Microclimate and Modeled Fire Behavior Differ Between Adjacent Forest Types in Northern Portugal
Abstract
:1. Introduction
2. Methods
2.1. Study Site, Stand Characteristics and Weather Data Collection
| Forest Type | Tree Density (no. ha−1) | dbh (cm) | Basal Area (m2 ha−1) | Canopy Cover (%) | DH (m) | H (m) | CBH (m) |
|---|---|---|---|---|---|---|---|
| PP | 1060 | 26.1 | 56.5 | 55 | 17.8 | 15.8 | 9.0 |
| CL | 780 | 39.7 | 87.3 | 85 | 26.7 | 23.1 | 10.1 |
| BA | 1200 | 18.4 | 33.7 | 75 | 17.2 | 12.7 | 7.9 |
2.2. Potential Fire Behavior
2.3. Data Analysis
3. Results
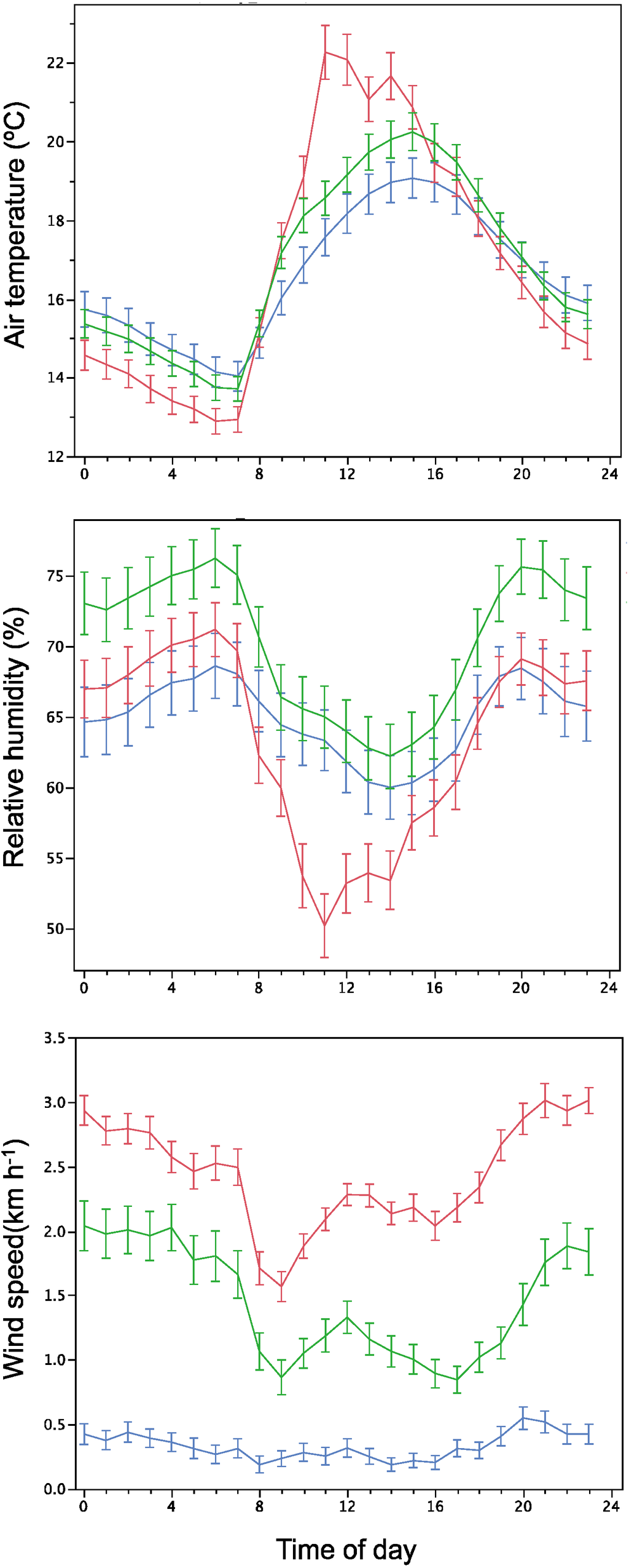
3.1. Weather and Fine Fuel Moisture content
| Variable | CL | PP | BA |
|---|---|---|---|
| T (°C) | 16.6 (5.8–28.9) | 16.8 (4.4–35.5) | 16.9 (5.9–29.5) |
| 13.3–19.7 | 12.2–23.4 | 13.1–20.8 | |
| RH (%) | 64.9 (8–99) | 63.3 (12–94) | 70.4 (16–100) |
| 48.9–79.3 | 45.0–79.0 | 54.8–84.1 | |
| U (km h−1) | 0.3 (0–4.8) | 2.4 (0–8) | 1.5 (0–9.7) |
| 0–1.2 | 0.7–4.3 | 0.1–3.8 | |
| Umax (km h−1) | 3.5 (0–10.0) | 8.2 (5.3–15.0) | 7.1 (1.7–15.5) |
| 0–32.2 | 0–27.4 | 0–38.6 |

| Comparison | Air Temperature (°C) | Relative Humidity (%) | Wind Speed (km h−1) | |||
|---|---|---|---|---|---|---|
| Differences | r | Differences | r | Differences | r | |
| PP-CL | 0.28 ± 0.04 *** | 0.93 | −1.60 ± 0.14 *** | 0.95 | 2.11 ± 0.02 *** 4.74 ± 0.06 *** | 0.45 0.64 |
| PP-BA | −0.39 ± 0.05 *** | 0.92 | −7.02 ± 0.10 *** | 0.97 | 1.45 ± 0.99 *** 1.16 ± 0.07 *** | 0.50 0.58 |
| BA-CL | 0.11 ± 0.04 *** | 0.93 | 5.43 ± 0.11 *** | 0.97 | 1.12 ± 0.03 *** 3.59 ± 0.07 *** | 0.37 0.47 |
| Comparison | Differences | r |
|---|---|---|
| PP-CL | −1.4 ± 0.1 *** | 0.83 |
| PP-BA | −1.9 ± 0.1 *** | 0.87 |
| BA-CL | 0.5 ± 0.1 *** | 0.96 |


3.2. Fire Behavior Potential
| Comparison | Spread Rate (m min−1) | Flame Length (m) | ||
|---|---|---|---|---|
| Differences | r | Differences | r | |
| PP-CL | 5.68 ± 0.08 *** | 0.45 | 2.45 ± 0.02 *** | 0.43 |
| PP-BA | 2.89 ± 0.11 *** | 0.22 | 1.20 ± 0.04 *** | 0.42 |
| BA-CL | 2.79 ± 0.09 *** | 0.57 | 1.24 ± 0.04 *** | 0.72 |

| Simulation and Input Variables | Spread Rate | Flame Length |
|---|---|---|
| High fire danger | ||
| Fuel model | 92.0 | 93.3 |
| Wind speed | 3.4 | 6.2 |
| 1-hour fuel moisture | 4.5 | 0.5 |
| Expanded | ||
| Fuel model | 55.7 | 74.7 |
| Wind speed | 34.2 | 12.7 |
| 1-hour fuel moisture | 10.1 | 12.6 |
4. Discussion
4.1. Differences in Weather and Fuel Moisture Content
4.2. Differences in Fire Behavior Potential
4.3. Management Implications
5. Conclusions
Acknowledgments
Author Contributions
Appendix
| Model | Fuel Depth | Fuel Loading (t ha−1) | SVR (m-1) | H | Mx | ||||||
|---|---|---|---|---|---|---|---|---|---|---|---|
| (m) | 1 hour | 10 hours | 100 hours | Live Woody | Live Herbs | 1 hour | Live Herbs | Live Woody | (kJ kg-1) | (%) | |
| F-RAC | 0.05 | 3.75 | 2.00 | 1.00 | 1.18 | 0.00 | 6500 | - | 4500 | 20500 | 28 |
| M-CAD | 0.63 | 4.54 | 1.87 | 0.61 | 9.08 | 0.00 | 6000 | - | 5000 | 20000 | 30 |
| M-PIN | 0.50 | 7.21 | 3.00 | 0.00 | 6.89 | 0.00 | 5500 | - | 6000 | 21000 | 40 |
