]
- Asam, Z.-Z.; Nieminen, M.; O’Driscoll, C.; O’Connor, M.; Sarkkola, S.; Kaila, A.; Sana, A.; Rodgers, M.; Zhan, X.; Xiao, L. Export of phosphorus and nitrogen from lodgepole pine (Pinus contorta) brash windrows on harvested blanket peat forests. Ecol. Eng. 2014, 64, 161–170. [Google Scholar] [CrossRef]
- McCavour, M.J.; Paré, D.; Messier, C.; Thiffault, N.; Thiffault, E. The role of aggregated forest harvest residue in soil fertility, plant growth, and pollination services. Soil Sci. Soc. Am. J. 2014, 78, S196–S207. [Google Scholar] [CrossRef]
- Schäffer, J.; von Wilpert, K.; Kublin, E. Analysis of fine rooting below skid trails using linear and generalized additive models. Can. J. For. Res. 2009, 39, 2047–2058. [Google Scholar] [CrossRef]
- Cambi, M.; Certini, G.; Neri, F.; Marchi, E. The impact of heavy traffic on forest soils: A review. For. Ecol. Manag. 2015, 338, 124–138. [Google Scholar] [CrossRef]
- Stutz, K.P.; Schack-Kirchner, H.; Kändler, G.; Lang, F. Phosphorus in accumulated harvest residues on skid trails. For. Ecol. Manag. 2015, 356, 136–143. [Google Scholar] [CrossRef]
- Borchert, H.; Huber, C.; Göttlein, A.; Kremer, J. Nutrient concentration on skid trails under brush-mats—Is a redistribution of nutrients possible? Croatian J. For. Eng. 2015, 36, 243–252. [Google Scholar]
- IUSS Working Group WRB. World Reference Base for Soil Resources 2014. International Soil Classification System for Naming Soils and Creating Legends for Soil Maps; Number 106 in World Soil Resources Reports; FAO: Rome, Italy, 2014. [Google Scholar]
- Jochum, B.; (Landratsamt Biberach, Pflummern, Germany, Kreisforstamt, Forstrevier Riedlingen). Personal communication, 2017.
- Landesforstverwaltung Baden-Württemberg. Hilfstabellen für die Forsteinrichtung; Ministerium für Ländlichen Raum, Ernährung, Landwirtschaft und Forsten Baden-Württemberg: Stuttgart, Germany, 1993. (In German) [Google Scholar]
- Harmon, M.E.; Krankina, O.N.; Sexton, J. Decomposition vectors: A new approach to estimating woody detritus decomposition dynamics. Can. J. For. Res. 2000, 30, 76–84. [Google Scholar] [CrossRef]
- Vonderach, C. Biomassefunktionen an BWI-Punkten. In Abschlussbericht Projekt “Energieholzernte und Stoffliche Nachhaltigkeit in Deutschland”; von Wilpert, K., Puhlmann, H., Eds.; Project Report; Unpublished project report; 2017. (In German) [Google Scholar]
- Bock, R. Aufschlußmethoden der Anorganischen und Organischen Chemie; Verlag Chemie Weinheim: Weinheim, Germany, 1972. (In German) [Google Scholar]
- Gutachterausschuss Forstliche Analytik. Handbuch Forstliche Analytik: Eine Loseblatt-Sammlung der Analysemethoden im Forstbereich, 5th ed.; Bundesministerium für Verbraucherschutz, Ernährung und Landwirtschaft: Bonn, Germany, 2014. (In German) [Google Scholar]
- Dinno, A. Dunn.test: Dunn’s Test of Multiple Comparisons Using Rank Sums, R package version 1.3.2. 2016.
