Biomass Allocation and Allometry in Juglans mandshurica Seedlings from Different Geographical Provenances in China
Abstract
1. Introduction
2. Materials and Methods
2.1. Materials
2.2. Study Area
2.3. Biomass Acquisition and Measurement
2.4. Data Analysis
3. Results
3.1. Biomass of J. mandshurica Seedlings
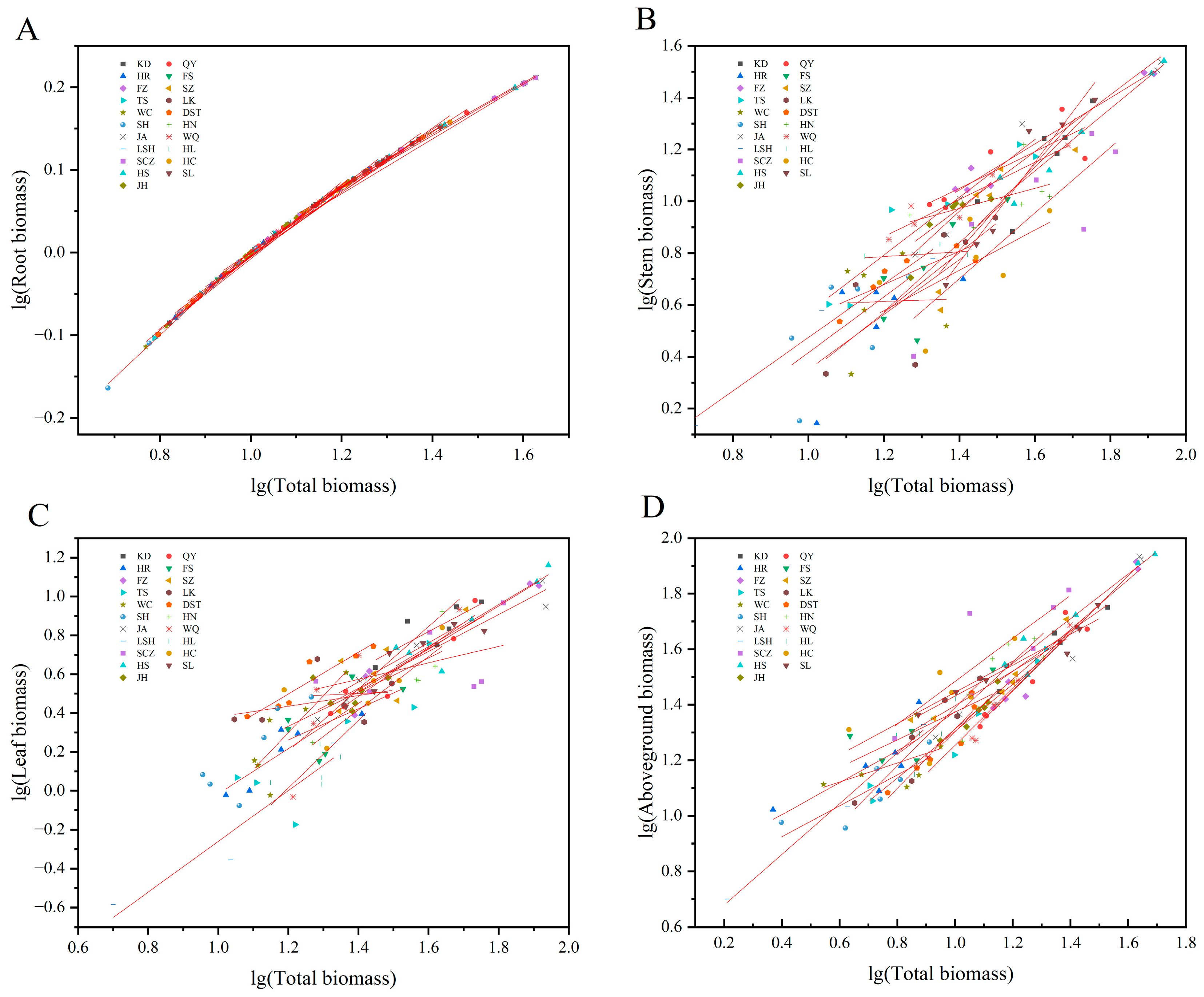
3.2. Allometric Growth Relationship between the Organs and Whole Plants for J. mandshurica Seedlings
3.3. Allometric Growth Relationship between the Organs of J. mandshurica Seedlings
3.4. Correlations Analysis of Various Biomass Traits and Geographical and Climatic Factors
4. Discussion
4.1. Biomass and Its Allocation in Seedlings of J. mandshurica from Different Provenances
4.2. Allometric Growth Relationship of J. mandshurica Seedlings from Different Provenances
4.3. Correlations of the Biomass Traits, Allocation Rates in J. mandshurica, and Geographical and Climatic Factors
5. Conclusions
Author Contributions
Funding
Data Availability Statement
Acknowledgments
Conflicts of Interest
References
- Poorter, H.; Niklas, K.J.; Reich, P.B.; Oleksyn, J.; Poot, P.; Mommer, L. Biomass allocation to leaves, stems and roots: Meta-analyses of interspecific variation and environmental control. New Phytol. 2012, 193, 30–50. [Google Scholar] [CrossRef] [PubMed]
- Li, B.; Suzuki, J.I.; Hara, T. Competitive ability of two Brassica varieties in relation to biomass allocation and morphological plasticity under varying nutrient availability. Ecol. Res. 2010, 14, 255–266. [Google Scholar] [CrossRef]
- Aranda, I.; Alia, R.; Ortega, U.; Dantas, A.K.; Majada, J. Intra-specific variability in biomass partitioning and carbon isotopic discrimination under moderate drought stress in seedlings from four Pinus pinaster populations. Tree Genet. Genomes 2010, 6, 169–178. [Google Scholar] [CrossRef]
- De-Miguel, S.; Pukkala, T.; Assaf, N.; Shater, Z. Intra-specific differences in allometric equations for aboveground biomass of eastern Mediterranean. Pinus brutia. Ann. For. Sci. 2014, 71, 101–112. [Google Scholar] [CrossRef]
- Ingwers, M.W.; Mcguire, M.A.; Aubrey, D.P.; Bhuiyan, R.A.; Teskey, R.O. Half-sibling loblolly pine clones exhibited intraspecific variation, a G × E interaction, and differences in stable isotope composition in response to soil moisture availability. Environ. Exp. Bot. 2017, 138, 88–98. [Google Scholar] [CrossRef]
- Chmura, D.J.; Guzicka, M.; Rokowski, R.; Chalupka, J. Variation in aboveground and belowground biomass in progeny of selected stands of Pinus sylvestris. Scand. J. For. Res. 2013, 28, 724–734. [Google Scholar] [CrossRef]
- Sillett, S.C.; Pelt, V.R.; Carroll, L.A.; Jim, C.; Coonen, E.J.; Iberle, B. Allometric equations for Sequoia sempervirens in forests of different ages. For. Ecol. Manag. 2019, 2019, 433–447. [Google Scholar] [CrossRef]
- Noriyuki, O.; Hiroshi, T.; Akio, F.; Muhamad, A. Changes in shoot allometry with increasing tree height in a tropical canopy species, Elateriospermum tapos. Tree Physiol. 2002, 22, 625–632. [Google Scholar]
- Niklas, K.J. Modelling below- and above-ground biomass for non-woody and woody plants. Annu. Bot. 2005, 95, 315–321. [Google Scholar]
- Nunes, L.J.R.; Meireles, C.I.R.; Gomes, C.J.P.; Ribeiro, N.M.C.A. Allometric, growth, and biomass estimation models for Acacia dealbata Link.: A case study in Serra da Estrela Natural Park (Portugal). Environments 2022, 9, 104. [Google Scholar] [CrossRef]
- Kizha, A.; Han, H.S. Predicting aboveground biomass in second growth coast redwood: Comparing localized with generic allometric models. Forests 2016, 7, 96. [Google Scholar] [CrossRef]
