Abstract
Cloud forests harbor high levels of orchid diversity. However, due to the high fragmentation of these forests in the Andes, combined with the pressure for new agricultural land, orchid diversity is highly threatened. Despite this worrying scenario, few studies have assessed the effects of habitat loss specifically on orchid assemblages in the Andes. The aim of this study was to analyze the edge effect on orchids in cloud forest fragments of varying size. We measured forest structure, neighboring land cover and edge effect on orchid abundance, species richness and beta-diversity, by sampling assemblages along edge-to-interior transects in six different sized Andean (southwest Colombia) forest remnants. We recorded 11,127 stem-individuals of orchids in 141 species. Within the forest, edges sustained equal or more species than interior plots. Our results revealed neither patch metrics nor forest structure showed any significant association to orchid diversity at any scale. Nonetheless, from our observations in composition, the type of neighboring cover, particularly pastures, negatively influences interior species (richness and composition) in larger reserves. This might be due to the fact that some species found in interior plots tend to be confined, with sporadic appearances in regeneration forest and are very scarce or absent in pastures. Species richness differed significantly between matrix types. Our results suggest that (1) orchid diversity shows spatial variability in response to disturbances, but the response is independent from forest structure, patch size and patch geometry; (2) orchid communities are negatively affected by covers, and this pattern is reflected in reduced richness and high species turnover; (3) orchid richness edge effect across a pasture-interior gradient. Two forest management implications can be discerned from our results: (1) management strategies aiming to reduce edge effects may focus on improvement regeneration conditions around pasture lands; and (2) local scale management and conservation activities of natural forests in cloud forests will favor small reserves that harbor high levels of richness.
1. Introduction
Cloud forests (CF) are ecosystems frequently covered by clouds, with low evaporation rates, high plant-mediated condensation [1,2] and a closed canopy harboring a large amount of epiphytes [3]. This type of ecosystem has been recognized as one of the main speciation sites as well as one of the most diverse regions in the world [4]. The CF world surface area consists of ca. 215,000 km2 [5], constituting an average 6.6% of the world’s tropical forests [6]. CF forests have scarce continuous vegetation cover and their restricted distribution makes them sensitive to isolation owing to the deforestation processes in recent years [7]. Since the 1990s, CF ecosystems have been classified amongst the most threatened terrestrial ecosystems [6], showing a deforestation rate during 1981–1990 much higher than that of lowland woods (1.1% vs. 0.8% yearly, respectively; [8]) causing a decrease in 19.3% of its original global cover [7], whilst a recent small scale study has shown a deforestation rate for 1986–2006 of 0.72% [9].
Human-modified landscapes are studied based on the patch-matrix model approach [10], where patches are embedded in an extensive homogeneous landcover called matrix [11]. The matrix that surrounds fragments acts as an environmental filter that influences richness, spatial patterns, and diversity [12]. This matrix might have even stronger influence on community structure than patch size and spatial configuration [13]. On top of that, the appearance of new edges may exert an influence on the dispersal of species and functional processes, and generates changes in community structure [14,15,16,17]. This so-called edge effect produces complex environmental gradients, including changes in light availability, temperature, humidity, wind speed, and soil moisture [17,18,19].
Epiphytes are one of the most sensitive biological groups to long-lasting and severe habitat alterations [20,21]. Several studies have shown that severe and long-lasting habitat alteration can result in a reduction in epiphyte species richness [22,23], and its recovery, following a disturbance, is very slow [24,25,26]. Epiphytic orchids are a particular group holding a high number of species with low occurrence and small populations with restricted distributions, a number of which are encountered in small and isolated remnants [27,28,29]. Orchids have been used as biological indicators of an ecosystem’s health [30], because some species have shown a strong response to local environmental disturbances [31,32,33] and climatic disruptions [34].
In Colombia, Mulligan and Burke [7] estimated a reduction of roughly one third of the original cover of CF (76.034 km2 of forest lost). Remaining patches are immersed in highly transformed, heterogeneous and fragmented areas, characterized by rarely continuous forest cover [35]. This habitat loss and fragmentation produce increasingly smaller and more isolated patches, embedded in a matrix of pasture and agricultural usages. The Andes are recognized as one of the most diverse ecosystems in the world, hosting ca. 77% (2542 out of 4270) of orchid species currently present in Colombia [36]. Despite the high orchid richness in the Andes, and the particularly sensitivity to local extinction events [29,36], no studies have quantified the effect of habitat loss in the sense of edge effect in combination with a matrix effect exclusively on orchid diversity. The aim of this study was to assess how habitat loss and fragmentation alter the diversity of orchid communities along the edge in remnants of cloud forest in Valle del Cauca, Colombia. We addressed three questions: (1) how is orchid diversity affected by patch area, patch geometry and forest structure? (2) Do neighboring cover types affect orchid alpha and beta diversity? and (3) is there an edge effect on orchid diversity?
2. Materials and Methods
2.1. Study Area
The study area consisted of six private reserves (Table 1, Figure 1) located in cloud forests in Valle del Cauca, Colombia: three sampled in the Western Cordillera (Cordillera Occidental) and three in the Central Cordillera (Cordillera Central). Reserves were selected on the basis of four criteria: (1) forest reserves with high frequency and persistence of clouds due to the lack of a cloud forest map for the study area, and to avoid any bias in the selection, we randomly preselected 12 candidate patches based on the “cloud forest potential cover model” of Mulligan and Burke [7]; (2) forest fragments with discrete edges, following Ewers and Didham [16] since discrete edges reduce the effect of ecotone conditions [16] and facilitated the perimeter digitizing process; (3) presence of two types of neighboring vegetation cover surrounding forest patches: regeneration (R), consisting of vegetation in early succession stage of low-density trees above 3 m, and pastures (P), characterized by grass-dominated areas, less than 50 cm in height (mainly species of Cyperaceae, Poacea and Fabaceae). We aimed to assess the effect of pastureland and abandoned zones, as these are one of the dominant cover types in the Colombian Andean region [37,38]; finally, (4) access permission, owing to their condition of reserves belonging to rural communities. We targeted these reserves because private reserves have been shown to play an important role in orchid conservation (e.g., [39]).
