Identification of Key Soil Quality Indicators for Predicting Mean Annual Increment in Pinus patula Forest Plantations in Tanzania
Abstract
1. Introduction
2. Material and Method
2.1. Description of the Study Areas
2.2. Soil Sampling and Determination of Physical and Chemical Factors
2.3. Statistical Analysis
3. Results
3.1. Variation of Soil Physical Properties in Different Site Classes at SHFP and SFP
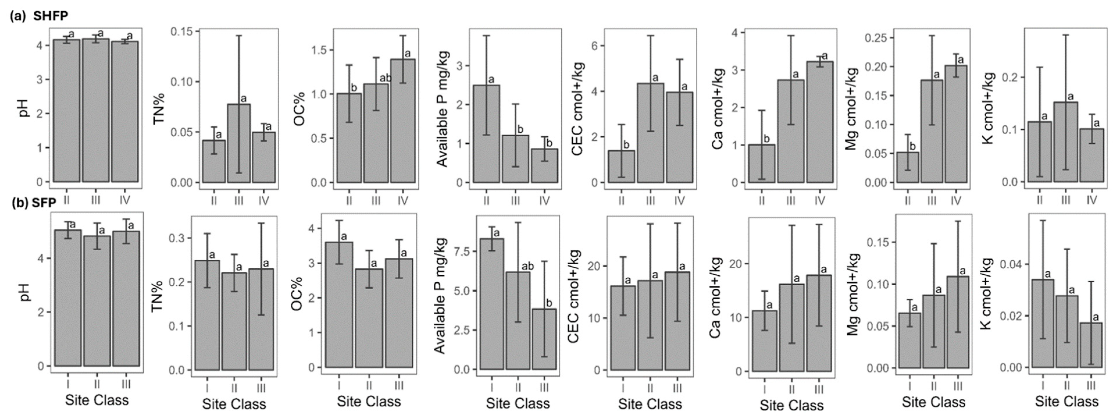
3.2. Variation of Soil Chemical Properties in Different Site Classes at SHFP and SFP
3.3. Distribution Characteristics of Mean Annual Increment and Other Stand Attributes in the Site Classes at SHFP and SFP
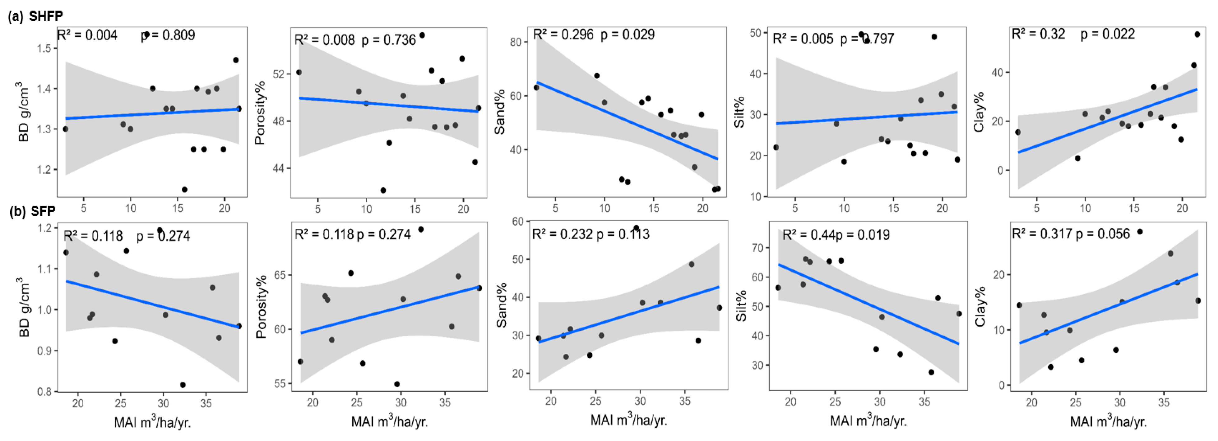
