Effects of Enhanced UV-B Radiation on Decomposition and Nutrient Release Rates of Litter from Cunninghamia lanceolata (Lamb.) Hook
Abstract
1. Introduction
2. Materials and Methods
2.1. Overview of the Test Site
2.2. Experimental Design
2.3. Research Method
2.4. Sample Tests
2.5. Data Processing and Analysis
2.6. Statistical Analysis
3. Results
3.1. Effects of Enhanced UV-B Radiation on Dry Weight Residual Rate of Litter from C. lanceolata at Different Ages
3.2. Effects of Enhanced UV-B Radiation on Litter Decomposition Dynamics of C. lanceolata at Different Ages
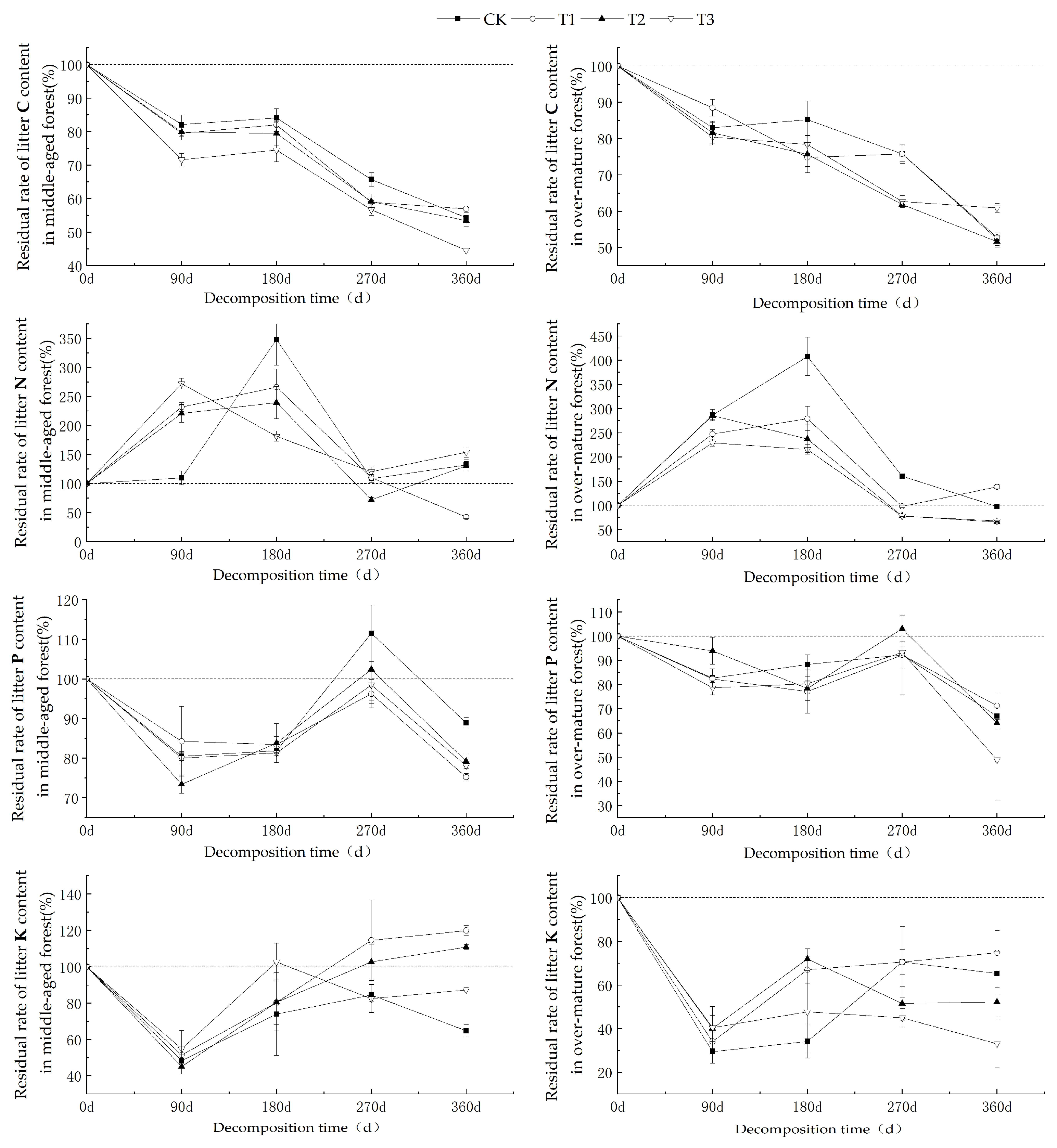
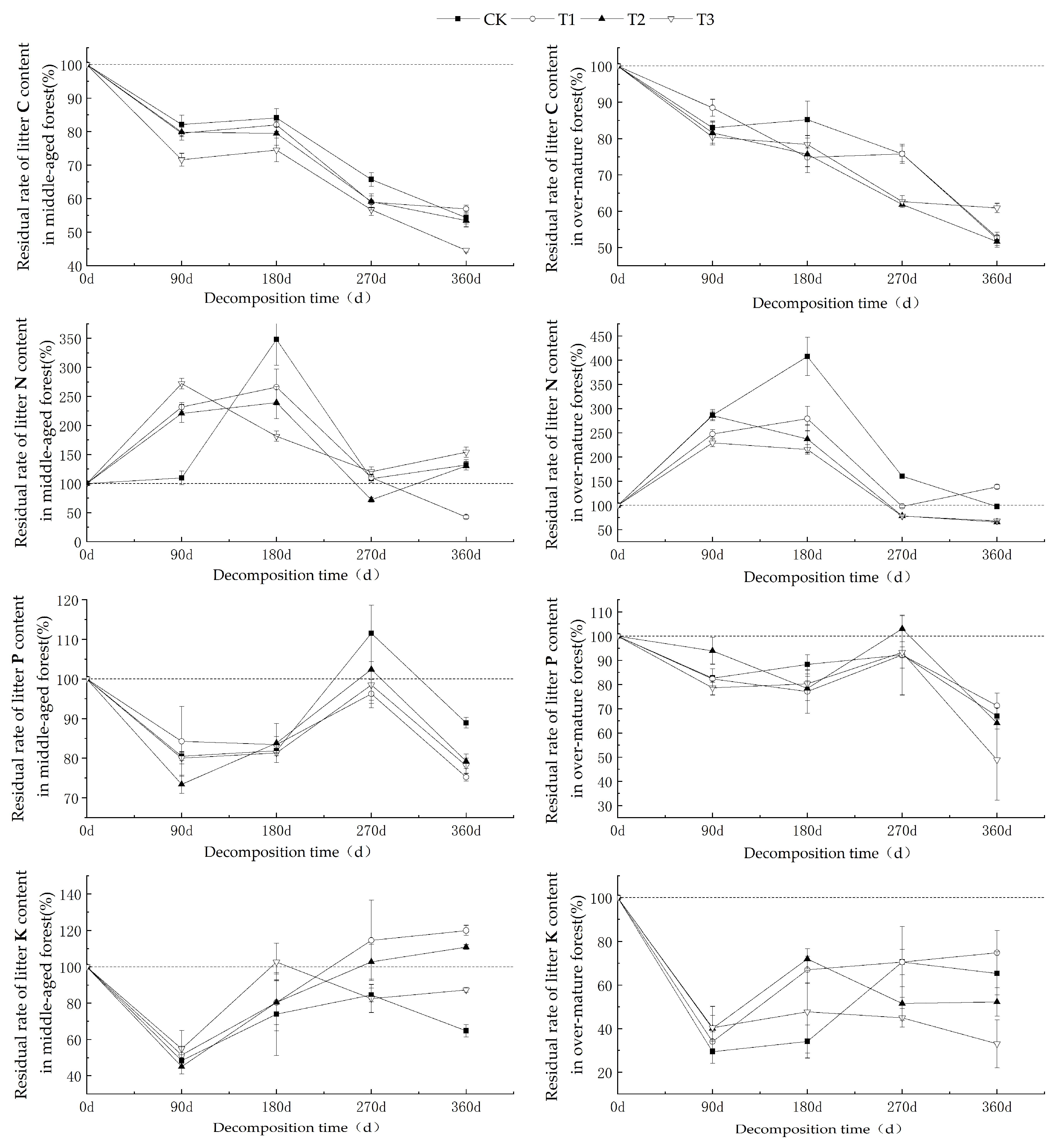
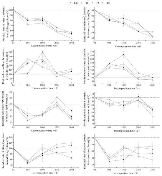
3.3. Effects of Enhanced UV-B Radiation on Nutrient Release Dynamics of C. lanceolata Litter at Different Ages
3.4. The Interaction Effects of UV-B Radiation Enhancement and Decomposition Time on C, N, P, and K Residual Rates of C. lanceolata Litter
3.5. Correlation Analysis between Dry Weight Residual Rate and Nutrient Residual Rate of Litter from C. lanceolata at Different Ages
4. Discussion
5. Conclusions
Author Contributions
Funding
Data Availability Statement
Acknowledgments
Conflicts of Interest
References
- Herman, J.R. Global increase in UV irradiance during the past 30 years (1979–2008) estimated from satellite data. J. Geophys. Res. 2010, 115, D04203. [Google Scholar] [CrossRef]
- Wu, R.H.; Zheng, Y.F.; Wang, C.H.; Hu, Z.H. Comparison of the effects of enhanced ultraviolet radiation on the growth of aboveground and root of maize. Ecol. Environ. Sci. 2007, 16, 323–326. [Google Scholar]
- Zhou, P.; Chen, Z.Y. Analysis of the Spatio-temporal Characteristics of UV-B Strength Change over the Yunnan Plateau. J. Nat. Resour. 2008, 23, 487–493. [Google Scholar]
- Liao, Y.F.; Wang, W.Y.; Zhang, L.; Yang, L.S. Distribution of biologically effective solar ultraviolet radiation intensity on theground in China. Geogr. Res. 2007, 26, 821–827+860. [Google Scholar]
- Zhou, X.J.; Luo, C.; Li, W.L.; Shi, J.E. The variation of total ozone in China and the low value center of the Qinghai-Tibet Plateau. Chin. Sci. Bull. 1995, 40, 1396–1398. (In Chinese) [Google Scholar]
- Dias AT, C.; Cornelissen, J.H.; Berg, M.P. Litter for life: Assessing the multifunctional legacy of plant traits. J. Ecol. 2017, 105, 1163–1168. [Google Scholar] [CrossRef]