- Poorter, H.; Jagodzinski, A.M.; Ruiz-Peinado, R.; Kuyah, S.; Luo, Y.J.; Oleksyn, J.; Usoltsev, V.A.; Buckley, T.N.; Reich, P.; Sack, L. How does biomass distribution change with size and differ among species? An analysis for 1200 plant species from five continents. New Phytol. 2015, 208, 736–749. [Google Scholar] [CrossRef] [PubMed]
- Aspinwall, M.J.; King, J.S.; Mckeand, S.E. Productivity differences among loblolly pine genotypes are independent of individual-tree biomass partitioning and growth efficiency. Trees 2013, 27, 533–545. [Google Scholar] [CrossRef]
- Stovall, J.P.; Fox, T.R.; Seiler, J.R. Short-term changes in biomass partitioning of two full-sib clones of Pinus taeda L. under differing fertilizer regimes over 4 months. Trees 2012, 26, 951–961. [Google Scholar] [CrossRef]
- Stovall, J.P.; Fox, T.R.; Seiler, J.R. Allometry varies among 6-year-old Pinus taeda (L.) clones in the Virginia Piedmont. For. Sci. 2013, 59, 50–62. [Google Scholar] [CrossRef]
- Zhang, H.G.; Deng, J.F.; Zhang, L.; Xu, Y.L. Variation regularity among provenances of Juglans mandshurica and family selection. J. Northwest For. Univ. 2011, 26, 91–95. (In Chinese) [Google Scholar]
- Nikaido, T.; Liu, L.; Li, W.; Koike, K. Two new naphthalenyl glucosides and a new phenylbutyric acid glucoside from the fruit of Juglans mandshurica. Heterocycles 2004, 63, 1429–1436. [Google Scholar] [CrossRef]
- Bao, Y.H.; Yu, Y.Y.; Pan, L.N. The study on the nutritive components and water-soluble protein extraction of Juglans mandshurica maxim kernel. Adv. Mater. Res. 2011, 236–238, 1863–1866. [Google Scholar] [CrossRef]
- Min, B.S.; Kwon, O.K.; Park, B.Y.; Kim, Y.H.; Lee, H.K. Apoptosis-inducing activity of galloylglucoses from Juglans mandshurica in human promyeloid leukemic HL-60 cells. Nat. Prod. Sci. 2004, 10, 48–53. [Google Scholar]
- Saida, H.; Zehra, B.; Saiqa, T.; Tahira, P.; Sadia, S.; Fizza, N.; Huma, J.; Darakhshan, H.J. Effects of walnuts (Juglans regia) on learning and memory functions. Plant Food. Hum. Nutr. 2011, 66, 335–340. [Google Scholar]
- Wang, Z.H.; Zhang, H.; Tong, B.Q.; Han, B.; Liu, D.; Zhang, P.; Hu, D. EST-SSR marker-based investigation on genetic diversity and genetic structure of Juglans mandshurica Maxim. in Shandong Province of China. Genet. Resour. Crop Evol. 2022, 70, 981–991. [Google Scholar] [CrossRef]
- Xia, H.; Zhao, G.H.; Zhang, L.S.; Sun, X.Y.; Yin, S.P.; Liang, D.Y.; Li, Y.; Zheng, M.; Zhao, X.Y. Genetic and variation analyses of growth traits of half-sib Larix olgensis families in northeastern China. Euphytica 2016, 212, 1–11. [Google Scholar]
- Wang, F.; Zhang, Q.H.; Tian, Y.G.; Yang, S.C.; Wang, H.W.; Wang, L.K.; Li, Y.L.; Zhang, P.; Zhao, X.Y. Comprehensive assessment of growth traits and wood properties in half-sib Pinus koraiensis families. Euphytica 2018, 214, 202–216. [Google Scholar] [CrossRef]
- Hijmans, R.J.; Cameron, S.E.; Parra, J.L.; Jones, P.G.; Jarvis, A. Very high resolution interpolated climate surfaces for global land areas. Int. J. Climatol. 2005, 25, 1965–1978. [Google Scholar] [CrossRef]
- Enquist, B.J.; Niklas, K.J. Global allocation rules for patterns of biomass partitioning in seed plants. Science 2002, 295, 1517–1520. [Google Scholar] [CrossRef] [PubMed]
- Yang, B.; Xue, W.; Yu, S.; Zhou, J.Y.; Zhang, W.H. Effects of stand age on biomass allocation and allometry of Quercus Acutissima in the central loess plateau of China. Forests 2019, 10, 41. [Google Scholar] [CrossRef]