- R Core Team. R: A Language and Environment for Statistical Computing; R Foundation for Statistical Computing: Vienna, Austria, 2016. [Google Scholar]
- Göttlein, A. Ranges of threshold values for the nutritional assessment of the main tree species spruce, pine, oak and beech. Allg. Forst Jagdztg. 2015, 186, 110–116, (In German, with English abstract). [Google Scholar]
- Stutz, K.P.; Lang, F. Potentials and unknowns in managing coarse woody debris for soil functioning. Forests 2017, 8, 37. [Google Scholar] [CrossRef]
- Spiecker, H. Liming, nitrogen and phosphorus fertilization and the annual volume increment of Norway spruce stands on long-term permanent plots in Southwestern Germany. Fertil. Res. 1990, 27, 87–93. [Google Scholar] [CrossRef]
- Fransson, A.M.; Bergkvist, B. Phosphorus ferilisation causes durable enhancement of phosphorus concentrations in forest soil. For. Ecol. Manag. 2000, 130, 69–76. [Google Scholar] [CrossRef]
- Ebeling, C.; Fründ, H.C.; Lang, F.; Gaertig, T. Evidence for increased P availability on wheel tracks 10 to 40 years after forest machinery traffic. Geoderma 2017, 297, 61–69. [Google Scholar] [CrossRef]
- Gerke, J. Phytate (Inositol Hexakisphosphate) in soil and phosphate acquisition from inositol phosphates by higher plants. A review. Plants 2015, 4, 253–266. [Google Scholar] [CrossRef] [PubMed]
- Prietzel, J.; Harrington, G.; Häusler, W.; Heister, K.; Werner, F.; Klysubun, W. Reference spectra of important adsorbed organic and inorganic phosphate binding forms for soil P speciation using synchrotron-based K-edge XANES spectroscopy. J. Synchrotron Radiat. 2016, 23, 532–544. [Google Scholar] [CrossRef] [PubMed]
- Prietzel, J.; Klysubun, W.; Werner, F. Speciation of phosphorus in temperate zone forest soils as assessed by combined wet-chemical fractionation and XANES spectroscopy. J. Plant Nutr. Soil Sci. 2016, 179, 168–185. [Google Scholar] [CrossRef]
- Graf, E. Calcium binding to phytic acid. J. Agric. Food Chem. 1983, 31, 851–855. [Google Scholar] [CrossRef]
- Celi, L.; Lamacchia, S.; Barberis, E. Interaction of inositol phosphate with calcite. Nutr. Cycl. Agroecosyst. 2000, 57, 271–277. [Google Scholar] [CrossRef]
- Amer, F.; Mahmoud, A.A.; Sabet, V. Zeta potential and surface area of calcium carbonate as related to phosphate sorption. Soil Sci. Soc. Am. J. 1985, 49, 1137–1142. [Google Scholar] [CrossRef]
- Gerke, J. The acquisition of phosphate by higher plants: Effect of carboxylate release by the roots. A critical review. J. Plant Nutr. Soil Sci. 2015, 178, 351–364. [Google Scholar] [CrossRef]
- Jones, D.L. Organic acids in the rhizosphere—A critical review. Plant Soil 1998, 205, 25–44. [Google Scholar] [CrossRef]
- Fiorentino, I.; Fahey, T.J.; Groffman, P.M.; Driscoll, C.T.; Eagar, C.; Siccama, T.G. Initial responses of phosphorus biogeochemistry to calcium addition in a nothern hardwood forest ecosystem. Can. J. For. Res. 2003, 33, 1864–1873. [Google Scholar] [CrossRef]
- Lang, F.; Bauhus, J.; Frossard, E.; George, E.; Kaiser, K.; Kaupenjohann, M.; Krüger, J.; Matzner, E.; Polle, A.; Prietzel, J.; et al. Phosphorus in forest ecosystems: New insights from an ecosystem nutrition perspective. J. Plant Nutr. Soil Sci. 2016, 179, 129–135. [Google Scholar] [CrossRef]
- Plassard, C.; Dell, B. Phosphorus nutrition of mycorrhizal trees. Tree Physiol. 2010, 30, 1129–1139. [Google Scholar] [CrossRef] [PubMed]
- Cho, H.; Kim, M.; Tripathi, B.; Adams, J. Changes in soil fungal community structure with increasing disturbance frequency. Microb. Ecol. 2017, 74, 62–77. [Google Scholar] [CrossRef] [PubMed]
