Effect of Fire on Aboveground Carbon Pools Dynamic in the Boreal Forests of Eastern Eurasia: Analysis of Field and Remote Data
Abstract
1. Introduction
2. Materials and Methods
2.1. Research Area
2.2. Field Work Methods
2.3. Evaluation of Aboveground Pools C
2.3.1. Stand and Dead Standing Wood
2.3.2. Coarse Woody Debris
2.3.3. Forest Litter
2.3.4. Ground Cover Vegetation
2.4. Assessment of the Burn Severity from Satellite Images
2.5. Data Processing Methods
3. Results
3.1. Biomass of Standing Trees
3.2. Litter and CWD
3.3. Plants of Ground Cover
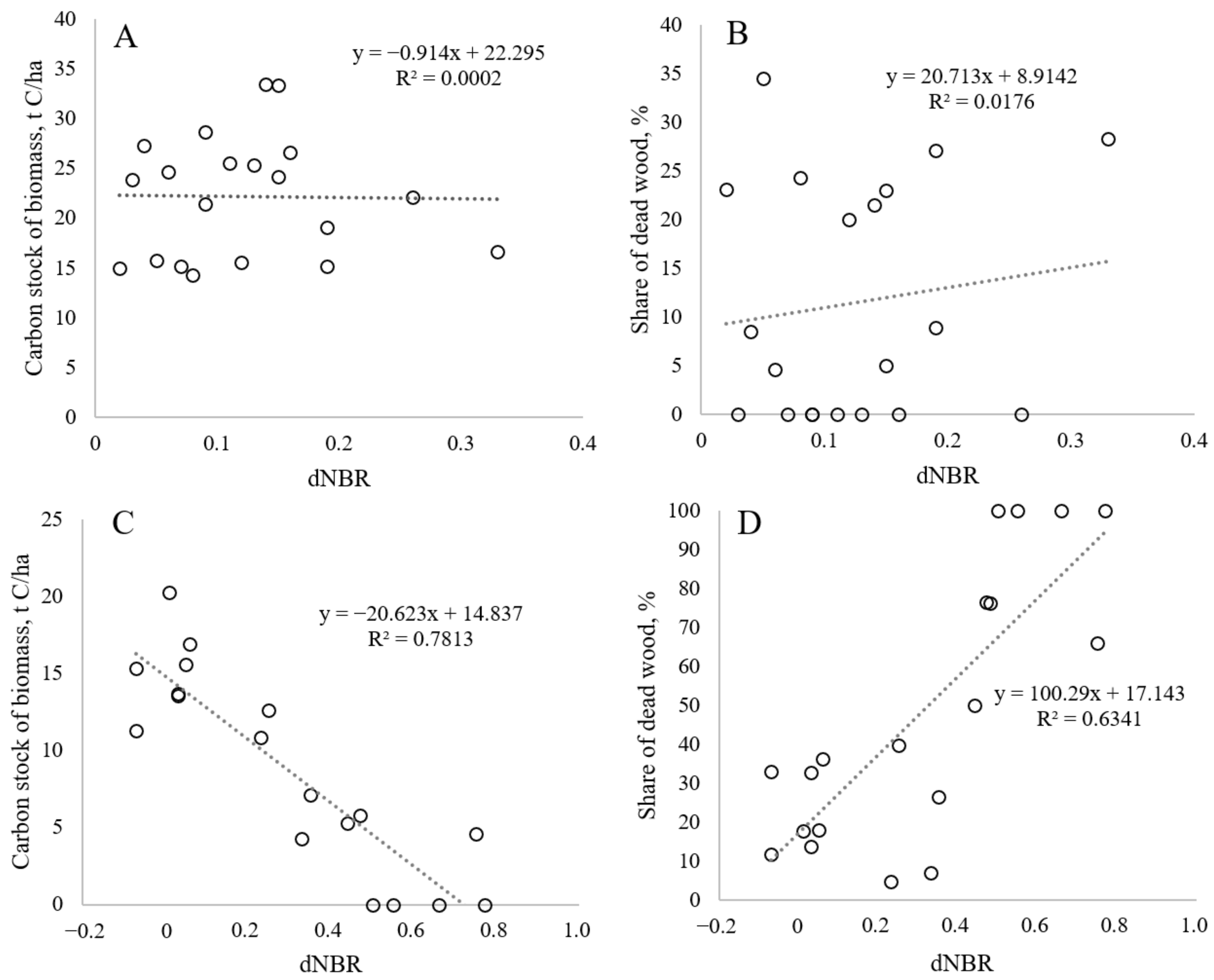
3.4. Aboveground C Stocks and dNBR
4. Discussion
5. Conclusions
Author Contributions
Funding
Data Availability Statement
Acknowledgments
Conflicts of Interest
Appendix A
| PP | E | N | ALT | Carbon Stock, t C/ha | ||||||
|---|---|---|---|---|---|---|---|---|---|---|
| TBM | DSW | LT | GC | CWD | dNBR | TSF | ||||
| E1 | 126.97 | 52.62 | 332.02 | 23.87 | 0.00 | 6.71 | 0.05 | 0.60 | 0.03 | - |
| E2 | 126.89 | 52.62 | 331.00 | 22.13 | 0.00 | 6.93 | 0.04 | 0.32 | 0.26 | 21 |
| E3 | 126.81 | 52.70 | 314.53 | 33.51 | 9.21 | 10.61 | 0.29 | 2.85 | 0.14 | 27 |
| E4 | 126.78 | 52.67 | 320.48 | 16.67 | 6.60 | 9.14 | 0.53 | 2.60 | 0.33 | 20 |
| E5 | 126.74 | 52.62 | 317.81 | 15.20 | 5.67 | 7.83 | 0.75 | 0.76 | 0.19 | 5 |
| E6 | 127.31 | 52.42 | 316.15 | 15.60 | 3.90 | 2.35 | 0.70 | 0.63 | 0.12 | 34 |
| E7 | 127.42 | 52.25 | 318.93 | 25.56 | 0.00 | 5.90 | 0.50 | 2.18 | −0.11 | 21 |
| E8 | 127.55 | 52.22 | 321.03 | 33.35 | 1.75 | 3.76 | 0.25 | 1.46 | 0.15 | 21 |
| E9 | 127.71 | 52.17 | 320.09 | 26.61 | 0.00 | 6.92 | 0.31 | 0.67 | 0.16 | 24 |
| E10 | 127.69 | 52.15 | 300.74 | 28.69 | 0.00 | 7.71 | 0.78 | 0.89 | 0.09 | 24 |
| E11 | 127.81 | 52.08 | 315.39 | 21.41 | 0.00 | 6.72 | 0.79 | 3.27 | 0.09 | 7 |
| E12 | 127.80 | 52.08 | 320.37 | 24.22 | 7.25 | 3.83 | 0.58 | 2.10 | −0.15 | 24 |
| E13 | 127.95 | 52.10 | 296.49 | 24.67 | 1.19 | 6.17 | 0.43 | 2.11 | 0.06 | 17 |
| E14 | 128.07 | 52.10 | 292.87 | 25.37 | 0.00 | 3.41 | 0.41 | 0.46 | 0.13 | 5 |
| E15 | 128.10 | 52.11 | 290.92 | 15.13 | 0.00 | 5.01 | 0.36 | 0.99 | 0.07 | 36 |
| E16 | 128.07 | 52.09 | 290.44 | 27.29 | 2.56 | 2.82 | 0.49 | 0.00 | 0.04 | 36 |
| E17 | 126.21 | 53.37 | 348.63 | 19.13 | 1.18 | 1.65 | 0.51 | 0.70 | 0.19 | 36 |
| E18 | 125.35 | 53.60 | 458.70 | 15.77 | 5.45 | 2.63 | 1.02 | 2.88 | 0.05 | 11 |
| E19 | 125.03 | 53.72 | 555.54 | 14.28 | 1.70 | 2.49 | 0.83 | 2.90 | 0.05 | 23 |
| E20 | 124.90 | 53.68 | 527.76 | 14.99 | 2.87 | 1.91 | 1.57 | 1.63 | 0.02 | 11 |