Table 1.
Location, surface area and perimeter of the cloud forest protected areas under study.
Figure 1.
Study area in Valle del Cauca state, red dots represent the studied reserves.
2.2. Sampling and Data Collection
We established three 200 m2 (4 × 50 m) sampling units (SU) in each of the six selected forest patches (for a total of 18 sampling units). One located in the centroid of the patch, denominated Interior (I), whereas the remaining two were randomly located at the boundary between the fragment and matrix cover, regeneration (R) and pasture (P) (Figure 2). Each SU was then subdivided in ten subunits of 5 × 4 m, starting 5 meters outside the forest edge (−5, 0, 5, 10, 15, 20, 25, 30, 35 and 40 m), where 0 was defined, according to Harper et al. [17], as the limit of the canopy in terms of continuity or composition.
Figure 2.
Scheme of the location of the sampling units in the patch, orchid and forest structure sampled method. Upper graph: representation of the distribution of the sampling units in each site. Lower graph: design of orchid inventory (above), and forest structure (below) within a sampling unit.
Sampling of orchids was done twice on each subunit during 8 months (January–September 2012) and an effort of 8 h/day, in the understory (≤2 m height). We defined an orchid individual as a plant with a completely independent and individual stem, leaf and floral peduncle, capable of producing offspring. Species determination was done based on flowering individuals following specialized literature and consultancy of botanist orchid experts. Unfertile individuals were kept under observation until flowering.
We calculated abundance, dominance [40], evenness [41], and the Shannon–Wiener index [42]. These metrics were chosen to assess orchid’s preference for a particular habitat (species abundance), community balance (dominance and evenness), and their interaction (Shannon–Wiener index). Beta-diversity was calculated following Baselga [43] as the Sorensen dissimilarity: βsor = βsim + βsne, where βsor is Sørensen dissimilarity, βsim is turnover component of Sørensen dissimilarity, and βsne is the nestedness component of the Sørensen dissimilarity. This index has been shown low sensitivity to high differences in species richness among samples [44].
Forest structure (FS) was recorded employing the ‘Point Centered-Quarter’ method of first order, where each established sampling point is considered the center of four quadrants in the area around (of 90°), and the closest tree to the point is measured [45]. We measured tree height and the diameter at breast height (DBH), on trees with a DBH ≥ 5 cm. From these variables, we computed basal area, density and canopy cover following Mitchell [46]. Tall trees and big trunks are positively correlated to high levels of epiphyte diversity, because these features reflects the time of a tree susceptible to be colonized [47,48], and for providing microsites for seed-landing [49], whilst, canopy cover works as a proxy of sunlight entrance that affects understory and terrestrial assemblages [50].
The spatial geometry of the patches for each one of the six selected reserves was measured. No satellite images or aerial photographs were used due to the frequent and dense cloud cover over the area. Therefore, we measured the perimeter of each patch by walking around them and collecting waypoints, using the track function of a GPS-Garmin GCSX60MAP. Subsequently, data was integrated into ArcGIS 9.3 [51]. Several metrics were measured at the patch level: one index of area to reflect the size (Class area, CA), three of shape to reflect the complexity of the shape of the fragments (Mean Shape Index, MSI; Mean Patch Fractal Dimension, MPFD; and Mean Patch Area Perimeter Ratio, MPAR) and two edge characteristics (Total Edge, TE and Edge Density, ED) following McGarigal et al. [52]. Metrics were calculated using Patch-Analysis 5 extension for vector calculation in ArcGIS 10.2 [53].
2.3. Data Analysis
Pearson correlation tests, at the plot level, were performed to assess the correlation of orchid richness, abundance and Shannon–Wiener index, with area, and the patch metrics (shape and edge). Orchid abundance and richness were the only square-root transformed variables in the analyses.
We carried out a generalized linear model (GLM), at the plot level, to evaluate the effect of neighboring vegetation cover types and forest structure upon orchid diversity. We modelled tree density, height, and DBH as continuous variables, and neighboring vegetation cover type as a categorical explanatory variable, against richness, abundance, dominance, Shannon–Weaver diversity and Pielou’s evenness, as response variables. Additionally, beta diversity was analyzed by comparing the similarity distance of species turnover (βSIM) and nestedness-resultant dissimilarity (βSNE). We aimed to find which component of beta-diversity ruled total beta-diversity (βSOR). A repeated measures analysis of variance ANOVA was fitted with a paired comparison of each interior sampled plot and the two neighboring vegetation types (interior vs. regeneration; interior vs. pasture) as categorical variable and the Sorensen dissimilarity index of beta diversity to test the overall effect of each cover in the beta-diversity component of orchids (Table 2).
Table 2.
Summary of the explanatory variables measured. Variables were classified broadly as those of patch geometry, forest structure, and neighboring cover type; variables are either continuous (CONT) or categorical (CAT).
To estimate edge effect on orchid diversity, we modeled richness and abundance against distance to the edge. Edge distance was used as a continuous variable and the neighboring cover type as a categorical one in GLM. The interior plot was located beyond the expected penetration distance of most empirically measured forest edge effects on diversity [54,55,56], so we used the average of richness and abundance of each interior plot (>100 m from the edge) as the most distant point from the edge. Finally, we plotted the fitted values in a 95% confidence interval, with edge penetration distance defined as the distance at which values exceeded the upper 95% confidence interval of forest interior values [55,57]. Models were performed using R version 3.2.3[58] and the packages “car” [59], “ggplot2” [60], and “betapart” for beta-diversity [61].