- Warton, D.I.; Weber, N.C. Common slope tests for bivariate errors-in-variables models. Biom. J. 2015, 44, 161–174. [Google Scholar] [CrossRef]
- Zhang, Q.H.; Yu, S.H.; Pei, X.N.; Wang, Q.C.; Lu, A.J.; Cao, Y.; Tigabu, M.; Feng, J.; Zhao, X.Y. Within-and between-population variations in seed and seedling traits of Juglans mandshurica. For. Res. 2022, 33, 1711. [Google Scholar]
- Yuan, X.L.; Qi, Y.H.; Liu, Z.L.; Zhou, Z.J.; Mao, Z.J. Provenance selection of Juglans mandshurica Maxim. and the effects of environmental factors. Bull. Bot. Res. 2013, 33, 468–476. [Google Scholar]
- Yuan, X.L. The Early Juglans mandshurica Maxim. Excellent Provenance and Pedigree Selection and Seedling Environmental Factors Impact Assessment. Master’s Thesis, Northeast Forestry University, Harbin, China, 2013. (In Chinese). [Google Scholar]
- Lin, L.; Luo, J. Variation in traits of Picea likiangensis var. linzhiensis seedlings from different provenances. For. Res. 2014, 27, 557–561. [Google Scholar]
- Isik, F.; Isik, K.; Lee, S.J. Genetic variation in Pinus brutia Ten. in Turkey: I. Growth, biomass and stem quality traits. Silvae Genet. 1999, 48, 293–302. [Google Scholar]
- Sustani, F.B.; Jalali, S.G.; Sohrabi, H.; Shirvani, A. Biomass allocation of chestnut oak (Quercus castaneifolia C.A. Mey) seedlings: Effects of provenance and light gradient. For. Sci. 2014, 11, 443–450. [Google Scholar] [CrossRef]
- Liu, J.H.; Li, Z.X.; Zhang, H.G.; Song, L.X.; Yang, Y. Analysis of variation in growth traits of different species and families of Juglans mandshurica. J. Northeast For. Univ. 2023, 51, 9–17. (In Chinese) [Google Scholar]
- Li, X.; Li, K.; Duan, A.A.; Cui, K.; Gao, C.J. Biomass allocation and allometry of Pinus yunnanensis seedlings from different provenances. J. Beijing For. Univ. 2019, 41, 41–50. (In Chinese) [Google Scholar]
- Zou, Y.; Li, B.; Peuelas, J.; Sardans, J.; Yu, H.; Chen, X.; Deng, X.; Cheng, D.; Zhong, Q. Response of functional traits in Machilus pauhoi to nitrogen addition is influenced by differences of provenances. For. Ecol. Manag. 2022, 513, 120207. [Google Scholar] [CrossRef]
- Ivo, M.; Schmid, B.; Weiner, J. The effect of nutrient availability on biomass allocation patterns in 27 species of herbaceous plants. Perspect. Plant Ecol. Evol. Syst. 2000, 3, 115–127. [Google Scholar]
- Ehdaie, B.; Layne, A.P.; Waines, J.G. Root system plasticity to drought influences grain yield in bread wheat. Euphytica 2012, 186, 219–232. [Google Scholar] [CrossRef]
- Lahti, M.; Aphalo, P.J.; Finér, L.; Ryyppo, A.; Lehto, T.; Mannerkoski, H. Effects of soil temperature on shoot and root growth and nutrient uptake of 5-year-old Norway spruce seedlings. Tree Physiol. 2005, 7, 115–122. [Google Scholar] [CrossRef]
- Gedroc, J.J.; McConnaughay, K.D.M.; Coleman, J.S. Plasticity in root/shoot partitioning: Optimal, ontogenetic, or both? Funct. Ecol. 1996, 10, 44–50. [Google Scholar] [CrossRef]
- Wilson, A.M.; Thompson, K. A comparative study of reproductive allocation in 40 British grasses. Funct. Ecol. 1989, 3, 297–302. [Google Scholar] [CrossRef]
- Chen, X.Y.; Shen, X.H. Forest Tree Breeding; Higher Education Press: Beijing, China, 2005; pp. 54–55. (In Chinese) [Google Scholar]
- Poorter, A.H.; Nagel, O. The role of biomass allocation in the growth response of plants to different levels of light, CO2, nutrients and water: A quantitative review. Aust. J. Plant Physiol. 2000, 27, 595–607. [Google Scholar]
- Hossain, M.K.; Islam, S.A.; Islam, Q.N.; Tarafdar, M.A.; Zashimuddin, M. Growth and biomass productions of the international provenance trial of Gliricidia sepium in Bangladesh. Chittagong Univ. Stud. Sci. 2015, 8, 77–82. [Google Scholar]