- Austin, A.; Vivanco, L. Plant litter decomposition in a semi-arid ecosystem controlled by photodegradation. Nature 2006, 442, 555–558. [Google Scholar] [CrossRef]
- Baker, N.R.; Allison, S.D. Ultraviolet photodegradation facilitates microbial litter decomposition in a Mediterranean climate. Ecology 2016, 96, 1994–2003. [Google Scholar] [CrossRef] [PubMed]
- Uselman, S.M.; Snyder, K.A.; Blank, R.R.; Jones, T.J. UVB exposure doesnot accelerate rates of litter decomposition in a semi-arid riparianecosystem. Soil Biol. Biochem. 2011, 43, 1254–1265. [Google Scholar] [CrossRef]
- Brandt, L.A.; King, J.Y.; Milchunas, D.G. Effects of ultravioletradiation on liter decomposition depend on precipitation and iterchemistry in a shortgrass steppe ecosystem. Glob. Change Biol. 2007, 13, 2193–2205. [Google Scholar] [CrossRef]
- WU, Z.M.; Huang, C.L.; Wei, C.L. Gap light energy effect of Pinus taiwanensis community and regeneration of Pinus taiwanensis. Chin. J. Appl. Ecol. 2000, 11, 14–19. [Google Scholar]
- Yan, S.J.; Hong, W.; Wu, C.Z.; Bi, X.L.; Wang, X.G.; Feng, L. Gaps and their natural disturbance characteristics in mid-subtropical evergreenbroad-leaved forest in Wanmulin. Chin. J. Appl. Ecol. 2004, 15, 1126–1130. [Google Scholar]
- Rozema, J.; Tosserams, M.; Nelissen, H.J.M.; Heerwaarden, L.; Broekman, R.A.; Flierman, N. UV-B and Aquatic Ecosystems || Stratospheric Ozone Reduction and Ecosystem Processes: Enhanced UV-B Radiation Affects Chemical Quality and Decomposition of Leaves of the Dune Grassland Species Calamagrostis epigeios. Plant Ecol. 1997, 128, 284–294. [Google Scholar]
- Moody, S.A.; Paul, N.D.; Bjorn, L.O.; Callaghan, T.V.; Lee, J.A.; Manetas, Y.; Rozema, J.; Gwynn-Jones, D.; Johanson, U.; Kyparissis, A. The direct effects of UV-B radiation on Betula pubescens litter decomposing at four European field sites. Plant Ecol. 2001, 154, 27–36. [Google Scholar] [CrossRef]
- Pancotto, V.A.; Sala, O.E.; Cabello, M.; López, N.I.; Robson, T.M.; Ballaré, C.L.; Caldwell, M.M.; Scopel, A.L. Solar UV-B decreases decomposition in herbaceous plant litter in Tierra del Fuego, Argentina: Potential role of an altered decomposer community. Blackwell Sci. Ltd. 2003, 9, 1465–1474. [Google Scholar] [CrossRef]
- Xia, L.D.; Yu, J.D.; Deng, L.L.; Li, X.Y.; Zhou, C.F.; Xu, Y.X. Research Progress on Soil Fertility Decline of C. lanceolata Plantation. World For. Res. 2018, 31, 37–42. [Google Scholar]
