Investigating the Influence of Tenon Dimensions on White Oak (Quercus alba) Mortise and Tenon Joint Strength
Abstract
1. Introduction
2. Materials and Methods
2.1. Materials
2.2. Description of Specimens
2.3. Bending Test
2.4. Orthogonal Experiment Design
2.5. Analysis of Variance (ANOVA)
2.6. Grey Relational Coefficient and Grey Relational Grade
2.7. Statistical Analysis
3. Results and Discussion
3.1. The Force–Displacement Curve
3.2. Failure Modes
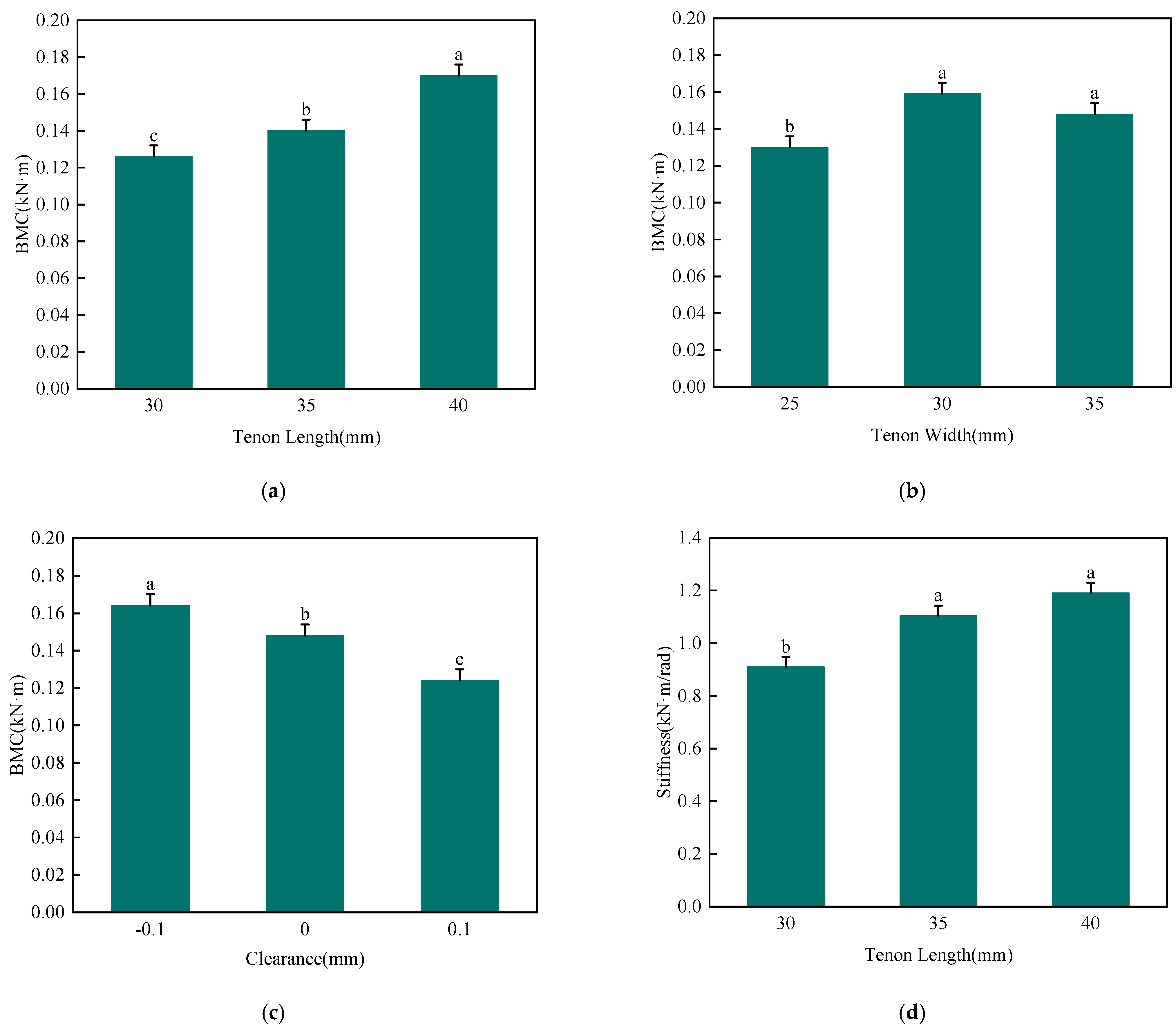
3.3. Range Analysis of Experimental Results
3.4. ANOVA Method
3.5. Evaluation of Experimental Results
3.6. Regression Analysis of Bending Moment Capacity and Stiffness
3.7. Grey Relational Analysis Results
4. Conclusions
Author Contributions
Funding
Data Availability Statement
Acknowledgments
Conflicts of Interest
Appendix A
| NO | y1 | y2 | Δ1(k) | Δ2(k) |
|---|---|---|---|---|
| 1 | 0.200 | 0.352 | 0.800 | 0.648 |
| 2 | 0.200 | 0.511 | 0.800 | 0.489 |
| 3 | 0.000 | 0.000 | 1.000 | 1.000 |
| 4 | 0.000 | 0.455 | 1.000 | 0.545 |
| 5 | 0.600 | 0.557 | 0.400 | 0.443 |
| 6 | 0.200 | 0.580 | 0.800 | 0.420 |
| 7 | 0.800 | 0.784 | 0.200 | 0.216 |
| 8 | 0.300 | 0.068 | 0.700 | 0.932 |
| 9 | 0.800 | 0.977 | 0.200 | 0.023 |
| 10 | 0.000 | 0.352 | 1.000 | 0.648 |
| 11 | 0.100 | 0.318 | 0.900 | 0.682 |
| 12 | 0.200 | 0.102 | 0.800 | 0.898 |
| 13 | 0.000 | 0.341 | 1.000 | 0.659 |
| 14 | 0.400 | 0.693 | 0.600 | 0.307 |
| 15 | 0.200 | 0.500 | 0.800 | 0.500 |
| 16 | 0.600 | 0.830 | 0.400 | 0.170 |
| 17 | 0.200 | 0.000 | 0.800 | 1.000 |
| 18 | 1.000 | 1.000 | 0.000 | 0.000 |
| 19 | 0.300 | 0.443 | 0.700 | 0.557 |
| 20 | 0.200 | 0.670 | 0.800 | 0.330 |
| 21 | 0.200 | 0.023 | 0.800 | 0.977 |
| 22 | 0.300 | 0.477 | 0.700 | 0.523 |
| 23 | 0.700 | 0.784 | 0.300 | 0.216 |
| 24 | 0.300 | 0.352 | 0.700 | 0.648 |
| 25 | 0.800 | 0.966 | 0.200 | 0.034 |
| 26 | 0.100 | 0.034 | 0.900 | 0.966 |
| 27 | 0.900 | 0.966 | 0.100 | 0.034 |
| NO | ξ1(k) | ξ2(k) | γ |
|---|---|---|---|
| 1 | 0.385 | 0.436 | 0.205 |
| 2 | 0.385 | 0.506 | 0.223 |
| 3 | 0.333 | 0.333 | 0.167 |
| 4 | 0.333 | 0.478 | 0.203 |
| 5 | 0.556 | 0.530 | 0.271 |
| 6 | 0.385 | 0.543 | 0.232 |
| 7 | 0.714 | 0.698 | 0.353 |
| 8 | 0.417 | 0.349 | 0.191 |
| 9 | 0.714 | 0.957 | 0.418 |
| 10 | 0.333 | 0.436 | 0.192 |
| 11 | 0.357 | 0.423 | 0.195 |
| 12 | 0.385 | 0.358 | 0.186 |
| 13 | 0.333 | 0.431 | 0.191 |
| 14 | 0.455 | 0.620 | 0.269 |
| 15 | 0.385 | 0.500 | 0.221 |
| 16 | 0.556 | 0.746 | 0.325 |
| 17 | 0.385 | 0.333 | 0.179 |
| 18 | 1.000 | 1.000 | 0.500 |