| E21 | 124.77 | 55.37 | 585.72 | 5.29 | 2.72 | 3.75 | 2.12 | 2.58 | 0.44 | 7 |
| E22 | 124.96 | 55.98 | 920.65 | 8.70 | 0.00 | 4.21 | 1.27 | 0.00 | - | - |
| E23 | 124.85 | 56.07 | 1056.63 | 14.48 | 0.00 | 3.11 | 1.21 | 2.20 | - | - |
| E24 | 124.73 | 56.39 | 899.61 | 4.27 | 0.00 | 6.66 | 4.72 | 0.32 | 0.33 | 27 |
| E25 | 124.78 | 56.55 | 786.66 | 0.00 | 1.18 | 0.59 | 1.60 | 0.96 | 0.77 | 8 |
| E26 | 124.83 | 56.59 | 929.73 | 0.00 | 1.18 | 6.72 | 1.34 | 1.35 | 0.66 | 15 |
| E27 | 124.81 | 56.57 | 858.57 | 11.77 | 1.13 | 3.74 | 3.59 | 0.82 | - | - |
| E28 | 124.85 | 57.07 | 759.96 | 20.03 | 0.00 | 2.15 | 3.69 | 0.06 | - | - |
| E29 | 124.97 | 57.42 | 985.03 | 10.81 | 0.00 | 3.95 | 1.35 | 0.53 | 0.23 | 24 |
| E30 | 125.17 | 57.61 | 1160.31 | 13.68 | 1.67 | 3.80 | 2.41 | 0.52 | 0.03 | - |
| E31 | 125.43 | 57.87 | 1180.21 | 10.44 | 6.06 | 3.62 | 1.43 | 8.70 | - | - |
| E32 | 125.40 | 58.23 | 866.22 | 15.29 | 3.04 | 8.65 | 3.61 | 4.50 | −0.07 | - |
| E33 | 125.38 | 58.56 | 682.70 | 11.26 | 1.13 | 3.19 | 2.33 | 0.36 | −0.07 | - |
| E34 | 125.41 | 58.67 | 535.22 | 0.00 | 1.50 | 3.74 | 0.23 | 2.70 | 0.55 | 15 |
| E35 | 125.52 | 58.80 | 382.56 | 20.26 | 1.67 | 3.06 | 0.81 | 2.70 | 0.01 | - |
| E36 | 125.80 | 58.90 | 440.20 | 15.60 | 1.30 | 4.48 | 0.24 | 2.10 | 0.05 | - |
| E37 | 127.01 | 59.42 | 380.37 | 0.00 | 3.65 | 0.69 | 0.33 | 2.60 | 0.50 | 18 |
| E38 | 127.08 | 59.62 | 313.62 | 13.52 | 4.10 | 2.72 | 1.83 | 2.50 | 0.03 | - |
| E39 | 127.21 | 59.76 | 383.01 | 8.59 | 2.13 | 3.27 | 2.15 | 0.07 | - | - |
| E40 | 127.22 | 59.88 | 465.75 | 10.96 | 3.60 | 1.93 | 1.78 | 1.30 | - | - |
| E41 | 127.25 | 60.01 | 554.36 | 14.17 | 2.37 | 2.74 | 1.07 | 2.05 | - | - |
| E42 | 127.29 | 60.11 | 433.07 | 10.38 | 4.62 | 1.52 | 1.74 | 1.90 | - | - |
| E43 | 127.46 | 60.35 | 444.69 | 4.57 | 5.87 | 0.82 | 1.11 | 2.99 | 0.75 | 12 |
| E44 | 128.00 | 60.54 | 478.96 | 10.39 | 1.09 | 1.15 | 0.63 | 1.99 | - | - |
| E45 | 128.23 | 60.63 | 471.60 | 12.62 | 6.77 | 1.41 | 0.72 | 1.50 | 0.25 | 21 |
| E46 | 128.60 | 60.79 | 355.25 | 7.08 | 2.49 | 1.39 | 0.61 | 0.06 | 0.35 | 14 |
| E47 | 128.77 | 60.96 | 381.57 | 5.79 | 12.55 | 1.12 | 1.65 | 6.15 | 0.47 | 2 |
| E48 | 128.83 | 61.07 | 363.13 | 16.90 | 3.54 | 2.29 | 0.20 | 6.08 | - | - |
| E49 | 128.85 | 61.07 | 332.01 | 4.35 | 5.86 | 1.19 | 0.25 | 8.00 | 0.48 | 21 |
| PP | N | E | ID Pre-Fire Landsat (path/row_yyyymmdd) | ID Fire Landsat (path/row_yyyymmdd) | ID Post-Fire Landsat (path/row_yyyymmdd) |
|---|---|---|---|---|---|
| 2 | 52.62 | 126.88 | 120/023_20010623 | 120/023_20020610 | 119/023_20030622 |