Conflicts of Interest
References
- Moreira, F.; Viedma, O.; Arianoutsou, M.; Curt, T.; Koutsias, N.; Rigolot, E.; Barbati, A.; Corona, P.; Vaz, P.; Xanthopoulos, G.; et al. Landscape-wildfire interactions in southern Europe: Implications for landscape management. J. Environ. Manag. 2011, 92, 2389–2402. [Google Scholar]
- Fernandes, P.M. Fire-smart management of forest landscapes in the Mediterranean basin under global change. Landsc. Urban Plan. 2013, 110, 175–182. [Google Scholar] [CrossRef]
- Schelhaas, M.; Nabuurs, G.; Schuck, A. Natural disturbances in the European forests in the 19th and 20th centuries. Glob. Chang. Biol. 2003, 9, 1620–1633. [Google Scholar]
- Pausas, J.G.; Bladé, C.; Valdecantos, A.; Seva, J.P.; Fuentes, D.; Alloza, J.A.; Vilagrosa, A.; Bautista, S.; Cortina, J.; Vallejo, R. Pines and oaks in the restoration of Mediterranean landscapes of Spain: New perspectives for an old practice—A review. Plant Ecol. 2004, 171, 209–220. [Google Scholar]
- Moreno, J.M.; Vásquez, A.; Vélez, R. Recent history of forest fires in Spain. In Large Forest Fires; Moreno, J.M., Ed.; Backhuys Publishers: Leiden, The Netherlands, 1998; pp. 159–185. [Google Scholar]
- Fernandes, P.M. Forest fires in Galicia (Spain): The outcome of unbalanced fire management. J. For. Econ. 2008, 14, 155–157. [Google Scholar]
- Carvalho, A.; Carvalho, A.; Martins, H.; Marques, C.; Rocha, A.; Borrego, C.; Viegas, X.; Miranda, I. Fire weather risk assessment under climate change using a dynamical downscaling approach. Environ. Model. Softw. 2011, 26, 1123–1133. [Google Scholar] [CrossRef]
- Countryman, C.M. The concept of fire environment. Fire Control Notes 1966, 27, 8–10. [Google Scholar]
- Aussenac, G. Interactions between forest stands and microclimate: Ecophysiological aspects and consequences for silviculture. Ann. For. Sci. 2000, 57, 287–301. [Google Scholar] [CrossRef]
- Porté, A.; Huard, F.; Dreyfus, P. Microclimate beneath pine plantation, semi-mature pine plantation and mixed broadleaved-pine forest. Agric. For. Meteorol. 2004, 126, 175–182. [Google Scholar] [CrossRef]
- Fernandes, P. Combining forest structure data and fuel modelling to classify fire hazard in Portugal. Ann. For. Sci. 2009, 66, 415p1–415p9. [Google Scholar]
- Albini, F.A. A phenomenological model for wind speed and shear stress profiles in vegetation cover layers. J. Appl. Meteorol. 1981, 20, 1325–1335. [Google Scholar] [CrossRef]
- Harman, I.N.; Finnigan, J.J. A simple unified theory for flow in the canopy and roughness sublayer. Bound. Layer Meteorol. 2007, 123, 339–363. [Google Scholar] [CrossRef]
- Ray, D.; Nepstad, D.; Moutinho, P. Micrometeorological and canopy controls of fire susceptibility in a forested Amazon landscape. Ecol. Appl. 2005, 15, 1664–1678. [Google Scholar] [CrossRef]
- Tanskanen, H.; Granstrom, A.; Venalainen, A.; Puttonen, P. Moisture dynamics of moss-dominated surface fuel in relation to the structure of Picea abies and Pinus sylvestris stands. For. Ecol. Manag. 2006, 226, 189–198. [Google Scholar] [CrossRef]