- Pearsall, W.H. Growth studies VI. On the relative sizes of growing plant organs. Ann. Bot. 1927, 41, 549–556. [Google Scholar] [CrossRef]
- Weiner, J. Allocation, plasticity and allometry in plants. Perspect. Plant Ecol. Evol. Syst. 2004, 6, 207–215. [Google Scholar] [CrossRef]
- Sultan, S.E. Phenotypic plasticity and plant adaptation. Plant Biol. 2013, 44, 363–383. [Google Scholar] [CrossRef]
- Ma, L.; Fu, D.H.; Su, T.; Wang, L.; Pu, X.Y.; Li, S.L. Biomass allocation and allometry of Paris polyphylla var. yunnanensis with different altitudes. Lishizhen Med. Mater. Medica Res. 2023, 34, 697–701. (In Chinese) [Google Scholar]
- Minden, V.; Kleyer, M. Testing the effect-response framework: Key response and effect traits determining above-ground biomass of salt marshes. J. Veg. Sci. 2011, 22, 387–401. [Google Scholar] [CrossRef]
- Kleyer, M.; Trinogga, J.; Piqueras, M.C.; Blasius, B. Trait correlation network analysis identifies biomass allocation traits and stem specific length as hub traits in herbaceous perennial plants. J. Ecol. 2019, 107, 829–842. [Google Scholar] [CrossRef]
- Rweyongeza, D.M.; Yeh, F.C.; DHIR, N.K. Heritability and correlations for biomass production and allocation in white spruce seedlings. Silvae Genet 2005, 54, 228–235. [Google Scholar] [CrossRef][Green Version]
- Wang, B.S.; Mao, J.F.; Zhao, W.; Wang, X.R. Impact of geography and climate on the genetic differentiation of the subtropical pine Pinus yunnanensis. PLoS ONE 2013, 8, e67345. [Google Scholar] [CrossRef]
- Brown, S.; Lugo, A.E. Biomass of tropical forests: A new estimate based on forest volumes. Science 1984, 223, 1290–1293. [Google Scholar] [CrossRef] [PubMed]
- Liu, L.U. Effects of Stand Age and Climate on Organs Biomass of Several Typical Pine Forests in China. Master’s Thesis, North China Electric Power University, Beijing, China, 2016. (In Chinese). [Google Scholar]





| Provenance | Elevation/m | Latitude | Longitude | Annual Mean Temperature/°C | Annual Mean Precipitation/mm |
|---|---|---|---|---|---|
| KD | 368 | 40°43′ | 124°46′ | 8.09 | 1079.2 |
| QY | 401 | 42°04′ | 124°52′ | 5.30 | 806.5 |
| HR | 355 | 41°27′ | 125°40′ | 7.90 | 957.2 |
| FS | 137 | 41°55′ | 124°05′ | 7.52 | 786.8 |
| FZ | 124 | 45°50′ | 128°48′ | 2.30 | 579.7 |
| SZ | 218 | 45°13′ | 127°58′ | 2.50 | 652.2 |
| TS | 227 | 46°50′ | 128°31′ | 2.80 | 638.0 |
| LK | 327 | 45°16′ | 130°14′ | 2.80 | 538.8 |
| WC | 182 | 44°54′ | 127°09′ | 3.50 | 585.7 |
| DST | 521 | 44°37′ | 129°16′ | 3.30 | 526.0 |
| SH | 532 | 41°28′ | 126°27′ | 3.50 | 925.0 |
| HN | 319 | 42°41′ | 125°58′ | 5.00 | 737.4 |
| JA | 369 | 41°09′ | 126°13′ | 5.60 | 924.2 |
| WQ | 349 | 43°18′ | 129°47′ | 4.90 | 574.9 |
| LSH | 638 | 42°45′ | 127°50′ | 2.90 | 894.0 |
| HL | 592 | 42°32′ | 129°00′ | 5.60 | 573.6 |
| SCZ | 625 | 42°05′ | 126°36′ | 4.0 0 | 910.0 |
| HC | 107 | 42°54′ | 130°17′ | 5.65 | 617.9 |
| HS | 610 | 42°57′ | 127°10′ | 3.90 | 748.1 |
| SL | 246 | 43°30′ | 126°50′ | 4.30 | 683.0 |
| JH | 330 | 43°42′ | 127°20′ | 4.50 | 691.0 |
| Traits | df (Degree of Freedom) | MS (Mean Square) | F (F Values) | p (Error Probability) |
|---|---|---|---|---|
| Root biomass | 20 | 205.862 | 3.968 | <0.001 |
| Stem biomass | 20 | 160.669 | 5.246 | <0.001 |
| Leaf biomass | 20 | 22.136 | 4.595 | <0.001 |
| Abovegroud biomass | 20 | 290.735 | 5.408 | <0.001 |
| Total biomass | 20 | 893.872 | 4.778 | <0.001 |
| Root allocation ratio | 20 | 0.03 | 4.731 | <0.001 |
