Quantifying Fire Cycle from Dendroecological Records Using Survival Analyses
Abstract
:1. Introduction
2. Materials and Methods
2.1. Theoretical Background
2.1.1. Time Intervals, Censoring and Truncation in the Context of FC Estimation Based on the TSF Dataset
2.1.2. Survival Analyses
2.1.3. Estimating FC Using Parametric Survival Models
2.1.4. Estimating FC Using Non-Parametric Models
2.2. Modeling Approach
2.2.1. Aging and Burning
2.2.2. Censoring and Sampling
2.2.3. Experimental Design
2.3. Analysis
2.3.1. Assessment of Accuracy and Precision of the Estimated FC
2.3.2. Case Study
2.3.3. Estimation of FC in the Case Study Area
3. Results
3.1. Empirical Fire Size Distribution
3.2. General Description of Simulation Dataset
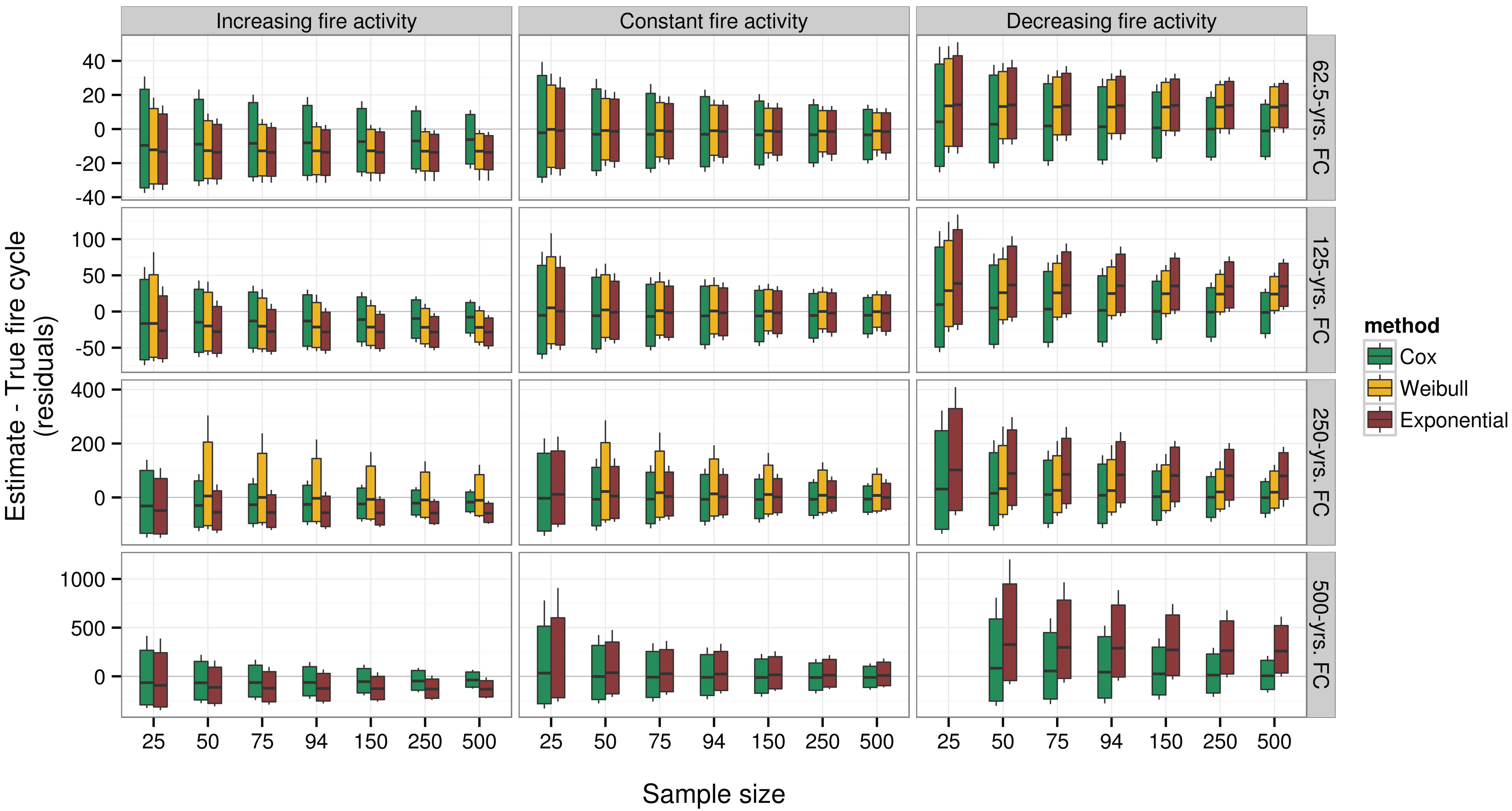
3.3. Accuracy and Precision of the Three Survival-Based Estimators of FC
3.4. Performance of the Non-Parametric CI95
3.5. Fire Cycle Estimation in the Case Study Area
4. Discussion
4.1. Assessment of Estimators and Their Reported CI
4.2. Estimation of the FC in the Study Area
4.3. Implications
5. Conclusions
Supplementary Materials
Acknowledgments
Author Contributions
Conflicts of Interest
Abbreviations
| CI95 | 95% confidence intervals |
| FC | Fire cycle |
| SA | Survival analyses |
| TSF | Time since fire |
References
- Perera, A.H.; Buse, L.J.; Weber, M.G. Emulating Natural Forest Landscape Disturbances; Columbia University Press: New York, NY, USA, 2004. [Google Scholar]
- Gauthier, S.; Vaillancourt, M.-A.; Leduc, A.; De Grandpré, L.; Kneeshaw, D.D.; Morin, H.; Drapeau, P.; Bergeron, Y. Ecosystem Management in the Boreal Forest; Les Presses de l’Université du Québec: Québec, QC, Canada, 2009. [Google Scholar]
- Hirsch, K.; Kafka, V.; Tymstra, C.; McAlpine, R.; Hawkes, B.; Stegehuis, H.; Quintilio, S.; Gauthier, S.; Peck, K. Fire-smart forest management: A pragmatic approach to sustainable forest management in fire-dominated ecosystems. For. Chron. 2001, 77, 357–363. [Google Scholar] [CrossRef]
- Armstrong, G. Sustainability of timber supply considering the risk of wildfire. For. Sci. 2004, 50, 626–639. [Google Scholar]
- Bureau du forestier en chef. Manuel de Détermination des Possibilités Forestière 2013–2018; Gouvernement du Québec: Roberval, QC, Canada, 2013. [Google Scholar]
- Leduc, A.; Bernier, P.Y.; Mansuy, N.; Raulier, F.; Gauthier, S.; Bergeron, Y. Using salvage logging and tolerance to risk to reduce the impact of forest fires on timber supply calculations. Can. J. For. Res. 2014, 45, 480–486. [Google Scholar] [CrossRef]
- Amiro, B.D.; Cantin, A.; Flannigan, M.D.; de Groot, W.J. Future emissions from Canadian boreal forest fires. Can. J. For. Res. 2009, 39, 383–395. [Google Scholar] [CrossRef]
- Johnson, E.A.; Gutsell, S.L. Fire frequency models, methods and interpretations. Adv. Ecol. Res. 1994, 25, 239–287. [Google Scholar]