| 19 | 0.417 | 0.473 | 0.222 |
| 20 | 0.385 | 0.603 | 0.247 |
| 21 | 0.385 | 0.338 | 0.181 |
| 22 | 0.417 | 0.489 | 0.226 |
| 23 | 0.625 | 0.698 | 0.331 |
| 24 | 0.417 | 0.436 | 0.213 |
| 25 | 0.714 | 0.936 | 0.413 |
| 26 | 0.357 | 0.341 | 0.175 |
| 27 | 0.833 | 0.936 | 0.442 |
References
- Xie, Q.; Zhang, L.; Li, S.; Zhou, W.; Wang, L. Cyclic Behavior of Chinese Ancient Wooden Frame with Mortise–Tenon Joints: Friction Constitutive Model and Finite Element Modelling. J. Wood Sci. 2018, 64, 40–51. [Google Scholar] [CrossRef]
- Eckelman, C.A.; Suddarth, S.K. Analysis and Design of Furniture Frames. Wood Sci. Technol. 1969, 3, 239–255. [Google Scholar] [CrossRef]
- Erdil, Y.; Kasal, A.; Eckelman, C. Bending Moment Capacity of Rectangular Mortise and Tenon Furniture Joints. For. Prod. J. 2005, 55, 209–213. [Google Scholar]
- Demirci, S.; Diler, H.; Kasal, A.; Erdil, Y.Z. Bending Moment Resistances of L-Shaped Furniture Frame Joints under Tension and Compression Loadings. Wood Res. 2020, 65, 975–988. [Google Scholar] [CrossRef]
- Likos, E.; Haviarova, E.; Eckelman, C.A.; Erdil, Y.Z.; Ozcifci, A. Effect of Tenon Geometry, Grain Orientation, and Shoulder on Bending Moment Capacity and Moment Rotation Characteristics of Mortise and Tenon Joints. Wood Fiber Sci. 2012, 44, 462–469. [Google Scholar]
- Sydor, M.; Majka, J.; Langová, N. Effective Diameters of Drilled Holes in Pinewood in Response to Changes in Relative Humidity. BioResources 2021, 16, 5407–5421. [Google Scholar] [CrossRef]
- Smardzewski, J. Effect of Wood Species and Glue Type on Contact Stresses in a Mortise and Tenon Joint. Proc. Inst. Mech. Eng. Part C J. Mech. Eng. Sci. 2008, 222, 2293–2299. [Google Scholar] [CrossRef]
- Kasal, A.; Haviarova, E.; Efe, H.; Eckelman, C.A.; Erdil, Y.Z. Effect of Adhesive Type and Tenon Size on Bending Moment Capacity and Rigidity of T-Shaped Furniture Joints Constructed of Turkish Beech and Scots Pine. Wood Fiber Sci. 2013, 45, 287–293. [Google Scholar]
- Zaborsky, V.; Boruvka, V.; Kasickova, V.; Ruman, D. Effect of Wood Species, Adhesive Type, and Annual Ring Directions on the Stiffness of Rail to Leg Mortise and Tenon Furniture Joints. BioResources 2017, 12, 7016–7031. [Google Scholar] [CrossRef]
- Harada, M.; Hayashi, Y.; Hayashi, T.; Karube, M.; Ohgama, T. Effect of Moisture Content of Members on Mechanical Properties of Timber Joints. J. Wood Sci. 2005, 51, 282–285. [Google Scholar] [CrossRef]
- Eckelman, C.; Erdil, Y.; Haviarova, E. Effect of Shoulders on Bending Moment Capacity of Round Mortise and Tenon Joints. For. Prod. J. 2006, 56, 82–86. [Google Scholar]
