Relationships between Regeneration of Qinghai Spruce Seedlings and Soil Stoichiometry across Elevations in a Forest in North-Western China
Abstract
1. Introduction
2. Materials and Methods
2.1. Study Area
2.2. Experimental Design
2.3. Data Processing
3. Results
3.1. Regeneration Characteristics of Qinghai Spruce at Varying Elevations
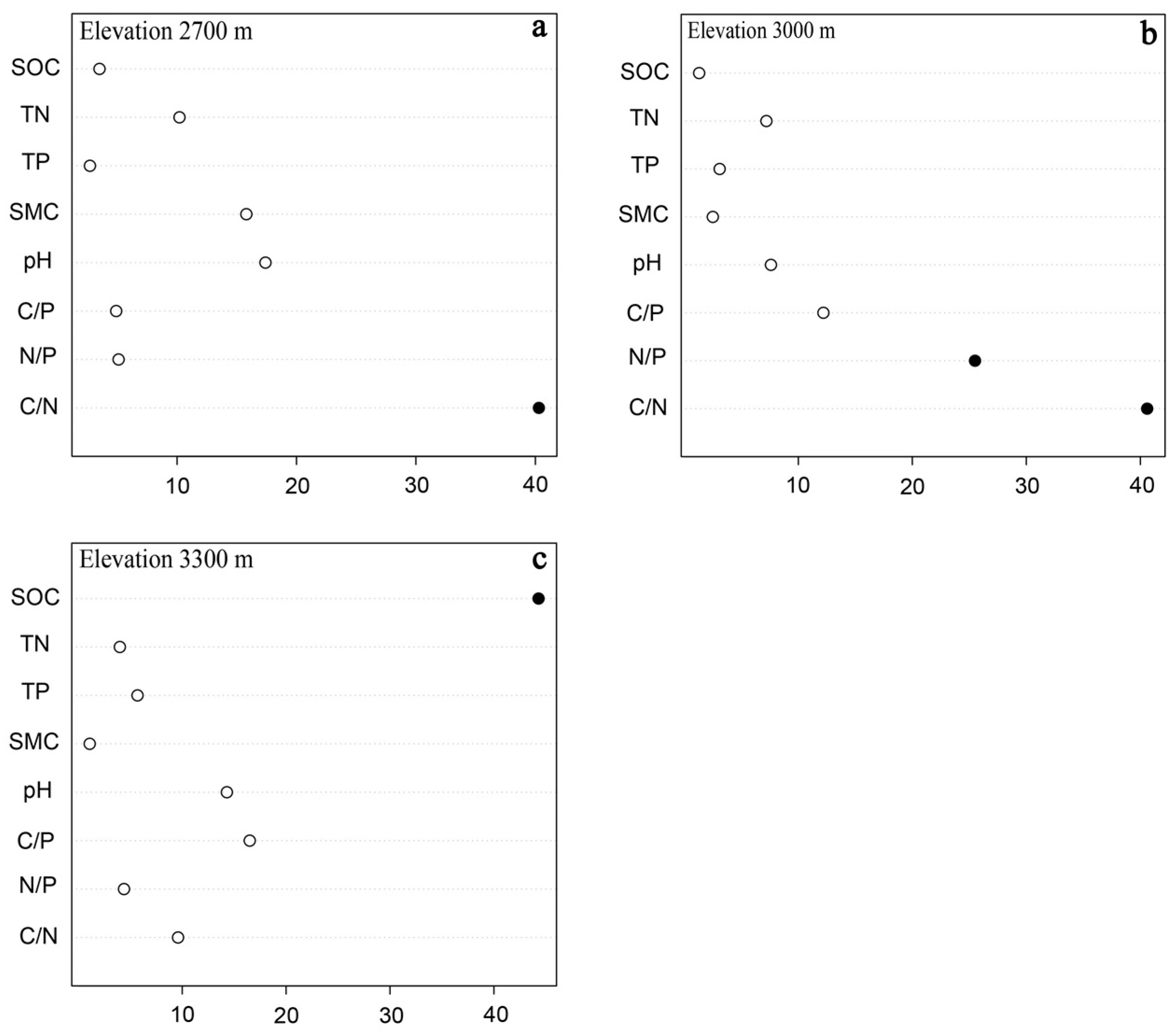
3.2. Characteristics of Soil Stoichiometry at Different Elevations
3.3. Relationships between Regeneration Indicators and Soil Physicochemical Characteristics
4. Discussion
4.1. Soil Stoichiometry and Regeneration Indicators Correlated with Qinghai Spruce across Elevations
4.2. Relationships between Qinghai Spruce Regeneration and Soil Stoichiometry
5. Conclusions
Author Contributions
Funding
Data Availability Statement
Conflicts of Interest
References
- Costanza, R.; De Groot, R.; Sutton, P.; Van der Ploeg, S.; Anderson, S.J.; Kubiszewski, I.; Farber, S.; Turner, R.K. Changes in the global value of ecosystem services. Glob. Environ. Chang. 2014, 26, 152–158. [Google Scholar] [CrossRef]
- Pauli, G.; Grabherr, M.; Gottfriedand, H. Climate effects on mountain plants. Nature 1994, 369, 447–450. [Google Scholar] [CrossRef]
- Bussotti, F.; Pollastrini, M.; Holland, V.; Brüggemann, W. Functional traits and adaptive capacity of European forests to climate change. Environ. Exp. Bot. 2015, 111, 91–113. [Google Scholar] [CrossRef]
- Li, Y.; Ma, J.; Xiao, C.; Li, Y. Effects of climate factors and soil properties on soil nutrients and elemental stoichiometry across the Huang–Huai–Hai River Basin, China. J. Soils Sediments 2020, 20, 1970–1982. [Google Scholar] [CrossRef]
- Alves, L.F.; Vieira, S.A.; Scaranello, M.A.; Camargo, P.B.; Santos, F.A.M.; Joly, C.A.; Martinelli, L.A. Forest structure and live aboveground biomass variation along an elevational gradient of tropical atlantic moist forest (brazil). For. Ecol. Manag. 2010, 260, 679–691. [Google Scholar] [CrossRef]
- Wang, X.; Fang, J.; Tang, Z.; Zhu, B. Climatic control of primary forest structure and DBH-height allometry in Northeast China. For. Ecol. Manag. 2006, 234, 264–274. [Google Scholar] [CrossRef]
- Soberon, J.; Peterson, A.T. Interpretation of Models of Fundamental Ecological Niches and Species’ Distributional Areas. Biodivers. Inform. 2005, 2, 1–10. [Google Scholar] [CrossRef]
- Hu, C.; Li, F.; Xie, Y.; Deng, Z.; Hou, Z.; Li, X. Spatial distribution and stoichiometry of soil carbon, nitrogen and phosphorus along an elevation gradient in a wetland in China. Eur. J. Soil Sci. 2019, 70, 1128–1140. [Google Scholar] [CrossRef]