- Rosling, A.; Midgley, M.G.; Cheeke, T.; Urbina, H.; Fransson, P.; Phillips, R.P. Phosphorus cycling in deciduous forest soil differs between stands dominated by ecto- and arbuscular mycorrhizal trees. New Phytol. 2016, 209, 1184–1195. [Google Scholar] [CrossRef] [PubMed]
- Ebeling, C.; Lang, F.; Gaertig, T. Structural recovery in three selected forest soils after compaction by forest machines in Lower Saxony, Germany. For. Ecol. Manag. 2016, 359, 74–82. [Google Scholar] [CrossRef]






| Class | Description | Thinning Years | n |
|---|---|---|---|
| Class 1 | Sapwood solid, heartwood solid, minimal damage, bark intact | 2015 | 30 |
| Class 2 | Sapwood soft, heartwood solid, visible damage, bark partly intact | 2011, 2007–2008 | 64 |
| Class 3 | Sapwood soft, heartwood soft, heavy damage, bark missing | 2003–2004, 1996 | 99 |
| Fraction | Harvested (kg ha) | Proportion in Each Fraction (%) | Redistribution (%) | Stocks (g m) | ||||||
|---|---|---|---|---|---|---|---|---|---|---|
| Stem | Bark | Br. ≤7 cm | Needles | Removed | Stand | Skid Trail | Stand | Skid Trail | ||
| Biomass | 187,430 | 74.6 | 8.4 | 10.3 | 6.7 | 80.1 | 3.8 | 16.1 | 0.9 | 13.4 |
| Ca | 472.0 | 25.1 | 38.1 | 16.7 | 20.1 | 61.0 | 4.1 | 34.9 | 2.4 | 73.3 |
| K | 219.2 | 32.5 | 20.9 | 19.5 | 27.1 | 51.5 | 4.2 | 44.3 | 1.2 | 43.2 |
| Mg | 56.4 | 30.6 | 26.3 | 20.2 | 22.9 | 55.0 | 4.0 | 40.9 | 0.3 | 10.3 |
| P | 81.7 | 12.3 | 23.7 | 28.9 | 35.1 | 34.9 | 4.3 | 60.8 | 0.2 | 11.3 |
| Fraction | Fine Root Density (Forest Floor g m; Mineral Soil mg cm) | ||||
|---|---|---|---|---|---|
| Stand | Edge | Bulge | Wheel | Center | |
| Forest floor | 47 ± 25 | 52 ± 9 | 40 ± 7 | 41 ± 14 | 39 ± 14 |
| 0–5 cm | 0.50 ± 0.13 | 0.67 ± 0.11 | 0.61 ± 0.12 | 0.53 ± 0.12 | 0.54 ± 0.14 |
| 5–10 cm | 0.29 ± 0.14 | 0.40 ± 0.13 | 0.16 ± 0.08 | 0.17 ± 0.09 | 0.55 ± 0.18 |
| 10–20 cm | 0.23 ± 0.09 | 0.14 ± 0.06 | 0.13 ± 0.06 | 0.25 ± 0.13 | 0.19 ± 0.06 |
| Fraction (y) | Bulk Density (x; g cm) | Carbon Density (x; g cm) | ||||
|---|---|---|---|---|---|---|
| Formula | Adj. | p Value | Formula | Adj. | p Value | |
| Total stock (y; g cm) | ||||||
| Ca | 0.720 | <0.001 | 0.123 | <0.001 | ||
| K | 0.916 | <0.001 | 0.486 | <0.001 | ||
| Mg | 0.896 | <0.001 | 0.566 | <0.001 | ||
| P | - | - | >0.05 | 0.331 | <0.001 | |
| Available stock (y; g cm) | ||||||
| Ca | 0.090 | <0.05 | 0.273 | <0.001 | ||
| K | 0.113 | <0.01 | 0.403 | <0.001 | ||
| Mg | 0.105 | <0.01 | 0.290 | <0.001 | ||
| P | 0.037 | <0.05 | 0.331 | <0.001 | ||
© 2017 by the authors. Licensee MDPI, Basel, Switzerland. This article is an open access article distributed under the terms and conditions of the Creative Commons Attribution (CC BY) license (http://creativecommons.org/licenses/by/4.0/).
Share and Cite
Stutz, K.P.; Schack-Kirchner, H.; Kändler, G.; Landes, L.; Linz, M.; Warlo, H.; Lang, F. Available Nutrients Can Accumulate in Permanent Skid Trails. Forests 2017, 8, 358. https://doi.org/10.3390/f8100358
Stutz KP, Schack-Kirchner H, Kändler G, Landes L, Linz M, Warlo H, Lang F. Available Nutrients Can Accumulate in Permanent Skid Trails. Forests. 2017; 8(10):358. https://doi.org/10.3390/f8100358
Chicago/Turabian StyleStutz, Kenton P., Helmer Schack-Kirchner, Gerald Kändler, Lea Landes, Martin Linz, Hannes Warlo, and Friederike Lang. 2017. "Available Nutrients Can Accumulate in Permanent Skid Trails" Forests 8, no. 10: 358. https://doi.org/10.3390/f8100358
APA StyleStutz, K. P., Schack-Kirchner, H., Kändler, G., Landes, L., Linz, M., Warlo, H., & Lang, F. (2017). Available Nutrients Can Accumulate in Permanent Skid Trails. Forests, 8(10), 358. https://doi.org/10.3390/f8100358

