The Combined Effect of Taproot and Fibrous Roots of Herbaceous Plants and Shrubs on the Distribution of Soil Water-Stable Aggregates
Abstract
1. Introduction
2. Materials and Methods
2.1. Study Area
2.2. Collection of Soil Samples
2.3. Collection of Root Samples
2.4. Data Analysis
3. Results
3.1. Distribution Characteristics of the >0.25 mm Soil Water-Stable Aggregates
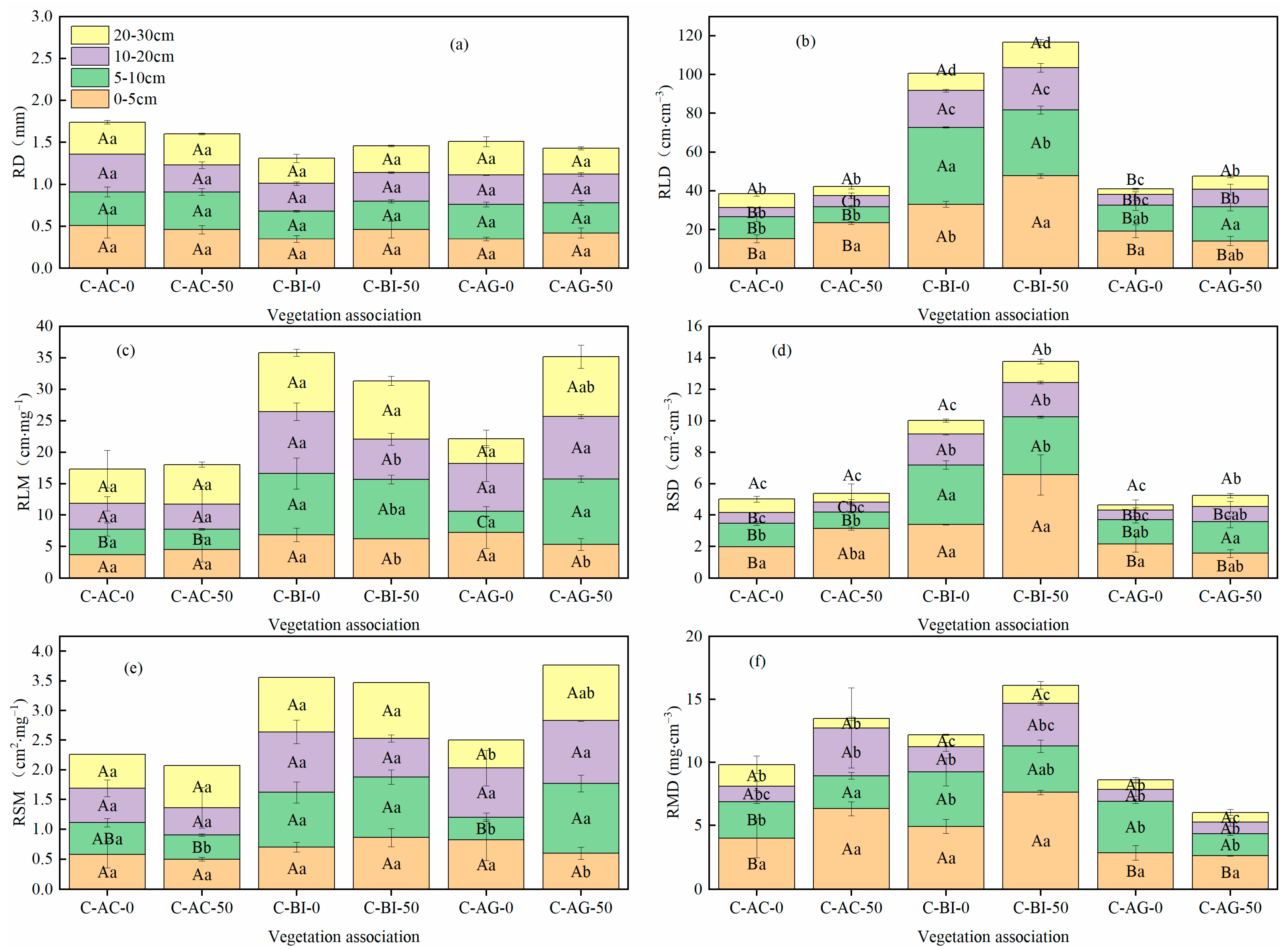
3.2. Root and Soil Trait Distribution Characteristics
3.3. Influence of Root Traits on >0.25 mm Soil Water-Stable Aggregates
4. Discussion
5. Conclusions
Author Contributions
Funding
Data Availability Statement
Conflicts of Interest
Appendix A
| Indicator | Formula | R2 | |
|---|---|---|---|
| C-AC | RMD | y = 3.76x0.41 | 0.35 |
| RLD | y = 1.02x0.77 | 0.83 | |
| RLM | y = 6.99X−0.21 | 0.02 | |
| RSD | y = 4.95X0.67 | 0.55 | |
| RSM | y = 4.88X−0.10 | 0.004 | |
| RD | y = 30.69X2.02 | 0.37 | |
| C-BI | RMD | y = 8.52x0.52 | 0.75 |
| RLD | y = 2.13x0.61 | 0.7 | |
| RLM | y = 93.68x−0.88 | 0.24 | |
| RSD | y = 8.53x0.59 | 0.83 | |
| RSM | y = 14.48x−0.26 | 0.01 | |
| RD | y = 99.97x1.74 | 0.6 | |
| C-AG | RMD | y = 14.11x0.43 | 0.44 |
| RLD | y = 3.66x0.70 | 0.7 | |
| RLM | y = 13.24x0.12 | 0.003 | |
| RSD | y = 16.85x0.75 | 0.73 | |
| RSM | y = 17.41x0.13 | 0.003 | |
| RD | y = 35.40x0.75 | 0.09 |
| RLD | RSD | RD | ||
|---|---|---|---|---|
| C-AC | RLD | 1 | 0.98 ** | 0.37 |
| RSD | 0.98 ** | 1 | 0.47 | |
| RD | 0.37 | 0.47 | 1 | |
| C-BI | RLD | 1 | 0.93 ** | 0.57 * |
| RSD | 0.93 ** | 1 | 0.81 ** | |
| RD | 0.57 * | 0.81 ** | 1 | |
| C-AG | RLD | 1 | 0.99 ** | 0.04 |
| RSD | 0.99 ** | 1 | 0.12 | |
| RD | 0.04 | 0.12 | 1 |


References
- Zhao, T.L.; Wang, X.X. Development and orientation of research work on soil degradation. J. Nat. Resour. 2000, 15, 280–284. [Google Scholar] [CrossRef]
- Baveye, P.C.; Jacques, B.; John, G. Soil “ecosystem” services and natural capital: Critical appraisal of research on uncertain ground. Front. Environ. Sci. 2016, 4, 41–49. [Google Scholar] [CrossRef]
- Wang, C.; Ma, J.; Wang, Y.; Li, Z.; Ma, B. The influence of wheat straw mulching and straw length on infiltration, runoff and soil loss. Hydrol. Process 2022, 36, e14561. [Google Scholar] [CrossRef]
- Jin, F.M.; Yang, W.C.; Fu, J.X.; Li, Z. Effects of vegetation and climate on the changes of soil erosion in the Loess Plateau of China. Sci. Total Environ. 2021, 773, 145514. [Google Scholar] [CrossRef]
- Wang, C.G.; Li, H.R.; Xue, S.B.; Ma, B.; Shang, Y.Z.; Li, Z.B. How root and soil properties affect soil detachment capacity in different grass–shrub plots: A flume experiment. Catena 2023, 229, 107221. [Google Scholar] [CrossRef]