- Yang, Q.P.; LI, R.S.; Zhang, W.D.; Zheng, W.H.; Wang, Q.K.; Chen, L.C.; Guan, X.; Xu, M.; Wang, S.L. Decomposition of harvest residue needles of different needle ages in a C.lanceolata (Cunninghamia lanceolata) plantation. Plant Soil 2018, 423, 273–284. [Google Scholar] [CrossRef]
- Zhang, H.L.; Song, X.Z.; Zhang, Z.T.; Jiang, H.; Wang, Y.X.; Bai, S.B. Effects of UV-B radiation on the decomposition of Cunninghamia lanceolata leaf litter. Chin. J. Appl. Ecol. 2011, 22, 845–850. [Google Scholar]
- Smith, W.K.; Gao, W.; Steltzer, H.; Wallenstein, M.D.; Tree, R. Moisture availability influences the effect of ultraviolet-B radiation on leaf litter decomposition. Glob. Change Biol. 2010, 16, 484–495. [Google Scholar] [CrossRef]
- Song, X.Z.; Jiang, H.; Zhang, H.L.; Peng, C.H.; Yu, S.Q. Elevated UV-B radiation did not affect decomposition rates of needles of two coniferous species in subtropical China. Eur. J. Soil Biol. 2011, 47, 343–348. [Google Scholar] [CrossRef]
- Liu, Z.W.; Pan, W.K. Problems and corrections of Olson litter decomposition model. J. Northwest A&F Univ. (Nat. Sci. Ed.) 2005, 33, 69–70. [Google Scholar]
- Zhang, Y.; Zhang, Y.f.; Ma, Y.B.; Liu, C.E.; Duan, C.Q.; Zi, Y.F.; Tang, B.C.; Zhang, W.L. Research progress on the influencing factors of litter decomposition in forest ecosystem. Environ. Ecol. 2023, 5, 45–56. [Google Scholar]
- Song, X.Z.; Bu, T.; Zhang, S.K.; Jiang, H.; Wang, Z.K.; Zhao, M.S.; Liu, Y.J. Effects of UV-B radiation on the chemical composition and decomposition of Cyclobalanopsis glauca leaf litter. Environ. Ecol. 2013, 34, 2355–2360. [Google Scholar]
- Mi, X.; Xie, T.T.; Wu, Z.X. Effects of UV-B radiation on litter decomposition of Reaumuria soongorica and Pearl Shrub in arid desert area. J. Gansu Agric. Univ. 2023, 58, 163–171. [Google Scholar]
- Zhang, H.L.; Song, X.Z.; Ai, J.G.; Jiang, H.; Yu, S.Q. Review on the effects of enhanced ultraviolet-B radiation on litter decomposition. J. Zhejiang A&F Univ. 2010, 27, 134–142. [Google Scholar]
- Wang, X.; Gao, M.D.; Yang, F.; Guo, Y.P.; Ma, C.M. Comparison of leaf litter decomposition and nutrient dynamics in different forest ages of Larix principis-rupprechtii plantation. J. Northeast For. Univ. 2012, 40, 56–60+66. [Google Scholar]