3. Results
We recorded data of 11,127 individuals belonging to 141 orchid species. The two reserves that harbored the highest richness were Dapa (52 spp./4030 individuals), and Yotoco (44 spp./3500 individuals). Forest structure was obtained from measurements taken from 720 trees. Fragments with higher canopy cover percentage presented also high density of individuals (Sevilla: 71.36% cover, 416 trees/ha; La Iberia: 86.75% cover, 357 trees/ha), while Roldanillo and Arenillo presented the highest basal area (79.66 m2/ha, and 77.53 m2/ha; respectively).
No significant linear correlation was obtained between richness, abundance or diversity metrics with either area, patch metrics or forest structure (N: 6, p > 0.05 in all cases; supplementary material 1).
The SUs Yotoco, Arenillo and Sevilla (the fragments with highest area) showed low alpha diversity in the pasture (Yotoco: 5 spp.; Arenillo: 3; Sevilla: 5.), together with the absence of many species from the interior (Yotoco: 40.9%; Arenillo: 56.2%; Sevilla: 44.1%). The most dramatic case was found in La Iberia, with the lowest species richness (10 spp.), all restricted to the interior. In contrast, in Dapa and Roldanillo, the smallest reserves, we found almost no difference among edges and interior areas in species composition (βSOR: Dapa 0.50, ± 0.03; and Roldanillo 0.47, ± 0.11) as well as a small number of species shared with the Interior (βSNE: 0.15, in both localities) (Figure 3).
Figure 3.
Orchid richness, abundance and beta diversity (βSOR) within three sampling units. Whiskers show the standard deviation from the mean.
Neither neighboring cover types nor forest structure (measured as forest density, height and DBH) influenced orchid diversity, evenness, richness, dominance or abundance (GLM tests; F < 2.0, p > 0.2 in all cases). The comparison of Sorensen dissimilarity index of beta diversity (βSOR) between interior plots and the two neighboring vegetation types showed significant differences between cover types (F = 39.4, p = 0.002), with pasture cover showing higher βSOR than regeneration cover (0.76 ± 0.27 versus 0.66 ± 0.17, respectively).
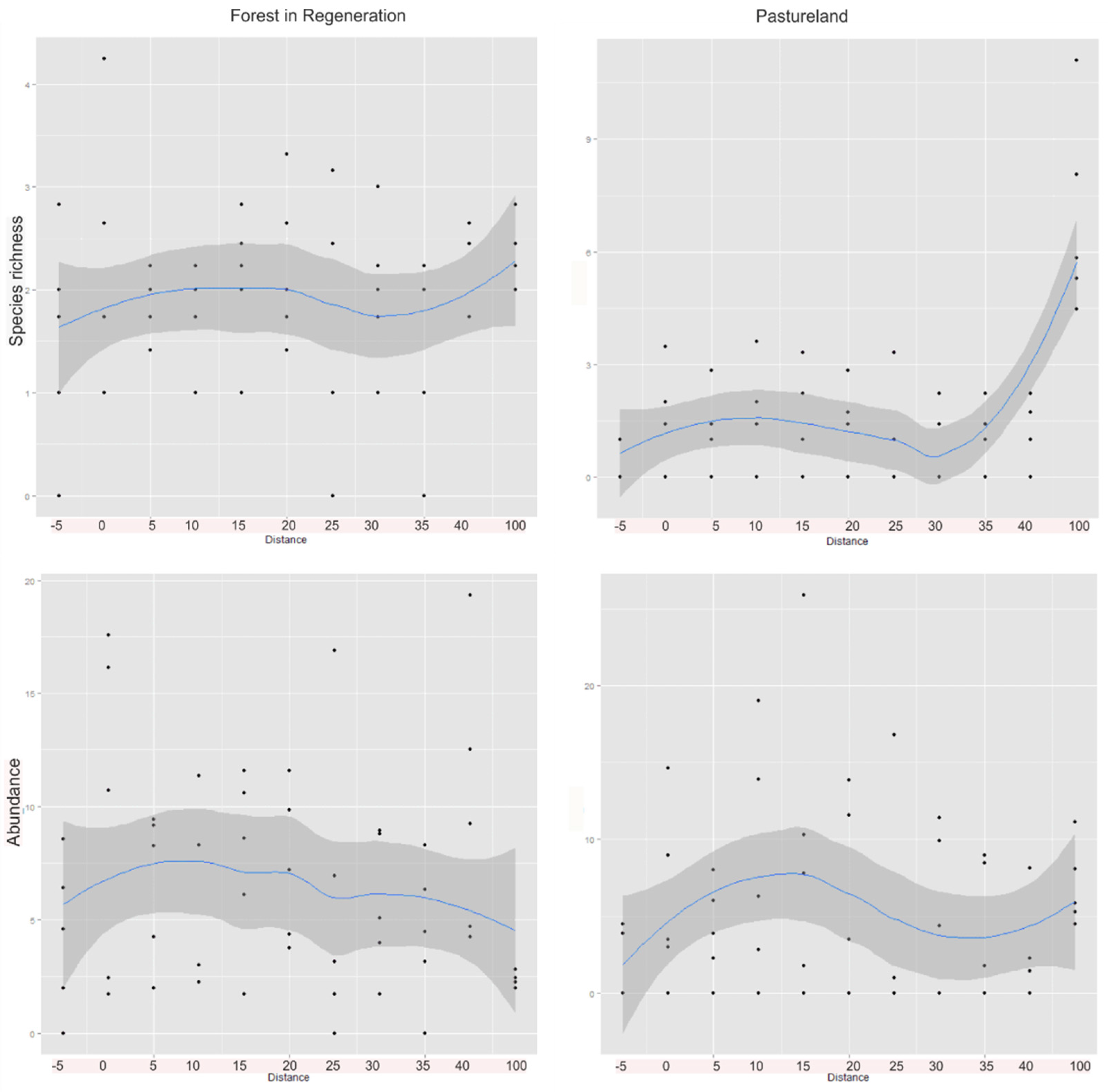
The effect of distance from the pasture edge on the richness was detectable up to 35 m inside the forest (Figure 4), whilst in regeneration transects the edge effect was not noticeable (Supplementary material 2). Nonetheless the GLMs did not show significant effects of the distance from the forest edge to the interior for either richness (F = 0.7, p = 0.682) or abundance (F = 1.9, p = 0.450). The effect of neighboring type was only significant for richness (F = 5.8, p = 0.018) but not for abundance (F = 0.1, p = 0.705), with regeneration showing higher richness than pasture (4.2 ± 0.5 and 2.5 ± 0.5, respectively). The interactions between both factors (distance and neighboring cover) were not significant for either abundance (F = 0.9, p = 0.552) or richness (F = 0.2, p = 0.988).