- Wang, Y.; Ran, L.; Fang, N.; Shi, Z.H. Aggregate stability and associated organic carbon and nitrogen as affected by soil erosion and vegetation rehabilitation on the Loess Plateau. Catena 2018, 167, 257–265. [Google Scholar] [CrossRef]
- Wang, B.; Zhang, G.H.; Shi, Y.Y.; Zhang, C.X. Soil detachment by overland flow under different vegetation restoration models in the Loess Plateau of China. Catena 2014, 116, 51–59. [Google Scholar] [CrossRef]
- Lie, X.; Yao, K.H.; Li, P.; Liu, y.; Chang, E.H.; Zhang, Y.; Zhu, T.T. Increased soil aggregate stability is strongly correlated with root and soil properties along a gradient of secondary succession on the Loess Plateau. Ecol. Eng. 2020, 143, 105671. [Google Scholar] [CrossRef]
- Six, J.; Paustian, K. Aggregate-associated soil organic matter as an ecosystem property and a measurement tool. Soil. Biol. Biochem. 2014, 68, A4–A9. [Google Scholar] [CrossRef]
- Ju, T.H.; Yang, K.; Chang, L.; Zhang, K.Y.; Wang, X.Y.; Zhang, J.L.; Xu, B.; Li, Y.F. Microplastics sequestered in the soil affect the turnover and stability of soil aggregates: A review. Sci. Total Environ. 2023, 904, 166776. [Google Scholar] [CrossRef]
- Liu, J.Y.; Zhou, Z.C.; Su, X.M. Review of the Mechanism of Root System on the Formation of Soil Aggregates. J. Soil. Water Conserv. 2020, 34, 267–273. [Google Scholar] [CrossRef]
- Liu, C.G.; Li, Z.B.; Fu, S.H.; Ding, L.; Wu, G. Influence of soil aggregate characteristics on the sediment transport capacity of overland flow. Geoderma 2020, 369, 114338. [Google Scholar] [CrossRef]
- Liu, Y.L.; Wang, P.; Wang, J.K. Formation and Stability Mechanism of Soil Aggregates: Progress and Prospect. Acta Pedol. Sin. 2023, 60, 627–643. [Google Scholar] [CrossRef]
- Li, Z.W.; Zhang, G.H.; Geng, R.; Wang, H.; Zhang, X.C. Land use impacts on soil detachment capacity by overland flow in the Loess Plateau, China. Catena 2015, 124, 9–17. [Google Scholar] [CrossRef]
- Garcia, L.; Damour, G.; Gary, C.; Follain, S.; Le, B.S.; Metay, A. Trait-based approach for agroecology: Contribution of service crop root traits to explain soil aggregate stability in vineyards. Plant Soil. 2019, 435, 1–14. [Google Scholar] [CrossRef]
- Zhao, F.W.; Wang, N.; Su, X.M.; Li, Q.J. Effects of Main Plant Roots on Soil Organic Matter and Aggregates in Loess Hilly Region. J. Soil Water Conserv. 2019, 33, 105–113. [Google Scholar] [CrossRef]
- Li, Q.; Liu, G.B.; Zheng, Z.; Tuo, D.F.; Bai, R.R.; Qiao, F.F. Relative contribution of root physical enlacing and biochemistrical exudates to soil erosion resistance in the Loess soil. Catena 2017, 153, 61–65. [Google Scholar] [CrossRef]
- Demenois, J.; Carriconde, F.; Bonaventure, P.; Jean, L.M.; Alexia, S.; Freddy, R. Impact of plant root functional traits and associated mycorrhizas on the aggregate stability of a tropical Ferralsol. Geoderma 2018, 312, 6–16. [Google Scholar] [CrossRef]