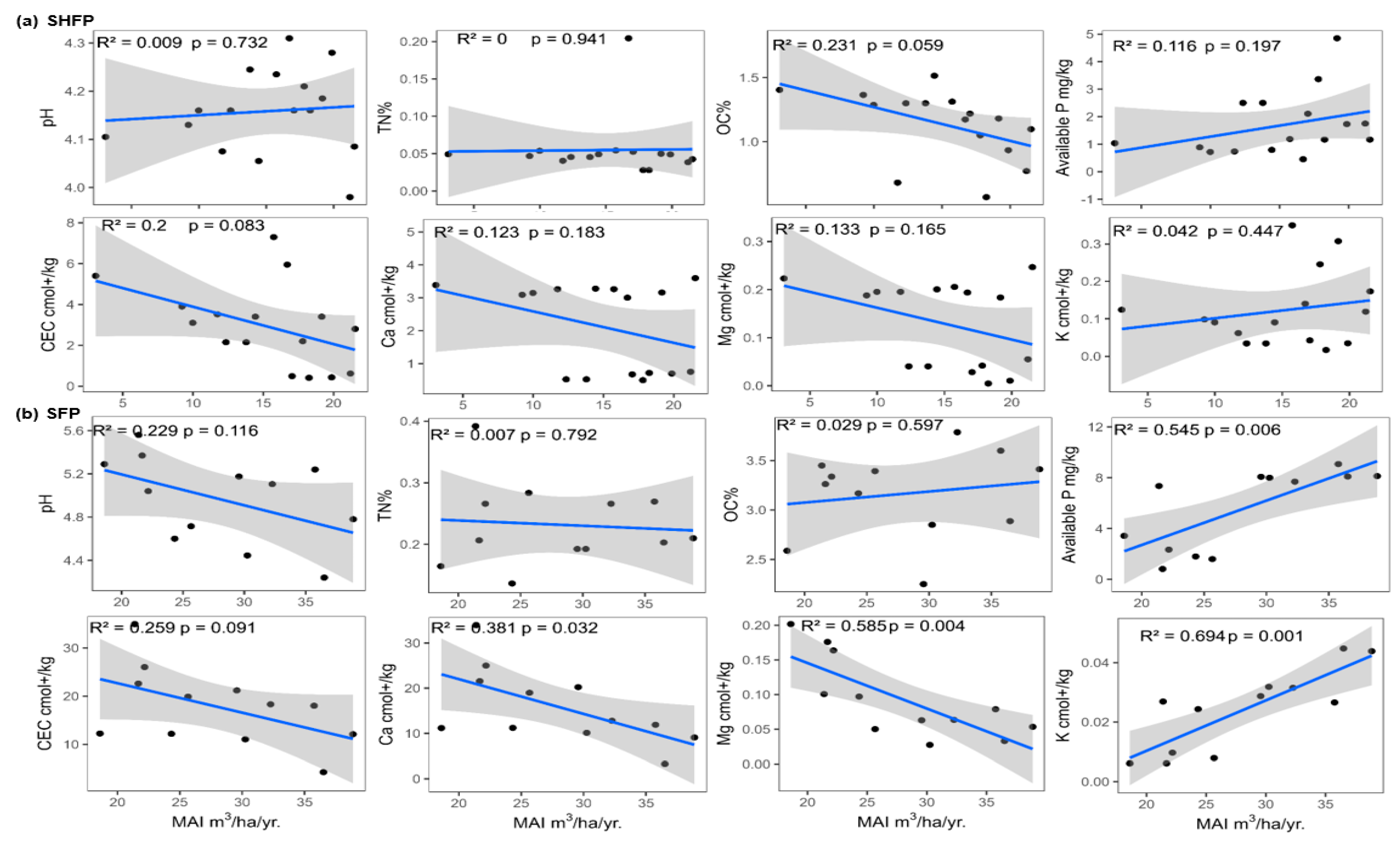
3.4. Coupling Relationship Between the Soil Quality Indicators and Mean Annual Increment SHFP and SFP
3.5. Prediction of Forest Mean Annual Increment Using Soil Quality Indicators at SHFP and SFP
4. Discussion
5. Conclusions
Author Contributions
Funding
Data Availability Statement
Acknowledgments
Conflicts of Interest
References
- UNFF. Ministerial Declaration of the High-Level Segment of the Eleventh Session of the United Nations Forum on Forests, International Arrangement on “The Forests We Want: Beyond 2015”; ECOSOC: New York, NY, USA, 2015; p. 4. Available online: https://www.un.org/esa/forests/2015/index.html (accessed on 8 October 2024).
