Applicability of Thermal Dissipation Method in Sap Flow Measurement of Karst Shrub Community
Abstract
1. Introduction
2. Materials and Methods
2.1. Study Area
2.2. Calibration Experiment
2.3. Wood Structure
2.4. Data Extraction and Statistics
3. Results
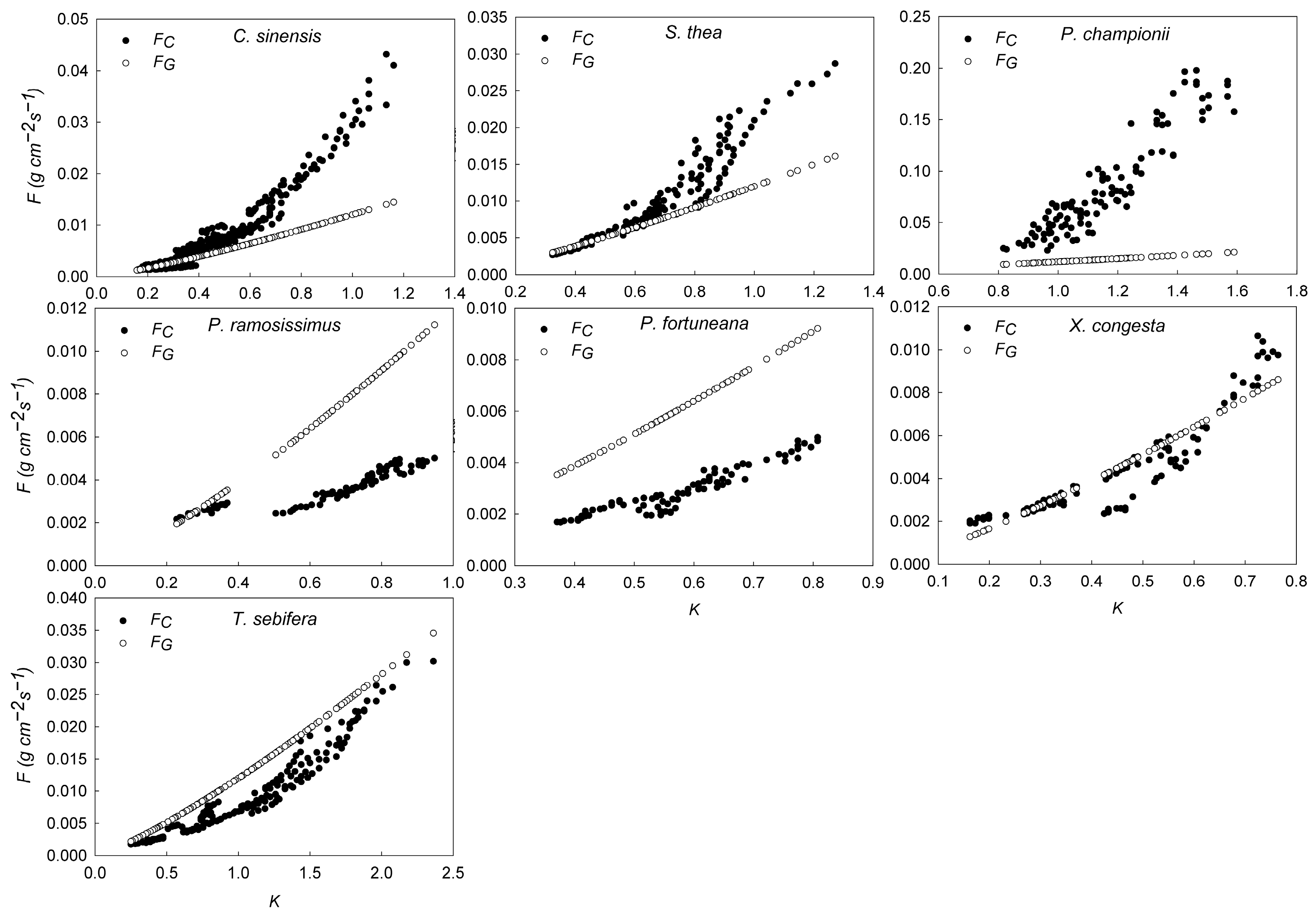
3.1. Comparison between the Actual Measured Sap Flow Density and That Calculated through Granier’s Original Formula
3.2. Calibration of Parameters in Granier’s Formula
3.3. Correlation between Wood Structure, CV, and Calibrated Coefficient in Grainer’s Formula
4. Discussion
4.1. The Impact of Non-Calibration on the Estimation of Sap Flow Density
4.2. Differences before and after Calibration of the Sap Flow Formula
4.3. Correlation between Wood Structure, CV, and Calibrated Coefficient in Grainer’s Formula
5. Conclusions
Supplementary Materials
Author Contributions
Funding
Data Availability Statement
Conflicts of Interest
References
- Dix, M.J.; Aubrey, D.P. Recalibrating best practices, challenges, and limitations of estimating tree transpiration via sap flow. Curr. For. Rep. 2021, 7, 31–37. [Google Scholar] [CrossRef]
- Hu, M.; Ma, C.; Zhang, J.; Ma, Y.; Li, C.; Xiong, W. Calibration of Thermal Dissipation Probes for Xylem Sap Flow in the Wood of a Diffuse-Porous and a Conifer Species under Cyclic Heating. Forests 2022, 13, 1964. [Google Scholar] [CrossRef]
- Chapin, F.S.; Matson, P.A.; Vitousek, P. Principles of Terrestrial Ecosystem Ecology; Springer: New York, NY, USA, 2011. [Google Scholar]
- Link, R.M.; Fuchs, S.; Aguilar, D.A.; Leuschne, C.; Ugalde, M.C.; Otarola, J.C.V.; Schuldt, B. Tree height predicts the shape of radial sap flow profiles of Costa-Rican tropical dry forest tree species. Agric. Forest Meteorol. 2020, 287, 107913. [Google Scholar] [CrossRef]
- Dix, M.J.; Aubrey, D.P. Calibration approach and range of observed sap flow influences transpiration estimates from thermal dissipation sensors. Agric. Forest Meteorol. 2021, 307, 108534. [Google Scholar] [CrossRef]
- Fujime, N.; Kumagai, T.; Egusa, T.; Momiyama, H.; Uchiyama, Y. Importance of calibration in determining forest stand transpiration using the thermal dissipation method. Agric. Forest Meteorol. 2021, 301, 108356. [Google Scholar] [CrossRef]
- Schwärzel, K.; Zhang, L.; Strecker, A.; Podlasly, C. Improved Water Consumption Estimates of Black Locust Plantations in China’s Loess Plateau. Forests 2018, 9, 201. [Google Scholar] [CrossRef]
- Granier, A. Une nouvelle méthode pour la mesure du flux de sève brute dans le tronc des arbres. Ann. Des Sci. For. 1985, 42, 193–200. [Google Scholar] [CrossRef]
- Granier, A. Sap flow measurements in Douglas-fir tree trunks by means of a new thermal method. Ann. Des Sci. For. 1987, 44, 1–14. [Google Scholar] [CrossRef]