- Wang, B.; Zhang, G.H.; Yang, Y.F.; Li, P.P.; Liu, J.X. The effects of varied soil properties induced by natural grassland succession on the process of soil detachment. Catena 2018, 166, 192–199. [Google Scholar] [CrossRef]
- Ma, J.Y.; Ma, B.; Li, Z.B.; Wang, C.G.; Shang, Y.Z.; Zhang, Z.Y. Determining the mechanism of the root effect on soil detachment under mixed modes of different plant species using flume simulation. Sci. Total Environ. 2023, 858, 159888. [Google Scholar] [CrossRef]
- Jia, M.L.; Fan, J.; Wang, Y.F. Differences of Soil Water Characteristic and Above-ground Biomass between Single and Composite Vegetation in Water-Wind Erosion Crisscross Region. Acta Agrestia Sin. 2015, 23, 1197–1205. [Google Scholar] [CrossRef]
- Shao, Y.M.; Gao, Y.H.; Liu, J.B.; Fu, B.J. Effects of vertical cover structure of grass and shrub on reducing runoff and soil loss under natural rainfall in the loess hilly region. Acta Ecol. Sin. 2022, 42, 322–331. [Google Scholar] [CrossRef]
- Yan, B.L. Shurb-Herbaceous Interactions in a Desert Steppe under Different Stocking Rate. Ph.D. Thesis, Inner Mongolia Agricultural University, Hohhot, China, 2019. [Google Scholar]
- Chen, H.; Zhang, X.P.; Abla, M.; Du, L.; Yan, R.; Ren, Q.F.; Ren, Z.Y.; Yang, Y.H.; Zhao, W.H.; Lin, P.F.; et al. Effects of vegetation and rainfall types on surface runoff and soil erosion on steep slopes on the Loess Plateau, China. Catena 2018, 170, 141–149. [Google Scholar] [CrossRef]
- Ma, J.Y.; Li, Z.B.; Sun, B.Y.; Ma, B. Mechanism and modeling of different plant root effects on soil detachment rate. Catena 2022, 212, 106109. [Google Scholar] [CrossRef]
- Gao, H.D.; Li, Z.B.; Li, P.; Jia, L.L.; Pang, G.W.; Xu, G.C. Concept and calculation methods of erosion control degree: A case study of the Wangmaogou Watershed. Soil. Water Conserv. China 2013, 11, 17–24. [Google Scholar] [CrossRef]
- Dong, X.; Xin, Z.M.; Huang, Y.R.; Li, X.L.; Hao, Y.G.; Liu, F.; Liu, M.H.; Li, W. Soil stoichiometry in typical shrub communities in the Ulan Buh Desert. Acta Ecol. Sin. 2019, 39, 6247–6256. [Google Scholar] [CrossRef]
- Zhang, M.K.; Walelign, D.B.; Tang, H.J. Effects of Biochar’s Application on Active Organic Carbon Fractions in Soil. J. Soil Water Conserv. 2012, 26, 127–137. [Google Scholar]
- Wang, D.; Fu, B.J.; Chen, L.D.; Zhao, W.W.; Wang, Y.F. Fractal analysis on soil particle size distributions under different land-use types: A case study in the loess hilly areas of the Loess Plateau, China. Acta Ecol. Sin. 2007, 27, 3081–3089. [Google Scholar] [CrossRef]
- Wang, B.; Li, P.P.; Huang, C.H.; Liu, G.B.; Yang, Y.F. Effects of root morphological traits on soil detachment for ten herbaceous species in the Loess Plateau. Sci. Total Environ. 2021, 754, 142304. [Google Scholar] [CrossRef]