- Phillips, P. Changes in Forest Production, Biomass and Carbon: Results from the 2015 UN FAO Global Forest Resource Assessment. Research Gate. 2013. Available online: https://www.researchgate.net/ (accessed on 8 October 2024).
- FAO. Global Forest Resources Assessment 2015. How Are the World’s Forests Changing? 2nd ed.; FAO: Rome, Italy, 2016; p. 56. Available online: http://www.fao.org/3/a-i4793e.pdf (accessed on 11 July 2024).
- FAO. Global Forest Resources Assessment 2020—Main Report; FAO: Rome, Italy, 2020. [Google Scholar]
- Bünemann, E.K.; Bongiorno, G.; Bai, Z.; Creamer, R.E.; De Deyn, G.; de Goede, R.; Fleskens, L.; Geissen, V.; Kuyper, T.W.; Mäder, P.; et al. Soil quality—A critical review. Soil Biol. Biochem. 2018, 120, 105–125. [Google Scholar] [CrossRef]
- Ngaga, Y.M. Forest Plantations and Woodlots in Tanzania; African Forest Forum Working Paper Series; African Forest Forum: Nairobi, Kenya, 2011; Volume 16, pp. 1–80. [Google Scholar]
- Page-Dumroese, D.S.; Busse, M.D.; Jurgensen, M.F.; Jokela, E.J. Sustaining forest soil quality and productivity. Soils Landsc. Restor. 2021, 3, 63–93. [Google Scholar] [CrossRef]
- He, L.X.; English, B.C.; de la Torre Ugarte, D.G.; Hodges, D.G. Woody biomass potential for energy feedback in the United States. J. For. Econ. 2014, 20, 174–191. [Google Scholar]
- Doran, J.W.; Zeiss, M.R. Soil health and sustainability: Managing the biotic component of soil quality. Appl. Soil Ecol. 2000, 15, 3–11. [Google Scholar] [CrossRef]
- Juhos, K.; Szabó, S.; Ladányi, M. Influence of soil properties on crop yield: A multivariate statistical approach. Int. Agrophys. 2015, 29, 433–440. [Google Scholar] [CrossRef]
- Schoenholtz, S.H.; Van Miegroet, H.; Burger, J.A. A review of chemical and physical properties as indicators of forest soil quality: Challenges and opportunities. For. Ecol. Manag. 2000, 138, 335–356. [Google Scholar] [CrossRef]
- Shen, Y.; Li, J.; Chen, F.; Cheng, R.; Xiao, W.; Wu, L.; Zeng, L. Correlations between forest soil quality and aboveground vegetation characteristics in Hunan Province, China. Front. Plant Sci. Spec. Sect. Funct. Plant Ecol. 2022, 13, 1009109. [Google Scholar] [CrossRef]
- Nischith, B.J.; Kavitha, R. The impact of soil quality on plant growth and crop yields. IRJMETS 2024, 6, 1602–1616. [Google Scholar] [CrossRef]
- Sariyildiz, T.; Yalcin, D.; Tuna, S. Soil quality and forest productivity. J. For. Res. 2018, 29, 1–10. [Google Scholar]
- Li, H.; Li, Y.; Xu, Y.; Lu, X. Biochar phosphorus fertilizer effects on soil phosphorus availability. Chemosphere 2020, 244, 125471. [Google Scholar] [CrossRef]
- Wang, X.R.; Hu, W.J.; Pang, H.D.; Cui, H.X.; Tang, W.P.; Zhou, W.C. Study on soil physical and chemical properties and soil quality of main forest types in hubei province. J. Cent. South Univ., For. Technol. 2020, 40, 156–166. [Google Scholar] [CrossRef]
- Piotto, D.; Figueiredo, C.C.; de Oliveira, A.D.; Dos Santos, I.L. Soil organic matter content and available phosphorus in relation to teak plantation productivity in Costa Rica. For. Ecol. Manag. 2019, 448, 1–10. [Google Scholar]
- Richardson, B.; Kimberley, M.; Ray, J.W.; Coker, G.W. Indices of interspecific plant competition for Pinus radiata. Can. J. For. Res. 1999, 29, 1551–1563. [Google Scholar] [CrossRef]
- MNRT. Management Plan 2018–2023 for Sao Hill Forest Plantation; MNRT: Dodoma, Tanzania, 2018; p. 106.