- Oktaee, J.; Ebrahimi, G.; Layeghi, M.; Ghofrani, M.; Eckelman, C.A. Bending Moment Capacity of Simple and Haunched Mortise and Tenon Furniture Joints under Tension and Compression Loads. Turk. J. Agric. For. 2014, 38, 291–297. [Google Scholar] [CrossRef]
- Derikvand, M.; Ebrahimi, G.; Eckelman, C.A. Bending Moment Capacity of Mortise and Loose-Tenon Joints. Wood Fiber Sci. 2014, 46, 159–166. [Google Scholar]
- Mackerle, J. Finite Element Analyses in Wood Research: A Bibliography. Wood Sci. Technol. 2005, 39, 579–600. [Google Scholar] [CrossRef]
- Derikvand, M.; Ebrahimi, G. Finite Element Analysis of Stress and Strain Distributions in Mortise and Loose Tenon Furniture Joints. J. For. Res. 2014, 25, 677–681. [Google Scholar] [CrossRef]
- Kasal, A.; Smardzewski, J.; Kuşkun, T.; Erdil, Y.Z. Numerical Analyses of Various Sizes of Mortise and Tenon Furniture Joints. BioResources 2016, 11, 6836–6853. [Google Scholar] [CrossRef]
- Hu, W.; Liu, N. Numerical and Optimal Study on Bending Moment Capacity and Stiffness of Mortise-and-Tenon Joint for Wood Products. Forests 2020, 11, 501. [Google Scholar] [CrossRef]
- Sandberg, L.B.; Bulleit, W.M.; Reid, E.H. Strength and Stiffness of Oak Pegs in Traditional Timber-Frame Joints. J. Struct. Eng. 2000, 126, 717–723. [Google Scholar] [CrossRef]
- Ogawa, K.; Sasaki, Y.; Yamasaki, M. Theoretical Estimation of the Mechanical Performance of Traditional Mortise–Tenon Joint Involving a Gap. J. Wood Sci. 2016, 62, 242–250. [Google Scholar] [CrossRef]
- He, J.; Yu, P.; Wang, J.; Yang, Q.; Han, M.; Xie, L. Theoretical Model of Bending Moment for the Penetrated Mortise-Tenon Joint Involving Gaps in Traditional Timber Structure. J. Build. Eng. 2021, 42, 103102. [Google Scholar] [CrossRef]
- Liu, S.; Lin, Y. On Measures of Information Content of Grey Numbers. Kybernetes 2006, 35, 899–904. [Google Scholar] [CrossRef]
- Liu, S.; Tao, Y.; Xie, N.; Tao, L.; Hu, M. Advance in Grey System Theory and Applications in Science and Engineering. Grey Syst. Theory Appl. 2022, 12, 804–823. [Google Scholar] [CrossRef]
- Soorya Prakash, K.; Gopal, P.M.; Karthik, S. Multi-Objective Optimization Using Taguchi Based Grey Relational Analysis in Turning of Rock Dust Reinforced Aluminum MMC. Measurement 2020, 157, 107664. [Google Scholar] [CrossRef]
- Loganathan, D.; Satish Kumar, S.; Ramadoss, R. Grey Relational Analysis-Based Optimisation of Input Parameters of Incremental Forming Process Applied to the AA6061 Alloy. Trans. Famena 2020, 44, 93–104. [Google Scholar] [CrossRef]
