Monitoring of Flash Drought on the Loess Plateau and Its Impact on Vegetation Ecosystems
Abstract
1. Introduction
2. Materials and Methods
2.1. Study Area
2.2. Data Sources
2.2.1. Meteorological Data
2.2.2. Satellite SIF Data
2.2.3. Auxiliary Data
2.2.4. Identification of FD
- The pentad average SM percentile decreases from above 40% to below 20% within four pentads or less;
- The average intensification rate (RI) per pentad is not less than 5%;
- The entire process lasts for at least four pentads, including both the development and recovery stages;
- A FD event ends once the declined SM rises back to the 20th percentile.
2.3. Data Analysis
2.3.1. SIF Rapid Change Index (SIF-RCI)
2.3.2. Standardized Anomaly
3. Result
3.1. Detection of FD from 2000 to 2023
3.2. The Evolution of FD
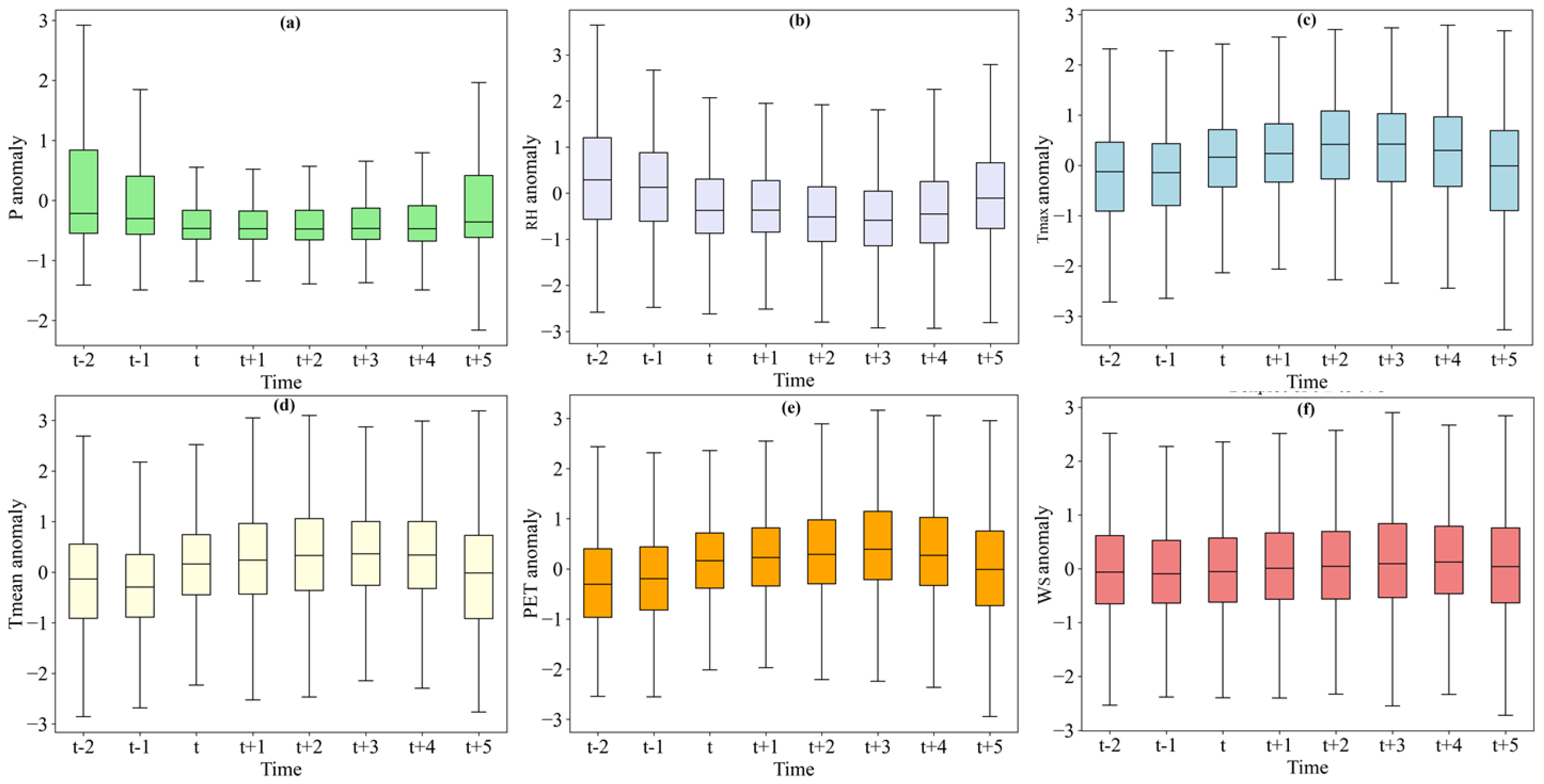
3.3. Meteorological Conditions of FD
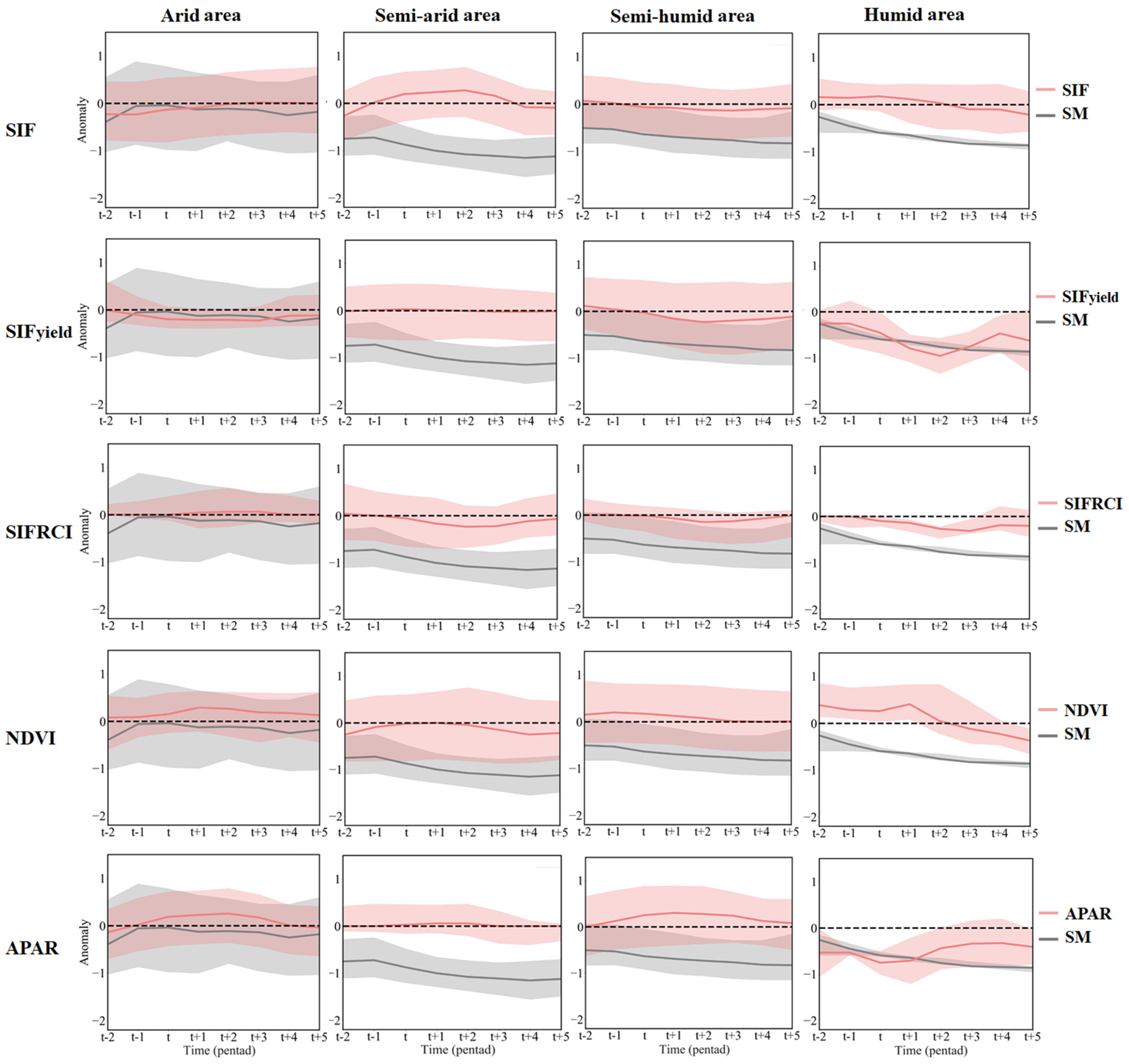
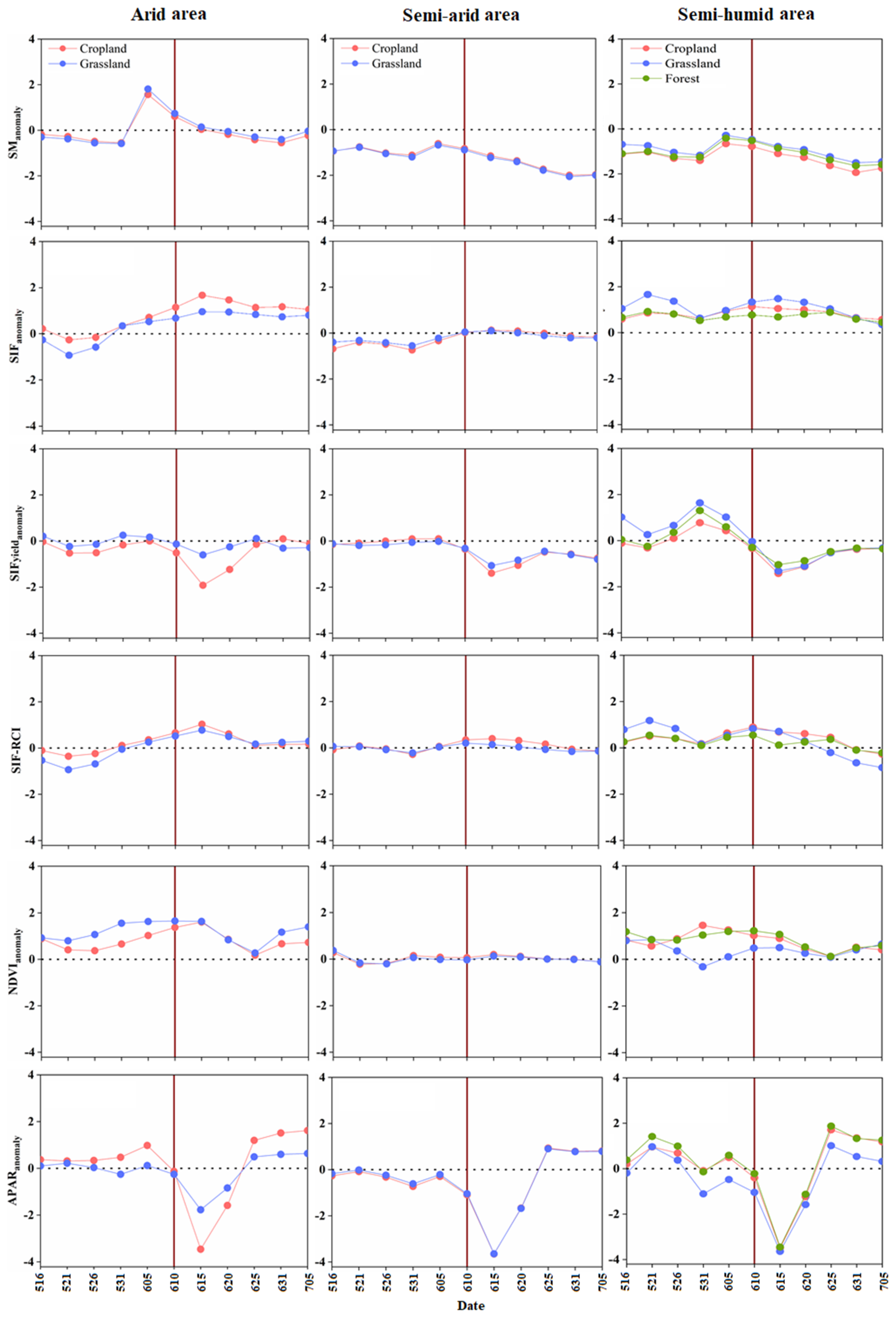
3.4. Responses of Different Vegetation Types to FD
4. Discussion
5. Conclusions
Supplementary Materials
Author Contributions
Funding
Data Availability Statement
Acknowledgments
Conflicts of Interest
References
- Li, X.; Xiao, J. Global climatic controls on interannual variability of ecosystem productivity: Similarities and differences inferred from solar-induced chlorophyll fluorescence and enhanced vegetation index. Agric. For. Meteorol. 2020, 288–289, 108018. [Google Scholar] [CrossRef]
- Xiao, J.F.; Zhuang, Q.L.; Liang, E.Y.; Shao, X.M.; McGuire, A.D.; Moody, A.; Kicklighter, D.W. Twentieth-century droughts and their impacts on terrestrial carbon cycling in China. Earth Interact. 2009, 13, 1–31. [Google Scholar] [CrossRef]
- Allen, C.D.; Macalady, A.K.; Chenchouni, H.; Bachelet, D.; McDowell, N.; Vennetier, M.; Kitzberger, T.; Rigling, A.; Breshears, D.D.; (Ted) Hogg, E.H.; et al. A global overview of drought and heat-induced tree mortality reveals emerging climate change risks for forests. For. Ecol. Manag. 2010, 259, 660–684. [Google Scholar] [CrossRef]