- Bergeron, Y.; Gauthier, S.; Kafka, V.; Lefort, P.; Lesieur, D. Natural fire frequency for the eastern Canadian boreal forest: Consequences for sustainable forestry. Can. J. For. Res. 2001, 31, 384–391. [Google Scholar] [CrossRef]
- Lesieur, D.; Gauthier, S.; Bergeron, Y. Fire frequency and vegetation dynamics for the south-central boreal forest of Quebec, Canada. Can. J. For. Res. 2002, 32, 1996–2009. [Google Scholar] [CrossRef]
- Drever, C.R.; Messier, C.; Bergeron, Y.; Doyon, F. Fire and canopy species composition in the Great Lakes-St. Lawrence forest of Témiscamingue, Québec. For. Ecol. Manag. 2006, 231, 27–37. [Google Scholar] [CrossRef]
- Bergeron, Y.; Cyr, D.; Drever, C.R.; Flannigan, M.; Gauthier, S.; Kneeshaw, D.; Lauzon, È.; Leduc, A.; Le Goff, H.; Lesieur, D.; et al. Past, current, and future fire frequencies in Quebec’s commercial forests: Implications for the cumulative effects of harvesting and fire on age-class structure and natural disturbance-based management. Can. J. For. Res. 2006, 36, 2737–2744. [Google Scholar] [CrossRef]
- Cyr, D.; Gauthier, S.; Bergeron, Y. Scale-dependent determinants of heterogeneity in fire frequency in a coniferous boreal forest of eastern Canada. Landsc. Ecol. 2007, 22, 1325–1339. [Google Scholar] [CrossRef]
- Bélisle, A.C.; Gauthier, S.; Cyr, D.; Bergeron, Y.; Morin, H. Fire regime and old-growth boreal forests in central Quebec, Canada: An ecosystem management perspective. Silva. Fenn. 2011, 45, 889–908. [Google Scholar]
- Bergeron, Y.; Fenton, N.J. Boreal forests of eastern Canada revisited: Old growth, nonfire disturbances, forest succession, and biodiversity. Botany 2012, 90, 509–523. [Google Scholar] [CrossRef]
- Stocks, B.J.; Mason, J.A.; Todd, J.B.; Bosch, E.M.; Wotton, B.M.; Amiro, B.D.; Flannigan, M.D.; Hirsch, K.G.; Logan, K.A.; Martell, D.L.; et al. Large forest fires in Canada, 1959–1997. J. Geophys. Res. 2002, 107, 5-1–5-12. [Google Scholar] [CrossRef]
- Hosmer, D.W., Jr.; Lemeshow, S. Applied Survival Analysis-Regression Modeling of Time to Event Data; John Wiley & Sons, Inc.: New York, NY, USA, 1999. [Google Scholar]
- Lawless, J.F. Observation schemes, censoring, and likelihood. In Statistical Models and Methods for Lifetime Data, 2nd ed.; John Wiley & Sons, Inc.: New York, NY, USA, 2002; pp. 49–78. [Google Scholar]
- Allison, P.D. Survival Analysis Using SAS: A Practical Guide; SAS Institute Inc.: Cary, NC, USA, 2005. [Google Scholar]
- Moritz, M.A.; Moody, T.J.; Miles, L.J.; Smith, M.M.; de Valpine, P. The fire frequency analysis branch of the pyrostatistics tree: Sampling decisions and censoring in fire interval data. Environ. Ecol. Stat. 2009, 16, 271–289. [Google Scholar] [CrossRef]
- Reed, W.J. Estimating historical forest-fire frequencies from time-since-last-fire-sample data. Math. Med. Biol. 1997, 14, 71–83. [Google Scholar] [CrossRef]