- Pagar, N.D.; Gawande, S.H. Parametric Design Analysis of Meridional Deflection Stresses in Metal Expansion Bellows Using Gray Relational Grade. J. Braz. Soc. Mech. Sci. Eng. 2020, 42, 256. [Google Scholar] [CrossRef]
- Khan, M.A.; Jaffery, S.H.I.; Khan, M.; Younas, M.; Butt, S.I.; Ahmad, R.; Warsi, S.S. Multi-Objective Optimization of Turning Titanium-Based Alloy Ti-6Al-4V under Dry, Wet, and Cryogenic Conditions Using Gray Relational Analysis (GRA). Int. J. Adv. Manuf. Technol. 2020, 106, 3897–3911. [Google Scholar] [CrossRef]
- Yu, Z.; Song, J.; Xu, L.; Zhang, H. Evaluating the Combustion Performance of the Usual Timbers in Furniture Using a Grey Correlation Method Based on Thermolysis, Ignition, and Flame Spread. Fire 2024, 7, 218. [Google Scholar] [CrossRef]
- Wang, X.; Yu, Z.; Zhang, Y.; Qi, C.; Chang, W. Evaluation of Ultrasonic-Assisted Dyeing Properties of Fast-Growing Poplar Wood Treated by Reactive Dye Based on Grey System Theory Analysis. J. Wood Sci. 2018, 64, 861–871. [Google Scholar] [CrossRef]
- Deng, J. Introduction to Grey System Theory. J. Grey Syst. 1989, 1, 1–24. [Google Scholar]
- Xie, Y.; Yu, H.; Chen, J.; Ruan, X. Application of Grey Relational Analysis in Sheet Metal Forming for Multi-Response Quality Characteristics. J. Zhejiang Univ.-Sci. A 2007, 8, 805–811. [Google Scholar] [CrossRef]
- Tosun, N. Determination of Optimum Parameters for Multi-Performance Characteristics in Drilling by Using Grey Relational Analysis. Int. J. Adv. Manuf. Technol. 2006, 28, 450–455. [Google Scholar] [CrossRef]
- Yang, C.-B.; Lin, C.-G.; Chiang, H.-L.; Chen, C.-C. Single and Multiobjective Optimization of Inconel 718 Nickel-Based Superalloy in the Wire Electrical Discharge Machining. Int. J. Adv. Manuf. Technol. 2017, 93, 3075–3084. [Google Scholar] [CrossRef]
- Gregory, M.A.; Herakovich, C.T. Predicting Crack Growth Direction in Unidirectional Composites. J. Compos. Mater. 1986, 20, 67–85. [Google Scholar] [CrossRef]











| Levels | Factors | ||
|---|---|---|---|
| A | B | C | |
| 1 | 30 | 25 | −0.1 |
| 2 | 35 | 30 | 0 |
| 3 | 40 | 35 | 0.1 |
| NO | Factor A | Factor B | Factor C | e |
|---|---|---|---|---|
| 1 | 30 | 25 | −0.1 | 1 |
| 2 | 30 | 35 | 0 | 2 |
| 3 | 30 | 30 | 0.1 | 3 |
| 4 | 35 | 35 | 0.1 | 1 |
| 5 | 35 | 30 | −0.1 | 2 |
| 6 | 35 | 25 | 0 | 3 |
| 7 | 40 | 30 | 0 | 1 |
| 8 | 40 | 25 | 0.1 | 2 |
| 9 | 40 | 35 | −0.1 | 3 |