- Otkin, J.A.; Svoboda, M.; Hunt, E.D.; Ford, T.W.; Anderson, M.C.; Hain, C.; Basara, J.B. Flash droughts: A Review and Assessment of the Challenges Imposed by Rapid-Onset Droughts in the United States. Bull. Am. Meteorol. Soc. 2018, 99, 911–919. [Google Scholar] [CrossRef]
- Svoboda, M.; LeComte, D.; Hayes, M.; Heim, R.; Gleason, K.; Angel, J.; Rippey, B.; Tinker, R.; Palecki, M.; Stooksbury, D.; et al. The Drought Monitor. Bull. Am. Meteorol. Soc. 2002, 83, 1181–1190. [Google Scholar] [CrossRef]
- Ford, T.W.; McRoberts, D.B.; Quiring, S.M.; Hall, R.E. On the utility of in situ soil moisture observations for flash drought early warning in Oklahoma, USA. Geophys. Res. Lett. 2015, 42, 9790–9798. [Google Scholar] [CrossRef]
- Osman, M.; Zaitchik, B.F.; Badr, H.S.; Christian, J.I.; Tadesse, T.; Otkin, J.A.; Anderson, M.C. Flash drought onset over the contiguous United States: Sensitivity of inventories and trends to quantitative definitions. Hydrol. Earth Syst. Sci. 2021, 25, 565–581. [Google Scholar] [CrossRef]
- Zhang, Q.; Li, Q.; Singh, V.P.; Shi, P.; Huang, Q.Z.; Sun, P. Nonparametric Integrated Agrometeorological Drought Monitoring: Model Development and Application. J. Geophys. Res.-Atmos. 2018, 123, 73–88. [Google Scholar] [CrossRef]
- Trenberth, K.E.; Dai, A.; van der Schrier, G.; Jones, P.D.; Barichivich, J.; Briffa, K.R.; Sheffield, J. Global warming and changes in drought. Nat. Clim. Chang. 2013, 4, 17–22. [Google Scholar] [CrossRef]
- Senay, G.B.; Budde, M.B.; Brown, J.F.; Verdin, J.P. Mapping flash drought in the US: Southern Great Plains. In Proceedings of the 22nd Conference on Hydrology, New Orleans, LA, USA, 20–24 January 2008; AMS: New Orleans, LA, USA, 2008. [Google Scholar]
- Lisonbee, J.; Woloszyn, M.; Skumanich, M. Making sense of flash drought: Definitions, indicators, and where we go from here. J. Appl. Serv. Climatol. 2021, 2021, 1–19. [Google Scholar] [CrossRef]