| 3 | 52.70 | 126.81 | 120/023_19950709 | 120/023_19960524 | 119/023_19970723 |
| 4 | 52.66 | 126.78 | 120/023_20020610 | 120/023_20030816 | 119/023_20040608 |
| 5 | 52.61 | 126.73 | 120/023_20170721 | 119/023_20180530 | 119/023_20190805 |
| 6 | 52.41 | 127.30 | 119/024_19880628 | 119/023_19890530 | 119/024_19900720 |
| 7 | 52.24 | 127.41 | 119/024_20010803 | 119/024_20020705 | 119/024_20030809 |
| 8 | 52.21 | 127.55 | 119/024_20010803 | 119/024_20020705 | 119/024_20030809 |
| 9 | 52.17 | 127.70 | 118/024_19980617 | 118/024_19990519 | 119/024_20000613 |
| 10 | 52.15 | 127.68 | 118/024_19980617 | 118/024_19990604 | 119/024_20000613 |
| 11 | 52.07 | 127.80 | 118/024_20150702 | 119/024_20160625 | 118/024_20170621 |
| 12 | 52.08 | 127.80 | 118/024_19980617 | 118/024_19990519 | 119/024_20000613 |
| 13 | 52.10 | 127.94 | 119/024_20050627 | 119/024_20060630 | 119/024_20070617 |
| 14 | 52.09 | 128.06 | 119/024_20170612 | 119/024_20180530 | 118/024_20190611 |
| 15 | 52.10 | 128.10 | 119/024_19860725 | 119/024_19870610 | 119/024_19880628 |
| 16 | 52.09 | 128.06 | 119/024_19860725 | 119/024_19870610 | 119/024_19880628 |
| 17 | 53.36 | 126.21 | 120/023_19860614 | 119/024_19870610 | 120/023_19880603 |
| 18 | 53.60 | 125.34 | 120/023_20110705 | 120/023_20120613 | 120/023_20130624 |
| 19 | 53.71 | 125.02 | 121/023_19990727 | 121/023_20000611 | 121/023_20010716 |
| 20 | 53.68 | 124.89 | 121/023_20110626 | 121/023_20120620 | 122/022_20130622 |
| 21 | 55.37 | 124.76 | 122/022_20150808 | 121/022_20160826 | 122/021_20170804 |
| 24 | 56.39 | 124.73 | 123/020_19940812 | 123/021_19960614 | 123/020_19970804 |
| 25 | 56.54 | 124.78 | 122/020_20150714 | 123/020_20150822 | 122/021_20160716 |
| 26 | 56.59 | 124.82 | 123/020_20070629 | 123/020_20080717 | 122/021_20090713 |
| 29 | 57.41 | 124.97 | 122/020_19970813 | 122/020_19990803 | 123/020_20000812 |
| 34 | 58.67 | 125.41 | 123/019_20070715 | 122/019_20080717 | 122/019_20090713 |
| 37 | 59.41 | 127.00 | 122/018_20030713 | 122/018_20050702 | 121/019_20060628 |
| 43 | 60.34 | 127.45 | 121/018_20100623 | 122/018_20110719 | 121/018_20120620 |
| 45 | 60.62 | 128.23 | 121/018_20010801 | 122/018_20020827 | 122/018_20030814 |
| 46 | 60.79 | 128.59 | 122/017_20080624 | 122/017_20090830 | 121/018_20100623 |
| 47 | 60.95 | 128.76 | 122/017_20200625 | 122/017_20210730 | 122/017_20220623 |
| 49 | 61.07 | 128.85 | 122/017_20000704 | 122/017_20020827 | 122/017_20040613 |
References