- Lovett, J.C. Elevational and latitudinal changes in tree associations and diversity in the Eastern Arc Mountains of Tanzania. J. Trop. Ecol. 1996, 12, 629–650. [Google Scholar] [CrossRef]
- Haruyama, S.; Toko, A. Local Forest management in Tanzania: A case study from Lushoto District, Usambara Mountain. Soc. Nat. 2005, 1, 586–603. [Google Scholar] [CrossRef]
- Horst-Heinen, T.Z.; Dalmolin, R.S.D.; Caten, A.T.; Moura-Bueno, J.M.; Grunwald, S.; Pedron, F.D.A.; Rodrigues, M.F.; Rosin, N.A.; da Silva-Sangoi, D.V. Soil Depth Prediction by Digital Soil Mapping and Its Impact in Pine Forestry Productivity in South Brazil. For. Ecol. Manag. 2021, 488, 118983. [Google Scholar] [CrossRef]
- Gee, G.W.; Bouder, J.W. Particle size analysis. In Methods of Soil Analysis. Part I: Physical and Mineralogical Methods; Klute, A., Ed.; American Society of Agronomy/Soil Science Society of America: Madison, WI, USA, 1986. [Google Scholar]
- Blake, G.R.; Hartge, H. Bulk Density. Methods of Soil Analysis, Part 1. Physical and Mineralogical Methods. Am. Soc. Agron. Madison 1986, 101, 365–375. [Google Scholar]
- Hao, X.; Ball, B.C.; Culley, J.L.B.; Carter, M.R.; Parkin, G.W. Soil density and porosity. In Soil Sampling and Method of Analysis, 2nd ed.; Taylor and Francis: Boca Raton, FL, USA, 2008; pp. 743–759. [Google Scholar]
- Nelson, D.W.; Sommers, L.E. Total carbon, organic carbon and organic matter. In Methods of Soil Analysis, Part 2: Chemical and Microbiology Properties; Page, A.L., Ed.; Agronomy Monograph, No. 9; American Society of Agronomy, Crop Science Society of America, and Soil Science Society of America: Madson, WI, USA, 1982; pp. 539–579. [Google Scholar]
- Bremner, J.M.; Mulvaney, C.S. Methods of soil analyses, part 2: Chemical and mineralogical properties. In Nitrogen Total; Miller, R.H., Keeney, D.R., Eds.; American Society of Agronomy, Soil Science Society of America: Madison, WI, USA, 1982; pp. 595–624. [Google Scholar]
- Bray, R.H.; Kurtz, L.T. Determination of total organic and available Phosphorus in soils. Soil Sci. Soc. Am. Proc. 1945, 39, 39–45. [Google Scholar] [CrossRef]
- Chun, H.; Keles, H. Sparce partial least squares regression for simultaneous dimension reduction and variable selection. J. R. Stat. Soc. B Stat. Methodol. 2010, 72, 3–25. [Google Scholar] [CrossRef]
- Subedi, S.; Fox, T.R. Modeling repeated fertilizer response and one-time midrotation fertilizer response in loblolly pine plantations using FR in the 3-PG process model. For. Ecol. Manag. 2016, 380, 90–99. [Google Scholar] [CrossRef]
- Mahieu, B.; Qannari, E.M.; Jaillais, B. Extension and significance testing of variable importance in projection (VIP) indices in partial least squares regression and principal components analysis. Chemom. Intell. Lab. Syst. 2023, 242, 104986. [Google Scholar] [CrossRef]
- Atwell, M.A.; Wuddivira, M.; Fiedler, S.; Oatham, M.; Herrmann, L.; Glasner, B.; Vetter, V.M.S.; Jungkunst, H.F. Influence of soil geomorphic factors on vegetation patterns in a model white sands ecosystem complex. Catena 2023, 225, 107044. [Google Scholar] [CrossRef]
- Zhang, X.M.; Cao, W.H.; Li, H.R.; Zhang, Y.J.; Wang, C.G.; Ma, B. Interannual and intra-annual temporal dynamics of vegetation pattern and growth in East Africa. Environ. Earth Sci. 2023, 82, 249. [Google Scholar] [CrossRef]