- Zhao, Q.; Liu, S.; Chen, K.; Wang, S.; Wu, C.; Li, J.; Lin, Y. Change characteristics and influencing factors of soil organic carbon in Castanopsis eyrei natural forests at different elevation in Wuyishan Nature Reserve. Acta Ecol. Sin. 2021, 41, 5328–5339. (In Chinese) [Google Scholar] [CrossRef]
- Dupuy, J.M.; Chazdon, R.L. Interacting effects of canopy gap, understory vegetation and leaf litter on tree seedlings recruitmentand composition in tropical secondary forests. For. Ecol. Manag. 2008, 255, 3716–3725. [Google Scholar] [CrossRef]
- Du, M.; Zhang, F.; Gou, X.; Liu, Y.; Xia, J.; Wu, X. Different responses of radial growth of Picea crassifolia to climate warming in the middle and eastern Qilian Mountains. J. Glaciol. Geocryol. 2022, 44, 14–23. (In Chinese) [Google Scholar]
- Wang, Q.; Zhao, C.; Gao, C.; Xie, H.; Qiao, Y.; Gao, Y.; Yuan, L.; Wang, W.; Ge, L.; Zhang, G. Effects of environmental variables on seedlings -sapling distribution of Qinghai spruce (Picea crassifolia) along altitudinal gradients. For. Ecol. Manag. 2017, 384, 54–64. [Google Scholar] [CrossRef]
- Song, X.; Yan, C.; Xie, J.; Li, S. Assessment of changes in the area of the water conservation forest in the Qilian Mountains of China’s Gansu province, and the effects on water conservation. Environ. Earth Sci. 2012, 66, 2441–2448. [Google Scholar] [CrossRef]
- Wang, Q.; Zhao, C.; Zheng, Y.; Ashiq, M.W.; Wang, X.; Zhou, S.; Zhao, Y.; Dang, H.; Xu, M. Moss coverage improves the microclimates of subalpine forests: Implica-tions of Qinghai spruce recruitment in Qilian Mountains, northwest China. Pak. J. Bot. 2019, 51, 1719–1735. [Google Scholar] [CrossRef] [PubMed]
- Yang, W.; Wang, Y.; Webb, A.A.; Li, Z.; Tian, X.; Han, Z.; Wang, S.; Yu, P. Influence of climatic and geographic factors on the spatial distribution of Qinghai spruce forests in the dryland Qilian Mountains of Northwest China. Sci. Total Environ. 2018, 612, 1007–1017. [Google Scholar] [CrossRef] [PubMed]
- Zhang, Y.; Wilmking, M. Divergent growth responses and increasing temperature limitation of Qinghai spruce growth along an elevation gradient at the northeast Tibet Plateau. For. Ecol. Manag. 2010, 260, 1076–1082. [Google Scholar] [CrossRef]
- Zeng, L.; Lei, L.; Wang, X.; Zhu, J.; Xiao, W.; Liu, X.; Jing, W. Effect of altitudinal variation on carbon density in arbor layer and soil layer of Picea crassifolia forest in Qilian Mountains. Acta Ecol. Sin. 2018, 38, 7168–7177. [Google Scholar] [CrossRef]
- Wan, Y.; Yu, P.; Li, X.; Wang, Y.; Wang, B.; Yu, Y.; Zhang, L.; Liu, X.; Wang, S. Seasonal pattern of stem diameter growth of Qinghai spruce in the Qilian mountains, northwestern China. Forests 2020, 11, 494. [Google Scholar] [CrossRef]