- Zhang, Y.H.; Wooster, M.J.; Tutubalina, O.; Perry, G.L.W. Monthly Burned Area and Forest Fire Carbon Emission Estimates for the Russian Federation from SPOT VGT. Remote Sens. Environ. 2003, 87, 1–15. [Google Scholar] [CrossRef]
- Osawa, A.; Kajimoto, T. Development of Stand Structure in Larch Forests. In Permafrost Ecosystems: Siberian Larch Forests; Osawa, A., Zyryanova, O., Matsuura, Y., Kajimoto, T., Wein, R., Eds.; Springer: Berlin/Heidelberg, Germany, 2010; Volume 209, pp. 123–148. [Google Scholar] [CrossRef]
- Romanov, A.A.; Tamarovskaya, A.N.; Gloor, E.; Brienen, R.; Gusev, B.A.; Leonenko, E.V.; Vasiliev, A.S.; Krikunov, E.E. Reassessment of Carbon Emissions from Fires and a New Estimate of Net Carbon Uptake in Russian Forests in 2001–2021. Sci. Total Environ. 2022, 846, 157322. [Google Scholar] [CrossRef] [PubMed]
- Kharuk, V.I.; Dvinskaya, M.L.; Petrov, I.A.; Im, S.T.; Ranson, K.J. Larch Forests of Middle Siberia: Long-Term Trends in Fire Return Intervals. Reg. Environ. Change 2016, 16, 2389–2397. [Google Scholar] [CrossRef]
- Ponomarev, E.I.; Zabrodin, A.N.; Shvetsov, E.G.; Ponomareva, T.V. Wildfire Intensity and Fire Emissions in Siberia. Fire 2023, 6, 246. [Google Scholar] [CrossRef]
- De Groot, W.J.; Cantin, A.S.; Flannigan, M.D.; Soja, A.J.; Gowman, L.M.; Newbery, A. A Comparison of Canadian and Russian Boreal Forest Fire Regimes. For. Ecol. Manag. 2013, 294, 23–34. [Google Scholar] [CrossRef]
- Sergeeva, O.V.; Mukhortova, L.V.; Krivobokov, L.V. Distribution of Forest Litter and Live Ground Cover Biomass in Northern Taiga of the Central Evenkia Depending on Relief. Sib. For. J. 2020, 1, 38–46. [Google Scholar] [CrossRef]
- Kasischke, E.S. Boreal Ecosystems in the Global Carbon Cycle. In Fire, Climate Change, and Carbon Cycling in the Boreal Forest; Springer: Berlin/Heidelberg, Germany, 2000; pp. 19–30. [Google Scholar] [CrossRef]
- Fraser, R.H.; Li, Z.; Cihlar, J. Hotspot and NDVI Differencing Synergy (HANDS): A New Technique for Burned Area Mapping over Boreal Forest. Remote Sens. Environ. 2000, 74, 362–376. [Google Scholar] [CrossRef]
- Alexander, H.D.; Paulson, A.K.; Loranty, M.M.; Mack, M.C.; Natali, S.M.; Pena, H.; Davydov, S.; Spektor, V.; Zimov, N. Linking Post-Fire Tree Density to Carbon Storage in High-Latitude Cajander Larch (Larix cajanderi) Forests of Far Northeastern Siberia. Ecosystems 2024, 27, 655–672. [Google Scholar] [CrossRef]
- Alexander, H.D.; Mack, M.C.; Goetz, S.; Loranty, M.M.; Beck, P.S.A.; Earl, K.; Zimov, S.; Davydov, S.; Thompson, C.C. Carbon Accumulation Patterns During Post-Fire Succession in Cajander Larch (Larix cajanderi) Forests of Siberia. Ecosystems 2012, 15, 1065–1082. [Google Scholar] [CrossRef]