- Leopold, L.B.; Wolman, M.G.; Miller, J.P.; Wohl, E.E. Fluvial Processes in Geomorphology; Courier Dover Publications, Freeman: San Francisco, CA, USA, 2020. [Google Scholar]
- Onweremadu, E.U.; Akamigbo, F.O.R. Spatial changes in distribution of exchangeable cations in soil of forest hilly landscape. Res. J. For. 2007, 1, 55–65. [Google Scholar]
- Alletto, L.; Coquet, Y.; Roger-Estrade, J. Two-dimensional spatial variation of soil physical properties in two tillage systems. Soil Use Manag. 2010, 26, 432–444. [Google Scholar] [CrossRef]
- Logsdon, S.D.; Karlen, L.D. Bulk density as a soil quality indicator during conversion to no-tillage. Soil Tillage Res. 2004, 78, 143–149. [Google Scholar] [CrossRef]
- Walter, K.; Don, A.; Tiemeyer, B.; Freibauer, A. Determining soil bulk density for carbon stock calculations: A systematic method comparison. Soil Sci. Soc. Am. J. 2016, 80, 579–591. [Google Scholar] [CrossRef]
- Ahukaemere, C.M.; Ndukwu, B.N.; Agim, L.C. Soil quality and soil degradation as influenced by agricultural land use types in the humid environment. Int. J. Fores. Soils Eros. 2012, 2, 186–190. [Google Scholar]
- Awdenegest, M.; Melku, D.; Fantaw, Y.; Yihenew, G.S. Land use effects on soil quality indicators: A case study of Abo-Wonsho Southern Ethiopia. Appl. Environ. Soil Sci. 2013, 2013, 784989. [Google Scholar]
- Wander, M.M.; Walter, G.L.; Nissen, T.M.; Bollero, G.A.; Andrews, S.S.; Cavanaugh-Grant, D.A. Soil quality: Science and process. Agron. J. 2002, 94, 23–32. [Google Scholar] [CrossRef]
- Amacher, M.C.; Neill, K.P.O.; Perry, C.H.; Service, F. Soil Vital Signs: A New Soil Quality Index (SQI) for Assessing Forest Soil Health; Research Paper RMRS-RP-65WWW; U.S Department of Agriculture, Forest Service, Rocky: Fort Collins, CO, USA, 2007; 12p.
- Shah, A.N.; Tanveer, M.; Shahzad, B.; Yang, G.; Fahad, S.; Ali, S.; Bukhari, M.A.; Tung, S.A.; Hafeez, A.; Souliyanonh, B. Soil compaction effects on soil health and crop productivity: An overview. Environ. Sci. Pollut. Res. 2017, 24, 10056–10067. [Google Scholar] [CrossRef] [PubMed]
- Hong, S.; Piao, S.; Chen, A.; Liu, Y.; Liu, L.; Peng, S.; Sardans, J.; Sun, Y.; Peñuelas, J.; Zeng, H. Afforestation neutralizes soil pH. Nat. Commun. 2018, 9, 1–7. [Google Scholar] [CrossRef] [PubMed]
- Hong, S.; Gan, P.; Chen, A. Environmental controls on soil pH in planted forest and its response to nitrogen deposition. Environ. Res. 2019, 172, 159–165. [Google Scholar] [CrossRef]
- Wang, Y.; Chen, H.; Zhu, Q.; Peng, C.; Wu, N.; Yang, G.; Zhu, D.; Tian, J.; Tian, L.; Kang, X.; et al. Soil methane uptake by grasslands and forests in China. Soil Biol. Biochem. 2014, 74, 70–81. [Google Scholar] [CrossRef]
- Imran, M.; Khan, A.; Hassan, A.; Kanwal, F.; Liviu, M.; Amir, M.; Iqbal, M.A. Evaluation of physico-chemical characteristics of soil samples collected from Harrapa-Sahiwal (Pakistan). Asian J. Chem. 2010, 22, 4823–4830. [Google Scholar]
- Kassa, H.; Dondeyne, S.; Poesen, J.; Frankl, M.; Nyssen, J. Impact of deforestation on soil fertility, soil carbon and nitrogen stocks: The case of the Gacheb catchment in the White Nile Basin, Ethiopia. Agric. Ecosyst. Environ. 2017, 247, 273–282. [Google Scholar] [CrossRef]
- Wu, T.; Milner, H.; Diaz-Perez, J.; Ji, P. Effects of Soil Management Practices on Soil Microbial Communities and Development of Southern Blight in Vegetable Production. Appl. Soil Ecol. 2015, 91, 58–67. [Google Scholar] [CrossRef]