| Stem allocation ratio | 20 | 0.024 | 3.697 | <0.001 |
| Leaf allocation ratio | 20 | 0.006 | 4.218 | <0.001 |
| Root-shoot ratio | 20 | 1.053 | 3.575 | <0.001 |
| Provenance | Root Biomass/g | Stem Biomass/g | Leaf Biomass/g | Abovegroud Biomass/g | Total Biomass/g | |||||
|---|---|---|---|---|---|---|---|---|---|---|
| KD | 19.96 ± 3.49 | abcd | 15.39 ± 5.99 | ab | 7.08 ± 1.92 | ab | 22.46 ± 7.28 | abc | 42.42 ± 10.02 | abc |
| QY | 14.87 ± 8.10 | cdef | 13.67 ± 5.11 | abc | 4.51 ± 2.78 | bcdef | 18.19 ± 6.93 | bcde | 33.05 ± 14.08 | bcde |
| HR | 10.44 ± 4.04 | def | 3.80 ± 1.31 | d | 1.68 ± 0.61 | fg | 5.48 ± 1.78 | gh | 15.92 ± 5.29 | ef |
| FS | 13.17 ± 4.10 | cdef | 5.89 ± 2.79 | d | 2.43 ± 0.98 | efg | 8.32 ± 3.65 | efgh | 21.49 ± 6.70 | def |
| FZ | 20.16 ± 13.37 | abcd | 18.26 ± 10.07 | a | 6.22 ± 4.14 | abc | 24.47 ± 14.19 | ab | 44.63 ± 27.36 | abc |
| SZ | 16.59 ± 5.02 | cdef | 9.75 ± 4.78 | bcd | 4.68 ± 2.17 | bcdef | 14.43 ± 6.24 | cdefgh | 31.02 ± 10.63 | bcdef |
| TS | 11.33 ± 5.56 | def | 9.74 ± 5.28 | bcd | 2.28 ± 1.87 | efg | 12.01 ± 6.73 | defgh | 23.34 ± 12.14 | def |
| LK | 12.26 ± 5.20 | cdef | 5.38 ± 2.73 | d | 3.00 ± 0.99 | defg | 8.38 ± 2.73 | efgh | 20.64 ± 7.66 | def |
| WC | 9.30 ± 3.52 | ef | 4.35 ± 1.53 | d | 2.12 ± 1.14 | cd | 6.47 ± 1.98 | fgh | 15.77 ± 4.05 | ef |
| DST | 9.74 ± 3.98 | ef | 5.33 ± 1.15 | d | 3.84 ± 1.34 | cdef | 9.17 ± 2.38 | defgh | 18.91 ± 6.05 | def |
| SH | 7.42 ± 2.05 | f | 3.58 ± 1.44 | d | 1.78 ± 0.90 | fg | 5.36 ± 1.93 | gh | 12.78 ± 3.55 | f |
| HN | 19.22 ± 6.88 | abcde | 10.73 ± 3.04 | bcd | 4.20 ± 2.23 | bcdef | 14.93 ± 3.96 | bcdefg | 34.15 ± 9.46 | bcde |
| JA | 21.38 ± 15.35 | abc | 18.39 ± 12.52 | a | 5.92 ± 3.83 | abcd | 24.32 ± 16.17 | ab | 45.70 ± 30.94 | ab |
| WQ | 12.02 ± 6.34 | cdef | 10.43 ± 3.49 | bcd | 3.98 ± 2.64 | cdef | 14.41 ± 5.89 | cdefgh | 26.43 ± 12.10 | cdef |
| LSH | 7.86 ± 4.66 | f | 3.72 ± 2.08 | d | 0.82 ± 0.73 | g | 4.54 ± 2.76 | h | 12.39 ± 7.40 | f |
| HL | 12.24 ± 3.24 | cdef | 6.33 ± 1.07 | cd | 1.73 ± 1.04 | fg | 8.06 ± 1.33 | fgh | 20.30 ± 4.02 | def |
| SCZ | 27.82 ± 12.83 | a | 10.72 ± 5.73 | bcd | 4.97 ± 2.44 | bcde | 15.69 ± 7.20 | bcdef | 43.51 ± 17.97 | abc |
| HC | 18.04 ± 7.07 | bcde | 6.08 ± 2.44 | d | 3.67 ± 1.76 | cdefg | 9.75 ± 3.90 | defgh | 27.79 ± 9.81 | bcdef |
| HS | 27.28 ± 9.53 | ab | 19.96 ± 10.54 | a | 8.10 ± 4.17 | a | 28.07 ± 14.65 | a | 55.35 ± 23.63 | a |
| SL | 18.59 ± 4.24 | abcde | 13.73 ± 8.31 | abc | 5.11 ± 1.81 | bcde | 18.84 ± 9.95 | abcd | 37.43 ± 12.91 | bcd |
| JH | 12.12 ± 2.41 | cdef | 8.74 ± 1.93 | bcd | 3.19 ± 0.54 | defg | 11.93 ± 1.81 | defgh | 24.06 ± 4.07 | def |
| Dependent Variable | Independent Variable | Provenance | R2 | Slope (95% Confidence Interval) | Y-Intercept | Common Slope (95% Confidence Interval) | p−1.0 | Allometric Relation |
|---|---|---|---|---|---|---|---|---|
| Roots | The whole plants | KD | 0.778 * | 0.778 (0.420, 1.438) a | −0.417 CDE | 1.058 (0.965, 1.162) | 0.017 | A |
| QY | 0.931 ** | 1.156 (0.809, 1.651) a | −0.446 CE | 0.047 | A | |||
| HR | 0.854 ** | 1.105 (0.665, 1.838) a | −0.257 AB | 0.008 | A | |||
| FS | 0.740 * | 1.057 (0.547, 2.044) a | −0.290 AB | 0.294 | I | |||
| FZ | 0.966 ** | 1.104 (0.856, 1.424) a | −0.450 E | 0.060 | I | |||
| SZ | 0.759 * | 0.834 (0.441, 1.579) a | −0.352 BCD | 0.001 | A | |||
| TS | 0.931 ** | 0.920 (0.643, 1.312) a | −0.384 CDE | 0.001 | A | |||
| LK | 0.951 ** | 1.169 (0.864, 1.582) a | −0.311 B | 0.105 | A | |||
| WC | 0.659 * | 1.492 (0.711, 3.130) a | −0.311 ABCD | 0.020 | A | |||