- Chang, X.; Zhao, W.; He, Z. Radial pattern of sap flow and response to microclimate and soil moisture in Qinghai spruce (Picea crassifolia) in the upper Heihe River basin of arid northwestern China. Agric. For. Meteorol. 2014, 187, 14–21. [Google Scholar] [CrossRef]
- Ta, F.; Liu, X.; Liu, R.; Zhao, W.; Jing, W.; Ma, J.; Wu, X.; Zhao, J.; Ma, X. Spatial distribution patterns and association of Picea crassifolia population in Dayekou Basin of Qilian Mountains, northwestern China. J. Plant Ecol. 2020, 44, 1172–1183. Available online: https://www.plant-ecology.com/EN/10.17521/cjpe.2020.0177 (accessed on 24 January 2021). (In Chinese). [CrossRef]
- Zhang, L.; Shi, H.; Yu, P.; Wang, Y.; Pan, S.; Wang, B.; Tian, H. Divergent growth responses to warming between stand-grown and open-grown trees in a dryland montane forest in Northwestern China. Forests 2019, 10, 1133. [Google Scholar] [CrossRef]
- Zhang, Y.; Wang, X.; Wang, Y.; Yuan, X.; Li, Y.; Wang, K. Ecological stoichiometry and interrelation of Cynodon dactylon and soil in the three Gorges hydro-fluctuation zone under different slopes. Acta Ecol. Sin. 2023, 43, 4798–4811. (In Chinese) [Google Scholar]
- Wang, L.; Wang, P.; Sheng, M.; Tian, J. Ecological stoichiometry and environmental influencing factors of soil nutrients in the karst rocky desertification ecosystem, southwest China. Glob. Ecol. Conserv. 2018, 16, e00449. [Google Scholar] [CrossRef]
- McIntosh, A.; Macdonald, S.; Quideau, S. Understory plant community composition is associated with fine-scale above-and below-ground resource heterogeneity in mature lodgepole pine (Pinus contorta) forests. PLoS ONE 2016, 11, e0151436. [Google Scholar] [CrossRef] [PubMed]
- Zhang, H.; Duan, F.; Li, Y.; Wang, Q.; Lu, X.; Gan, X.; Tang, J. Population structure and quantitative characteristics of Tetracentron sinense (Trochodendraceae) in Leigong mountain nature reserve, China. Bot. Sci. 2020, 98, 86–100. [Google Scholar] [CrossRef]
- Chen, Y.; Cao, Y. Response of tree regeneration and understory plant species diversity to stand density in mature Pinus tabulaeformis plantations in the hilly area of the Loess Plateau, China. Ecol. Eng. 2014, 73, 238–245. [Google Scholar] [CrossRef]
- He, X.; Hou, E.; Liu, Y.; Wen, D. Altitudinal patterns and controls of plant and soil nutrient concentrations and stoichiometry in subtropical China. Sci. Rep. 2016, 6, 24261. [Google Scholar] [CrossRef]
- Muscolo, A.; Sidari, M.; Mercurio, R. Influence of gap size on organic matter decomposition, microbial biomass and nutrient cycle in Calabrian pine (Pinus laricio Poiret) stands. For. Ecol. Manag. 2007, 242, 412–418. [Google Scholar] [CrossRef]