- Fisher, R.F.; Binkley, D. Ecology and Management of Forest Soils, 3rd ed.; John Wiley: New York, NY, USA, 2000; pp. 23–30. [Google Scholar]
- Landon, J.R. Booker Tropical Soil Manual: A Handbook for Soil Survey and Agricultural Land Evaluation in the Tropics and Sub Tropics; Booker Agricultural International, Longman Scientific and Technical Publications, Harlon: London, UK, 1991. [Google Scholar]
- Zhang, Y.; Xu, X.; Li, Z.; Liu, M.; Xu, C.; Zhang, R.; Luo, W. Effects of vegetation restoration on soil quality in degraded karst landscapes of southwest China. Sci. Total Environ. 2019, 650, 2657–2665. [Google Scholar] [CrossRef]
- Piotrowska-Długosz, A.; Kobierski, M.; Długosz, J. Enzymatic activity and physicochemical properties of soil profiles of Luvisols. Materials 2021, 14, 6364. [Google Scholar] [CrossRef]
- Ostertag, R.; Marín-Spiotta, E.; Silver, W.; Schulten, J. Litterfall and decomposition in relation to soil carbon pools along a secondary forest chronosequence in Puerto Rico. Ecosystems 2008, 11, 701–714. [Google Scholar] [CrossRef]
- Tang, J.W.; Cao, M.; Zhang, J.H.; Li, M.H. Litterfall production, decomposition and nutrient use efficiency varies with tropical forest types in Xishuangbanna, SW China: A 10-year study. Plant Soil. 2010, 335, 271–288. [Google Scholar] [CrossRef]
- Parihar, C.M.; Singh, A.K.; Jat, S.L.; Ghosh, A.; Dey, A.; Nayak, H.S.; Parihar, M.D.; Mahala, D.M.; Yadav, R.K.; Rai, V. Dependence of temperature sensitivity of soil organic carbon decomposition on nutrient management options under conservation agriculture in a sub-tropical Inceptisol. Soil Tillage Res. 2019, 190, 50–60. [Google Scholar] [CrossRef]
- Jha, P.; Mohapatra, K.P.; Dubey, S.K. Impact of land use on physico-chemical and hydrological properties of ustifluvent soils in riparian zone of river Yamuna, India. Agrofor. Syst. 2010, 80, 437–445. [Google Scholar] [CrossRef]
- Liu, Y.; Liu, W.; Wu, L.; Liu, C.; Wang, L.; Chen, F.; Li, Z. Soil aggregate-associated organic carbon dynamics subjected to different types of land use: Evidence from 13C natural abundance. Ecol. Eng. 2018, 122, 295–302. [Google Scholar] [CrossRef]
- Zhou, H.; Zhang, D.G.; Jiang, Z.H.; Sun, P.; Xiao, H.L.; Wu, Y.X.; Chen, J.G. Changes in the soil microbial communities of alpine steppe at Qinghai-Tibetan Plateau under different degradation levels. Sci. Total Environ. 2019, 651, 2281–2291. [Google Scholar] [CrossRef]
- Tanaka, S.; Kendawang, J.J.; Yoshida, N.; Shibata, K.; Jee, A.; Tanaka, K.; Ninomiya, I.; Sakurai, K. Effects of shifting cultivation on soil ecosystems in Sarawak, Malaysia IV. Chemical properties of the soils and runoff water at Niah and Bakam experimental sites. J. Soil Sci. Plant Nutr. 2005, 51, 525–533. [Google Scholar] [CrossRef]
- Pretzsch, H.; Bielak, K.; Block, J.; Bruchwald, A.; Dieler, J.; Ehrhart, H.-P.; Zingg, A. Productivity of mixed versus pure stands of oak (Quercus petraea (Matt.) Liebl. and Quercus robur L.) and European beech (Fagus sylvatica L.) along an ecological gradient. Eur. J. Forest Res. 2013, 132, 263–280. [Google Scholar] [CrossRef]
- Toïgo, M.; Vallet, P.; Perot, T.; Bontemps, J.-D.; Piedallu, C.; Courbaud, B.; Canham, C. Overyielding in mixed forests decreases with site productivity. J. Ecol. 2015, 103, 502–512. [Google Scholar] [CrossRef]