- Bai, L.X.; Fan, P.M.; Wang, Z.L.; Wang, T.; Deng, C.; Li, Y.M. Relationship Between Root Characteristics and Aggregate stability in the Field with Maize and Soybean Intercropping. Res. Soil. Water Conserv. 2019, 26, 124–129. [Google Scholar] [CrossRef]
- Le, B.Y.; Prieto, I.; Roumet, C.; Jérôme, N.; James, M.; Sylvain, H.; Mario, V.; Alexia, S. Soil aggregate stability in Mediterranean and tropical agro-ecosystems: Effect of plant roots and soil characteristics. Plant Soil. 2018, 424, 303–317. [Google Scholar] [CrossRef]
- Wu, M.S.; Wu, X. Application of Path Analysis on Forestry Multivariate Linear Model Collinearity Analysis. J. West China For. Sci. 2008, 37, 87–92. [Google Scholar] [CrossRef]
- Vannoppen, W.; De, B.S.; Keeble, J.; Dong, Y.; Poesen, J. How do root and soil characteristics affect the erosion-reducing potential of plant species. Ecol. Eng. 2017, 109, 186–195. [Google Scholar] [CrossRef]
- Materechera, S.A.; Alston, A.M.; Kirby, J.M.; Dexter, A.R. Influence of root diameter on the penetration of seminal roots into a compacted subsoi. Plant Soil. 1992, 144, 297–303. [Google Scholar] [CrossRef]
- Lu, J.R.; Zhang, Q.; Werner, A.D.; Li, Y.L.; Jiang, S.Y.; Tan, Z.Q. Root-induced changes of soil hydraulic properties–A review. J. Hydrol. 2020, 589, 125203. [Google Scholar] [CrossRef]
- Li, Y.; Xu, X.Q.; Zhu, X.M.; Tian, J.Y. Effectiveness of Plant Roots Strengthening Soil Permeability in the Loess Plateau. Chin. Sci. Bull. 1992, 4, 366–369. [Google Scholar] [CrossRef]
- Wu, Y.; Liu, S.Q.; Fu, X.Q.; Wang, J.X. Study on Improving Soil’s Waterstable Aggregates Amounts by Botanic Roots. J. Soil. Water Conserv. 1997, 1, 46–50. [Google Scholar]
- Fernando, D.L.G.; Gutiérrez, C.M.C.; González, C.M.C.A.; Juárez, C.H. Root-aggregation in a pumiceous sandy soil. Geoderma 2007, 142, 308–317. [Google Scholar] [CrossRef]
- Reubens, B.; Poesen, J.; Danjon, F.; Guy, G.; Bart, M. The role of fine and coarse roots in shallow slope stability and soil erosion control with a focus on root system architecture: A review. Trees 2007, 21, 385–402. [Google Scholar] [CrossRef]
- Xu, X.; Guan, H.D.; Deng, Z.J. Isotopic composition of throughfall in pine plantation and native eucalyptus forest in South Australia. J. Hydrol. 2014, 514, 150–157. [Google Scholar] [CrossRef]
- Qin, R.J. Effect of Herbage Growth on Dynamic Changes on Soil Aggregates and Nutrients. Ph.D. Thesis, Northwest A&F University, Xianyang, China, 2012. [Google Scholar]
- Fan, Y.; Miguez, M.G.; Jobbagy, E.G.; Jackson, R.B.; Casal, C.O. Hydrologic regulation of plant rooting depth. Proc. Natl. Acad. Sci. USA 2017, 114, 10572–10577. [Google Scholar] [CrossRef] [PubMed]