- Pasqualotto, G.; Carraro, V.; Menardi, R.; Anfodillo, T. Calibration of Granier-Type (TDP) Sap Flow Probes by a High Precision Electronic Potometer. Sensors 2019, 19, 2419. [Google Scholar] [CrossRef]
- Zeng, X.; Xu, X.; Zhong, F.; Xu, T.; Luo, W.; Yi, R.; Li, X. Use of gravimetric measurements to calibrate thermal dissipation probes with stem segments. Hydrol. Process. 2022, 36, e14478. [Google Scholar] [CrossRef]
- Ma, Y.; Wu, P.; Wang, X.; Wu, P.; Wang, X.; Zhang, J.; Yin, C.; Ma, C. Adaptability of Granier empirical formula in sap flow measurement of Populus tomentosa based on whole tree weighing method. Chin. J. Appl. Ecol. 2020, 31, 1518–1524. [Google Scholar]
- Ma, Y.; Li, C.; Wu, P.; Yin, C.; Ma, C. Correction of Granier’s original formula coefficient for calculating sap flow based on the measured transpiration rate of Ulmus pumila. Sci. Silvae Sin. 2020, 56, 179–185. [Google Scholar]
- Ma, C.; Zhang, H.; Han, Y.; Meng, Q.; Zhang, J.; Ma, Y. Error and correction formula of granier’ s original formula to calculate the stem sap flux density of clone 107 poplar. Sci. Silvae Sin. 2021, 57, 161–169. [Google Scholar]
- Liu, Y.; Zhang, H.; Ma, C.; Liu, B.; Ding, C. Verification of sap flow characteristics and measurement errors of Populus tomentosa Carr. and Salix babylonica L. based on the sap level equilibrium method. Front. Plant Sci. 2022, 13, 946804. [Google Scholar] [CrossRef]
- Sun, H.; Aubrey, D.P.; Teskey, R.O. A simple calibration improved the accuracy of the thermal dissipation technique for sap flow measurements in juvenile trees of six species. Trees 2012, 26, 631–640. [Google Scholar] [CrossRef]
- Ichihashi, R.; Chiu, C.W.; Komatsu, H.; Kume, T.; Shinohara, Y.; Tateishi, M.; Tsuruta, K.; Otsuki, K. Contribution of lianas to community-level canopy transpiration in a warm-temperate forest. Funct. Ecol. 2017, 31, 1690–1699. [Google Scholar] [CrossRef]
- Bush, S.E.; Hultine, K.R.; Sperry, J.S.; Ehleringer, J.R. Calibration of thermal dissipation sap flow probes for ring-and diffuse-porous trees. Tree Physiol. 2010, 30, 1545–1554. [Google Scholar] [CrossRef]
- Hultine, K.R.; Nagler, P.L.; Morino, K.; Bus, S.E.; Burtch, K.G.; Dennison, P.E.; Glenn, E.P.; Ehleringe, J.R. Sap flux-scaled transpiration by tamarisk (Tamarix spp.) before, during and after episodic defoliation by the saltcedar leaf beetle (Diorhabda carinulata). Agric. Forest Meteorol. 2010, 150, 1467–1475. [Google Scholar] [CrossRef]
- Peters, R.L.; Fonti, P.; Frank, D.; Poyatos, R.; Pappas, C.; Kahmen, A.; Carraro, V.; Prendin, A.L.; Schneider, L.; Baltzer, J.L.; et al. Quantification of uncertainties in conifer sap flow measured with the thermal dissipation method. New Phytol. 2018, 219, 1283–1299. [Google Scholar] [CrossRef]