- Zhang, Y.; Xu, J.; Li, R.; Ge, Y.; Li, Y.; Li, R. Plants’ response to abiotic stress: Mechanisms and strategies. Int. J. Mol. Sci. 2023, 24, 10915. [Google Scholar] [CrossRef] [PubMed]
- Zhao, N.; He, N.; Wang, Q.; Zhang, X.; Wang, R.; Xu, Z.; Yu, G. The altitudinal patterns of leaf C:N:P stoichiometry are regulated by plant growth form, climate and soil on Changbai Mountain, China. PLoS ONE 2014, 9, e95196. [Google Scholar] [CrossRef]
- Janet, A.; Jan, M. Impact of pyrolysis and hydrothermal biochar on gas-emitting activity of soil microorganisms and bacterial and archaeal community composition. Appl. Soil Ecol. 2015, 96, 225–239. [Google Scholar] [CrossRef]
- Körner, C.; Paulsen, J.A. World-Wide Study of High Altitude Treeline Temperatures. J. Biogeogr. 2004, 31, 713–732. [Google Scholar] [CrossRef]
- Davis, E.L.; Hager, H.A.; Gedalof, Z.E. Soil properties as constraints to seedlings regeneration beyond alpine treelines in the Canadian Rocky Mountains. Arct. Antarct. Alp. Res. 2018, 50, e1415625. [Google Scholar] [CrossRef]
- Cordeiro, N.J.; Ndangalasi, H.J.; McEntee, J.P.; Howe, H.F. Disperser limitation and recruitment of an endemic African tree in a fragmented landscape. Ecology 2009, 90, 1030–1041. [Google Scholar] [CrossRef] [PubMed]
- Chai, Z.; Wang, D. Environmental influences on the successful regeneration of pine-oak mixed forests in the Qinling Mountains, China. Scand. J. For. Res. 2016, 31, 368–381. [Google Scholar] [CrossRef]
- Wang, Z.; Jiang, L.; Gao, J.; Qing, S.; Pan, C.; Wu, Y.; Yang, H.; Wang, D. The influence of microhabitat factors on the regeneration and species composition of understory woody plants in Pinus tabuliformis plantations on the Loess Plateau. For. Ecol. Manag. 2022, 509, 120080. [Google Scholar] [CrossRef]
- Zhao, J.; Sun, X.; Ye, Y.; Zhu, Y.; Lei, P.; Chen, B.; Guan, Q. Effect of micro-topography on the saplings regeneration in the coniferous (Tsuga chinensis var. tchekiangensis) and broadleaf mixed forest in the Wuyishan, Jiangxi Province. Acta Ecol. Sin. 2022, 42, 2357–2367. [Google Scholar] [CrossRef]
- Cui, J.; Holden, N.M. The relationship between soil microbial activity and microbial biomass, soil structure and grassland management. Soil Tillage Res. 2015, 146, 32–38. [Google Scholar] [CrossRef]
- Tian, Q.; He, Z.; Xiao, S.; Peng, X.; Ding, A.; Lin, P. Response of stem radial growth of qinghai spruce (Picea crassifolia) to environmental factors in the Qilian mountains of China. Dendrochronologia 2017, 44, 76–83. [Google Scholar] [CrossRef]
- Yang, F.; Zhang, G.L.; Yang, J.L.; Li, D.C.; Zhao, Y.G.; Liu, F.; Yang, R.; Fan, Y. Organic matter controls of soil water retention in an alpine grassland and its significance for hydrological processes. J. Hydrol. 2014, 519, 3086–3093. [Google Scholar] [CrossRef]