- Baumert, V.L.; Vasilyeva, N.A.; Vladimirov, A.A.; Meier, I.N. Root exudates induce soil macroaggregation facilitated by fungi in subsoil. Front. Environ. Sci. 2018, 6, 140–146. [Google Scholar] [CrossRef]
- You, Z.; Yao, X.; Jing, H.; Gu, L.C.; Wang, G.L. Coordinated Variation Between Root Distributions and Soil Aggregate Characteristics at Different Successional Stages. Res. Soil. Water Conserv. 2016, 23, 20–25. [Google Scholar] [CrossRef]
- Hobson, D.J.; Harty, M.A.; Langton, D.; Kevin, M.D.; Saoirse, R.T. The establishment of winter wheat root system architecture in field soils: The effect of soil type on root development in a temperate climate. Soil. Use Manag. 2023, 39, 198–208. [Google Scholar] [CrossRef] [PubMed]
- Moacir, T.D.M.; Debiasi, H.; Franchini, J.C.; Alexandra, A.M.; Renato, L.; Daniel, L.; Andrea, S. Soil compaction impacts soybean root growth in an Oxisol from subtropical Brazil. Soil. Till Res. 2020, 200, 104611. [Google Scholar] [CrossRef]
- Li, Q.; Liu, G.B.; Xu, M.X.; Zhang, Z.; Sun, H. Soil anti-scouribility and its related physical properties on abandoned land in the Hilly Loess Plateau. Trans. Chin. Soc. Agric. Eng. 2013, 29, 153–159. [Google Scholar]
- Zuo, X.A.; Zhao, X.Y.; Zhao, H.L.; Guo, T.R.; Li, Y.L.; Liu, R.T.; Mao, W. Effects of shrub on understory herbaceous plants and soil properties in the restoration processes of degraded vegetation in Horqin Sand Land. Ecol. Environ. 2009, 18, 643–647. [Google Scholar] [CrossRef]
- Anderson, R.; Brye, K.R.; Wood, L.S. Soil aggregate stability as affected by landuse and soil properties in the lower mississippi river valley. Soil Sci. Soc. Am. J. 2019, 83, 1512–1524. [Google Scholar] [CrossRef]
- Cao, S.; Zhou, Y.Z.; Zhou, Y.Y.; Zhou, X.; Zhou, W.J. Soil organic carbon and soil aggregate stability associated with aggregate fractions in a chronosequence of citrus orchards plantations. J. Environ. Manag. 2021, 293, 112847. [Google Scholar] [CrossRef]
- Chen, Y.T.; Wang, Y.; Yeh, K.C. Role of root exudates in metal acquisition and tolerance. Curr. Opin. Plant Biol. 2017, 39, 66–72. [Google Scholar] [CrossRef]




| Vegetation Association | Root Architecture | Plant-Row | Longitude |
|---|---|---|---|
| Spacing (cm × cm) | and Latitude | ||
| C-AC | Taproot and fibrous | 150 × 120 | 110°22′15″ E, |
| 37°36′40″ N | |||
| C-BI | Taproot and fibrous | 140 × 120 | 110°22′20″ E, |
| 37°36′35″ N | |||
| C-AG | Taproot and Taproot | 140 × 110 | 110°22′30″ E, |
| 37°36′32″ N |
| Root Indicators | Abbreviation | Unit | Calculation Methods |
|---|---|---|---|
| root length density | RLD | cm·cm−3 | |
| root area density | RSD | cm2·cm−3 | |
| specific root length | RLM | cm·mg−1 | |
| root weight density | RMD | mg·cm−3 | |