| NO | Tenon Length (mm) | Tenon Width (mm) | Clearance (mm) | e | BMC (kN·m) | Stiffness (kN·m/rad) |
|---|---|---|---|---|---|---|
| 1 | 30.00 | 25.00 | −0.1 | 1.00 | 0.13 | 0.95 |
| 2 | 30.00 | 35.00 | 0 | 2.00 | 0.13 | 1.09 |
| 3 | 30.00 | 30.00 | 0.1 | 3.00 | 0.11 | 0.64 |
| 4 | 35.00 | 35.00 | 0.1 | 1.00 | 0.11 | 1.04 |
| 5 | 35.00 | 30.00 | −0.1 | 2.00 | 0.17 | 1.13 |
| 6 | 35.00 | 25.00 | 0 | 3.00 | 0.13 | 1.15 |
| 7 | 40.00 | 30.00 | 0 | 1.00 | 0.19 | 1.33 |
| 8 | 40.00 | 25.00 | 0.1 | 2.00 | 0.14 | 0.70 |
| 9 | 40.00 | 35.00 | −0.1 | 3.00 | 0.19 | 1.50 |
| 10 | 30.00 | 25.00 | −0.1 | 1.00 | 0.11 | 0.95 |
| 11 | 30.00 | 35.00 | 0 | 2.00 | 0.12 | 0.92 |
| 12 | 30.00 | 30.00 | 0.1 | 3.00 | 0.13 | 0.73 |
| 13 | 35.00 | 35.00 | 0.1 | 1.00 | 0.11 | 0.94 |
| 14 | 35.00 | 30.00 | −0.1 | 2.00 | 0.15 | 1.25 |
| 15 | 35.00 | 25.00 | 0 | 3.00 | 0.13 | 1.08 |
| 16 | 40.00 | 30.00 | 0 | 1.00 | 0.17 | 1.37 |
| 17 | 40.00 | 25.00 | 0.1 | 2.00 | 0.13 | 0.64 |
| 18 | 40.00 | 35.00 | −0.1 | 3.00 | 0.21 | 1.52 |
| 19 | 30.00 | 25.00 | −0.1 | 1.00 | 0.14 | 1.03 |
| 20 | 30.00 | 35.00 | 0 | 2.00 | 0.13 | 1.13 |
| 21 | 30.00 | 30.00 | 0.1 | 3.00 | 0.13 | 0.66 |
| 22 | 35.00 | 35.00 | 0.1 | 1.00 | 0.14 | 1.06 |
| 23 | 35.00 | 30.00 | −0.1 | 2.00 | 0.18 | 1.33 |
| 24 | 35.00 | 25.00 | 0 | 3.00 | 0.14 | 0.95 |
| 25 | 40.00 | 30.00 | 0 | 1.00 | 0.19 | 1.49 |
| 26 | 40.00 | 25.00 | 0.1 | 2.00 | 0.12 | 0.67 |
| 27 | 40.00 | 35.00 | −0.1 | 3.00 | 0.20 | 1.49 |
| Factor A | Factor B | Factor C | |
|---|---|---|---|
| K1 | 1.13 | 1.17 | 1.48 |
| K2 | 1.26 | 1.43 | 1.33 |
| K3 | 1.53 | 1.33 | 1.12 |
| k1 | 0.13 | 0.13 | 0.16 |
| k2 | 0.14 | 0.16 | 0.15 |
| k3 | 0.17 | 0.15 | 0.12 |
| R | 0.05 | 0.03 | 0.04 |
| Factor A | Factor B | Factor C | |
|---|---|---|---|
| K1 | 8.09 | 8.11 | 11.14 |
| K2 | 9.94 | 9.94 | 10.52 |
| K3 | 10.71 | 10.69 | 7.08 |
| k1 | 0.90 | 0.90 | 1.24 |
| k2 | 1.10 | 1.10 | 1.17 |
| k3 | 1.19 | 1.19 | 0.79 |
| R | 0.29 | 0.28 | 0.45 |
| Dependent Variable | F | df1 | df2 | p |
|---|---|---|---|---|
| BMC | 0.85 | 8 | 18 | 0.57 |
| Stiffness | 1.90 | 8 | 18 | 0.12 |
| Factors | Sum of Squares of Deviation | Degree of Freedom | Mean Square Deviation | F Value | p Value |
|---|---|---|---|---|---|
| A | 9 × 10−3 | 2 | 5 × 10−3 | 28.41 | 1.43 × 10−6 |
| B | 4 × 10−3 | 2 | 2 × 10−3 | 11.59 | 4.53 × 10−4 |
| C | 7 × 10−3 | 2 | 4 × 10−3 | 22.49 | 7.62 × 10−6 |
| Error | 3 × 10−3 | 20 | 1.62 × 10−4 | ||
| Total | 2 × 10−3 | 26 |
| Factors | Sum of Squares of Deviation | Degree of Freedom | Mean Square Deviation | F Value | p Value |