- Bergeron, Y.; Flannigan, M.; Gauthier, S.; Leduc, A.; Lefort, P. Past, current and future fire frequency in the Canadian boreal forest: Implications for sustainable forest management. Ambio 2004, 33, 356–360. [Google Scholar] [CrossRef] [PubMed]
- Lauzon, È.; Kneeshaw, D.; Bergeron, Y. Reconstruction of fire history (1680–2003) in Gaspesian mixedwood boreal forests of eastern Canada. For. Ecol. Manag. 2007, 244, 41–49. [Google Scholar] [CrossRef]
- Senici, D.; Chen, H.Y.H.; Bergeron, Y.; Cyr, D. Spatiotemporal variations of fire frequency in central boreal forest. Ecosystems 2010, 13, 1227–1238. [Google Scholar] [CrossRef]
- Clark, J.S. Ecological disturbance as a renewal process: Theory and application to fire history. Oikos 1989, 56, 17–30. [Google Scholar] [CrossRef]
- Boychuk, D.; Perera, A.H. Modeling temporal variability of boreal landscape age-classes under different fire disturbance regimes and spatial scales. Can. J. For. Res. 1997, 27, 1083–1094. [Google Scholar] [CrossRef]
- Polakow, D.A.; Dunne, T.T. Modelling fire-return interval T: Stochasticity and censoring in the two-parameter Weibull model. Ecol. Model. 1999, 121, 79–102. [Google Scholar] [CrossRef]
- Polakow, D.A.; Dunne, T.T. Numerical recipes for disaster: Changing hazard and the stand-origin-map. For. Ecol. Manag. 2001, 147, 183–196. [Google Scholar] [CrossRef]
- Van Wagner, C.E. Age-class distribution and the forest fire cycle. Can. J. Restor. 1978, 8, 220–227. [Google Scholar] [CrossRef]
- Johnson, E.A. Fire recurrence in the subarctic and its implications for vegetation composition. Can. J. Bot. 1979, 57, 1374–1379. [Google Scholar] [CrossRef]
- Cox, D.R. Regression models and life-tables. J. R. Stat. Soc. Ser. B 1972, 34, 187–220. [Google Scholar]
- Moritz, M.A. Spatiotemporal analysis of controls on shrubland fire regimes: Age dependency and fire hazard. Ecology 2003, 84, 351–361. [Google Scholar] [CrossRef]
- Bergeron, Y. Species and stand dynamics in the mixed woods of Quebec’s southern boreal forest. Ecology 2000, 81, 1500–1516. [Google Scholar] [CrossRef]
- Gauthier, S.; Boucher, D.; Morissette, J.; De Grandpré, L. Fifty-seven years of composition change in the eastern boreal forest of Canada. J. Veg. Sci. 2010, 21, 772–785. [Google Scholar] [CrossRef]
- Reed, W.J.; Larsen, C.P.S.; Johnson, E.A.; MacDonald, G.M. Estimation of temporal variations in historical fire frequency from time-since-fire map data. For. Sci. 1998, 44, 465–475. [Google Scholar]
- Reed, W.J.; Johnson, E.A. Reply-reverse cumulative standing age distributions in fire-frequency analysis. Can. J. For. Res. 1999, 29, 1812–1815. [Google Scholar] [CrossRef]
- Therneau, T.M. Package ‘survival’. Available online: https://cran.r-project.org/web/packages/survival/survival.pdf (accessed on 21 April 2016).
