Abstract
In this study the quantification of biomass within all relevant compartments of a three-year-old poplar clone (P. maximowicii × P. trichocarpa) planted on abandoned agricultural land at a density of 5000 trees ha−1 is presented. A total of 30 trees within a diameter range of 1.8 cm to 8.9 cm, at breast height (dbh at 1.3 m), were destructively sampled. In order to analyze the biomass, the complete tree, stem, as well as all branches, were divided into 1 cm diameter classes and all buds from the trees were completely removed. Total yield was calculated as 11.7 odt ha−1 year−1 (oven dry tonnes per hectare and year). Branches constituted 22.2% of total dry leafless biomass and buds 2.0%. The analyses revealed a strong correlation of the dry weight for all the three compartments with diameter at breast height. Debarked sample discs were used to obtain a ratio between wood and bark. Derived from these results, a model was developed to calculate the biomass of bark with dbh as the predictor variable. Mean bark percentage was found to be 16.8% of above ground leafless biomass. The results concur that bark percentage decreases with increasing tree diameter, providing the conclusion that larger trees contain a lower bark proportion, and thus positively influence the quality of the end product while consequently reducing the export of nutrients from site.
1. Introduction
Short rotation coppice (SRC) is a production method that utilizes fast growing and often hybridized tree species such as poplar (Populusspp.) and willow (Salix spp.). Such plantations are grown within a short rotation time of approximately three to five years, but remain viable for 15 to 30 years given a coppice culture, a well established method of increasing biomass yields [1], while minimising costs. The main target of growing SRC is the production of biomass for energy generation, which is driven by recent policy instruments for the replacement of fossil-fuelstock. Besides biomass for energy conversion, larger poplar grown within longer rotations is widely used for low quality products, such as packaging, pallet wood, or composite wood products. Such a production method draws many similarities from an agricultural production system [2], but provides advantages through reduced pesticide application, minimal soil disturbance, and biodiversity benefits over conventional arable crop monocultures. The utilisation of SRC culture within a farmed landscape can provide additional structural diversity leading to biodiversity benefits [3]. Conversely however, it must be noted that the employment of hybrid SRC plantations are not likely to provide wildlife habitats of any great importance, but have the potential to increase biodiversity in otherwise impoverished agricultural areas [3,4,5]. Furthermore, SRC can complement existing farming practice both providing and supporting an increased number of species that fulfil important ecosystem services such as pollination and biological pest control, both functions that are essential to sustainable arable crop production [5].
Poplar is a widely accepted choice for SRC due to its adaptability towards a wide range of site conditions [6,7], an ease of vegetative propagation, with a wide interspecific crossability [7,8,9,10], and particularly rapid juvenile growth [6,7,8,9,10,11,12]. Moreover, it provides high volume returns with a low input requirement when grown within an SRC culture [6,9,10,13,14].
When grown commercially the crop is often cut utilizing a harvester with a modified header unit, with which all above ground biomass is cut and chipped in one pass. It can be postulated that such frequent cropping of total above ground biomass can increase the removal of nutrient from the site over normal agricultural or forestry practices and that this can amount to a significant reduction in soil nutrient over a number of rotations [15,16,17,18,19]. Nutrient concentrations of bark are higher than those in woody tissues [20]. Higher bark to wood ratios, and thus higher nutrient concentrations in younger stands [19] will exacerbate the effect of nutrient removal when harvested frequently, as can be seen with the exploitation of SRC plantations [18]. Although, the extent of nutrient removal may be dependent on the yield and specific nutrient concentration within the crop and the amount of available minerals within the soil. A higher bark content will also provide a lower quality product as a result of higher moisture content and the higher elemental concentrations contained within bark tissues, consequently providing a lower heating value [21] and greater ash volumes [22]. Subsequently increased corrosion damage to biomass boilers due to increased concentrations of alkali metals [21] can be observed with feedstocks containing a higher bark to wood ratio. For this reason it is important to define quality aspects of SRC derived product, which provides advantages to the efficiency and economics of the biomass production industry [23].
Within small plots the edge effects influence tree growth and thus study of specific tree parameters, from the edge to the center of the plot diameter and tree weight is known to decrease, while trees situated on an unplanted plot boundary grow outwards benefiting from uninhibited light, moisture and nutrient levels [24]. Such edge effects should be quantified when plot productivity is scrutinized.
Current biomass estimation studies concerning SRC utilizing poplar and willow demonstrate that above ground biomass estimation employs a wide range of methodologies [25], but in general are focused on above ground leafless biomass estimation utilizing non-linear regression methods [25,26,27,28,29,30,31,32], some of which extend towards the quantification of individual tree parts [6,21,22,33,34,35].
Within this study it was ensured that the emphasis remained on the above ground leafless biomass separated into compartments, namely stem, branch, bark, and the often neglected bud fraction.
2. Materials and Methods
2.1. Description of the Experimental Site
The research plot is situated in Southern Germany close to Breisach on the floodplain of the river Rhine (48°4'24'' N; 7°35'26'' E, 182 m a.s.l.). The region has a climate dominated by warm summers and mild winters. Mean annual precipitation is 705 mm (May–September: 385 mm). Mean annual air temperature is 10.1 °C (May–September: 16.9 °C) distributed between an average minimum air temperature of −0.2 °C and a maximum of 19.6 °C. Monthly based means of air temperature and precipitation on the 1961 to 1990 Climate Normals, and actual monthly climatic conditions for the years 2007 to 2009, were obtained from interpolated gridded data with a resolution of 1 km × 1 km, are shown in Figure 1 [36].
Figure 1.
Climate data for Breisach Research Plot 2007 to 2009.
Figure 1.
Climate data for Breisach Research Plot 2007 to 2009.