- Kajimoto, T.; Osawa, A.; Usoltsev, V.A.; Abaimov, A.P. Biomass and Productivity of Siberian Larch Forest Ecosystems. In Permafrost Ecosystems: Siberian Larch Forests; Springer: Berlin/Heidelberg, Germany, 2010; ISBN 9781402096921. [Google Scholar]
- Mukhortova, L.; Krivobokov, L.; Schepaschenko, D. Postfire dynamics of standing dead tree stock in northern boreal forests. BIO Web Conf. 2022, 52, 00038. [Google Scholar] [CrossRef]
- Webb, E.E.; Heard, K.; Natali, S.M.; Bunn, A.G.; Alexander, H.D.; Berner, L.T.; Kholodov, A.; Loranty, M.M.; Schade, J.D.; Spektor, V.; et al. Variability in above- and belowground carbon stocks in a Siberian larch watershed. Biogeosciences 2017, 14, 4279–4294. [Google Scholar] [CrossRef]
- Ivanov, A.V.; Neumann, M.; Darman, G.F.; Danilov, A.V.; Susloparova, E.S.; Solovyov, I.D.; Kravchenko, O.M.; Smuskina, I.N.; Bryanin, S. Vulnerability of Larch Forests to Forest Fires along a Latitudinal Gradient in Eastern Siberia. Can. J. For. Res. 2022, 52, 1543–1552. [Google Scholar] [CrossRef]
- FAO. World Reference Base for Soil Resources 2014 International Soil Classification System for Naming Soils and Creating Legends for Soil Maps, 4th ed.; FAO: Rome, Italy, 2014; ISBN 978-92-5-108369-7. [Google Scholar]
- Utkin, A. Forest of Central Yakutia; Nauka: Moscow, Russia, 1965; 208p. [Google Scholar]
- Stamatellos, G.; Georgakis, A. Normal and Bootstrap Confidence Intervals in Bitterlich Sampling. Open J. For. 2020, 10, 58–65. [Google Scholar] [CrossRef]
- Van Wagner, C.E. The Line Intersect Method in Forest Fuel Sampling. For. Sci. 1968, 14, 20–26. [Google Scholar]
- Woldendorp, G.; Keenan, R.J.; Barry, S.; Spencer, R.D. Analysis of Sampling Methods for Coarse Woody Debris. For. Ecol. Manag. 2004, 198, 133–148. [Google Scholar] [CrossRef]
- Grabovsky, V.; Zamolodchikov, D. Models of Estimating Slash Reserves According to Data Obtained on Transects. Lesovedenie 2012, 2, 66–73. [Google Scholar]
- Ivanov, A.V.; Braun, M.; Zamolodchikov, D.G.; Lynov, D.V.; Panfilova, E.V. Forest Litters as a Link in the Carbon Cycle in Coniferous–Broadleaved Forests of the Southern Far East of Russia. Eurasian Soil Sci. 2018, 51, 1164–1171. [Google Scholar] [CrossRef]
- Prokushkin, S.G.; Abaimov, A.P.; Prokushkin, A.S.; Masyagina, O.V. Biomass of Ground Cover and Undergrowth in Larch Forests of the Permafrost Zone of Central Siberia. Sib. Ecol. J. 2006, 2, 131–139. [Google Scholar]