- Oliveras, I.; Gracia, M.; Moré, G.; Retana, J. Factors influencing the pattern of fire severities in a large wildfire under extreme meteorological conditions in the Mediterranean basin. Int. J. Wildland Fire 2009, 18, 755–764. [Google Scholar]
- Róman-Cuesta, R.M.; Gracia, M.; Retana, J. Factors influencing the formation of unburned forest islands within the perimeter of a large fire. For. Ecol. Manag. 2009, 258, 71–80. [Google Scholar] [CrossRef]
- Kafka, V.; Gauthier, S.; Bergeron, Y. Fire impacts and crowning in the boreal forest: Study of a large wildfire in western Quebec. Int. J. Wildland Fire 2001, 10, 119–127. [Google Scholar]
- Epting, J.; Verbyla, D. Landscape-level interactions of prefire vegetation, burn severity, and postfire vegetation over a 16-year period in interior Alaska. Can. J. For. Res. 2005, 35, 1367–1377. [Google Scholar]
- Lee, S.; Lee, M.; Lee, Y.; Won, M.; Kim, J.; Hong, S. Relationship between landscape structure and burn severity at the landscape and class levels in Samchuck, South Korea. For. Ecol. Manag. 2009, 258, 1594–1604. [Google Scholar] [CrossRef]
- Proença, V.M.; Pereira, H.M.; Vicente, L. Resistance to wildfire and early regeneration in natural broadleaved forest and pine plantation. Acta Oecol. 2010, 36, 626–633. [Google Scholar] [CrossRef]
- Fernandes, P.; Luz, A.; Loureiro, C. Changes in wildfire severity from maritime pine woodland to contiguous forest types in the mountains of northwestern Portugal. For. Ecol. Manag. 2010, 260, 883–892. [Google Scholar] [CrossRef]
- Barros, A.M.G.; Pereira, J.M.C. Wildfire selectivity for land cover type: Does size matter? PLoS One 2014, 9, e84760. [Google Scholar] [CrossRef]
- Cumming, S.G. Forest type and wildfire in the Alberta boreal mixedwood: What do fires burn? Ecol. Appl. 2001, 11, 97–110. [Google Scholar]
- Moreno, J.M.; Viedma, O.; Zavala, G.; Luna, B. Landscape variables influencing forest fires in central Spain. Int. J. Wildland Fire 2011, 20, 678–689. [Google Scholar] [CrossRef]
- Diaz-Delgado, R.; Lloret, F.; Pons, X. Spatial patterns of fire occurrence in Catalonia, NE, Spain. Landsc. Ecol. 2004, 19, 731–745. [Google Scholar]
- González, J.R.; Palahí, M.; Trasobares, A.; Pukkala, T. A fire probability model for forest stands in Catalonia (north-east Spain). Ann. For. Sci. 2006, 63, 169–176. [Google Scholar]
- Moreira, F.; Vaz, P.; Catry, F.; Silva, J. Regional variations in wildfire preference for land cover types in Portugal: Implications for landscape management to minimise fire hazard. Int. J. Wildland Fire 2009, 18, 563–574. [Google Scholar] [CrossRef]
- Silva, J.S.; Moreira, F.; Vaz, P.; Catry, F.; Godinho-Ferreira, P. Assessing the relative fire proneness of different forest types in Portugal. Plant Biosyst. 2009, 143, 597–608. [Google Scholar]
- Podur, J.J.; Martell, D.L. The influence of weather and fuel type on the fuel composition of the area burned by forest fires in Ontario, 1996–2006. Ecol. Appl. 2009, 19, 1246–1252. [Google Scholar] [CrossRef] [PubMed]