|---|---|---|---|---|---|
| A | 0.40 | 2 | 0.20 | 20.76 | 1.32 × 10−5 |
| B | 0.39 | 2 | 0.19 | 20.18 | 1.59 × 10−5 |
| C | 1.07 | 2 | 0.53 | 54.87 | 7.58 × 10−9 |
| Error | 0.19 | 20 | 0.01 | ||
| Total | 2.05 | 26 |
| Level 1 | Level 2 | Level 3 | Difference | |
|---|---|---|---|---|
| Factor A | 0.374 | 0.434 | 0.632 | 0.259 |
| Factor B | 0.387 | 0.525 | 0.529 | 0.142 |
| Factor C | 0.591 | 0.477 | 0.372 | 0.219 |
| Level 1 | Level 2 | Level 3 | Difference | |
|---|---|---|---|---|
| Factor A | 0.434 | 0.525 | 0.700 | 0.266 |
| Factor B | 0.427 | 0.584 | 0.647 | 0.220 |
| Factor C | 0.676 | 0.599 | 0.384 | 0.293 |
| Level 1 | Level 2 | Level 3 | Difference | |
|---|---|---|---|---|
| Factor A | 0.202 | 0.240 | 0.333 | 0.131 |
| Factor B | 0.203 | 0.277 | 0.294 | 0.090 |
| Factor C | 0.317 | 0.269 | 0.189 | 0.128 |
Disclaimer/Publisher’s Note: The statements, opinions and data contained in all publications are solely those of the individual author(s) and contributor(s) and not of MDPI and/or the editor(s). MDPI and/or the editor(s) disclaim responsibility for any injury to people or property resulting from any ideas, methods, instructions or products referred to in the content. |
© 2024 by the authors. Licensee MDPI, Basel, Switzerland. This article is an open access article distributed under the terms and conditions of the Creative Commons Attribution (CC BY) license (https://creativecommons.org/licenses/by/4.0/).
Share and Cite
Liu, K.; Du, Y.; Hu, X.; Zhang, H.; Wang, L.; Gou, W.; Li, L.; Liu, H.; Luo, B. Investigating the Influence of Tenon Dimensions on White Oak (Quercus alba) Mortise and Tenon Joint Strength. Forests 2024, 15, 1612. https://doi.org/10.3390/f15091612
Liu K, Du Y, Hu X, Zhang H, Wang L, Gou W, Li L, Liu H, Luo B. Investigating the Influence of Tenon Dimensions on White Oak (Quercus alba) Mortise and Tenon Joint Strength. Forests. 2024; 15(9):1612. https://doi.org/10.3390/f15091612
Chicago/Turabian StyleLiu, Keyang, Yao Du, Xiaohong Hu, Hualei Zhang, Luhao Wang, Wenhao Gou, Li Li, Hongguang Liu, and Bin Luo. 2024. "Investigating the Influence of Tenon Dimensions on White Oak (Quercus alba) Mortise and Tenon Joint Strength" Forests 15, no. 9: 1612. https://doi.org/10.3390/f15091612
APA StyleLiu, K., Du, Y., Hu, X., Zhang, H., Wang, L., Gou, W., Li, L., Liu, H., & Luo, B. (2024). Investigating the Influence of Tenon Dimensions on White Oak (Quercus alba) Mortise and Tenon Joint Strength. Forests, 15(9), 1612. https://doi.org/10.3390/f15091612