- Ye, G.F.; Zhang, S.J.; Zhang, L.H.; Lu, C.Y.; Lin, Y.M. Tannin content and nutrient reabsorption dynamics of Casuarina equisetifolia twigs at different forest ages. Acta Ecol. Sin. 2013, 33, 6107–6113. [Google Scholar]
- Guo, J.F.; Yang, Y.S.; Chen, G.S.; Lin, P.; Xie, J.S. Research Progress on Forest Litter Decomposition. Sci. Silvae Sin. 2006, 42, 93–100. [Google Scholar]
- Li, H.T.; Yu, G.R.; Li, J.Y.; Chen, Y.R.; Liang, T. Litter decomposition dynamics and nutrient release of four plantations in subtropical red soil hilly region. Acta Ecol. Sin. 2007, 27, 898–908. [Google Scholar]
- Guo, B.H.; Bu, T.; Wang, Z.K.; Song, X.Z.; Liu, G.L.; Fan, S.H. Effects of UV-B radiation on chemical composition and decomposition of Elaeocarpus decipiens litter. Chin. J. Ecol. 2013, 32, 2314–2319. [Google Scholar]
- Gallardo, A.; Merino, J. Nitrogen immobilization in leaf litter at two Mediterranean ecosystems of SW Spain. Biogeochemistry 1992, 15, 213–228. [Google Scholar] [CrossRef]
- McClaugherty, C.A.; Pastor, J.; Aber, J.D.; Melillo, J.M. Forest Litter Decomposition in Relation to Soil Nitrogen Dynamics and Litter Quality. Ecology 1985, 66, 266–275. [Google Scholar] [CrossRef]
- Parton, W.; Silver, W.L.; Burke, I.C.; Grassens, L.; Harmon, M.E.; Currie, W.S.; King, J.Y.; Adair, E.C.; Brandt, L.A.; Hart, S.C.; et al. Global-Scale Similarities in Nitrogen Release Patterns During Long-Term Decomposition. Science 2007, 315, 361–364. [Google Scholar] [CrossRef] [PubMed]
- Manzoni, S.; Trofymow, J.A.; Jackson, R.B.; Porporato, A. Stoichiometric controls on carbon, nitrogen, and phosphorus dynamics in decomposing litter. Ecol. Monogr. 2010, 80, 89–106. [Google Scholar] [CrossRef]
- Gosz, J.R.; Likens, G.E.; Herbert, B.F. Nutrient Release From Decomposing Leaf and Branch Litter in the Hubbard Brook Forest, New Hampshire. Ecol. Monogr. 1973, 43, 173–191. [Google Scholar] [CrossRef]
- Dziadowiec, H. The decomposition of plant litterfall in a oak-linden-hornbeam forest and an oak-pine mixedforest of the Bialoweza national Park. Acta Soc. Bot. Pol. 1987, 56, 169–185. [Google Scholar] [CrossRef]
- Li, N.; Zhao, C.Y.; Hao, H.; Zang, F.; Chang, Y.P.; Wang, H.; Yang, J.H. Effects of altitude and canopy density on leaf litter decomposition of Qinghai spruce forest in Qilian Mountains. Acta Ecol. Sin. 2021, 41, 4493–4502. [Google Scholar]