- Key, C.H.; Benson, N.C. Landscape Assessment (LA) Sampling and Analysis Methods. In USDA Forest Service General Technical Report RMRS-GTR; USDA: Washington, DC, USA, 2006. [Google Scholar]
- Chu, T.; Guo, X.; Takeda, K. Temporal Dependence of Burn Severity Assessment in Siberian Larch (Larix Sibirica) Forest of Northern Mongolia Using Remotely Sensed Data. Int. J. Wildland Fire 2016, 25, 685–698. [Google Scholar] [CrossRef]
- Webb, E.E.; Alexander, H.D.; Paulson, A.K.; Loranty, M.M.; DeMarco, J.; Talucci, A.C.; Spektor, V.; Zimov, N.; Lichstein, J.W. Fire-Induced Carbon Loss and Tree Mortality in Siberian Larch Forests. Geophys. Res. Lett. 2024, 51, e2023GL105216. [Google Scholar] [CrossRef]
- Song, X.; Wang, G.; Ran, F.; Chang, R.; Song, C.; Xiao, Y. Effects of topography and fire on soil CO2 and CH4 flux in boreal forest underlain by permafrost in northeast China. Ecol. Eng. 2017, 106, 35–43. [Google Scholar] [CrossRef]
- Talucci, A.C.; Loranty, M.M.; Alexander, H.D. Siberian Taiga and Tundra Fire Regimes from 2001–2020. Environ. Res. Lett. 2022, 17, 025001. [Google Scholar] [CrossRef]
- Karelin, D.V.; Zamolodchikov, D.G.; Shilkin, A.V.; Popov, S.Y.; Kumanyaev, A.S.; de Gerenyu, V.O.L.; Tel’nova, N.O.; Gitarskiy, M.L. The Effect of Tree Mortality on CO2 Fluxes in an Old-Growth Spruce Forest. Eur. J. For. Res. 2021, 140, 287–305. [Google Scholar] [CrossRef]
- Zamolodchikov, D.G.; Grabowsky, V.I.; Chestnykh, O.V. Dynamic Pattern of Carbon Balance in the Forests of Federal Districts of the Russian Federation. For. Sci. Issues 2019, 2, 1–19. [Google Scholar] [CrossRef]
- Halpern, C.B.; Lezberg, A.L.; Bigley, R.E. Broadcast Burning Has Persistent, but Subtle, Effects on Understory Composition and Structure: Results of a Long-Term Study in Western Cascade Forests. For. Ecol. Manag. 2024, 558, 121772. [Google Scholar] [CrossRef]








| Sites | Latitude [deg] | Longitude [deg] | Elevation [m] | Species Composition of Trees | Average Height [m] | Stand Volume, [m3/ha−1] | Standing Dead Volume, [m3/ha−1] | Dominant Plant in Coverage | Coverage of Species, % |
|---|---|---|---|---|---|---|---|---|---|
| 1 | 52.618 | 126.970 | 332 | 60%B, 40%L | 17.8 | 127.1 | 0.0 | Car | 50 |
| 2 | 52.624 | 126.890 | 331 | 60%B, 40%L | 12.0 | 112.0 | 0.0 | Car | 40 |
| 3 | 52.699 | 126.811 | 315 | 80%L, 20%Ps | 17.3 | 180.3 | 43.6 | Car | 60 |
| 4 | 52.665 | 126.782 | 320 | 80%L, 20%Ps | 15.3 | 79.2 | 16.1 | Car | 100 |
| 5 | 52.620 | 126.736 | 318 | 70%L, 20%Ps, 10%B | 15.4 | 70.4 | 24.3 | Car | 90 |
| 6 | 52.416 | 127.305 | 316 | 60%L, 40%B | 16.5 | 72.8 | 0.0 | Lp | 90 |