- Alla, F.; Jdaini, K.; M’hamdi, H.; Mechchate, H.; AlZain, M.N.; Alzamel, N.M.; Noman, O.; Mimouni, J.; Elhoumaizi, M.A. Calibration of Thermal Dissipation Probes for Date Palm (Phoenix dactylifera L.). Horticulturae 2022, 8, 107. [Google Scholar] [CrossRef]
- Iida, S.; Takeuchi, S.; Shinozaki, K.; Araki, M. Calibration of sap flow techniques using the root-ball weighing method in Japanese cedar trees. Trees 2022, 36, 1747–1759. [Google Scholar] [CrossRef]
- Niu, F.; Röll, A.; Hardanto, A.; Meijide, A.; Köhler, M.; Hendrayanto; Hölscher, D. Oil palm water use: Calibration of a sap flux method and a field measurement scheme. Tree Physiol. 2015, 35, 563–573. [Google Scholar] [CrossRef]
- Ma, C.; Luo, Y.; Shao, M.; Sun, L.; Jia, X. Environmental controls on sap flow in black locust forest in Loess Plateau, China. Sci. Rep. 2017, 7, 13160. [Google Scholar] [CrossRef] [PubMed]
- Xie, J.; Wan, X. The accuracy of the thermal dissipation technique for estimating sap flow is affected by the radial distribution of conduit diameter and density. Acta Physiol. Plant. 2018, 40, 88. [Google Scholar] [CrossRef]
- Siddiq, Z.; Tomlinson, K.W.; Zhu, S.D.; Cao, K.F. Does fluctuation of meteorological conditions across years influence stand transpiration of Tectona grandis plantation? Ecohydrology 2019, 12, e2116. [Google Scholar] [CrossRef]
- Song, L.; Zhu, J.; Zheng, X.; Wan, K.; Zhang, J.; Hao, G.; Wang, G.; Liu, J. Comparison of canopy transpiration between Pinus sylvestris var. mongolica and Pinus tabuliformis plantations in a semiarid sandy region of Northeast China. Agric. Forest Meteorol. 2022, 314, 108784. [Google Scholar] [CrossRef]
- Liu, J.; Shen, L.; Wang, Z.; Duan, S.; Wu, W.; Peng, X.; Wu, C.; Jiang, Y. Response of plants water uptake patterns to tunnels excavation based on stable isotopes in a karst trough valley. J. Hydrol. 2019, 571, 485–493. [Google Scholar] [CrossRef]
- Liu, M.; Xu, X.; Wang, D.; Sun, A.Y.; Wang, K. Karst catchments exhibited higher degradation stress from climate change than the non-karst catchments in southwest China: An ecohydrological perspective. J. Hydrol. 2016, 535, 173–180. [Google Scholar] [CrossRef]
- Lu, T.; Jiang, Y.; Wu, Z.; Mao, Y.; Qiu, J.; Wu, C. Transpiration characteristies of typical evergreen and deciduous tree species in subtropical karst areas and their responses to environmental factors. Acta Ecol. Sin. 2022, 42, 1047–1058. [Google Scholar]
- Zeng, X.; Xu, X.; Yi, R.; Zhong, F.; Zhang, Y. Sap flow and plant water sources for typical vegetation in a subtropical humid karst area of southwest China. Hydrol. Process. 2021, 35, e14090. [Google Scholar] [CrossRef]