The air temperature during the three-year growing period was slightly above the 1961–1990 Climate Normals meanwhile precipitation during the establishment year was wetter than average, with the exception of the important first month, post planting. In general, the amount of precipitation during the following two years tended to be slightly lower than the Climate Normals. Soils are a derivative of windblown Rhine valley sediments such as periglacial loess. These have a high water permeability and low water storage capacity. Consequently, the site tends to be dry which has the potential to limit tree growth in hot dry summers. Soil types and their freely-available nutrient composition are shown in Table 1, analysis was based on three samples and analyzed in accordance with established methodologies [37]. Nevertheless, the site conditions can be considered favorable for the culture of SRC poplar [2].
Table 1.
Research plot soil types and nutrient composition.
| Depth (cm) | Soil type | pH | Organic matter (%) | Nitrogen N (g kg−1) | Phosphorus P (mg kg−1) | Potassium K (mg kg−1) | Magnesium Mg (mg kg−1) |
|---|---|---|---|---|---|---|---|
| 0–30 | silty loam | 7.7 | 3.7 | 2.6 | 17.6 | 107.9 | 120.0 |
| 30–60 | clay loam | 7.8 | 2.1 | 1.3 | 8.8 | 33.2 | 110.0 |
| 60–90 | silty loam | 7.8 | 1.8 | 1.0 | 4.4 | 24.9 | 110.0 |
The sampled trees were sourced from a 0.06 ha SRC trial plantation established in spring 2007 on abandoned arable land using unrooted poplar cuttings “Hybride 275” (syn. NE42; Populus maximowiczii × P. trichocarpa) of approximately 1.5 m length. They were planted in four rows with a spacing of 1.0 m distance within the rows and 2.0 m between the rows, equivalent to a density of 5000 plants per ha, plot boundaries were unplanted. To control initial competitive weed growth, plastic mulch mats were used and subsequently removed after the first season. In order to control weed growth while avoiding chemical treatments the plot was manually brushcut every year. At no point were fertilizers, or cut-back treatments applied, thus above ground biomass remained in a single stemmed form. At the end of the third growing season all the trees were harvested, both shoots and roots were three years old.
2.2. Sampling and Measurement
In the field, dbh (diameter at breast height) and d0.1m was measured. To cover the whole range of dbh distribution within the stand a total number of 30 sample trees were chosen with regard to the spread of dbh found. The sample trees were then felled below a height of 0.1 m. Tree length was measured and subsequently the trees were de-branched. Stem and branches were cut into segments, with the cuts being located where the diameter of stems and branches increased in 1 cm intervals. For example a branch was cut where it had an exact diameter of 1.0 cm, 2.0 cm, 3.0 cm, etc., forming twelve diameter classes for all stem and branch sections. The fresh weight was determined for each class. Stem discs were taken at fixed heights of 0.1 m, 1.3 m, 3.0 m, 5.0 m, and 7.5 m for the construction of a fresh/dry- weight conversion factor and for the analysis of bark proportion. All sampled material was immediately wrapped in plastic bags to avoid moisture loss. Since the trees were felled during the period of winter dormancy, biomass refers to leafless above ground biomass.
Fresh weight of all branch and stem classes and removed buds were recorded for every tree. Stem discs and branch samples were oven-dried at 105 °C until reaching a constant weight. Buds were air dried by at an ambient air temperature of 25 °C for six months due to their high content of volatile parts and resins. The diameter of sample discs were measured in two directions perpendicular to each other and the discs were debarked. The fresh weight of the bark and the wood was recorded as well as the dry weight after the drying procedure.
Analysis for the determination of nitrogen, phosphorus, potassium, magnesium, and calcium content was carried out according to standardized procedure [38,39]. Wood and bark analysis was based on two homogenized samples taken from the 30 sampled trees. The first consisting of stem and branch pieces above 3 cm diameter and the second with pieces below 3 cm. Bark was removed from the sample pieces prior to analysis. The results presented reflect a mean of these two values. Wood and bark were analyzed separately. Buds were also sampled across the sample trees and analyzed separately as above.
2.3. Data Analysis
Data analysis was carried out using SPSS for Windows 20.0 software [40]. The level of significance was set at p = 0.05 for all analyses. Normality was tested with a Shapiro-Wilk test. ANOVA (Analysis of Variance) was carried out with a post hoc Tukey’s HSD (honestly significant difference) test to examine whether there were differences between measured tree parameters.
It is common practice to use allometric biomass equations (as given in Equation 1; all notations remain the same throughout where B (biomass) is the dependent variable, dbh the predictor variable, while a1, a2 and b are the regression coefficients) as a method of relating an easily measurable parameter to that of a less obtainable dependent factor such as dry tree weight. Height and dbh are frequently used as predictor variables, both known to be strongly indicative of dry above ground woody biomass [11,41,42].
B = a1 dbhb
Dry weight data for whole tree (exclusive of roots, stump and leaves), stem, branch, bark and bud fractions were natural log transformed as were dbh measurements, a common practice within biomass estimation procedures [26,43,44,45]. The log transformation of data on both x and y axis renders a linear relationship thus denoting the correct fitment of an allometric power model [46] rather than that provided by an exponential or polynomial function. The employment of this data transformation step provides the advantage of increased statistical power and scrutiny over that given by models constructed using non-linear methods. This can be attributed to the possibility to examine residuals and by the effective comparison of values ascertained for the adjusted coefficient of determination (R2adj). In this study the least-squares method of linear regression was carried out utilizing the log transformed data providing the model as given in Equation 2. Residuals were analyzed for homoscedasiticity and a normal distribution. Furthermore, a Durbin-Watson test was carried out to assess whether there was autocorrelation between residuals.
Ln(B) = a2 + b Ln(dbh)
Retransformation to arithmetic form was carried out using the regression coefficients deduced from the general linear function (Equation 2) applied to Equation 3.
B = exp(a2 + β) dbhb
Since the use of natural log transformed data shows a tendency to slightly under-predict the dependent variable [47,48,49] a correction factor (β) was applied as used previously [45] where Se is the standard error of the regression (Equation 4).