Figure 4.
The edge effect in richness of Andean orchids varies according to the type of cover of the neighboring matrix. The effect of distance (in meters) from the edge to the interior on richness (above), and abundance (below), with distance from edge plotted out in a linear scale. Black horizontal line represents means, and grey shades illustrate the calculation of edge penetration distance, confidence values of 95%.
4. Discussion
In our study, neither the area of the cloud forest fragments or the complexity of their shape affected orchid richness or abundance, conversely to the positive associations largely found of species richness and fragment size [18], and that edge effects have higher impacts in smaller fragment or complex edge shapes [18]. Therefore, orchid diversity might be linked to other factors such as endemicity [29] or species dispersal abilities [62].
Studies have suggested a positive relationship between epiphyte richness and forest structure [63,64]. However, in our study, forest structure did not explain orchid diversity. This is probably due to the low dissimilarity in forest structure parameters (density: CV = 0.41; basal area: CV = 0.45; cover: CV = 0.40) within fragments. A similar pattern in forest structure has been reported by Günter et al. [65] in Andean systems in Ecuador, where height, density, canopy cover (%), and basal area did not show any difference from the edge (0 m) to the interior (40 m). This pattern has been attributed to losses during seed dispersal and herbaceous plant competition in the recovery of tree structure after disturbance [65]. Thus, exploring alternative tree features, such as substratum availability [66], and functional traits in phorophytes [67] might be a more comprehensive approach of determining the small scale significance of phorophyte-epiphyte mechanisms that rule orchid distribution. For instance, Ruiz-Cordova et al. [66] experimentally demonstrated that substratum availability ruled the vertical stratification of epiphyte bromeliads over microclimatic conditions. In addition, Wagner et al. [67] found in their review that epiphyte species distribution, at tree scale, might respond to a phorophyte-epiphyte trait match, rather than species identity.
Regarding the effect of neighboring cover on alpha and beta diversity, the analyses did not show any effect of the neighboring cover type in richness, abundance and diversity metrics. Likewise, overall Beta-diversity did not present significant differences between neighboring cover types. However, when Beta-diversity is decomposing into its components (following Baselga [43]), species turnover was found to rule the community structure within fragments, meaning that high spatial replacement of species drives the structure of local communities, probably due to environmental sorting or historical constraints within each fragment [68]. In orchids, events of adaptive radiation and diversification have been suggested to be a result, among others, of historical constraints, such as natural fragmentation of montane habitats [69]. This fragmentation provides a plethora of microsites to be occupied for many congeners even at small geographical scale [29,70,71]. This might indicate that regardless the cover type, neighbors influence orchid communities. For instance, some species found that the interior of the fragments tend to be confined to interior conditions (e.g., Epidendrum nora-mesae; Hapalorchis dominicus), with sporadic appearances in edges in the regeneration cover type and being very scarce or absent in pastures (Yotoco, Arenillo and La Iberia). Larrea and Werner [72] also found high changes in epiphyte species turnover in pasturelands, which could be a consequence of changes in microclimate conditions, from colder conditions in the forest interior to higher radiation and potential desiccation in pastures, as a consequence of forest disturbance. Habitat isolation from permanent water sources and the simplification of abiotic conditions, variables not evaluated in our study, have also been suggested to drive changes in species turnover in a pasture-matrix gradient in vascular epiphytes in Mexico [73].
Concerning the edge effect, although a reduction of 20% on richness at 30 m away from the edge has been found for instance on subtropical epiphytes [54], we found a negative effect on richness within a distance of up to 35 m inside the forest in the pasture edges, but this or any other effect is no statistically significant. The contrasting edge with regeneration cover type neither resulted in any detectable influence on orchid richness or abundance. The difference with subtropical epiphytes is probably due to the particular microclimatic conditions from the edge to the interior in tropical cloud forests, which are believed to maintain or reduce temperature [74]. Possibly the high humidity and reduced solar radiation, due to frequent cloud cover, present in the studied forests, favor orchid richness and abundance at the edges, in particular if the neighboring cover type is regeneration.
Our results are important in the context of landscape management, because the studied forests, as many forest patches in the Andes, are embedded in a matrix of pasture as a result of land cover change. In the Colombian Andes, this conversion has been carried out since pre-Hispanic times [75], and 62% of the original cover has already been transformed [38]. Predictions have also drawn attention to the dramatic losses of Andean forest by pasture [76]. In addition, cloud forest species may become more restricted in their distribution within the inhabited patch, as habitat disturbance prevails in time (e.g., [77]). Consequently, for Andean cloud forest, we expect that the most likely scenario is to become more fragmented, and, therefore, orchid species will be more habitat restricted and threatened with extinction. Nonetheless, the role of small fragments in maintaining this diversity would be of key importance in future conservation strategies [39].
The response of orchids to edge effect and neighboring vegetation type might be attributed to four factors: (1) presence of core area conditions even in the small fragments, characterized by high species turnover between interiors and edges [12,18,78]; (2) remarkably, small reserves had similar, or even higher, richness, and abundance at edges than at interiors. This response could be attributed to species tolerance to interior and matrix conditions [78], and dispersal effects from a metacommunity on local communities [62]; (3) high influx of propagules [27], as well as landscape characteristics (such as open matrix for wind-dispersed seeds; 11,78) may promote colonization and rescue events; and, (4) finally, appropriate resource availability, such as presence of mycobionte colonies, high availability of substratum as carbon and nitrogen resource, high local humidity, and low radiation [79], might have favored species establishment at the edges. Ruiz-Cordova et al. [66] found that epiphytes tend to follow abundance of substrate, which might be related to the similarity in forest structure of forest interior and edge plots. It would be interesting to integrate our results in a multi-scalar approach based on environmental and socio-economic parameters. Nevertheless, it is necessary first to properly set boundaries for the Andean cloud forest remnants (e.g., [80]), and to extend the alpha and beta diversity knowledge of this ecosystem.