- Song, X.Z.; Zhang, H.L.; Jiang, H.; Yu, S.Q. Effects of UV-B radiation on the release of nitrogen and phosphorus from leaf litter in subtropical forests. Environ. Sci. 2012, 33, 545–550. [Google Scholar]
- Bruder, A.; Schindler, M.H.; Moretti, M.S.; Gessner, M.O. Litter decomposition in a temperate and a tropical stream: The effects of species mixing, litter quality and shredders. Freshw. Biol. 2014, 59, 438–449. [Google Scholar] [CrossRef]



| Month | 1 | 2 | 3 | 4 | 5 | 6 |
| Monthly total solar radiation | 245 | 231 | 295 | 369 | 409 | 451 |
| Month | 7 | 8 | 9 | 10 | 11 | 12 |
| Monthly total solar radiation | 597 | 537 | 421 | 363 | 285 | 252 |
| Month | 1 | 2 | 3 | 4 | 5 | 6 |
| Daily total radiation | 0–15 | 0–12 | 3–12 | 9–15 | 9–15.3 | 9–18 |
| Month | 7 | 8 | 9 | 10 | 11 | 12 |
| Daily total radiation | 15–21.3 | 12–20 | 9–18 | 9–18 | 6–15 | 3–15 |
| Age Stage | Nutrient Content (g·kg−1) | C/N | C/P | |||
|---|---|---|---|---|---|---|
| C | N | P | K | |||
| Middle-aged | 465.03 | 12.8 | 0.3461 | 0.7438 | 36.57 | 1345.76 |
| Over-mature | 456.00 | 10.15 | 0.343 | 1.0992 | 44.9 | 1331.04 |
| Age Stage | UV-B Intensity | Regression Equation | Correlation Coefficient (R2) | Decomposition Rate (K) | t0.5/a | t0.05/a |
|---|---|---|---|---|---|---|
| Middle-aged | CK | Y = 100.231 × e−0.330t | 0.952 | 0.330 | 2.100 | 9.078 |
| T1 | Y = 99.385 × e−0.339t | 0.948 | 0.339 | 2.045 | 8.837 | |
| T2 | Y = 99.216 × e−0.347t | 0.954 | 0.347 | 1.998 | 8.633 | |
| T3 | Y = 99.651 × e−0.364t | 0.960 | 0.364 | 1.904 | 8.230 | |
| Over-mature | CK | Y = 99.765 × e−0.345t | 0.962 | 0.345 | 2.009 | 8.683 |
| T1 | Y = 99.011 × e−0.376t | 0.983 | 0.376 | 1.843 | 7.967 | |
| T2 | Y = 99.298 × e−0.401t | 0.981 | 0.401 | 1.729 | 7.471 | |
| T3 | Y = 99.326 × e−0.417t | 0.981 | 0.417 | 1.662 | 7.184 |
| Age Stage | Source of Variation | Sum of Squares (ss) | Degrees of Freedom (df) | F-Statistic (F) | p |
|---|---|---|---|---|---|
| Middle-aged | Decomposition time | 6587.572 | 4 | 240.486 | <0.001 |
| UV-B radiation intensity | 27.778 | 3 | 1.352 | 0.271 | |
| Time × UV-B radiation intensity | 15.488 | 12 | 0.188 | 0.998 | |
| Over-mature | Decomposition time | 7659.278 | 4 | 499.562 | <0.001 |
| UV-B radiation intensity | 79.819 | 3 | 6.941 | <0.01 | |
| Time × UV-B radiation intensity | 39.065 | 12 | 0.849 | 0.602 |