- Zhang, Z.; Zhou, J.; Zhao, P.; Zhao, X.; Zhu, L.; Ouyang, L.; Ni, G. Validation and in situ application of a modified thermal dissipation probe for evaluating standing water use of a clumped bamboo: Bambusa chungii. Agric. Forest Meteorol. 2017, 239, 15–23. [Google Scholar] [CrossRef]
- Yi, R.; Xu, X. Species with larger vessel area have higher bias for the original Granier equation in calculating sap flux density. J. Hydrol. 2023, 622, 129762. [Google Scholar] [CrossRef]
- Steppe, K.; De Pauw, D.J.; Doody, T.M.; Teskey, R.O. A comparison of sap flux density using thermal dissipation, heat pulse velocity and heat field deformation methods. Agric. For. Meteorol. 2010, 150, 1046–1056. [Google Scholar] [CrossRef]
- Fuchs, S.; Leuschner, C.; Link, R.; Coners, H.; Schuldt, B. Calibration and comparison of thermal dissipation, heat ratio and heat field deformation sap flow probes for diffuse-porous trees. Agric. Forest Meteorol. 2017, 244, 151–161. [Google Scholar] [CrossRef]
- Cabibel, B.; Do, F.; Horoyan, J. Mesures thermiques des flux de sève dans les troncs et les racines et fonctionnement hydrique des arbres. I. Analyse théorique des erreurs sur la mesure des flux et validation des mesures en présence de gradients thermiques extérieurs. Agronomie 1991, 11, 669–678. [Google Scholar] [CrossRef]
- Gutiérrez, M.V.; Santiago, L.S. A comparison of sap flow measurements and potometry in two tropical lowland tree species with contrasting wood properties. Rev. De Biol. Trop. 2006, 54, 73–81. [Google Scholar] [CrossRef]
- Herbst, M.; Roberts, J.M.; Rosier, P.T.W.; Gowing, D.J. Seasonal and interannual variability of canopy transpiration of a hedgerow in southern England. Tree Physiol. 2007, 27, 321–333. [Google Scholar] [CrossRef]
- Hubbard, R.M.; Stape, J.; Ryan, M.G.; Almeida, A.C.; Rojas, J. Effects of irrigation on water use and water use efficiency in two fast growing Eucalyptus plantations. For. Ecol. Manag. 2010, 259, 1714–1721. [Google Scholar] [CrossRef]
- Kattge, J.; Díaz, S.; Lavorel, S.; Prentice, I.C.; Leadley, P.; Bönisch, G.; Garnier, E.; Westoby, M.; Reich, P.B.; Wright, I.J.; et al. TRY-a global database of plant traits. Glob. Chang. Biol. 2011, 17, 2905–2935. [Google Scholar] [CrossRef]
- Lu, P. Whole-plant water use of some tropical and subtropical tree crops and its application in irrigation management. Acta Hortic. 2002, 575, 781–789. [Google Scholar] [CrossRef]
- Paudel, I.; Kanety, T.; Cohen, S. Inactive xylem can explain differences in calibration factors for thermal dissipation probe sap flow measurements. Tree Physiol. 2013, 33, 986–1001. [Google Scholar] [CrossRef] [PubMed]
- Renninger, H.J.; Phillips, N.; Salvucci, G.D. Wet-vs. dry-season transpiration in an Amazonian rain forest palm Iriartea deltoidea. Biotropica 2010, 42, 470–478. [Google Scholar] [CrossRef]