5. Conclusions
To our knowledge, this is the first study looking at edge effects and neighboring covers’ influence in Andean orchids. Our results suggest that orchids are affected by forest conversion, and this pattern is reflected in the reduction of richness and high species turnover. Nevertheless, we are aware that diversity of Andean orchids does not simply respond to phorophyte structure, or forest size or patch structure. Other mechanisms associated with functional connectivity, metacommunity dynamics, and dispersal might be involved in promoting high levels of richness and abundance even in small cloud forest fragments. Therefore, future studies in Andean orchids might need to aim to unravel the role of dispersal in species distribution, landscape connectivity, and colonization/extinction rates of species adapted to edge and interior conditions.
Finally, we believe that our results highlight that even small private reserves of cloud forests can harbor high levels of orchid diversity. This should draw attention to “bottom-up” management and conservation activities of forests even in reduced private areas, where sensitive and charismatic species, such as orchids, still dwell. Future forest management strategies involving local communities will raise awareness of the important role of their reserves in the conservation of orchids. Even more important, in our study, members in these communities were willing to cooperate in projects involving orchids. This brings the opportunity to make mainstream local management strategies such as restoration of buffer areas around cloud forest remnants that aim to reduce edge effects where conversion has occurred. In addition, these results demonstrate that it is possible to engage local people in data collection of orchid species. However, as taxonomical identification is quite problematic in orchids, data must be treated cautiously and experts should always be involved.
Supplementary Files
Supplementary File 1Supplementary File 2Acknowledgments
We wish to deeply acknowledge the community leaders who actively collaborated with the research. Thanks to Ing. Eric Hagsater, Luis Sánchez, Elizabeth Ayala, Rodolfo Solano, Oscar Pérez and Carlyer Luer for their help in the taxonomic determination of the Epidendroideae and Pleurothallidanae sub-tribes. Finally, we thank the fellowship program of “Direccion Academica of Universidad Nacional de Colombia” for supporting the first author of this work.
Author Contributions
Edicson Parra and Dolors Armenteras conceived and designed the study; Edicson Parra collected data and identified the samples; all authors analyzed and interpreted the data and wrote the paper.
Conflicts of Interest
The authors declare no conflict of interest.
Abbreviations
The following abbreviations are used in this manuscript:
| DBH | Diameter at Breast Height |
| SU | Sampling Unit |
| CA | Area (ha) |
| TE | Total Edge |
| ED | Edge Density |
| MSI | Mean Shape Index |
| MPAR | Mean Patch Area Perimeter Ratio |
| MPFD | Mean Patch Fractal Dimension |
| DN | Tree density (trees per ha) |
| BA | Basal surface area (squared meters per ha) |
| Co | Cover (percentage %) |
| R | Richness (number of species) |
| A | Abundance (number individuals) |
| H’ | Shannon-Wiener index |
| GLM | Generalized linear model |
| ANOVA | Analysis of variance |
References
- Stadmüller, T. Cloud Forest in the Humid Tropics; United Nations University: Tokyo, Japan, 1987; pp. 17–27. [Google Scholar]
- Young, B.; Young, K.R.; Josse, C. Vulnerability of Tropical Andean Ecosystems to Climate Change. In Climate Change and Biodiversity in the Tropical Andes; Herzog, S.K., Martinez, R., Jorgensen, P.M., Tiessen, H., Eds.; Inter-American Institute for Global Change Research (IAI) and Scientific Committee on Problems of the Environment (SCOPE): San Jose dos Campos, Brazil, 2011; pp. 170–181. [Google Scholar]
- Josse, C.; Cuesta, F.; Navarro, G.; Barrena, V.; Cabrera, E.; Chacón-Moreno, E.; Ferreira, W.; Peralvo, M.; Saito, J.; Tovar, A. Ecosistemas de los Andes del norte y centro: Bolivia, Colombia, Ecuador, Peru y Venezuela; Secretaría General de la Comunidad Andina, Programa Regional ECOBONA-Intercooperation, CONDESAN, Proyecto Páramo Andino, Programa BioAndes, EcoCiencia, NatureServe, IAvH, LTAUNALM, ICAE-ULA, CDC-UNALM, and RUMBOL SRL. Secretaría General de la Comunidad Andina: Lima, Peru, 2009; pp. 44–48. [Google Scholar]
- Gentry, A.H.; Dodson, C.H. Diversity and biogeography of Neotropical vascular epiphytes. Ann. Mo. Bot. Gard. 1987, 74, 205–233. [Google Scholar] [CrossRef]
- Bubb, P.; May, I.; Miles, L.; Sayer, J. Cloud Forest Agenda; United Nations Environment Programme—World Conservation Monitoring Centre: Cambridge, UK, 2004; pp. 7–16. [Google Scholar]
- Bruijnzeel, L.A.; Mulligan, M.; Scatena, F. Hydrometeorology of tropical montane cloud forests: Emerging patterns. Hydrol. Process. 2011, 25, 465–498. [Google Scholar] [CrossRef]
- Mulligan, M.; Burke, S.M. Global Cloud Forest and Environmental Change in a Hydrological Context. Final Report; United Kingdom Department for International Development: London, UK, 2005; pp. 7–20.