- Zhang, S.Y.; Li, M.X.; Ma, Z.G.; Jian, D.N.; Lv, M.X.; Yang, Q.; Duan, Y.W.; Amin, D. The intensification of flash droughts across China from 1981 to 2021. Clim. Dyn. 2023, 62, 1233–1247. [Google Scholar] [CrossRef]
- Liu, Y.; Zhu, Y.; Ren, L.L.; Singh, V.P.; Yuan, S.S. flash drought fades away under the effect of accumulated water deficits: The persistence and transition to conventional drought. Environ. Res. Lett. 2023, 18, 114035. [Google Scholar] [CrossRef]
- Ford, T.W.; Labosier, C.F. Meteorological conditions associated with the onset of flash drought in the Eastern United States. Agric. For. Meteorol. 2017, 247, 414–423. [Google Scholar] [CrossRef]
- Yuan, X.; Wang, L.; Wu, P.; Ji, P.; Sheffield, J.; Zhang, M. Anthropogenic shift towards higher risk of flash drought over China. Nat. Commun. 2019, 10, 4661. [Google Scholar] [CrossRef] [PubMed]
- Yuan, X.; Wang, Y.M.; Wu, P.L.; Sheffield, J.; Wood, E.F. A global transition to flash droughts under climate change. Science 2023, 380, 187–191. [Google Scholar] [CrossRef]
- Zhang, Y.; You, Q.; Chen, C.; Li, X. Flash droughts in a typical humid and subtropical basin: A case study in the Gan River Basin, China. J. Hydrol. 2017, 551, 162–176. [Google Scholar] [CrossRef]
- Mo, K.C.; Lettenmaier, D.P. Heat wave flash droughts in decline. Geophys. Res. Lett. 2015, 42, 2823–2829. [Google Scholar] [CrossRef]
- Mo, K.C.; Lettenmaier, D.P. Precipitation deficit flash droughts over the United States. J. Hydrometeorol. 2016, 17, 1169–1184. [Google Scholar] [CrossRef]
- Christian, J.I.; Basara, J.B.; Hunt, E.D.; Otkin, J.A.; Furtado, J.C.; Mishra, V.; Xiao, X.M.; Randall, R.M. Global distribution, trends, and drivers of flash drought occurrence. Nat. Commun. 2021, 12, 6330. [Google Scholar] [CrossRef] [PubMed]
- Jiang, Y.; Yang, M.; Liu, W.; Mohammadi, K.; Wang, G. Eco-hydrological responses to recent droughts in tropical South America. Environ. Res. Lett. 2022, 17, 024037. [Google Scholar] [CrossRef]