β = 0.5 Se2
3. Results & Discussion
3.1. Edge Effect
Mean values for dbh were 57 mm and 724 cm for length. It should be noted that length signifies a more accurate measurement post felling to be taken in contrast to height. No significant difference was observed utilising ANOVA with a post-hoc Tukey’s HSD test (normality assured) for the 30 sampled poplar concerning d0.1m, dbh and length, both between and within row groups (Table 2). Plant position within the plot experienced no foreseen edge effect, and thus the number of neighboring plants had no effect on growth.
Table 2.
Mean d0.1m, diameter at breast height (dbh) and length values (±SD) by row and test statistics (df = 3,26).
| Measured parameter | Row | d0.1m (mm) | dbh (mm) | Length (cm) |
|---|---|---|---|---|
| Row | A * (n = 9) | 83.3 (±25.2) | 58.9 (±20.0) | 721.1 (±186.5) |
| B ( n = 8) | 67.2 (±36.2) | 50.9 (±29.8) | 667.2 (±292.1) | |
| C ( n = 9) | 83.0 (±17.1) | 61.7 (±15.2) | 794.1 (±115.4) | |
| D * ( n = 4) | 76.4 (±22.7) | 57.1 (±18.1) | 688.7 (±148.3) | |
| Total | 78.0 (±26.0) | 57.4 (±21.0) | 724.3 (±196.8) | |
| Test Statistics | F | 0.680 | 0.374 | 0.621 |
| p (between groups) | 0.572 | 0.772 | 0.608 | |
| p (within groups) | 0.683 | 0.797 | 0.659 |
* row on edge of plot.
3.2. Models for Biomass Estimation
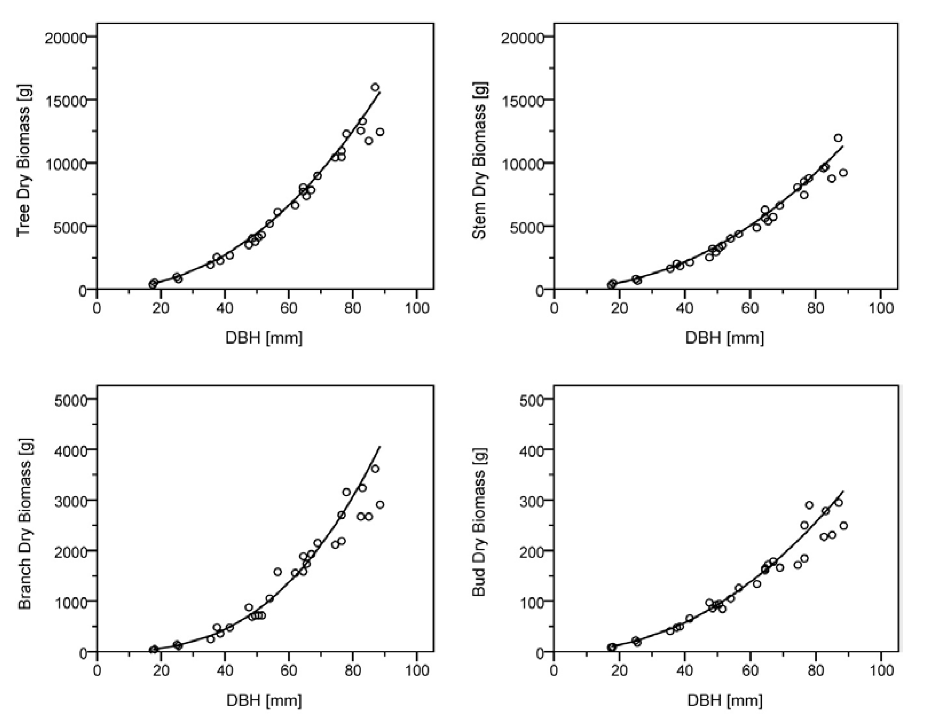
Through the analysis of data, height (vis-à-vis length), plus d0.1m were disregarded as a predictor variable since its inclusion provided little improvement of the model, furthermore, the accurate measurement of tree height in the field is difficult for the practitioner. Furthermore, this study concentrated on only one clonal variety on one site. Values for the dbh of sampled trees ranged between 18.0 and 89.0 mm. ANOVA conducted within the linear regression has shown that dbh can be considered a highly significant predictor (see Table 3) of above ground dry tree weight [9,11,12,45], as well as for all tree fractions: stem [10,44,45,50], branches [9,10,50], bark [21,34,35] leaves [9,26,44,50,51], and buds [33]. The utilization of the measurement of dbh is additionally a practical, convenient and widely practiced methodology, thus allowing the comparison of results between studies.
Residual analysis of log transformed data showed that the residuals were normally distributed and uncorrelated, indicating that the assumption of linearity and homoscedasticity were met. This implies that the sample trees were indeed selected independently of each other. Furthermore results of the Durbin-Watson test suggested that residual values were indeed independent and thus there was no autocorrelation within the dataset.
Table 3.
Estimated allometric parameters (applicable for Equation 3) and statistical output data for total above ground leafless biomass and individual tree compartments against dbh (df = 1,28).
| Compartment | Model | a2 | b | R2adj | Se | p |
|---|---|---|---|---|---|---|
| Above ground leafless biomass | 1 | −0.238 | 2.207 | 0.992 | 0.09 | <0.001 |
| Stem | 2 | −0.056 | 2.095 | 0.990 | 0.09 | <0.001 |
| Branch | 3 | −4.261 | 2.804 | 0.980 | 0.18 | <0.001 |
| Bud | 4 | −3.903 | 2.156 | 0.985 | 0.12 | <0.001 |
F-Value for Model 1 = 3513.7, Model 2 = 2910.8, Model 3 = 1410.5, Model 4 = 1963.3.
Figure 2.
Biomass model for leafless above ground biomass (top left) and constituent tree parts, stem (top right), branch (bottom left), and bud (bottom right). Parameters of the model applicable to Equation 3 are shown in Table 3.
Figure 2.
Biomass model for leafless above ground biomass (top left) and constituent tree parts, stem (top right), branch (bottom left), and bud (bottom right). Parameters of the model applicable to Equation 3 are shown in Table 3.