- Doumenge, C.; Gilmour, D.; Perez, M.R.; Blockhus, J. Tropical montane cloud forests: Conservation status and management issues. In Tropical Montane Cloud Forests Ecological Studies; Hamilton, L.S., Juvik, J.O., Scatena, F.N., Eds.; Springer-Verlag: Berlin, Germany, 1995; pp. 100–110. [Google Scholar]
- Pope, I.; Bowen, D.; Harbor, J.; Shao, G.; Zanotti, L.; Burniske, G. Deforestation of montane cloud forest in the Central Highlands of Guatemala: Contributing factors and implications for sustainability in Q’eqchi’ communities. Int. J. Sustain. Dev. World Ecol. 2015, 22, 201–212. [Google Scholar] [CrossRef]
- Forman, R.T. Land Mosaics. The Ecology of Landscapes and Regions; Cambridge University Press: Cambridge, UK, 1995. [Google Scholar]
- Driscoll, D.A.; Banks, S.C.; Barton, P.S.; Lindenmayer, D.B.; Smith, A.L. Conceptual domain of the matrix in fragmented landscapes. Trends Ecol. Evol. 2013, 28, 605–613. [Google Scholar] [CrossRef] [PubMed]
- Didham, R.K. Ecological consequences of habitat fragmentation. In Encyclopaedia of Life Sciences; Johansson, R., Ed.; Wiley: Hoboken, NJ, USA, 2010; Available Online: http://www.els.net (accessed on 25 June 2013).
- Bender, D.J.; Fahrig, L. Matrix structure obscures the relationship between interpatch movement and patch size and isolation. Ecology 2005, 86, 1023–1033. [Google Scholar] [CrossRef]
- Baker, S.C.; Barmuta, A.; Mcquillanc, P.B.; Richardson, M.M. Estimating edge effects on ground-dwelling beetles at clearfelled non-riparian stand edges in Tasmanian wet eucalypt forest. Forest Ecol. Manag. 2007, 239, 92–101. [Google Scholar] [CrossRef]
- Fischer, J.; Lindenmayer, D.B. Landscape modification and habitat fragmentation: A synthesis. Global Ecol. Biogeogr. 2007, 16, 265–280. [Google Scholar] [CrossRef]
- Lövei, G.L.; Magura, T.; Tothmeresz, B.; Ködöböcz, V. The influence of matrix and edges on species richness patterns of ground beetles (Coleoptera: Carabidae) in habitat islands. Global Ecol. Biogeogr. 2006, 15, 283–289. [Google Scholar] [CrossRef]
- Harper, K.A.; Macdonald, S.E.; Burton, P.J.; Chen, J.Q.; Brosofske, K.D.; Saunders, S.C.; Euskirchen, E.; Roberts, S.D.; Jaiteh, M.; Sandesseen, P.A. Edge influence on forest structure and composition in fragmented landscapes. Conserv. Biol. 2005, 19, 768–782. [Google Scholar] [CrossRef]
- Ewers, R.M.; Didham, R.K. The effect of fragment shape and species’ sensitivity to habitat edges on animal population size. Conserv. Biol. 2007, 21, 926–936. [Google Scholar] [CrossRef] [PubMed]
- Meiners, S.J.; Pickett, S.T.A. Changes in community and population responses across a forest-field gradient. Ecography 1999, 22, 261–267. [Google Scholar] [CrossRef]
- Gradstein, R. Epiphytes of tropical montane forests—impact of deforestation and climate change. In The Tropical Mountain Forest—Patterns and Processes in a Biodiversity Hotspot; Gradstein, S., Homeier, J., Gansert, D., Eds.; Göttingen Centre for Biodiversity and Ecology, Georg-August-Universität Göttingen: Göttingen, Germany, 2009; pp. 51–58. [Google Scholar]
- Nadkarni, N.M. Colonization of stripped branch surfaces by epiphytes in a lower montane cloud forest. Biotropica 2000, 32, 358–363. [Google Scholar] [CrossRef]
- Nöske, N.; Hilt, N.; Werner, F.; Brehm, G.; Fiedler, K.; Sipman, H.; Gradstein, S. Disturbance effects on diversity in montane forest of Ecuador: Sessile epiphytes versus mobile moths. Basic Appl. Ecol. 2009, 9, 4–12. [Google Scholar] [CrossRef]
- Barthlott, W.; Schmit-Neuerburg, V.; Nieder, J.; Engwald, S. Diversity and abundance of vascular epiphytes: A comparison of secondary vegetation and primary montane rain forest in the Venezuelan Andes. Plant Ecol. 2001, 152, 145–156. [Google Scholar] [CrossRef]
- Holz, I.; Gradstein, S.R. Cryptogamic epiphytes in primary and recovering upper montane oak forests of Costa Rica-species richness, community composition and ecology. Plant Ecol. 2005, 178, 89–109. [Google Scholar] [CrossRef]
- Acebey, A.; Gradstein, S.R.; Krömer, T. Species richness and habitat diversification of bryophytes in submontane rain forest and fallows of Bolivia. J. Trop. Ecol. 2003, 19, 9–18. [Google Scholar] [CrossRef]
- Krömer, T.; Gradstein, S.R. Species richness of vascular epiphytes in two primary forest and fallows in the Bolivian Andes. Selbyana 2003, 24, 190–195. [Google Scholar]
- Jacquemyn, H.; Brys, R.; Vandepitte, K.; Honnay, O.; Roldan-Ruiz, I.; Wiegand, T. A spatially explicit analysis of seedlings recruitment in a terrestrial orchid Orchis purpurea. New Phytol. 2007, 176, 448–459. [Google Scholar] [CrossRef] [PubMed]
- Olmsted, I.; Juárez, M.G. Distribution and conservation of epiphytes on the Yucatan Peninsula. Selbyana 1996, 17, 58–70. [Google Scholar]
- Dodson, C.H.; Gentry, A.H. Biological extinction in western Ecuador. Ann. Mo. Bot. Gard. 1991, 78, 273–295. [Google Scholar] [CrossRef]
- Sydes, M. Orchids: indicators of management success? Vic. Nat. 1994, 111, 213–217. [Google Scholar]
- Bergman, E.; Ackerman, J.; Thomson, J.; Zimmerman, J. Land-use history affects the distribution of the saprophytic orchid Wullschlaegelia calacrata in Puerto Rico’s Tabonuco Forest. Biotropica 2006, 38, 492–499. [Google Scholar] [CrossRef]
- Kull, T.; Hutchings, M. A comparative analysis of decline in the distribution ranges of orchid species in Estonia and the United Kingdom. Biol. Conserv. 2006, 129, 31–39. [Google Scholar] [CrossRef]
- Wotavova, K.; Balaunova, Z.; Kindlmann, P. Factors affecting persistence of terrestrial orchids in wet meadows and implications for their conservation in a changing rural landscape. Biol. Conserv. 2004, 118, 271–279. [Google Scholar] [CrossRef]
- Rumpff, L.; Coates, F.; Messina, A.; Morgan, J. Potential Biological Indicators of Climate Change: Evidence from Phenology Records of Plants along the Victorian Coast; Victorian Government Department of Sustainability and Environment: Melbourne, Australia, 2008; pp. 17–47.