- Syphard, A.D.; Keeley, J.E.; Brennan, T.J. Factors affecting fuel break effectiveness in the control of large fires on the Los Padres National Forest, California. Int. J. Wildland Fire 2011, 20, 764–775. [Google Scholar]
- Faiella, S.M.; Bailey, J.D. Fluctuations in fuel moisture across restoration treatments in semi-arid ponderosa pine forests of northern Arizona, USA. Int. J. Wildland Fire 2007, 16, 119–127. [Google Scholar] [CrossRef]
- Ma, S.; Concilio, A.; Oakley, B.; North, M.; Chen, J. Spatial variability in microclimate in a mixed-conifer forest before and after thinning and burning treatments. For. Ecol. Manag. 2010, 259, 904–915. [Google Scholar] [CrossRef]
- Bigelow, S.W.; North, M.P. Microclimate effects of fuels-reduction and group-selection silviculture: Implications for fire behaviour in Sierran mixed-conifer forests. For. Ecol. Manag. 2012, 264, 51–59. [Google Scholar] [CrossRef]
- Broncano, M.J.; Retana, J. Topography and forest composition affecting the variability in fire severity and post-fire regeneration occurring after a large fire in the Mediterranean basin. Int. J. Wildland Fire 2004, 13, 209–216. [Google Scholar] [CrossRef]
- Bessie, W.; Johnson, E. Relative importance of fuels and weather on fire behaviour in subalpine forests. Ecology 1995, 76, 747–762. [Google Scholar]
- Azevedo, J.C.; Possacos, A.; Aguiar, C.F.; Amado, A.; Miguel, L.; Dias, R.; Loureiro, C.; Fernandes, P.M. The role of holm oak edges in the control of disturbance and conservation of plant diversity in fire-prone landscapes. For. Ecol. Manag. 2013, 297, 37–48. [Google Scholar] [CrossRef]
- Heinsch, F.A.; Andrews, P.L. BehavePlus Fire Modeling System, Version 5.0: Design and Features; General Technical Report; RMRS-GTR-249; USDA, Forest Service Rocky Mountain Research Station: Fort Collins, CO, USA, 2010. [Google Scholar]
- Rothermel, R.C. A Mathematical Model for Predicting Fire Spread in Wildland Fuels; Research Paper INT-115; USDA Forest Service Intermountain Forest and Range Experiment Station: Ogden, UT, USA, 1972. [Google Scholar]
- Cruz, M.G.; Fernandes, P.M. Development of fuel models for fire behavior prediction in maritime pine (Pinus pinaster Ait.) stands. Int. J. Wildland Fire 2008, 17, 194–204. [Google Scholar] [CrossRef]
- Fernandes, P.; Gonçalves, H.; Loureiro, C.; Fernandes, M.; Costa, T.; Cruz, M.G.; Botelho, H. Modelos de Combustível Florestal para Portugal. In Actas do 6° Congresso Florestal Nacional; Ponta Delgada, Portugal; Sociedade Portuguesa de Ciências Florestais: Lisboa, Portugal, 2009; pp. 348–354. [Google Scholar]
- Andrews, P.L.; Chase, C.H. BEHAVE: Fire Behavior Prediction and Fuel Modeling System-BURN Subsystem, Part 2; General Technical Report INT-260; USDA Forest Service Intermountain Forest and Range Experiment Station: Ogden, UT, USA, 1989. [Google Scholar]
- Rothermel, R.C.; Wilson, R.A.; Morris, G.A.; Sackett, S.S. Modeling Moisture Content of Fine Dead Wildland Fuels: Input to the BEHAVE Fire Prediction System; Research. Papar INT-359; USDA Forest Service Intermountain Forest and Range Experiment Station: Ogden, UT, USA, 1986. [Google Scholar]