| 7 | 52.249 | 127.418 | 319 | 60%L, 40%Ps | 18.8 | 132.6 | 0.0 | Vv | 60 |
| 8 | 52.216 | 127.551 | 321 | 70%L, 30%Ps | 16.2 | 179.3 | 0.0 | Car | 70 |
| 9 | 52.173 | 127.706 | 320 | 80%L, 10%Ps, 10%B | 15.8 | 136.2 | 0.0 | Pyr | 70 |
| 10 | 52.151 | 127.686 | 301 | 50%Ps, 40%L, 10%Pt | 18.9 | 151.4 | 0.0 | Vv | 90 |
| 11 | 52.079 | 127.807 | 315 | 70%L, 20%Ps, 10%B | 16.7 | 107.7 | 0.0 | Vv | 100 |
| 12 | 52.083 | 127.803 | 320 | 90%L, 10%B | 18.8 | 124.5 | 35.8 | Pte | 90 |
| 13 | 52.102 | 127.951 | 296 | 50%L, 30%B, 20%Ps | 13.4 | 127.2 | 0.0 | Pyr | 70 |
| 14 | 52.097 | 128.069 | 293 | 100%L | 19.9 | 131.5 | 0.0 | Car | 90 |
| 15 | 52.105 | 128.100 | 291 | 70%Ps, 30%L | 19.4 | 70.0 | 0.0 | Car | 70 |
| 16 | 52.094 | 128.066 | 290 | 50%L, 50%B | 13.6 | 143.0 | 0.0 | Car | 100 |
| 17 | 53.370 | 126.211 | 349 | 90%B, 10%L | 13.4 | 94.0 | 7.3 | Car | 90 |
| 18 | 53.605 | 125.347 | 459 | 60%L, 40%B | 17.9 | 73.8 | 37.1 | Car | 90 |
| 19 | 53.716 | 125.027 | 556 | 60%B, 30%L, 10%Pt | 13.8 | 64.9 | 0.0 | Cal | 80 |
| 20 | 53.684 | 124.898 | 528 | 90%L, 10%B | 15.9 | 77.0 | 0.0 | Vv | 100 |
| 21 | 55.372 | 124.770 | 586 | 70%L, 30%Ps | 11.4 | 10.9 | 6.7 | Lp | 80 |
| 22 | 55.976 | 124.957 | 921 | 80%L, 20%Pt | 8.9 | 31.4 | 0.0 | Lp | 70 |
| 23 | 56.073 | 124.854 | 1057 | 100%L | 10.4 | 66.1 | 0.0 | Vu | 80 |
| 24 | 56.392 | 124.734 | 900 | 100%L | 12.7 | 4.8 | 0.0 | Lp | 100 |
| 25 | 56.549 | 124.783 | 787 | - | 12.7 | 0.0 | 0.0 | Vu | 80 |
| 26 | 56.593 | 124.830 | 930 | - | 12.7 | 0.0 | 7.2 | Vu | 80 |
| 27 | 56.567 | 124.808 | 859 | 60%L, 40%Ps | 11.3 | 49.8 | 0.0 | Shp | 100 |
| 28 | 57.067 | 124.849 | 760 | 60%L, 40%Ps | 8.8 | 99.4 | 0.0 | Shp | 100 |
| 29 | 57.415 | 124.974 | 985 | 80%L, 20%Po | 11.1 | 44.0 | 0.0 | Vu | 80 |
| 30 | 57.605 | 125.171 | 1160 | 100%L | 14.1 | 61.3 | 0.0 | Shp | 100 |
| 31 | 57.875 | 125.429 | 1180 | 70%L, 30%Po | 11.0 | 41.8 | 35.5 | Vu | 95 |
| 32 | 58.232 | 125.395 | 866 | 60%L, 40%Po | 17.5 | 73.7 | 14.2 | Shp | 100 |
| 33 | 58.564 | 125.377 | 683 | 50%L, 30%Po, 20%Ps | 16.2 | 46.7 | 6.3 | Shp | 90 |
| 34 | 58.672 | 125.411 | 535 | - | 10.1 | 0.0 | 6.1 | Lp | 70 |
| 35 | 58.797 | 125.521 | 383 | 50%L, 50%Ps | 14.9 | 100.7 | 15.3 | Lp | 80 |
| 36 | 58.896 | 125.802 | 440 | 70%L, 20%B, 10%Ps | 16.2 | 72.8 | 9.2 | Shp | 70 |
| 37 | 59.416 | 127.005 | 380 | - | 9.0 | 0.0 | 23.6 | Vv | 50 |
| 38 | 59.616 | 127.082 | 314 | 90%L, 10%Ps | 13.1 | 60.3 | 41.6 | Vv | 90 |
| 39 | 59.762 | 127.206 | 383 | 100%L | 15.0 | 30.7 | 15.9 | Vu | 80 |