A high correlation for the total above ground leafless biomass and all constituent tree parts can be observed denoted by an exceptionally high value for R2adj. Furthermore, the regression coefficients derived through the retransformation (Equation 3) of the simple linear regression are given in Table 3 and plotted within Figure 2 for total above ground leafless biomass and component parts. It must be noted that such regression coefficients are limited to site and species, although it is possible with caution [49] to apply such allometric parameters to other locations that utilize the same species and clone.
3.3. Biomass Production
Calculated values for dry woody biomass separated by diameter class for both stem and branch compartments are given in Table 4. The division of all stem and branch compartments by tree into 1 cm diameter classes provided the opportunity to analyze compartmental allocation within detail.
Table 4.
Calculated dry weights for stem and branch sections by diameter class.
| dbh | n | Diametric class of segments (g) | |||||||||||
|---|---|---|---|---|---|---|---|---|---|---|---|---|---|
| (cm) | 0–1 | 1–2 | 2–3 | 3–4 | 4–5 | 5–6 | 6–7 | 7–8 | 8–9 | 9–10 | 10–11 | 11–12 | |
| Stem | |||||||||||||
| 0–1 | 0 | ||||||||||||
| 1–2 | 2 | 20.5 | 211.2 | 189.7 | 5.0 | ||||||||
| 2–3 | 2 | 14.8 | 112.4 | 239.3 | 395.5 | 16.7 | |||||||
| 3–4 | 3 | 13.8 | 95.9 | 352.7 | 572.7 | 453.4 | 442.8 | ||||||
| 4–5 | 3 | 15.3 | 123.4 | 296.2 | 516.7 | 624.4 | 779.7 | 408.2 | 19.6 | ||||
| 5–6 | 5 | 16.3 | 137.9 | 291.7 | 433.5 | 878.3 | 823.0 | 922.3 | 311.6 | 14.6 | |||
| 6–7 | 6 | 14.4 | 147.2 | 211.0 | 579.3 | 676.4 | 1200.6 | 999.9 | 1265.8 | 944.9 | 80.2 | ||
| 7–8 | 4 | 14.6 | 189.2 | 183.2 | 614.6 | 823.1 | 821.4 | 1679.1 | 997.7 | 1953.2 | 1082.5 | 355.4 | |
| 8–9 | 5 | 9.7 | 154.9 | 431.1 | 344.3 | 824.9 | 937.4 | 1635.5 | 1369.3 | 1548.7 | 1669.3 | 1193.5 | 348.3 |
| Branch | |||||||||||||
| 0–1 | 0 | ||||||||||||
| 1–2 | 2 | 36.6 | 2.4 | ||||||||||
| 2–3 | 2 | 124.7 | 7.0 | ||||||||||
| 3–4 | 3 | 280.5 | 100.2 | ||||||||||
| 4–5 | 3 | 518.4 | 195.5 | 3.4 | |||||||||
| 5–6 | 5 | 617.9 | 380.6 | 9.5 | |||||||||
| 6–7 | 6 | 968.1 | 886.1 | 51.1 | |||||||||
| 7–8 | 4 | 1250.7 | 1307.2 | 122.1 | |||||||||
| 8–9 | 5 | 1350.7 | 1620.8 | 215.1 | |||||||||
Over the entire three-year rotation, whole tree above ground woody biomass production attained over 35 odt ha−1 equivalent to 11.7 odt ha−1 year−1 (oven dried tonnes per hectare and year). This compares favorably with suggested production figures [2] and other studies utilizing SRC poplar, such as that reported as 9.4–9.8 odt ha−1 year−1 for the second rotation of the same clonal variety [52]. Table 5 shows the mean dry weight on a single tree basis used as a basis for the calculation of stand level yields (also displayed).
Strong correlations can be seen between dry branch weight and dbh. Branches represented 22.2% of total dry above ground woody biomass within the sample set which is equivalent to 2.60 odt ha−1 year−1 (Table 5). The quantification of branch biomass is an important factor when considering total above ground leafless biomass in the context of whole tree harvesting, since the amount of branches can influence the quantity but more importantly the quality of the final product.
Buds constituted a mean value of 2.0% of total above ground leafless dry biomass within the 30 sample trees. It should be noted that, irrespective of dbh, the relative proportion of buds remains relatively constant within the sampled trees. This is expected to be a genetically controlled trait and may differ between clonal varieties, and further research is required to quantify this assumption. It stands to reason that tree buds are packed with carbohydrates and contain a large nutrient load, given that they are used as a fraction of biomass feedstock principally with the removal of whole trees at harvest, the inclusion of bud biomass within a fuelstock can only increase the calorific value of the fuel.
Table 5.
Average biomass distribution after three years at tree and stand level (based on a mean dbhof 57.4 mm and a height of 724.3 cm).
| Compartment | Mean Dry Weight (kg) | Total Stand Biomass (odt ha−1 year−1) |
|---|---|---|
| Above ground leafless biomass | 7.02 | 11.70 |
| Stem | 5.32 (75.8% *) | 8.87 |
| Branch | 1.56 (22.2% *) | 2.60 |
| Bud | 0.14 (2.0% *) | 0.24 |
* Percentage of above ground leafless biomass.
3.4. Bark Proportion
Empirical values derived from stem sample sections per diametric class range from 42.5% (diameter 0–1 cm) bark content per stem disc to 11.6% (diameter 8–9 cm). Such values can be observed to decrease as diametric class increases given a greater ratio of wood to bark. It should be noted that there was insufficient data to statistically analyze diameter classes 10 and above, although these classes were present within the sampled trees (Table 4). Analysis through the use of ANOVA and a post hoc Tukey’s HSD test outlines distinct groups where values are significantly similar as shown in Figure 3.
Figure 3.
Biomass model for dry bark biomass by diameter class.Parameters of the model applicable to Equation 3 are shown in Table 7. Mean values with the same letter are not significantly different (Tukey HSD, significance level p < 0.05, p-values: a = 1.0, b = 1.0, c = 0.2).