- Rubilar, R.A.; Hubbard, R.M.; Yañez, M.A.; Medina, A.M.; Valenzuela, H.E. Quantifying differences in thermal dissipation probe calibrations for Eucalyptus globulus species and E. nitens × globulus hybrid. Trees 2017, 31, 1263–1270. [Google Scholar] [CrossRef]
- Schmidt-Walter, P.; Richter, F.; Herbst, M.; Schuldt, B.; Lamersdorf, N.P. Transpiration and water use strategies of a young and a full-grown short rotation coppice differing in canopy cover and leaf area. Agric. For. Meteorol. 2014, 195, 165–178. [Google Scholar] [CrossRef]
- Sérvulo, A.C.O.; Vellame, L.M.; Casaroli, D.; Júnior, J.A.; Souza, P.H. African Mahogany transpiration with Granier method and water table lysimeter. Rev. Bras. De Eng. Agrícola E Ambient. 2017, 21, 322–326. [Google Scholar] [CrossRef]
- Shinohara, Y.; Iida, S.; Oda, T.; Katayama, A.; Tsuruta, K.; Sato, T.; Tanaka, N.; Su, M.P.; Laplace, S.; Kijidani, Y.; et al. Are calibrations of sap flow measurements based on thermal dissipation needed for each sample in Japanese cedar and cypress trees? Trees 2022, 36, 1219–1229. [Google Scholar] [CrossRef]
- Vellame, L.M.; Coelho Filho, M.A.; Paz, V.P.S. Transpiração em mangueira pelo método Granier. Rev. Bras. Eng. Agrícola Ambient. 2009, 13, 516–523. [Google Scholar] [CrossRef]
- Smith, D.M.; Allen, S.J. Measurement of sap flow in plant stems. J. Exp. Bot. 1996, 47, 1833–1844. [Google Scholar] [CrossRef]
- Tyree, M.T.; Zimmermann, M.H. Xylem Structure and the Ascent of Sap; Springer Science and Business Media: Berlin/Heidelberg, Germany, 2013. [Google Scholar]
- Wullschleger, S.D.; Childs, K.W.; King, A.W.; Hanson, P.J. A model of heat transfer in sapwood and implications for sap flux density measurements using thermal dissipation probes. Tree Physiol. 2011, 31, 669–679. [Google Scholar] [CrossRef]
- Flo, V.; Martinez-Vilalta, J.; Steppe, K.; Schuldt, B.; Poyatos, R. A synthesis of bias and uncertainty in sap flow methods. Agric. Forest Meteorol. 2019, 271, 362–374. [Google Scholar] [CrossRef]
- Hadiwijaya, B.; Pepin, S.; Isabelle, P.E.; Nadeau, D.F. The dynamics of transpiration to evapotranspiration ratio under wet and dry canopy conditions in a humid boreal forest. Forests 2020, 11, 237. [Google Scholar] [CrossRef]
- Ouyang, S.; Xiao, K.; Zhao, Z.; Xiang, W.; Xu, C.; Lei, P.; Deng, X.; Li, J. Stand transpiration estimates from recalibrated parameters for the granier equation in a Chinese Fir (Cunninghamia lanceolata) plantation in southern China. Forests 2018, 9, 162. [Google Scholar] [CrossRef]



| Species | Wood Type | Sample Size | Peeling Diameter (mm) | DBH (mm) | Tree Height (m) |
|---|---|---|---|---|---|