- Bouchard, M.; Pothier, D.; Gauthier, S. Fire return intervals and tree species succession in the North Shore region of eastern Quebec. Can. J. For. Res. 2008, 38, 1621–1633. [Google Scholar] [CrossRef]
- Portier, J.; Gauthier, S.; Leduc, A.; Arseneault, D.; Bergeron, Y. Fire regime variability along a latitudinal gradient of continuous to discontinuous coniferous boreal forests in Eastern Canada. Ann. Stat. 1981, 9, 93–108. [Google Scholar]
- Armstrong, G.W. A stochastic characterisation of the natural disturbance regime of the boreal mixedwood forest with implications for sustainable forest management. Can. J. For. Res. 1999, 29, 424–433. [Google Scholar] [CrossRef]
- Cyr, D. Accuracy and precision of three survival-based methods for estimating fire cycle from dendroecological data. Available online: https://github.com/dcyr/survFire (accessed on 21 April 2016).
- Canty, A.; Ripley, B. boot: Boostrap functions. Available online: https://cran.r-project.org/web/packages/boot/index.html (accessed on 21 April 2016).
- Davison, A.C.; Hinkley, D.V. Bootstrap Methods and Their Application; Cambridge University Press: Cambridge, UK, 1997. [Google Scholar]
- Environment Canada. Climate normal and averages, 1981–2010. Available online: http://climate.weather.gc.ca/climate_normals/ (accessed on 3 January 2016).
- Robitaille, A.; Saucier, J. Paysages rÉgionaux du Québec Méridional; Les Publications du Québec: Sainte-Foy, QC, Canada, 1998. [Google Scholar]
- Arno, S.F.; Sneck, K.M. A Method for Determining Fire History in Coniferous Forests of the Mountain West; USDA Forest Service: Ogden, UT, USA, 1977. [Google Scholar]
- Cyr, D.; Gauthier, S.; Bergeron, Y. The influence of landscape-level heterogeneity in fire frequency on canopy composition in the boreal forest of eastern Canada. J. Veg. Sci. 2012, 23, 140–150. [Google Scholar] [CrossRef]
- Johnson, E.A.; Van Wagner, C.E. The theory and use of two fire history models. Can. J. For. Res. 1985, 15, 214–220. [Google Scholar] [CrossRef]
- Moritz, M.A.; Keeley, J.E.; Johnson, E.A.; Schaffner, A.A. Testing a basic assumption of shrubland fire management: How important is fuel age? Front. Ecol. Environ. 2004, 2, 67–72. [Google Scholar] [CrossRef]
- Héon, J.; Arseneault, D.; Parisien, M.-A. Resistance of the boreal forest to high burn rates. Proc. Natl. Acad. Sci. USA 2014, 111, 13888–13893. [Google Scholar]
- Schoenberg, F.F.P.; Peng, R.; Huang, Z.; Rundel, P. Detection of non-linearities in the dependence of burn area on fuel age and climatic variables. Int. J. Wildl. Fire 2003, 12, 1–6. [Google Scholar] [CrossRef]
- Terrier, A.; Girardin, M.P.; Périé, C.; Legendre, P.; Bergeron, Y. Potential changes in forest composition could reduce impacts of climate change on boreal wildfires. Ecol. Appl. 2013, 23, 21–35. [Google Scholar] [CrossRef] [PubMed]
- Girardin, M.P.; Ali, A.A.; Carcaillet, C.; Blarquez, O.; Hély, C.; Terrier, A.; Genries, A.; Bergeron, Y. Vegetation limits the impact of a warm climate on boreal wildfires. New Phytol. 2013, 199, 1001–1011. [Google Scholar] [CrossRef] [PubMed]
- Efron, B. Better bootstrap confidence intervals. J. Am. Stat. Assoc. 1987, 82, 171–185. [Google Scholar] [CrossRef]
- Hunter, M.L. Natural fire regimes as spatial models for managing boreal forests. Biol. Conserv. 1993, 65, 115–120. [Google Scholar] [CrossRef]