| DST | 0.933 ** | 1.188 (0.836, 1.688) a | −0.370 CDE | 0.046 | A | |||
| SH | 0.765 * | 1.020 (0.543, 1.915) a | −0.300 ABCD | 0.755 | I | |||
| HN | 0.908 ** | 1.378 (0.915, 2.077) a | −0.351 BCD | 0.043 | A | |||
| JA | 0.893 ** | 1.005 (0.648, 1.560) a | −0.426 CDE | 0.827 | I | |||
| WQ | 0.942 ** | 1.150 (0.828, 1.597)a | −0.433 CE | 0.039 | A | |||
| LSH | 0.996 ** | 0.957 (0.881, 1.040) a | −0.253 A | 0.086 | I | |||
| HL | 0.918 ** | 1.463 (0.993, 2.154) a | −0.303 AB | 0.028 | A | |||
| SCZ | 0.931 ** | 1.063 (0.743, 1.521) a | −0.294 ABC | 0.336 | I | |||
| HC | 0.871 ** | 1.286 (0.795, 2.079) a | −0.281 AB | 0.026 | A | |||
| HS | 0.902 ** | 0.894 (0.587, 1.363) a | −0.398 CDE | 0.086 | I | |||
| SL | 0.470 | - | - | - | - | |||
| JH | 0.944 ** | 1.114 (0.807, 1.537) a | −0.379 CD | 0.044 | A | |||
| Stems | The whole plants | KD | 0.753 * | 1.700 (0.892, 3.239) ab | - | - | 0.002 | A |
| QY | 0.678 * | 0.859 (0.417, 1.770) d | 0.031 | A | ||||
| HR | 0.462 | - | - | - | ||||
| FS | 0.632 * | 1.675 (0.780, 3.600) b | 0.001 | A | ||||
| FZ | 0.97 ** | 0.902 (0.710, 1.146) cd | 0.003 | A | ||||
| SZ | 0.744 * | 1.926 (1.000, 3.708) a | 0.000 | A | ||||
| TS | 0.895 ** | 1.178 (0.762, 1.819) c | 0.044 | A | ||||
| LK | 0.583 | - | - | - | ||||
| WC | 0.001 | - | - | - | ||||
| DST | 0.722 * | 0.755 (0.383, 1.49) d | 0.000 | A | ||||
| SH | 0.368 | - | - | - | ||||
| HN | 0.250 | - | - | - | ||||
| JA | 0.941 ** | 1.128 (0.809, 1.572) c | 0.012 | A | ||||
| WQ | 0.881 ** | 0.765 (0.481, 1.215) d | 0.000 | A | ||||
| LSH | 0.968 ** | 1.048 (0.820, 1.340) c | 0.068 | I | ||||
| HL | 0.011 | - | - | - | ||||
| SCZ | 0.726 * | 1.553 (0.842, 2.864) b | 0.000 | A | ||||
| HC | 0.389 | - | - | - | ||||
| HS | 0.949 ** | 1.235 (0.906, 1.683) bc | 0.000 | A | ||||
| SL | 0.931 ** | 2.003 (1.401, 2.863) a | 0.000 | A | ||||
| JH | 0.734* | 1.568 (0.806, 3.051) b | 0.000 | A | ||||
| Leaves | The whole plants | KD | 0.669 * | 1.170 (0.563, 2.432) d | - | - | 0.018 | A |
| QY | 0.912 ** | 1.318 (0.883, 1.969) c | 0.000 | A | ||||
| HR | 0.800 * | 1.304 (0.726, 2.345) c | 0.000 | A | ||||
| FS | 0.326 | - | - | - | ||||
| FZ | 0.945 ** | 1.137 (0.826, 1.564) d | 0.003 | A | ||||
| SZ | 0.507 | - | - | - | ||||
| TS | 0.722 * | 1.458 (0.740, 2.876) bc | 0.000 | A | ||||
| LK | 0.132 | - | 0.000 | - | ||||
| WC | 0.699 * | 2.271 (1.125, 4.583) a | 0.000 | A | ||||
| DST | 0.886 ** | 1.139 (0.725, 1.791) d | 0.001 | A | ||||
| SH | 0.718 * | 1.893 (0.957, 3.746) b | 0.000 | A | ||||
| HN | 0.780 * | 1.553 (0.842, 2.864) bc | 0.000 | A | ||||
| JA | 0.949 ** | 0.976 (0.718, 1.328) d | 0.058 | I | ||||
| WQ | 0.7410 * | 1.864 (0.966, 3.597) b | 0.000 | A | ||||
| LSH | 0.918 ** | 1.363 (0.924, 2.009) c | 0.000 | A | ||||
| HL | 0.562 | - | - | - | ||||
| SCZ | 0.221 | - | - | - | ||||
| HC | 0.471 | - | - | - | ||||
| HS | 0.828 * | 1.188 (0.687, 2.053) cd | 0.000 | A | ||||
| SL | 0.832 * | 1.164 (0.677, 2.001) d | 0.000 | A | ||||
| JH | 0.007 | - | - | - | ||||
| Aboveground parts | The whole plants | KD | 0.928 ** | 1.327 (0.922, 1.911) b | - | - | 0.000 | A |
| QY | 0.919 ** | 0.912 (0.62, 1.342) cd | 0.000 | A | ||||
| HR | 0.608 | - | - | - | ||||
| FS | 0.585 | - | - | - | ||||
| FZ | 0.976 ** | 0.951 (0.767, 1.178) c | 0.001 | A | ||||
| SZ | 0.869 ** | 1.500 (0.925, 2.432) a | 0.000 | A | ||||
| TS | 0.958** | 1.160 (0.876, 1.536) bc | 0.000 | A | ||||
| LK | 0.865 ** | 0.885 (0.542, 1.444) d | 0.001 | A | ||||
| WC | 0.2650 | - | - | - | ||||
| DST | 0.883 ** | 0.878 (0.555, 1.389) d | 0.001 | A | ||||