| 40 | 59.878 | 127.224 | 466 | 50%Ps, 40%L, 10%Po | 15.2 | 44.9 | 26.4 | Vv | 100 |
| 41 | 60.010 | 127.252 | 554 | 100%L | 11.9 | 64.2 | 12.5 | Vu | 90 |
| 42 | 60.106 | 127.294 | 433 | 100%L | 15.6 | 41.4 | 38.6 | Vv | 100 |
| 43 | 60.350 | 127.460 | 445 | 100%L | 12.0 | 6.6 | 43.6 | Vu | 60 |
| 44 | 60.542 | 127.996 | 479 | 100%L | 9.7 | 41.5 | 0.0 | Vv | 80 |
| 45 | 60.628 | 128.232 | 472 | 60%B, 40%L | 20.8 | 54.9 | 0.0 | Car | 90 |
| 46 | 60.791 | 128.597 | 355 | 100%L | 8.8 | 21.6 | 11.2 | Car | 70 |
| 47 | 60.960 | 128.767 | 382 | 80%B, 20%L | 20.8 | 13.9 | 90.8 | Cal | 90 |
| 48 | 61.066 | 128.831 | 363 | 50%L, 50%B | 17.7 | 80.6 | 19.3 | Car | 40 |
| 49 | 61.072 | 128.848 | 332 | 50%L, 50%B | 16.0 | 5.2 | 67.8 | Vv | 60 |
Disclaimer/Publisher’s Note: The statements, opinions and data contained in all publications are solely those of the individual author(s) and contributor(s) and not of MDPI and/or the editor(s). MDPI and/or the editor(s) disclaim responsibility for any injury to people or property resulting from any ideas, methods, instructions or products referred to in the content. |
© 2024 by the authors. Licensee MDPI, Basel, Switzerland. This article is an open access article distributed under the terms and conditions of the Creative Commons Attribution (CC BY) license (https://creativecommons.org/licenses/by/4.0/).
Share and Cite
Ivanov, A.; Masyutina, Y.; Susloparova, E.; Danilov, A.; Zenevskaya, E.; Bryanin, S. Effect of Fire on Aboveground Carbon Pools Dynamic in the Boreal Forests of Eastern Eurasia: Analysis of Field and Remote Data. Forests 2024, 15, 1448. https://doi.org/10.3390/f15081448
Ivanov A, Masyutina Y, Susloparova E, Danilov A, Zenevskaya E, Bryanin S. Effect of Fire on Aboveground Carbon Pools Dynamic in the Boreal Forests of Eastern Eurasia: Analysis of Field and Remote Data. Forests. 2024; 15(8):1448. https://doi.org/10.3390/f15081448
Chicago/Turabian StyleIvanov, Aleksandr, Yulia Masyutina, Elizaveta Susloparova, Aleksandr Danilov, Evgenia Zenevskaya, and Semyon Bryanin. 2024. "Effect of Fire on Aboveground Carbon Pools Dynamic in the Boreal Forests of Eastern Eurasia: Analysis of Field and Remote Data" Forests 15, no. 8: 1448. https://doi.org/10.3390/f15081448
APA StyleIvanov, A., Masyutina, Y., Susloparova, E., Danilov, A., Zenevskaya, E., & Bryanin, S. (2024). Effect of Fire on Aboveground Carbon Pools Dynamic in the Boreal Forests of Eastern Eurasia: Analysis of Field and Remote Data. Forests, 15(8), 1448. https://doi.org/10.3390/f15081448