- Armenteras, D.; Cadena, V.C.; Moreno, R.P. Evaluación del Estado de los Bosques de Niebla y de la Meta 2010 en Colombia; Instituto de Investigación de Recursos Biológicos Alexander von Humboldt: Bogotá, Colombia, 2007; pp. 10–22. [Google Scholar]
- Betancur, J.; Sarmiento-L., H.; Toro-González, L.; Valencia, J. (Eds.) Ministerio De Ambiente Y Desarrollo Sostenible Y Universidad Nacional De Colombia. In Plan Para el Estudio y la Conservación de las Orquídeas en Colombia; Ministerio de Ambiente y Desarrollo Sostenible, Universidad Nacional de Colombia: Bogotá, Colombia, 2015; p. 336.
- Etter, A.; McAlpine, C.; Wilson, K.; Phinn, S.; Possingham, H. Regional patterns of agricultural land use and deforestation in Colombia. Agric. Ecosyst. Environ. 2006, 114, 369–386. [Google Scholar] [CrossRef]
- Armenteras, D.; Rodríguez-Eraso, N.; Alumbreros, J.R.; Morales, M. Understanding deforestation in montane and lowland forests of the Colombian Andes. Reg. Environ. Change. 2011, 11, 693–705. [Google Scholar] [CrossRef]
- Meisel, J.E.; Woodward, C.L. Andean Orchid Conservation and the Role of Private Lands: A Case Study from Ecuador. Selbyana 2010, 26, 49–57. [Google Scholar]
- Magurran, A.E. Ecological Diversity and Its Measurement; Princeton University Press: Princeton, NJ, USA, 1988; pp. 7–45. [Google Scholar]
- Pielou, E.C. 2k contingency tables in ecology. J. Theor. Biol. 1972, 34, 337–330. [Google Scholar] [CrossRef]
- Shannon, C.E.; Weaver, W. A mathematical theory of communication. Bell Syst. Tech. J. 1948, 27, 379–423. [Google Scholar] [CrossRef]
- Baselga, A. Partitioning the turnover and nestedness components of beta-diversity. Glob. Ecol. Biogeogr. 2010, 19, 134–143. [Google Scholar] [CrossRef]
- Baselga, A.; Leprieur, F. Comparing methods to separate components of beta diversity. Methods Ecol. Evol. 2015, 6, 1069–1079. [Google Scholar] [CrossRef]
- Cottam, G.; Curtis, J.T. The use of distance measures in phytosociological sampling. Ecology 1956, 37, 451–460. [Google Scholar] [CrossRef]
- Mitchell, K. Quantitative Analysis by the Point-Centered Quarter Method; Department of Mathematics and Computer Science, Hobart and William smith Colleges: Geneva, NY, USA, 2007. [Google Scholar]
- Krömer, T.; Kessler, M.; Gradstein, S.R. Vertical stratification of vascular epiphytes in submontane and montane forest of the Bolivian Andes: The importance of the understory. Plant Ecol. 2007, 189, 261–278. [Google Scholar]
- Sáyago, R.; Lopezaraiza-Mikel, M.; Quesada, M.; Álvarez-Añorve, M.Y.; Cascante-Marín, A.; Bastida, J.M. Evaluating factors that predict the structure of a commensalistic epiphyte-phorophyte network. Proc. Biol. Sci. 2013, 280. [Google Scholar] [CrossRef] [PubMed]
- Wagner, K.; Bogusch, W.; Zotz, G. The role of the regeneration niche for the vertical stratification of vascular epiphytes. J. Trop. Ecol. 2013, 29, 277–290. [Google Scholar] [CrossRef]
- Souza, F.M.; Gandolfi, S.; Rodrigues, R.R. Deciduousness Influences the Understory Community in a Semideciduous Tropical Forest. Biotropica 2014, 46, 512–515. [Google Scholar] [CrossRef]
- Environment Systems Research Institute. ArcGis—ArcView 9; Environment Systems Research Institute: Redlands, CA, USA, 2008. [Google Scholar]
- Mcgarigal, K. Landscape pattern metrics. In Encyclopaedia of Environmentrics; El-Shaarawi, A.H., Piegorsch, W.W., Eds.; John Wiley & Sons: Sussex, UK, 2002. [Google Scholar]
- Rempel, R.S.; Kaukinen, D.; Carr, A.P. Patch Analyst and Patch Grid. Ontario Ministry of Natural Resources; Centre for Northern Forest Ecosystem Research: Thunder Bay, Ontario, ON, Canada, 2012. [Google Scholar]
- Bianchi, J.S.; Kersten, R.D.A.; Araucaria, T.; Forest, A. Edge effect on vascular epiphytes in a subtropical Atlantic Forest. Acta Bot. Bras. 2014, 28, 120–126. [Google Scholar] [CrossRef]
- Laurance, W.F.; Yensen, E. Predicting the impacts of edge effects in fragmented habitats. Biol. Conserv. 1991, 55, 77–92. [Google Scholar] [CrossRef]
- Cadenasso, M.L.; Traynor, M.M.; Pickett, S.T.A. Functional location of forest edges: Gradients of multiple physical factors. Can. J. Forest Res. 1997, 27, 774–782. [Google Scholar] [CrossRef]
- Harper, K.A.; Macdonald, S.E. Quantifying distance of edge influence: A comparison of methods and a new randomization method. Ecosphere 2011, 2, 1–17. [Google Scholar] [CrossRef]
- RStudio: Integrated Development Environment for R; Version 0. 98.1091; RStudio: Boston, MA, USA, 2015.