- Orimoloye, I.R.; Belle, J.A.; Ololade, O.O. Drought disaster monitoring using MODIS derived index for drought years: A space-based information for ecosystems and environmental conservation. J. Environ. Manag. 2021, 284, 112028. [Google Scholar] [CrossRef]
- Xu, H.; Wang, X.; Zhao, C. Assessing the response of vegetation photosynthesis tometeorological drought across northern China. Land Degrad Dev. 2020, 32, 20–34. [Google Scholar] [CrossRef]
- Anderegg, W.R.L.; Trugman, A.T.; Badgley, G.; Konings, A.G.; Shaw, J. Divergent forest sensitivity to repeated extreme droughts. Nat. Clim. Chang. 2020, 10, 1091–1095. [Google Scholar] [CrossRef]
- Hazbavi, Z.; Baartman, J.E.M.; Nunes, J.P.; Keesstra, S.D.; Sadeghi, S.H.R. Changeability of reliability, resilience and vulnerability indicators with respect to drought patterns. Ecol. Indic. 2018, 87, 196–208. [Google Scholar] [CrossRef]
- Chen, X.J.; Mo, X.G.; Zhang, Y.C.; Sun, Z.; Liu, Y.; Hu, S.; Liu, S. Drought detection and assessment with solar-induced chlorophyll fluorescence in summer maize growth period over North China Plain. Ecol. Indic. 2019, 104, 347–356. [Google Scholar] [CrossRef]
- Tian, F.; Wu, J.J.; Liu, L.Z.; Leng, S.; Yang, J.H.; Zhao, W.H.; Shen, Q. Exceptional Drought across Southeastern Australia Caused by Extreme Lack of Precipitation and Its Impacts on NDVI and SIF in 2018. Remote Sens. 2019, 12, 54. [Google Scholar] [CrossRef]
- Sungmin, O.; Park, S.K. Global ecosystem responses to flash droughts are modulated by background climate and vegetation conditions. Commun. Earth Environ. 2024, 5, 88. [Google Scholar] [CrossRef]
- Yoshida, Y.; Joiner, J.; Tucker, C.G.; Berry, J.A.; Lee, J.-E.; Walker, G.; Reichle, R.; Koster, R.; Lyapustin, A.; Wang, Y.J.; et al. The 2010 Russian drought impact on satellite measurements of solar-induced chlorophyll fluorescence: Insights from modeling and comparisons with parameters derived from satellite reflectances. Remote Sens. Environ. 2015, 166, 163–177. [Google Scholar] [CrossRef]