| Age Stage | Source of Variation | F-Value | |||
|---|---|---|---|---|---|
| Residual C Content | Residual N Content | Residual P Content | Residual K Content | ||
| Middle-aged | Decomposition time | 351.71 *** | 89.903 *** | 35.985 *** | 18.294 *** |
| UV-B radiation intensity | 14.03 *** | 1.056 | 2.108 | 3.423 * | |
| Time × UV-B radiation intensity | 1.685 | 13.118 *** | 1.322 | 1.914 | |
| Over-mature | Decomposition time | 227.597 *** | 249.173 *** | 21.271 *** | 30.97 *** |
| UV-B radiation intensity | 3.821 * | 32.764 *** | 1.189 | 1.714 | |
| Time × UV-B radiation intensity | 3.615 *** | 10.089 *** | 0.873 | 2.447 * | |
Disclaimer/Publisher’s Note: The statements, opinions and data contained in all publications are solely those of the individual author(s) and contributor(s) and not of MDPI and/or the editor(s). MDPI and/or the editor(s) disclaim responsibility for any injury to people or property resulting from any ideas, methods, instructions or products referred to in the content. |
© 2024 by the authors. Licensee MDPI, Basel, Switzerland. This article is an open access article distributed under the terms and conditions of the Creative Commons Attribution (CC BY) license (https://creativecommons.org/licenses/by/4.0/).
Share and Cite
Lin, Z.; Chen, L.; Dai, Y.; Chen, S.; Li, C.; Yuan, T.; Ma, X.; Liu, A. Effects of Enhanced UV-B Radiation on Decomposition and Nutrient Release Rates of Litter from Cunninghamia lanceolata (Lamb.) Hook. Forests 2024, 15, 686. https://doi.org/10.3390/f15040686
Lin Z, Chen L, Dai Y, Chen S, Li C, Yuan T, Ma X, Liu A. Effects of Enhanced UV-B Radiation on Decomposition and Nutrient Release Rates of Litter from Cunninghamia lanceolata (Lamb.) Hook. Forests. 2024; 15(4):686. https://doi.org/10.3390/f15040686
Chicago/Turabian StyleLin, Zhirong, Limin Chen, Yuan Dai, Shuilan Chen, Chengjun Li, Tao Yuan, Xiangqing Ma, and Aiqin Liu. 2024. "Effects of Enhanced UV-B Radiation on Decomposition and Nutrient Release Rates of Litter from Cunninghamia lanceolata (Lamb.) Hook" Forests 15, no. 4: 686. https://doi.org/10.3390/f15040686
APA StyleLin, Z., Chen, L., Dai, Y., Chen, S., Li, C., Yuan, T., Ma, X., & Liu, A. (2024). Effects of Enhanced UV-B Radiation on Decomposition and Nutrient Release Rates of Litter from Cunninghamia lanceolata (Lamb.) Hook. Forests, 15(4), 686. https://doi.org/10.3390/f15040686