- Forrester, D.I.; Bauhus, J. A review of processes behind diver-sity–productivity relationships in forests. Curr. For. Rep. 2016, 2, 45–61. [Google Scholar] [CrossRef]
- Skovsgaard, J.P.; Vanclay, J.K. Forest site productivity: A review of the evolution of dendrometric concepts for even-aged stands. Forestry 2008, 81, 13–31. [Google Scholar] [CrossRef]
- Soong, J.L.; Janssens, I.A.; Grau, O.; Margalef, O.; Stahl, C.; Langenhove, L.V.; Urbina, I.; Chave, J.; Dourdain, A.; Ferry, B.; et al. Soil properties explain tree growth and mortality, but not biomass, across phosphorus-depleted tropical forests. Sci.Rep. 2020, 10, 2302. [Google Scholar] [CrossRef] [PubMed]
- Lal, R. Soil Conservation and Management in the Humid Tropics: A Review. In Soil Conservation and Management in the Humid Tropics; Greenland, D.J., Lal, R., Eds.; Wiley: Chichester, UK, 2015; pp. 1–283. [Google Scholar]
- Clark, D.A.; Brown, S.; Kicklighter, D.W.; Chambers, J.D.; Thomlinson, J.R.; Ni, J.; Holland, E. Net primary production in forest. An evaluation and synthesis of existing field data. Ecol. Appl. 2001, 11, 371–384. [Google Scholar] [CrossRef]
- Oberleitner, F.; Egger, C.; Oberdorfer, S.; Dullinger, S.; Wanek, W.; Hietz, P. Recovery of aboveground biomass, species richness and composition in tropical secondary forests in SW Costa Rica. For. Ecol. Manag. 2021, 479, 118580. [Google Scholar] [CrossRef]
- Russell, K.N.; Beauchamp, V.B. Plant species diversity in restored and created Delmarva bay wetlands. Wetlands 2017, 37, 1119–1133. [Google Scholar] [CrossRef]
- Shao, G.; Ai, J.; Sun, Q.; Hou, L.; Dong, Y. Soil quality assessment under different forest types in the Mount Tai, central Eastern China. Ecol. Indic. 2020, 115, 106439. [Google Scholar] [CrossRef]
- Holmes, P.M. Shrubland restoration following woody alien invasion and mining: Effects of topsoil depth, seed source, and fertilizer addition. Restor. Ecol. 2010, 9, 71–84. [Google Scholar] [CrossRef]
- Luna, L.; Vignozzi, N.; Miralles, I.; Solé-Benet, A. Organic amendments and mulches modify soil porosity and infiltration in semiarid mine soils. Land Degrad. Dev. 2018, 29, 1019–1030. [Google Scholar] [CrossRef]
- Reich, P.B.; Grigal, D.F.; Aber, J.D.; Gower, S.T. Nitrogen mineralization and productivity in 50 hardwood and conifer stands on diverse soils. Ecology 1997, 78, 335–347. [Google Scholar] [CrossRef]
- Albaugh, T.J.; Allen, H.L.; Dougherty, P.M.; Kress, L.W.; King, J.S. Leaf area and above- and below-ground growth responses of loblolly pine to nutrient and water additions. J. For. Sci. 1998, 44, 317–328. [Google Scholar]
- Carlson, C.A.; Fox, T.R.; Allen, H.L.; Albaugh, T.J. Modeling mid-rotation fertilizer responses using the age-shift approach. For. Ecol. Manag. 2008, 256, 256–262. [Google Scholar] [CrossRef]
- Epron, D.; Cabral, O.M.R.; Laclau, J.-P.; Dannoura, M.; Packer, A.P.; Plain, C.; Battie-Laclau, P.; Moreira, M.Z.; Trivelin, P.C.O.; Bouillet, J.-P.; et al. In situ 13CO2 pulse labelling of field-grown eucalypt trees revealed the effects of potassium nutrition and throughfall exclusion on phloem transport of photosynthetic carbon. Tree Physiol. 2016, 36, 6–21. [Google Scholar] [CrossRef] [PubMed]