- Sun, Y.; Fu, R.; Dickinson, R.; Joiner, J.; Frankenberg, C.; Gu, L.H.; Xia, Y.L.; Fernando, N. Drought onset mechanisms revealed by satellite solar-induced chlorophyll fluorescence: Insights from two contrasting extreme events. J. Geophys. Res.-Biogeosci. 2015, 120, 2427–2440. [Google Scholar] [CrossRef]
- Dobrowski, S.; Pushnik, J.; Zarco-Tejada, P.; Ustin, S. Simple reflectance indices track heat and water stress-induced changes in steady-state chlorophyll fluorescence at the canopy scale. Remote Sens. Environ. 2005, 97, 403–414. [Google Scholar] [CrossRef]
- Baker, N.R. Chlorophyll fluorescence: A probe of photosynthesis in vivo. Annu. Rev. Plant Biol. 2008, 59, 89–113. [Google Scholar] [CrossRef]
- Liu, Y.; Dang, C.Y.; Yue, H. Enhanced drought detection and monitoring using sun-induced chlorophyll fluorescence over Hulun Buir Grassland, China. Sci. Total Environ. 2021, 770, 145271. [Google Scholar] [CrossRef] [PubMed]
- Liu, L.Z.; Yang, X.; Zhou, H.K.; Liu, S.S.; Zhou, L.; Li, X.H.; Yang, J.H.; Han, X.Y.; Wu, J.J. Evaluating the utility of solar-induced chlorophyll fluorescence for drought monitoring by comparison with NDVI derived from wheat canopy. Sci. Total Environ. 2018, 625, 1208–1217. [Google Scholar] [CrossRef] [PubMed]
- Shen, N.; Wang, Z.L.; Guo, Q.; Zhang, Q.W.; Wu, B.; Liu, J.E.; Ma, C.Y.; Delang, C.; Zhang, F.B. Soil detachment capacity by rill flow for five typical loess soils on the Loess Plateau of China. Soil Tillage Res. 2021, 213, 105159. [Google Scholar] [CrossRef]
- Fu, B.J. Ecological and environmental effects of land-use changes in the LP of China. Chin. Sci. Bull. 2022, 67, 1–11. (In Chinese) [Google Scholar] [CrossRef]
- Feng, X.M.; Fu, B.J.; Piao, S.L.; Wang, S.; Ciais, P.; Zeng, Z.Z.; Lü, Y.H.; Zeng, Y.; Li, Y.; Jiang, X.H.; et al. Revegetation in China’s Loess Plateau is approaching sustainable water resource limits. Nat. Clim. Chang. 2016, 6, 1019–1022. [Google Scholar] [CrossRef]