Figure 3.
Biomass model for dry bark biomass by diameter class.Parameters of the model applicable to Equation 3 are shown in Table 7. Mean values with the same letter are not significantly different (Tukey HSD, significance level p < 0.05, p-values: a = 1.0, b = 1.0, c = 0.2).

The results gained through this investigation concur with previous research, which suggests that above diameters of 4 cm within the stem fraction, bark content is relatively constant [34]. Furthermore, it can now be suggested that this also includes marginally smaller diameters of 2 cm to 3 cm encompassing both stem and branch portions as shown in Figure 3.
As a result of plotting diameter class against percentage of dry bark within sampled stem sections (itself showing a high correlation between variables as can be seen in Table 6) percentage dry bark per diametric class could be calculated. This was carried out utilising log transformed linear regression methods and subsequently a retransformation with the inclusion of the correction factor using the function given in Equation 3 utilizing Se. This in turn was used to compute estimated absolute mean values for dry bark weight per diametric class and consequently an estimate of individual above ground dry bark biomass content. Values derived from the model are comparable to that of the sampled stem discs, a larger figure is given for the smallest diameter class due to the extrapolation of values by the model towards smaller stem diameters. A further graphical output of values with a regression line derived from the retransformed Equation 3 was produced for above ground dry bark biomass against dbh as shown in Figure 4.
Table 6.
Estimated allometric parameters for dry bark percentage by diametric class (df = 1,74) and above ground dry bark biomass (df = 1,28).
| Compartment | Model | a2 | b | R2adj | Se | p |
|---|---|---|---|---|---|---|
| Bark % (by Diameter Class) | 5 | 3.734 | −0.636 | 0.737 | 0.25 | <0.001 |
| Bark (Above Ground Biomass) * | 6 | −0.609 | 1.929 | 0.989 | 0.09 | <0.001 |
F-values: Model 5 = 210.8, Model 6 =2545.4; * based on calculated values from sample disc bark proportions.
Figure 4.
Biomass model for total above ground dry bark biomass.Parameters of the model applicable to Equation 3 are shown in Table 7.
Figure 4.
Biomass model for total above ground dry bark biomass.Parameters of the model applicable to Equation 3 are shown in Table 7.

Regression analysis suggests that dbh is also an excellent predictor variable for the estimation of dry bark weight. Detail of the derived estimated allometric parameters from the retransformed equation can also be seen in Table 6. It should be noted that the residuals from the regression analysis fulfilled the assumptions of linearity and normality while displaying no autocorrelation or heteroscedasticity.
Mean dry stem bark proportion for the total biomass of the three-year-old poplar on the study site constituted 16.8% of above ground leafless biomass corresponding to a biomass production yield of 1.93 odt ha−1 year−1. The reporting figure correlates with that reported by others [23], that bark percentage ranged from 18% to 27% for one and two-year-old plants derived from cuttings while in older trees (eight and twelve years) bark proportion ranges from 10% to 15%. This value can be further related to a study where values of 20% to 40% were reported for younger growing stock at one year old [53]. Given that bark proportion under similar growth conditions in SRC stands is closely proportional to tree age and thus stem diameter [54], younger growing stock will be expected to contain smaller diameter classes. Within such classes the bark proportion will be higher, as is demonstrated in Figure 3, where values of approximately 20% to 40% were found in stem sections of less than 3 cm. Intuitively, individuals with larger dbh measurements will contain more diameter classes with increased biomass weights both within stem and branch compartments. Using this information, it is further possible to calculate biomass production per diameter class on a stand level, thus inferring important components such as bark proportion.
3.5. Nutrient Content of Biomass
In Table 7 the elemental contents of the different compartments derived from a pilot study are shown in comparison to some values from the literature. Values gained for the stem fraction (wood and bark inclusive) are comparable with the same species of the same age as given in the literature [22]. As expected, the bark and buds have higher elemental contents than the wood. Bark content can also be linked to the branchiness of a particular genetic variety when given a higher frequency of smaller diameter tree parts. To reduce the amount of removed nutrients a high proportion of wood is therefore desirable. Given that young shoots have high bark proportions, and thus high nutrient values, the age of the shoots at harvest will also play a large part in the total removal of nutrients from the site. Recommendations against whole tree harvesting and for extended rotations have been made [16], however these suggestions conflict with the core aims of SRC culture.
Table 7.
Estimated elemental content in above ground biomass of selected poplar species.
| Species | Age (year) | N (kg odt−1) | P (kg odt−1) | K (kg odt−1) | Mg (kg odt−1) | Ca (kg odt−1) | Reference |
|---|---|---|---|---|---|---|---|
| PT × PT | 5 | 3.2 | 0.9 | 3.7 | 0.4 | 3.5 | [55] |
| PT × PT | 4 | 6.5 | 1.0 | 3.9 | 0.6 | 4.4 | [55] |
| PT × PT | 5 | 4.7 | 1.0 | 3.9 | 0.4 | 2.8 | [55] |
| PN × PM | 1 | 6.76 | 1.08 | 4.29 | 0.44 | 5.33 | [18] |
| PN × PM (bark) | 3 | 9.70 | 0.88 | 6.53 | 0.95 | 10.83 | [22] |
| PN × PM (bark) | 3 | 10.44 | 0.90 | 5.26 | 0.68 | 8.60 | [22] |
| PN × PM (stem) | 3 | 4.22 | 0.59 | 2.00 | 0.33 | 5.72 | [22] |
| PN × PM (stem) | 3 | 4.23 | 0.56 | 1.76 | 0.32 | 5.47 | [22] |
| PM × PT (stem) | 3 | 3.84 | 0.84 | 2.22 | 0.54 | 6.01 | This study |
| PM × PT (wood) | 3 | 1.97 | 0.53 | 1.14 | 0.32 | 1.96 | This study |
| PM × PT (bark) | 3 | 7.46 | 1.24 | 5.07 | 1.04 | 16.90 | This study |
| PM × PT (bud) | 3 | 8.81 | 1.64 | 4.22 | 1.41 | 4.21 | This study |
PM = P. maximowiczii; PT = P. trichocarpa; PD = P. detoides; PN = P. nigra.