| SH | 0.694 * | 1.492 (0.736, 3.025) ab | 0.000 | A | ||||
| HN | 0.647 | - | - | - | ||||
| JA | 0.951 ** | 1.087 (0.802, 1.473) c | 0.053 | I | ||||
| WQ | 0.947 ** | 0.943 (0.689, 1.291) c | 0.000 | A | ||||
| LSH | 0.991 ** | 1.089 (0.959, 1.238) c | 0.189 | I | ||||
| HL | 0.390 | - | - | - | ||||
| SCZ | 0.713 * | 1.091 (0.548, 2.172) bc | 0.000 | A | ||||
| HC | 0.462 | - | - | - | ||||
| HS | 0.936 ** | 1.202 (0.853, 1.694) b | 0.000 | A | ||||
| SL | 0.938 ** | 1.734 (1.234, 2.436) a | 0.000 | A | ||||
| JH | 0.919 ** | 0.952 (0.647, 1.400) c | 0.055 | I |
| Dependent Variable | Independent Variable | Provenance | R2 | Slope (95% Confidence Interval) | p−1.0 | Allometric Relation |
|---|---|---|---|---|---|---|
| Roots | Stems | KD | 0.314 * | 0.457 (0.171, 1.223) c | 0.023 | A |
| QY | 0.417 * | 1.346 (0.535, 3.387) ab | 0.031 | A | ||
| HR | 0.124 * | 0.709 (0.241, 2.082) b | 0.019 | A | ||
| FS | 0.156 * | 0.631 (0.218, 1.827) bc | 0.034 | A | ||
| FZ | 0.88 ** | 1.224 (0.77, 1.946) ab | 0.006 | A | ||
| SZ | 0.287 * | 0.433 (0.16, 1.176) c | 0.032 | A | ||
| TS | 0.689 * | 0.781 (0.383, 1.593) b | 0.027 | A | ||
| LK | 0.400 * | 0.770 (0.303, 1.96) b | 0.048 | A | ||
| WC | 0.27 | - | - | - | ||
| DST | 0.511 * | 0.711 (0.301, 1.68) b | 0.046 | A | ||
| SH | 0.023 * | 0.574 (0.187, 1.763) c | 0.045 | A | ||
| HN | 0.059 * | 1.754 (0.58, 5.305) a | 0.043 | A | ||
| JA | 0.703 * | 0.891 (0.443, 1.792) b | 0.029 | A | ||
| WQ | 0.747 * | 1.504 (0.784, 2.883) a | 0.039 | A | ||
| LSH | 0.944 ** | 0.913 (0.661, 1.263) b | 0.009 | A | ||
| HL | 0.014 | - | - | - | ||
| SCZ | 0.486 * | 0.716 (0.297, 1.722) b | 0.019 | A | ||
| HC | 0.102 * | 1.031 (0.347, 3.06) b | 0.028 | I | ||
| HS | 0.737 * | 0.724 (0.374, 1.405) b | 0.035 | A | ||
| SL | 0.225 * | 0.317 (0.113, 0.889) c | 0.000 | A | ||
| JH | 0.502 * | 1.573 (0.661, 3.742) a | 0.031 | A | ||
| Roots | Leaves | KD | 0.709 * | 0.664 (0.332, 1.328) c | 0.019 | A |
| QY | 0.978 ** | 0.877 (0.716, 1.074) bc | 0.005 | A | ||
| HR | 0.606 * | 0.847 (0.386, 1.863) bc | 0.041 | A | ||
| FS | 0.013 * | 0.751 (0.244, 2.316) c | 0.029 | A | ||
| FZ | 0.862 ** | 0.971 (0.592, 1.594) b | 0.003 | I | ||
| SZ | 0.406 * | 0.586 (0.231, 1.486) d | 0.023 | A | ||
| TS | 0.865 ** | 0.631 (0.386, 1.031) c | 0.004 | A | ||
| LK | 0.165 * | 1.550 (0.538, 4.47) a | 0.018 | A | ||
| WC | 0.228 * | 0.657 (0.235, 1.838) c | 0.041 | A | ||
| DST | 0.721 * | 1.043 (0.528, 2.059) b | 0.026 | I | ||
| SH | 0.693 * | 0.539 (0.265, 1.094) d | 0.037 | A | ||
| HN | 0.711 * | 0.888 (0.445, 1.77) bc | 0.031 | A | ||
| JA | 0.759 * | 1.030 (0.545, 1.947) b | 0.012 | I | ||
| WQ | 0.570 * | 0.617 (0.273, 1.397) c | 0.018 | A | ||
| LSH | 0.948 ** | 0.703 (0.514, 0.961) c | 0.008 | A | ||
| HL | 0.482 * | 0.632 (0.262, 1.524) c | 0.037 | A | ||
| SCZ | 0.114 * | 1.181 (0.400, 3.486) ab | 0.031 | A | ||
| HC | 0.176 * | 1.005 (0.350, 2.882) b | 0.042 | I | ||
| HS | 0.570 * | 0.753 (0.333, 1.704) c | 0.026 | A | ||
| SL | 0.227 * | 0.546 (0.195, 1.528) d | 0.027 | A | ||
| JH | 0.074 * | 1.121 (0.373, 3.367) ab | 0.038 | A | ||
| Stems | Leaves | KD | 0.231 * | 1.453 (0.52, 4.057) ab | 0.042 | A |
| QY | 0.405 * | 0.652 (0.257, 1.652) c | 0.039 | A | ||
| HR | 0.434 * | 1.196 (0.480, 2.978) b | 0.040 | A | ||
| FS | 0.664 * | 1.191 (0.570, 2.487) b | 0.021 | A | ||
| FZ | 0.938 ** | 0.794 (0.565, 1.115) c | 0.003 | A | ||
| SZ | 0.182 * | 1.353 (0.473, 3.87) ab | 0.035 | A | ||
| TS | 0.426 * | 0.808 (0.323, 2.021) bc | 0.029 | A | ||
| LK | 0.036 | - | - | - | ||