- Guo, Y.Q.; Wang, N.J.; Chu, X.S.; Wu, X.; Zhang, Z.H.; Li, L.H.; Zhang, H.Y.; Sun, Y.L. Analyzing vegetation coverage changes and its reasons on the Loess Plateau based on Google Earth Engine. China Environ. Sci. 2019, 39, 4804–4811. (In Chinese) [Google Scholar]
- Penman, H.L. Natural evaporation from open water, bare soil and grass, natural evaporation from open water, bare soil and grass. Proc. R. Soc. Lond. 1948, 193, 120–145. [Google Scholar] [CrossRef]
- González-Zamora, Á.; Sánchez, N.; Martínez-Fernandez, J.; Wagner, W. Root-zone plant available water estimation using the SMOS-derived soil water index. Adv. Water Resour. 2016, 96, 339–353. [Google Scholar] [CrossRef]
- Yao, T.; Liu, S.; Hu, S.; Mo, X.G. Response of vegetation ecosystems to flash drought with solar-induced chlorophyll fluorescence over the Hai River Basin, China during 2001–2019. J. Environ. Manag. 2022, 313, 114947. [Google Scholar] [CrossRef]
- Otkin, J.A.; Anderson, M.C.; Hain, C.; Svoboda, M. Examining the Relationship between Drought Development and Rapid Changes in the Evaporative Stress Index. J. Hydrometeorol. 2014, 15, 938–956. [Google Scholar] [CrossRef]
- Mohammadi, K.; Jiang, Y.; Wang, G. Flash drought early warning based on the trajectory of solar-induced chlorophyll fluorescence. Proc. Natl. Acad. Sci. USA 2022, 119, e2202767119. [Google Scholar] [CrossRef] [PubMed]
- Otkin, J.A.; Woloszyn, M.; Wang, H.; Svoboda, M.; Skumanich, M.; Pulwarty, R.; Lisonbee, J.; Hoell, A.; Hobbins, M.; Haigh, T.; et al. Getting ahead of Flash Drought: From Early Warning to Early Action. Bull. Amer. Meteorol. Soc. 2022, 103, E2188–E2202. [Google Scholar] [CrossRef]
- Wang, L.Y.; Yuan, X. Two types of flash drought and their connections with seasonal drought. Adv. Atmos. Sci. 2018, 35, 1478–1490. [Google Scholar] [CrossRef]
- Ye, T.; Yu, J.H.; Ye, M.X.; Xie, J.H. Analysis of the characteristics of regional flash drought in China. J. Meteorol. Sci. 2021, 41, 295–303. (In Chinese) [Google Scholar]
- Wang, L.Y.; Yuan, X.; Xie, Z.H.; Wu, P.L.; Li, Y.H. Increasing flash droughts over China during the recent global warming hiatus. Sci. Rep. 2016, 6, 30571. [Google Scholar] [CrossRef] [PubMed]