- Fox, J.; Weisberg, S. An {R} Companion to Applied Regression, 2nd ed.; Sage: Thousand Oaks, CA, USA, 2011. [Google Scholar]
- Wickham, H. ggplot2: Elegant Graphics for Data Analysis; Springer: New York, NY, USA, 2009. [Google Scholar]
- Baselga, A.; Orme, C.D.L. betapart: An R package for the study of beta diversity. Methods Ecol. Evol. 2012, 3, 808–812. [Google Scholar] [CrossRef]
- Leibold, M.A.; Holyoak, M.; Mouquet, N.; Amarasekare, P.; Chase, J.M.; Hoopes, M.F.; Holt, R.D.; Shurin, J.B.; Law, R.; Tilman, D.; et al. The metacommunity concept: A framework for multi-scale community ecology. Ecol. Lett. 2004, 7, 601–613. [Google Scholar] [CrossRef]
- Flores-Palacios, A.; García-Franco, J.G. The relationship between tree size and epiphyte species richness: Testing four different hypotheses. J. Biogeogr. 2006, 33, 323–330. [Google Scholar] [CrossRef]
- Taylor, A.; Burns, K. Epiphyte community development throughout tree ontogeny: An island ontogeny framework. J. Veg. Sci. 2015, 26, 902–910. [Google Scholar] [CrossRef]
- Günter, S.; Weber, M.; Erreis, R.; Aguirre, N. Influence of forest edges on the regeneration of abandoned pastures in the tropical mountain rain forest of Southern Ecuador. Eur. J. Forest Res. 2007, 126, 67–75. [Google Scholar] [CrossRef]
- Ruiz-Cordova, J.P.; Toledo-Hernández, V.H.; Flores-Palacios, A. The effect of substrate abundance in the vertical stratification of Bromeliad epiphytes in a tropical dry forest (Mexico). Flora 2014, 209, 375–384. [Google Scholar] [CrossRef]
- Wagner, K.; Mendieta-Leiva, G.; Zotz, G. Host specificity in vascular epiphytes: A review of methodology, empirical evidence and potential mechanisms. AoB Plants 2015. [Google Scholar] [CrossRef] [PubMed]
- Qian, H.; Ricklefs, R.E.; White, P.S. Beta diversity of angiosperms in temperate floras of eastern Asia and eastern North America. Ecol. Lett. 2005, 8, 15–22. [Google Scholar] [CrossRef]
- Dodson, C.H. Why Are There So Many Orchid Species? Lankesteriana 2003, 7, 99–103. [Google Scholar] [CrossRef]
- Jost, L. Explosive Local Radiation of the Genus Teagueia (Orchidaceae) in the Upper Pastaza Watershed of Ecuador. Lyonia 2004, 7, 41–47. [Google Scholar]
- Perez-Escobar, O.; Parra Sanchez, E.; Valdivieso, O. Inventario orquideológico de la Reserva Bosque de Yotoco Valle del Cauca. Acta Agron. 2009, 58, 189–196. [Google Scholar]
- Larrea, L.; Werner, F. Response of vascular epiphyte diversity to different land-use intensities in a neotropical montane wet forest. Forest Ecol. Manag. 2010, 260, 1950–1955. [Google Scholar] [CrossRef]
- Flores-Palacios, A.; García-Franco, J.G. Habitat isolation changes the beta-diversity of the vascular epiphyte community in lower montane forest, Veracruz, Mexico. Biodivers. Conserv. 2008, 17, 191–207. [Google Scholar] [CrossRef]
- Ewers, R.; Banks-Leite, C. Fragmentation impairs the microclimate buffering effect of tropical forests. PLoS ONE 2013, 8, e58093. [Google Scholar] [CrossRef] [PubMed]
- Etter, A.; McAlpine, C.; Possingham, H. Historical patterns and drivers of landscape change in Colombia since 1500: A regionalized spatial approach. Ann. Assoc. Am. Geogr. 2008, 98, 2–23. [Google Scholar] [CrossRef]
- Rodríguez Eraso, N.; Armenteras, D.; Alumbreros, J.R. Land use and land cover change in the Colombian Andes: Dynamics and future scenarios. J. Land Use Sci. 2013, 8, 154–174. [Google Scholar] [CrossRef]
- Ledo, A.; Montes, F.; Condes, S. Species dynamics in a montane cloud forest: Identifying factors involved in changes in tree diversity and functional characteristics. For. Ecol. Manag. 2009, 258, 75–84. [Google Scholar] [CrossRef]
- Didham, R.K.; Kapos, V.; Ewers, R. Rethinking the conceptual foundations of habitat fragmentation research. Oikos 2012, 121, 161–170. [Google Scholar] [CrossRef]
- Rasmussen, H.N.; Dixon, K.W.; Jersáková, J.; Tesitelova, T. Germination and seedling establishment in orchids: A complex of requirements. Ann. Bot. Lond. 2015, 116, 391–402. [Google Scholar] [CrossRef] [PubMed]
- Morales, M.; Armenteras, D. Estado De Conservación De Los Bosques De Niebla De Los Andes Colombianos, Un Análisis Multiescalar. Bol. Cient. Mus. Hist. Nat. 2013, 17, 64–72. [Google Scholar]
© 2016 by the authors; licensee MDPI, Basel, Switzerland. This article is an open access article distributed under the terms and conditions of the Creative Commons by Attribution (CC-BY) license (http://creativecommons.org/licenses/by/4.0/).