Table 8 provides detail towards the estimated nutrient content held within the above ground woody biomass of the study clone on a per hectare and year basis. Across a three-year rotation it can be estimated that values of 106, 24, 65, 16, and 160 kg ha−1 of nitrogen, phosphorus, potassium, magnesium, and calcium respectively could have been sequestered within above ground leafless biomass. The removal of such quantities of each nutrient at harvest will have a cumulative negative effect on soil nutrient availability and lead to an increased need for fertilization to maintain site productivity.
Table 8.
Estimated elemental content in above ground biomass of a three-year-old poplar clone “Hybride 275” on a per hectare basis with an average yield of 11.7 odt ha−1 year−1.
| Compartment | N (kg ha−1 year−1) | P (kg ha−1 year−1) | K (kg ha−1 year−1) | Mg (kg ha−1 year−1) | Ca (kg ha−1 year−1) |
|---|---|---|---|---|---|
| Wood | 18.8 | 5.0 | 10.9 | 3.1 | 18.7 |
| Bark | 14.4 | 2.4 | 9.8 | 2.0 | 32.6 |
| Bud | 2.1 | 0.4 | 1.0 | 0.3 | 1.0 |
Using the models developed in this study, the amount of wood, bark, and buds are estimated as an illustration. It can be presupposed that biomass production can amount to 30 odt ha−1 within a three-year rotation. Such an example is produced assuming different diameters for the three-year-old trees thus influencing the numbers of trees per hectare. Figure 5 demonstrates the decrease in bark proportion with increasing diameter (dbh). Assuming similar growth conditions and clonal variety to that employed within this study, trees with a diameter of 4 cm would require a density of 11,143 trees ha−1 or for trees with a diameter of 10 cm a density of 1,461 trees ha−1 would be necessary to produce the prescribed 30 odt ha−1 of biomass within a three-year rotation. Comparing these two cases, the bark content would decrease from 25% to 19% of the total biomass. This equates to 7.46 odt ha−1 and 5.72 odt ha−1 correspondingly. As a consequence of this scenario, a higher quality product is ensured while providing a longer rotation both factors contributing to a reduction in the potential for nutrient removal from site.
Figure 5.
Percentage of biomass compartments assuming a three-year rotation with 30 odt ha−1 of biomass for seven different scenarios with increasing target dbh from 4 to 10 cm.
Figure 5.
Percentage of biomass compartments assuming a three-year rotation with 30 odt ha−1 of biomass for seven different scenarios with increasing target dbh from 4 to 10 cm.

4. Conclusions
The amount of bark within a biomass feedstock has a direct impact on the quality of the final product. Detailed information about the quantity is therefore of high interest. To overcome this knowledge gap a simple model is presented to predict the biomass of bark for a three-year-old poplar clone “Hybride 275”, using dbh as the predictor variable. Through the analysis of bark biomass production and an additional model to predict bud biomass, assumptions about the nutrient allocation are possible. The quantification of bark biomass at a stand level, utilizing a known diametric distribution, with the degree of branchiness of individual trees, allows for a qualitative insight into aspects of the final product. Furthermore, since larger diameter trees of the same age on the same site have a lower bark percentage, it can be inferred that larger diameter trees at the time of harvest will provide a higher quality end product than their smaller counterparts. Future research should expand this investigation encompassing differing clones, stool density, rotation length, and site conditions to further enhance quantative and qualitative dimensions to SRC production.
Acknowledgements
The authors would like to thank the staff, especially Andreas Dörr, Sharif Hasan Limon and Felix Baab all being involved in collecting and processing this data. We would also like to thank the two anonymous reviewers for their comments, which lead to the improvement of this article. This research was funded by the Federal Ministry of Education and Research (BMBF) within the AGROCOP project (support code 033L051B AGROCOP). The article processing charge was funded by the German Research Foundation (DFG) and the Albert Ludwigs University Freiburg in the funding program Open Access Publishing.
Conflict of Interest
The authors declare no conflict of interest.