| WC | 0.043 * | 0.746 (0.245, 2.272) c | 0.033 | A | ||
| DST | 0.691 * | 0.663 (0.326, 1.349) c | 0.045 | A | ||
| SH | 0.089 * | 0.938 (0.314, 2.800) bc | 0.041 | A | ||
| HN | 0.067 * | 0.506 (0.168, 1.525) d | 0.025 | A | ||
| JA | 0.954 ** | 1.155 (0.861, 1.549) b | 0.006 | A | ||
| WQ | 0.586 * | 0.410 (0.184, 0.917) d | 0.022 | A | ||
| LSH | 0.794 ** | 0.769 (0.425, 1.393) c | 0.008 | A | ||
| HL | 0.068 | - | - | - | ||
| SCZ | 0.202 * | 1.650 (0.582, 4.676) a | 0.018 | A | ||
| HC | 0.615 * | 0.975 (0.447, 2.126) bc | 0.041 | I | ||
| HS | 0.894 ** | 1.039 (0.672, 1.609) b | 0.003 | I | ||
| SL | 0.839 ** | 1.721 (1.012, 2.928) a | 0.005 | A | ||
| JH | 0.17 | - | - | - | ||
| Aboveground parts | Roots | KD | 0.524 * | 1.707 (0.729, 3.998) b | 0.034 | A |
| QY | 0.723 * | 0.789 (0.401, 1.555) d | 0.028 | A | ||
| HR | 0.233 * | 1.226 (0.440, 3.422) c | 0.042 | A | ||
| FS | 0.113 * | 1.451 (0.491, 4.286) b | 0.033 | A | ||
| FZ | 0.887 ** | 0.861 (0.549, 1.351) cd | 0.005 | A | ||
| SZ | 0.403 * | 1.798 (0.708, 4.563) b | 0.038 | A | ||
| TS | 0.793 * | 1.261 (0.695, 2.287) bc | 0.029 | A | ||
| LK | 0.684 * | 0.757 (0.369, 1.551) d | 0.027 | A | ||
| WC | 0.007 | - | - | - | ||
| DST | 0.747 * | 0.855 (0.446, 1.640) cd | 0.022 | A | ||
| SH | 0.214 * | 1.463 (0.519, 4.122) b | 0.037 | A | ||
| HN | 0.344 * | 0.597 (0.227, 1.569) d | 0.031 | A | ||
| JA | 0.722 * | 1.081 (0.548, 2.132) c | 0.024 | I | ||
| WQ | 0.791 * | 0.820 (0.451, 1.492) cd | 0.019 | A | ||
| LSH | 0.977 ** | 1.138 (0.923, 1.403) c | 0.001 | A | ||
| HL | 0.142 * | 0.550 (0.189, 1.604) d | 0.037 | A | ||
| SCZ | 0.456 * | 1.027 (0.418, 2.52) c | 0.021 | I | ||
| HC | 0.138 * | 0.940 (0.322, 2.743) c | 0.025 | A | ||
| HS | 0.707 * | 1.344 (0.671, 2.692) bc | 0.030 | A | ||
| SL | 0.235 * | 2.729 (0.979, 7.606) a | 0.041 | A | ||
| JH | 0.672 * | 0.739 (0.356, 1.53) d | 0.039 | A |
Disclaimer/Publisher’s Note: The statements, opinions and data contained in all publications are solely those of the individual author(s) and contributor(s) and not of MDPI and/or the editor(s). MDPI and/or the editor(s) disclaim responsibility for any injury to people or property resulting from any ideas, methods, instructions or products referred to in the content. |
© 2024 by the authors. Licensee MDPI, Basel, Switzerland. This article is an open access article distributed under the terms and conditions of the Creative Commons Attribution (CC BY) license (https://creativecommons.org/licenses/by/4.0/).
Share and Cite
Wang, F.; Yang, Y.; Wang, J.; Liu, Y.; Wang, H.; Song, Y.; Lu, Z.; Yang, Y. Biomass Allocation and Allometry in Juglans mandshurica Seedlings from Different Geographical Provenances in China. Forests 2024, 15, 1434. https://doi.org/10.3390/f15081434
Wang F, Yang Y, Wang J, Liu Y, Wang H, Song Y, Lu Z, Yang Y. Biomass Allocation and Allometry in Juglans mandshurica Seedlings from Different Geographical Provenances in China. Forests. 2024; 15(8):1434. https://doi.org/10.3390/f15081434
Chicago/Turabian StyleWang, Fang, Yelei Yang, Jun Wang, Yue Liu, Hongyan Wang, Yanying Song, Zhimin Lu, and Yuchun Yang. 2024. "Biomass Allocation and Allometry in Juglans mandshurica Seedlings from Different Geographical Provenances in China" Forests 15, no. 8: 1434. https://doi.org/10.3390/f15081434
APA StyleWang, F., Yang, Y., Wang, J., Liu, Y., Wang, H., Song, Y., Lu, Z., & Yang, Y. (2024). Biomass Allocation and Allometry in Juglans mandshurica Seedlings from Different Geographical Provenances in China. Forests, 15(8), 1434. https://doi.org/10.3390/f15081434