- Li, C.; Xu, J.; He, Y.; Liu, Y.; Fan, J. Dynamic Relationship Between Biologically Active Soil Organic Carbon and Aggregate Stability in Long-Term Organically Fertilized Soils. Pedosphere 2012, 22, 616–622. [Google Scholar] [CrossRef]
- Tkacz, A.; Cheema, J.; Chandra, G.; Grant, A.; Poole, P. Stability and succession of the rhizosphere microbiota depends upon plant type and soil composition. ISME J. 2015, 9, 2349–2359. [Google Scholar] [CrossRef]
- Lozano, Y.; Hortal, S.; Armas, C.; Pugnaire, F. Interactions among soil, plants, and microorganisms drive secondary succession in a dry environment. Soil Biol. Biochem. 2014, 78, 298–306. [Google Scholar] [CrossRef]
- Yang, Y.; Qiu, K.; Xie, Y.; Li, X.; Zhang, S.; Liu, W.; Huang, Y.; Cui, L.; Wang, S.; Bao, P. Geographical, Climatic and Soil Factors Control Over the Altitudinal Pattern of Rhizosphere Microbial Diversity and Its Driving Effect on Root Zone Soil Multifunctionality in Mountain Ecosystems. Sci. Total Environ. 2023, 904, 166932. [Google Scholar] [CrossRef] [PubMed]
- Doroski, D.; Felson, A.; Bradford, M.; Ashton, M.P.; Oldfield, E.E.; Hallett, R.A.; Kuebbing, S.E. Factors driving natural regeneration beneath a planted urban forest. Urban For. Urban Green. 2018, 29, 238–247. [Google Scholar] [CrossRef]
- Ma, L.; Lian, J.; Lin, G.; Cao, H.; Huang, Z.; Guan, D. Forest dynamics and its driving forces of sub-tropical forest in South China. Sci. Rep. 2016, 6, 22561. [Google Scholar] [CrossRef] [PubMed]
- Zhang, J.; Huang, S.; He, F. Half-century evidence from western Canada shows forest dynamics are primarily driven by competition followed by climate. Proc. Natl. Acad. Sci. USA 2015, 112, 4009–4014. [Google Scholar] [CrossRef]
- Tinya, F.; Márialigeti, S.; Bidló, A.; Ódor, P. Environmental drivers of the forest regeneration in temperate mixed forests. For. Ecol. Manag. 2019, 433, 720–728. [Google Scholar] [CrossRef]
- Zhu, J.; Lu, D.; Zhang, W. Effects of gaps on regeneration of woody plants: A meta-analysis. J. For. Res. 2014, 25, 501–510. [Google Scholar] [CrossRef]
- Sumida, A. The diameter growth–height growth relationship as related to the diameter–height relationship. Tree Physiol. 2015, 35, 1031–1034. [Google Scholar] [CrossRef]






| Plots | Coordinates | Elevation (m above Sea Level) | Soil Thickness (cm) | Aspect (°) | Slope (°) | Seedlings Density (Trees·ha−1) | Average Basal Diameter (mm) | Average Seedlings Height (m) |
|---|---|---|---|---|---|---|---|---|
| P1 | 100°17′10.3″ E 38°33′19.9″ N | 2700 | 70 ± 15 | NE | 27~33 | 7267 ± 6436 | 19.39 ± 5.50 | 0.81 ± 0.31 |