References
- Ferm, A.; Kauppi, A. Coppicing as a means for increasing hardwood biomass production. Biomass 1990, 22, 107–121. [Google Scholar] [CrossRef]
- Mitchell, C.P.; Stevens, E.A.; Watters, M.P. Short-rotation forestry—Operations, productivity and costs based on experience gained in the UK. For. Ecol. Manag. 1999, 121, 123–136. [Google Scholar]
- Berg, Å. Breeding birds in short-rotation coppices on farmland in central Sweden—The importance of Salix height and adjacent habitats. Agric. Ecosyst. Environ. 2002, 90, 265–276. [Google Scholar] [CrossRef]
- Sage, R.; Cunningham, M.; Boatman, N. Birds in willow short-rotation coppice compared to other arable crops in central England and a review of bird census data from energy crops in the UK. IBIS 2006, 148, 184–197. [Google Scholar] [CrossRef]
- Rowe, R.L.; Hanley, M.E.; Goulson, D.; Clarke, D.J.; Doncaster, C.P.; Taylor, G. Potential benefits of commercial willow Short Rotation Coppice (SRC) for farm-scale plant and invertebrate communities in the agri-environment. Biomass Bioenergy 2011, 35, 325–336. [Google Scholar] [CrossRef]
- Dillen, S.; Marron, N.; Bastien, C.; Ricciotti, L.; Salani, F.; Sabatti, M.; Pinel, M.; Rae, A.; Taylor, G.; Ceulemans, R. Effects of environment and progeny on biomass estimations of five hybrid poplar families grown at three contrasting sites across Europe. For. Ecol. Manag. 2007, 252, 12–23. [Google Scholar]
- Al Afas, N.; Marron, N.; Zavalloni, C.; Ceulemans, R. Growth and production of a short-rotation coppice culture of poplar—IV: Fine root characteristics of five poplar clones. Biomass Bioenergy 2008, 32, 494–502. [Google Scholar] [CrossRef]
- Filat, M.; Chira, D.; Nica, M.; Dogaru, M. First year development of poplar clones in biomass short rotation coppiced experimental cultures. Ann. Forest Res. 2010, 53, 151–160. [Google Scholar]
- Ajit; Das, D.; Chaturvedi, O.; Jabeen, N.; Dhyani, S. Predictive models for dry weight estimation of above and below ground biomass components of Populus deltoides in India: Development and comparative diagnosis. Biomass Bioenergy 2011, 35, 1145–1152. [Google Scholar] [CrossRef]
- Truax, B.; Gagnon, D.; Fortier, J.; Lambert, F. Yield in 8 year-old hybrid poplar plantations on abandoned farmland along climatic and soil fertility gradients. For. Ecol. Manag. 2012, 267, 228–239. [Google Scholar] [CrossRef]
- Felix, E.; Tilley, D.R.; Felton, G.; Flamino, E. Biomass production of hybrid poplar (Populus sp.) grown on deep-trenched municipal biosolids. Ecol. Eng. 2008, 33, 8–14. [Google Scholar] [CrossRef]
- Pannacci, E.; Bartolini, S.; Covarelli, G. Evaluation of four poplar clones in a short rotation forestry in central Italy. Ital. J. Agron. 2009, 4, 191–198. [Google Scholar]
- Pontailler, J.Y.; Ceulemans, R.; Guittet, J. Biomass yield of poplar after five 2-year coppice rotations. Forestry 1999, 72, 157–163. [Google Scholar]
- Di Nassi o Nasso, N.; Guidi, W.; Ragaglini, G.; Tozzini, C.; Bonari, E. Biomass production and energy balance of a 12-year-old short-rotation coppice poplar stand under different cutting cycles. GCB Bioenergy 2010, 2, 89–97. [Google Scholar] [CrossRef]
- White, E.H. Whole-tree harvesting depletes soil nutrients. Can. J. For. Res 1974, 4, 530–535. [Google Scholar] [CrossRef]
- Hansen, E.; Baker, J. Biomass and Nutrient Removal in Short Rotation Intensively Cultured Plantations. In Proceedings of the Symposium on Impact of Intensive Harvesting on Forest Nutrient Cycling, Syracuse, NY, USA, 13–16 August 1979; pp. 130–151.
- Van Hook, R.I.; Johnson, D.W.; West, D.C.; Mann, L.K. Environmental effects of harvesting forests for energy. For. Ecol. Manag. 1982, 4, 79–94. [Google Scholar] [CrossRef]
- Adegbidi, H.G.; Volk, T.; White, E.H.; Abrahamson, L.P.; Briggs, R.D.; Bickelhaupt, D.H. Biomass and nutrient removal by willow clones in experimental bioenergy plantations in New York State. Biomass Bioenergy 2001, 20, 399–411. [Google Scholar] [CrossRef]
- Rytter, L. Nutrient content in stems of hybrid aspen as affected by tree age and tree size, and nutrient removal with harvest. Biomass Bioenergy 2002, 23, 13–25. [Google Scholar] [CrossRef]
- Switzer, G.L.; Nelson, L.E.; Baker, J.B. Accumulation and Distribution of Dry Matter and Nutrients in Aigeiros Poplar Plantations. In Proceedings of the Symposium on Eastern Cottonwood and Related Species, Greenville, MS, USA, 28 September–2 October 1976; pp. 359–369.
- Adler, A.; Verwijst, T.; Aronsson, P. Estimation and relevance of bark proportion in a willow stand. Biomass Bioenergy 2005, 29, 102–113. [Google Scholar] [CrossRef]
- Tharakan, P.J.; Volk, T.A.; Abrahamson, L.P.; White, E.H. Energy feedstock characteristics of willow and hybrid poplar clones at harvest age. Biomass Bioenergy 2003, 25, 571–580. [Google Scholar]
- Klasnja, B.; Kopitovic, S.; Orlovic, S. Wood and bark of some poplar and willow clones as fuelwood. Biomass Bioenergy 2002, 23, 427–432. [Google Scholar] [CrossRef]
- Zavitkovski, J. Small plots with unplanted plot border can distort data in biomass production studies. Can. J. For. Res. 1981, 11, 9–12. [Google Scholar] [CrossRef]
- Verwijst, T.; Telenius, B. Biomass estimation procedures in short rotation forestry. Forest Ecol. Manag. 1999, 121, 137–146. [Google Scholar] [CrossRef]
- Kittredge, J. Estimation of the amount of foliage of trees and stands. J. For. 1944, 42, 905–912. [Google Scholar]
- Clough, B.F.; Scott, K. Allometric relationships for estimating above-ground biomass in six mangrove species. For. Ecol. Manag. 1989, 27, 117–127. [Google Scholar] [CrossRef]
- Haase, R.; Haase, P. Above-ground biomass estimates for invasive trees and shrubs in the Pantanal of Mato Grosso, Brazil. For. Ecol. Manag. 1995, 73, 29–35. [Google Scholar] [CrossRef]
- Nordh, N.; Verwijst, T. Above-ground biomass assessments and first cutting cycle production in willow (Salix sp.) coppice—A comparison between destructive and non-destructive methods. Biomass Bioenergy 2004, 27, 1–8. [Google Scholar] [CrossRef]
- Zianis, D.; Muukkonen, P.; Mäkipää, R.; Mencuccini, M. Biomass and Stem Volume Equations for Tree Species in Europe. Silva Fennica Monographs 4; The Finnish Society of Forest Science, The Finnish Forest Research Institute: Vantaa, Finland, 2005. [Google Scholar]
- Fang, S.; Xue, J.; Tang, L. Biomass production and carbon sequestration potential in poplar plantations with different management patterns: Carbon sequestration in China’s forest ecosystems. J. Environ. Manag. 2007, 85, 672–679. [Google Scholar] [CrossRef]
- Paris, P.; Mareschi, L.; Sabatti, M.; Pisanelli, A.; Ecosse, A.; Nardin, F.; Scaracia-Mugnozza, G.E. Comparing hybrid Populus clones for SRF across northern Italy after two biennial rotations: Survival, growth and yield: Socioeconomic dimensions of U.S. bioenergy. Biomass Bioenergy 2011, 35, 1524–1532. [Google Scholar]
- Burström, H. The rate of the nutrient transport to swelling buds of trees. Physiol. Plant. 1948, 1, 124–135. [Google Scholar]
- Guidi, W.; Piccioni, E.; Ginanni, M.; Bonari, E. Bark content estimation in poplar (Populus deltoides L.) short-rotation coppice in central Italy. Biomass Bioenergy 2008, 32, 518–524. [Google Scholar] [CrossRef]
- Subedi, M.R.; Sharma, R.P. Allometric biomass models for bark of Cinnamomum tamala in mid-hill of Nepal. Biomass Bioenergy 2012, 47, 44–49. [Google Scholar] [CrossRef]
- Deutscher Wetterdienst (DWD). Web-based Weather Request and Distribution System (WebWerdis). Available online: http://www.dwd.de/webwerdis (accessed on 15 February 2013).