- Van Wagner, C.E. Structure of the Canadian Fire Weather Index; Publication n°. 1333; Department of the Environment, Canadian Forest Service: Ottawa, Canada, 1974. [Google Scholar]
- Sullivan, A.L.; Knight, I.K. Estimating error in wind speed measurements for experimental fires. Can. J. For. Res. 2001, 31, 401–409. [Google Scholar] [CrossRef]
- Wotton, B.M.; Beverly, J.L. Stand-specific litter moisture content calibrations for the Canadian Fine Fuel Moisture Code. Int. J. Wildland Fire 2007, 16, 463–472. [Google Scholar]
- Penman, T.D.; Collins, L.; Price, O.F.; Bradstock, R.A.; Metcalf, S.; Chong, D.M.O. Examining the relative effects of fire weather, suppression and fuel treatment on fire behaviour—A simulation study. J. Environ. Manag. 2013, 131, 325–333. [Google Scholar] [CrossRef]
- Pereira, M.G.; Trigo, R.M.; da Câmara, C.; Pereira, J.M.C.; Leite, S.M. Synoptic patterns associated with large summer forest fires in Portugal. Agric. For. Meteorol. 2005, 129, 11–25. [Google Scholar] [CrossRef]
- Syphard, A.D.; Scheller, R.M.; Ward, B.C.; Spencer, W.D.; Strittholt, J.R. Simulating landscape-scale effects of fuels treatments in the Sierra Nevada, California, USA. Int. J. Wildland Fire 2011, 20, 364–383. [Google Scholar] [CrossRef]
- Fernandes, P.; Rigolot, E. Fire ecology and management of maritime pine (Pinus pinaster Ait.). For. Ecol. Manag. 2007, 241, 1–13. [Google Scholar] [CrossRef]
- Graham, R.; McCaffrey, S.; Jain, T. Science Basis for Changing Forest Structure to Modify Wildfire Behavior and Severity; General Technical Report RMRS-GTR-120; USDA Forest Service Rocky Mountain Research Station: Fort Collins, CO, USA, 2004. [Google Scholar]
- Ruiz-González, A.D. Efecto de las Claras Sobre la Humedad de los Combustibles Muertos en Masas de Pino. In Wildfire 2007, Proceedings of the 4th International Wildland Fire Conference, Seville, Spain, 13–17 May 2007; p. 11.
© 2014 by the authors; licensee MDPI, Basel, Switzerland. This article is an open access article distributed under the terms and conditions of the Creative Commons Attribution license (http://creativecommons.org/licenses/by/4.0/).
Share and Cite
Pinto, A.; Fernandes, P.M. Microclimate and Modeled Fire Behavior Differ Between Adjacent Forest Types in Northern Portugal. Forests 2014, 5, 2490-2504. https://doi.org/10.3390/f5102490
Pinto A, Fernandes PM. Microclimate and Modeled Fire Behavior Differ Between Adjacent Forest Types in Northern Portugal. Forests. 2014; 5(10):2490-2504. https://doi.org/10.3390/f5102490
Chicago/Turabian StylePinto, Anita, and Paulo M. Fernandes. 2014. "Microclimate and Modeled Fire Behavior Differ Between Adjacent Forest Types in Northern Portugal" Forests 5, no. 10: 2490-2504. https://doi.org/10.3390/f5102490
APA StylePinto, A., & Fernandes, P. M. (2014). Microclimate and Modeled Fire Behavior Differ Between Adjacent Forest Types in Northern Portugal. Forests, 5(10), 2490-2504. https://doi.org/10.3390/f5102490