| root specific surface area | RSM | cm2·mg−1 |
| Variable | F | Significance | Contribution Rate of Each Source (%) |
|---|---|---|---|
| Vegetation association | 570.61 | <0.01 | 46.18 |
| Distance | 182.74 | <0.01 | 7.37 |
| Depth | 275.8 | <0.01 | 33.42 |
| Vegetation association × distance | 39.31 | <0.01 | 3.11 |
| Vegetation association × depth | 16.78 | <0.01 | 3.84 |
| Distance × Depth | 14.58 | <0.01 | 1.65 |
| Vegetation association × Distance × Depth | 11.43 | <0.01 | 2.54 |
| Error | 1.91 |
| C-AC | C-BI | C-AG | |
|---|---|---|---|
| RLD | 0.79 | 0.75 | 0.76 |
| RD | 0.6 | 0.66 | 0.65 |
| Clay | Silt | Sand | SOM | BD | |
|---|---|---|---|---|---|
| C-AC-macroaggregates | 0.62 * | 0.04 | −0.18 | 0.96 * | −0.92 * |
| C-BI-macroaggregates | 0.20 | 0.07 | −0.14 | 0.89 * | −0.68 * |
| C-AG-macroaggregates | 0.12 | −0.34 | −0.25 | 0.90 * | −0.77 * |
| Direct Path Coefficient | Indirect Path Coefficient | |
|---|---|---|
| C-AC | 0.91 * | 0.81 * |
| C-BI | 0.9 * | 0.76 * |
| C-AG | 0.91 * | 0.73 * |
Disclaimer/Publisher’s Note: The statements, opinions and data contained in all publications are solely those of the individual author(s) and contributor(s) and not of MDPI and/or the editor(s). MDPI and/or the editor(s) disclaim responsibility for any injury to people or property resulting from any ideas, methods, instructions or products referred to in the content. |
© 2024 by the authors. Licensee MDPI, Basel, Switzerland. This article is an open access article distributed under the terms and conditions of the Creative Commons Attribution (CC BY) license (https://creativecommons.org/licenses/by/4.0/).
Share and Cite
Wang, C.; Miao, J.; Liu, C.; Ma, B.; Li, X.; Li, G.; Li, Z. The Combined Effect of Taproot and Fibrous Roots of Herbaceous Plants and Shrubs on the Distribution of Soil Water-Stable Aggregates. Forests 2024, 15, 1644. https://doi.org/10.3390/f15091644
Wang C, Miao J, Liu C, Ma B, Li X, Li G, Li Z. The Combined Effect of Taproot and Fibrous Roots of Herbaceous Plants and Shrubs on the Distribution of Soil Water-Stable Aggregates. Forests. 2024; 15(9):1644. https://doi.org/10.3390/f15091644
Chicago/Turabian StyleWang, Chenguang, Jiahe Miao, Chenguang Liu, Bingzhao Ma, Xueyan Li, Gui Li, and Zhanbin Li. 2024. "The Combined Effect of Taproot and Fibrous Roots of Herbaceous Plants and Shrubs on the Distribution of Soil Water-Stable Aggregates" Forests 15, no. 9: 1644. https://doi.org/10.3390/f15091644
APA StyleWang, C., Miao, J., Liu, C., Ma, B., Li, X., Li, G., & Li, Z. (2024). The Combined Effect of Taproot and Fibrous Roots of Herbaceous Plants and Shrubs on the Distribution of Soil Water-Stable Aggregates. Forests, 15(9), 1644. https://doi.org/10.3390/f15091644