- VDLUFA (Association of German Agricultural Analytic and Research Institutes), Methods Book I “Soil Analysis” (1st–6th Supplement Delivery), 4th ed.; VDLUFA-Verlag: Darmstadt, Germany, 1991.
- VDLUFA (Association of German Agricultural Analytic and Research Institutes), Methods Book III “The Chemical Analysis of Feedstuffs” (1st–8th Supplement Delivery), 3rd ed.; VDLUFA-Verlag: Darmstadt, Germany, 1976.
- VDLUFA (Association of German Agricultural Analytic and Research Institutes), Methods Book VII “Environmental Analytics”, 4th ed.; VDLUFA-Verlag: Darmstadt, Germany, 2011.
- IBM SPSS Statistics for Windows; IBM Corp.: Armonk, NY, USA, 2011.
- Rock, J. Suitability of published biomass equations for aspen in central Europe—Results from a case study. Biomass Bioenergy 2007, 31, 299–307. [Google Scholar] [CrossRef]
- Zianis, D. Predicting mean aboveground forest biomass and its associated variance. For. Ecol. Manag. 2008, 256, 1400–1407. [Google Scholar] [CrossRef]
- Sprugel, D.G. Correcting for bias in log-transformed allometric equations. Ecology 1983, 64, 209–210. [Google Scholar] [CrossRef]
- Okello, B.D.; O’Connor, T.G.; Young, T.P. Growth, biomass estimates, and charcoal production of Acacia drepanolobium in Laikipia, Kenya. For. Ecol. Manag. 2001, 142, 143–153. [Google Scholar] [CrossRef]
- Snorrason, A.; Einarsson, S.F. Single-tree biomass and stem volume functions for eleven tree species used in Icelandic forestry. Icel. Agric. Sci. 2006, 19, 15–24. [Google Scholar]
- Picard, N.; Saint-André, L.; Henry, M. Manual for Building Tree Volume and Biomass Allometric Equations: From firom Measurement to Prediction; Food and Agricultural Organization of the United Nations: Rome, Italy; Centre de Coopération Internationale en Recherche Agronomique pour le Développement: Montpellier, France, 2012. [Google Scholar]
- Meyer, H.A. A correction for a systematic error occurring in the application of the logarithmic volume equation. Penn. State For. School. Res. Paper 1942, 42, 905–912. [Google Scholar]
- Lee, C.Y. Comparison of two correction methods for the bias due to the logarithmic transformation in the estimation of biomass. Can. J. For. Res. 1982, 12, 326–331. [Google Scholar] [CrossRef]
- Crow, T. A guide to using regression equations for estimating tree biomass. North. J. Appl. For. 1988, 5, 15–22. [Google Scholar]
- Johansson, T. Biomass equations for determining fractions of common and grey alders growing on abandoned farmland and some practical implications. Biomass Bioenergy 2000, 18, 147–159. [Google Scholar] [CrossRef]
- Pellis, A.; Laureysens, I.; Ceulemans, R. Growth and production of a short rotation coppice culture of poplar I. Clonal differences in leaf characteristics in relation to biomass production. Biomass Bioenergy 2004, 27, 9–19. [Google Scholar] [CrossRef]
- Benetka, V.; Vrátný, F.; Šálková, I. Comparison of the productivity of Populus nigra L. with an interspecific hybrid in a short rotation coppice in marginal areas. Biomass Bioenergy 2007, 31, 367–374. [Google Scholar] [CrossRef]
- Anderson, H.W.; Balatinecz, C.P.; Chen, C.P.; Roy, D.N. Internal Biomass Characteristics for Efficient Energy Conversion. In Proceedings of the Joint Workshop of lEA/FE Programme Groups B, C and D, Uppsala, Sweden, 11 June 1984; Morgan, D.J., Gambles, R.L., Zsuffa, L., Eds.; International Energy Agency: Toronto, Canada, 1984; pp. 31–56. [Google Scholar]
- Kenney, W.A.; Sennerby-Forsse, L.; Layton, P. A review of biomass quality research relevant to the use of poplar and willow for energy conversion. Biomass 1990, 21, 163–188. [Google Scholar] [CrossRef]
- Jug, A.; Hofmann-Schielle, C.; Makeschin, F.; Rehfuess, K.E. Short-rotation plantations of balsam poplars, aspen and willows on former arable land in the Federal Republic of Germany. II. Nutritional status and bioelement export by harvested shoot axes. For. Ecol. Manag. 1999, 121, 67–83. [Google Scholar] [CrossRef]
© 2013 by the authors; licensee MDPI, Basel, Switzerland. This article is an open access article distributed under the terms and conditions of the Creative Commons Attribution license (http://creativecommons.org/licenses/by/3.0/).