| P2 | 100°18’4.8″ E 38°32’31.8″ N | 3000 | 60 ± 12 | NE | 25~36 | 41,333 ± 2505 | 12.91 ± 3.89 | 0.52 ± 0.26 |
| P3 | 100°18’15.5″ E 38°32’8.5″ N | 3300 | 50 ± 8 | NE | 28~40 | 9044 ± 7280 | 15.05 ± 3.29 | 0.64 ± 0.22 |
| Variables | Density | Basal Diameter (BD) | Height | |||
|---|---|---|---|---|---|---|
| R2 | F | R2 | F | R2 | F | |
| pH | 0.006 | 0.344 | 0.161 ** | 14.972 | 0.117 ** | 11.455 |
| SOC/g kg−1 | 0.026 | 1.432 | 0.245 ** | 22.766 | 0.201 * | 19.671 |
| TN/g kg−1 | 0.054 | 2.954 | 0.014 | 1.315 | 0.006 | 0.571 |
| TP/g kg−1 | 0.017 | 0.912 | 0.001 | 0.068 | 0.001 | 0.054 |
| C/N | 0.007 | 0.393 | 0.069 * | 6.360 | 0.134 ** | 13.093 |
| C/P | 0.027 | 1.476 | 0.023 | 2.148 | 0.08 * | 7.810 |
| N/P | 0.005 | 0.279 | 0.001 | 0.087 | 0.002 | 0.213 |
| SMC/(%) | 0.037 | 2.047 | 0.001 | 0.083 | 0.001 | 0.081 |
Disclaimer/Publisher’s Note: The statements, opinions and data contained in all publications are solely those of the individual author(s) and contributor(s) and not of MDPI and/or the editor(s). MDPI and/or the editor(s) disclaim responsibility for any injury to people or property resulting from any ideas, methods, instructions or products referred to in the content. |
© 2024 by the authors. Licensee MDPI, Basel, Switzerland. This article is an open access article distributed under the terms and conditions of the Creative Commons Attribution (CC BY) license (https://creativecommons.org/licenses/by/4.0/).
Share and Cite
Wu, X.; Chong, P.; Xu, E.; Zhao, W.; Jing, W.; Jin, M.; Zhao, J.; Wang, S.; Wang, R.; Ma, X. Relationships between Regeneration of Qinghai Spruce Seedlings and Soil Stoichiometry across Elevations in a Forest in North-Western China. Forests 2024, 15, 267. https://doi.org/10.3390/f15020267
Wu X, Chong P, Xu E, Zhao W, Jing W, Jin M, Zhao J, Wang S, Wang R, Ma X. Relationships between Regeneration of Qinghai Spruce Seedlings and Soil Stoichiometry across Elevations in a Forest in North-Western China. Forests. 2024; 15(2):267. https://doi.org/10.3390/f15020267
Chicago/Turabian StyleWu, Xiurong, Peifang Chong, Erwen Xu, Weijun Zhao, Wenmao Jing, Ming Jin, Jingzhong Zhao, Shunli Wang, Rongxin Wang, and Xuee Ma. 2024. "Relationships between Regeneration of Qinghai Spruce Seedlings and Soil Stoichiometry across Elevations in a Forest in North-Western China" Forests 15, no. 2: 267. https://doi.org/10.3390/f15020267
APA StyleWu, X., Chong, P., Xu, E., Zhao, W., Jing, W., Jin, M., Zhao, J., Wang, S., Wang, R., & Ma, X. (2024). Relationships between Regeneration of Qinghai Spruce Seedlings and Soil Stoichiometry across Elevations in a Forest in North-Western China. Forests, 15(2), 267. https://doi.org/10.3390/f15020267