- Attiwill, P.M. The disturbance of forest ecosystems: the ecological basis for conservative management. For. Ecol. Manag. 1994, 63, 247–300. [Google Scholar] [CrossRef]
- Christensen, N.L.; Bartuska, A.M.; Brown, J.H.; Carpenter, S.; D’Antonio, C.; Francis, R.; Franklin, J.F.; MacMahon, J.A.; Noss, R.F.; Parsons, D.J.; et al. The report of the Ecological Society of America committee on the scientific basis for ecosystem management. Ecol. Appl. 1996, 6, 665–691. [Google Scholar] [CrossRef]
- Armstrong, G.; Adamowicz, W.; Beck, J. Coarse filter ecosystem management in a nonequilibrating forest. For. Sci. 2003, 49, 209–223. [Google Scholar]
- Jobidon, R.; Bergeron, Y.; Robitaille, A.; Raulier, F.; Gauthier, S.; Imbeau, L.; Saucier, J.-P.; Boudreault, C. A biophysical approach to delineate a northern limit to commercial forestry: The case of Quebec’s boreal forest. Can. J. For. Res. 2015, 45, 515–528. [Google Scholar] [CrossRef]
- Gauthier, S.; Lefort, P.; Bergeron, Y.; Drapeau, P. Time since Fire Map, Age-Class Distribution and Forest Dynamics in the Lake Abitibi Model Forest; Natural Resources Canada: Québec, QC, Canada, 2002. [Google Scholar]
- Metsaranta, J.M. Potentially limited detectability of short-term changes in boreal fire regimes: A simulation study. Int. J. Wildl. Fire 2010, 19, 1140–1146. [Google Scholar] [CrossRef]
- Kurz, W.A.; Stinson, G.; Rampley, G.J.; Dymond, C.C.; Neilson, E.T. Risk of natural disturbances makes future contribution of Canada’s forests to the global carbon cycle highly uncertain. Proc. Natl. Acad. Sci. USA 2008, 105, 1551–1555. [Google Scholar] [CrossRef] [PubMed]
- Cyr, D.; Bergeron, Y.; Gauthier, S.; Larouche, A.C. Are the old-growth forests of the Clay Belt part of a fire-regulated mosaic? Can. J. For. Res. 2005, 73, 65–73. [Google Scholar] [CrossRef]








| Total area/Pixel size of simulated landscape (ha) | 1,562,500 ha*/100 ha |
|---|---|
| Spatial resolution | 1 km |
| Simulation duration | 300 years |
| Fire size distribution | Log-normal (fit from empirical records) |
| Length of the FC (years, averaged over the entire simulation) | 62.5, 125, 250 and 500 years |
| Temporal trends in fire activity | Increasing, constant or decreasing |
| Number of independent simulation replications | 100 |
| Number of independent samples for each simulation | 100 |
| Simulated sampling effort (random points) | 25, 50, 75, 94*, 250 and 500 |
© 2016 by the authors; licensee MDPI, Basel, Switzerland. This article is an open access article distributed under the terms and conditions of the Creative Commons Attribution (CC-BY) license (http://creativecommons.org/licenses/by/4.0/).
Share and Cite
Cyr, D.; Gauthier, S.; Boulanger, Y.; Bergeron, Y. Quantifying Fire Cycle from Dendroecological Records Using Survival Analyses. Forests 2016, 7, 131. https://doi.org/10.3390/f7070131
Cyr D, Gauthier S, Boulanger Y, Bergeron Y. Quantifying Fire Cycle from Dendroecological Records Using Survival Analyses. Forests. 2016; 7(7):131. https://doi.org/10.3390/f7070131
Chicago/Turabian StyleCyr, Dominic, Sylvie Gauthier, Yan Boulanger, and Yves Bergeron. 2016. "Quantifying Fire Cycle from Dendroecological Records Using Survival Analyses" Forests 7, no. 7: 131. https://doi.org/10.3390/f7070131
APA StyleCyr, D., Gauthier, S., Boulanger, Y., & Bergeron, Y. (2016). Quantifying Fire Cycle from Dendroecological Records Using Survival Analyses. Forests, 7(7), 131. https://doi.org/10.3390/f7070131