- Liu, Y.; Zhu, Y.; Zhang, L.Q.; Ren, L.L.; Yuan, F.; Yang, X.L.; Jiang, S.H. Flash droughts characterization over China: From a perspective of the rapid intensification rate. Sci. Total Environ. 2020, 704, 135373. [Google Scholar] [CrossRef]
- van der Molen, M.K.; Dolman, A.J.; Ciais, P.; Eglin, T.; Gobron, N.; Law, B.E.; Meir, P.; Peters, W.; Phillips, O.L.; Reichstein, M.; et al. Drought and ecosystem carbon cycling. Agric. For. Meteorol. 2011, 151, 765–773. [Google Scholar] [CrossRef]
- Jin, C.; Luo, X.; Xiao, X.M.; Dong, J.W.; Li, X.M.; Feng, Z.X.; Yang, J.; Zhao, D.Y. The 2012 flash drought threatened US midwest agroecosystems. Chin. Geogr. Sci. 2019, 29, 768–783. [Google Scholar] [CrossRef]
- Sungmin, O.; Park, S.K. Flash drought drives rapid vegetation stress in arid regions in Europe. Environ. Res. Lett. 2023, 18, 014028. [Google Scholar] [CrossRef]
- Doughty, R.; Xiao, X.M.; Qin, Y.W.; Wu, X.C.; Zhang, Y.; Moore, B. Small anomalies in dry-season greenness and chlorophyll fluorescence for Amazon moist tropical forests during El Niño and La Niña. Remote Sens. Environ. 2021, 253, 112196. [Google Scholar] [CrossRef]
- Magney, T.S.; Barnes, M.L.; Yang, X. On the covariation of chlorophyll fluorescence and photosynthesis across scales. Geophys. Res. Lett. 2020, 47, e2020GL091098. [Google Scholar] [CrossRef]
- Wang, C.; Guan, K.Y.; Peng, B.; Chen, M.; Jiang, C.Y.; Zeng, Y.Y.; Wu, G.H.; Wang, S.; Wu, J.; Yang, X.; et al. Satellite footprint data from OCO-2 and TROPOMI reveal significant spatio-temporal and inter-vegetation type variabilities of solar-induced fluorescence yield in the US Midwest. Remote Sens. Environ. 2020, 241, 111728. [Google Scholar] [CrossRef]












| ID | Latitude | Longitude | Elevation (m) |
|---|---|---|---|
| 1 | 36°00′16″ N | 106°17′07″ E | 1734 |
| 2 | 36°52′10″ N | 109°19′49″ E | 1174 |
| 3 | 36°48′08″ N | 109°16′17″ E | 1163 |
| 4 | 38°51′12″ N | 110°29′19″ E | 943 |