| C. sinensis | ring-porous | 6 | 22.1 ± 0.9 | 18.3 ± 1.5 | 2.46 ± 0.18 |
| X. congesta | semi-ring-porous | 4 | 19.5 ± 1.9 | 20.4 ± 1.6 | 2.78 ± 0.23 |
| T. sebifera | semi-ring-porous | 4 | 20.6 ± 1.8 | 24.4 ± 2.1 | 2.44 ± 0.17 |
| P. ramosissimus | semi-ring-porous | 4 | 20.2 ± 1.6 | 20.1 ± 2.7 | 2.79 ± 0.67 |
| P. fortuneana | semi-ring-porous | 4 | 22.1 ± 2.2 | 19.2 ± 4.7 | 2.50 ± 0.38 |
| S. thea | diffuse-porous | 5 | 22.4 ± 1.6 | 20.4 ± 2.0 | 2.13 ± 0.36 |
| P. championii | vine | 4 | 21.2 ± 1.3 | 22.7 ± 3.7 | 3.39 ± 0.92 |
| Species | Fd = αKβ (g·cm−2·s−1) | Validation | |||||
|---|---|---|---|---|---|---|---|
| α | β | R2 | n | R2 | RMSE | n | |
| Granier’s Original Coefficient | 0.01199 | 1.231 | |||||
| C. sinensis | 0.0300 | 1.9821 | 0.97 | 5 | 0.90 | 0.004 | 1 |
| X. congesta | 0.0141 | 1.5697 | 0.86 | 3 | 0.64 | 0.001 | 1 |
| T. sebifera | 0.0076 | 1.6654 | 0.95 | 3 | 0.95 | 0.002 | 1 |
| P. ramosissimus | 0.0047 | 0.5882 | 0.81 | 3 | 0.62 | 0.001 | 1 |
| P. fortuneana | 0.0065 | 1.4802 | 0.90 | 3 | 0.94 | 0.000 | 1 |
| S. thea | 0.0198 | 1.8844 | 0.91 | 4 | 0.98 | 0.002 | 1 |
| P. championii | 0.0509 | 3.0391 | 0.87 | 3 | 0.69 | 0.037 | 1 |
Disclaimer/Publisher’s Note: The statements, opinions and data contained in all publications are solely those of the individual author(s) and contributor(s) and not of MDPI and/or the editor(s). MDPI and/or the editor(s) disclaim responsibility for any injury to people or property resulting from any ideas, methods, instructions or products referred to in the content. |
© 2024 by the authors. Licensee MDPI, Basel, Switzerland. This article is an open access article distributed under the terms and conditions of the Creative Commons Attribution (CC BY) license (https://creativecommons.org/licenses/by/4.0/).
Share and Cite
Qin, J.; Ni, L.; Gu, D.; Yang, K.; Huang, Q.; Tan, Y.; Liao, S. Applicability of Thermal Dissipation Method in Sap Flow Measurement of Karst Shrub Community. Forests 2024, 15, 259. https://doi.org/10.3390/f15020259
Qin J, Ni L, Gu D, Yang K, Huang Q, Tan Y, Liao S. Applicability of Thermal Dissipation Method in Sap Flow Measurement of Karst Shrub Community. Forests. 2024; 15(2):259. https://doi.org/10.3390/f15020259
Chicago/Turabian StyleQin, Jiashuang, Longkang Ni, Daxing Gu, Kaijun Yang, Qibo Huang, Yu Tan, and Suhui Liao. 2024. "Applicability of Thermal Dissipation Method in Sap Flow Measurement of Karst Shrub Community" Forests 15, no. 2: 259. https://doi.org/10.3390/f15020259
APA StyleQin, J., Ni, L., Gu, D., Yang, K., Huang, Q., Tan, Y., & Liao, S. (2024). Applicability of Thermal Dissipation Method in Sap Flow Measurement of Karst Shrub Community. Forests, 15(2), 259. https://doi.org/10.3390/f15020259