| 5 | 39°11′57″ N | 109°58′25″ E | 1274 |
| 6 | 37°45′19″ N | 110°11′01″ E | 942 |
| 7 | 36°00′07″ N | 109°23′48″ E | 1007 |
| 8 | 36°24′53″ N | 105°41′31″ E | 2420 |
| 9 | 36°48′04″ N | 109°34′01″ E | 1089 |
| 10 | 35°14′22″ N | 107°41′25″ E | 1200 |
| 11 | 35°59′21″ N | 110°06′57″ E | 951 |
Disclaimer/Publisher’s Note: The statements, opinions and data contained in all publications are solely those of the individual author(s) and contributor(s) and not of MDPI and/or the editor(s). MDPI and/or the editor(s) disclaim responsibility for any injury to people or property resulting from any ideas, methods, instructions or products referred to in the content. |
© 2024 by the authors. Licensee MDPI, Basel, Switzerland. This article is an open access article distributed under the terms and conditions of the Creative Commons Attribution (CC BY) license (https://creativecommons.org/licenses/by/4.0/).
Share and Cite
Jiang, Y.; Shi, H.; Wen, Z.; Yang, X.; Wu, Y.; Li, L.; Ma, Y.; Dymond, J.R.; Guo, M.; Shui, J.; et al. Monitoring of Flash Drought on the Loess Plateau and Its Impact on Vegetation Ecosystems. Forests 2024, 15, 1455. https://doi.org/10.3390/f15081455
Jiang Y, Shi H, Wen Z, Yang X, Wu Y, Li L, Ma Y, Dymond JR, Guo M, Shui J, et al. Monitoring of Flash Drought on the Loess Plateau and Its Impact on Vegetation Ecosystems. Forests. 2024; 15(8):1455. https://doi.org/10.3390/f15081455
Chicago/Turabian StyleJiang, Yanmin, Haijing Shi, Zhongming Wen, Xihua Yang, Youfu Wu, Li Li, Yuxin Ma, John R. Dymond, Minghang Guo, Junfeng Shui, and et al. 2024. "Monitoring of Flash Drought on the Loess Plateau and Its Impact on Vegetation Ecosystems" Forests 15, no. 8: 1455. https://doi.org/10.3390/f15081455
APA StyleJiang, Y., Shi, H., Wen, Z., Yang, X., Wu, Y., Li, L., Ma, Y., Dymond, J. R., Guo, M., Shui, J., & Hu, H. (2024). Monitoring of Flash Drought on the Loess Plateau and Its Impact on Vegetation Ecosystems. Forests, 15(8), 1455. https://doi.org/10.3390/f15081455