- Rance, S.J.; Cameron, D.M.; Emlyn, R.; Williams, E.R.; Carl, R.; Gosper, C.R. Fertilisation with P, N and S requires additional Zn for healthy plantation tree growth on low fertility savanna soils. Soil Res. 2024, 62, SR23128. [Google Scholar] [CrossRef]
- Chaudhry, H.; Vasava, H.B.; Chen, S.; Saurette, D.; Beri, A.; Gillespie, A.; Biswas, A. Evaluating the soil quality index using three methods to assess soil fertility. Sensors 2024, 24, 864. [Google Scholar] [CrossRef]
- Richter, D.D.; Markewitz, D.; Wells, C.G.; Allen, H.L.; April, R.; Heine, P.R. and Urrego, B. Soil Chemical Change during Three Decades in an Old-Field Loblolly Pine (Pinus Taeda L.) Ecosystem. Ecology. 1994, 75, 1463–1473. [Google Scholar] [CrossRef]
- Zeng, J.; Pan, Y.L.; Liu, J.; Zhang, L.; Hu, D.N. Effects of phosphorus and potassium fertilizer on growth and oil-production of Cinnamomum camphora. For. Res. 2019, 32, 152–157. [Google Scholar]
- Bai, Y.F.; Chen, S.Y.; Shi, S.R.; Qi, M.J. Effects of different management approaches on the stoichiometric characteristics of soil C, N, and P in a mature Chinese forest plantation. Sci. Total Environ. 2020, 723, 137868. [Google Scholar] [CrossRef] [PubMed]
- Cunha, H.F.V.; Andersen, K.M.; Lugli, L.F.; Santana, F.D.; Aleixo, I.F.; Moraes, A.M.; Garcia, S.; Di Ponzio, R.; Mendoza, E.O.; Brum, B.; et al. Direct evidence for phosphorus limitation on Amazon forest productivity. Nature 2022, 608, 558–562. [Google Scholar] [CrossRef]
- Manu, R.; Corre, M.D.; Aleeje, A.; Mwanjalolo, M.J.G.; Babweteera, F.; Veldkamp, E.; van Straaten, O. Responses of tree growth and biomass production to nutrient addition in a semi-deciduous tropical forest in Africa. Ecology 2022, 103, e3659. [Google Scholar] [CrossRef]






| Site | BD | Porosity | SAND | SILT | CLAY | pH | TN | OC | AvP | CEC | Ca | Mg | K | SQI | |
|---|---|---|---|---|---|---|---|---|---|---|---|---|---|---|---|
| SHFP | Stage1 | 0.15 | 0.37 | 1.30 | 0.60 | 1.81 | 0.23 | 1.15 | 1.22 | 1.07 | 1.19 | 1.06 | 0.97 | 0.61 | 0.82 |
| Stage2 | 0.00 | 2.25 | 1.26 | 0.00 | 2.02 | 0.00 | 0.00 | 1.32 | 0.00 | 1.24 | 0.00 | 0.00 | 0.00 | 0.00 | |
| SFP | Stage1 | 0.95 | 0.95 | 0.45 | 0.87 | 0.79 | 1.04 | 0.53 | 0.53 | 1.51 | 0.65 | 0.79 | 1.53 | 1.78 | 0.37 |
| Stage2 | 0.00 | 0.00 | 0.00 | 0.00 | 0.00 | 1.31 | 0.00 | 0.00 | 1.89 | 0.00 | 0.00 | 1.93 | 2.23 | 0.00 |
| Site | X-Score | Y-Score | R2 | RMSE | Slope | Bias | RPD | |
|---|---|---|---|---|---|---|---|---|
| SHFP | Calibration | 82.9 | 50.2 | 0.937 | 1.092 | 0.937 | 0.0000 | 4.21 |
| Validation | 0.675 | 2.482 | 0.882 | −0.2145 | 1.86 | |||
| SFP | Calibration | 90.1 | 92.8 | 0.928 | 1.878 | 0.928 | 0.0000 | 4.09 |
| Validation | 0.877 | 2.459 | 0.796 | 0.8732 | 3.34 |
Disclaimer/Publisher’s Note: The statements, opinions and data contained in all publications are solely those of the individual author(s) and contributor(s) and not of MDPI and/or the editor(s). MDPI and/or the editor(s) disclaim responsibility for any injury to people or property resulting from any ideas, methods, instructions or products referred to in the content. |
© 2024 by the authors. Licensee MDPI, Basel, Switzerland. This article is an open access article distributed under the terms and conditions of the Creative Commons Attribution (CC BY) license (https://creativecommons.org/licenses/by/4.0/).
Share and Cite
Maguzu, J.; Maliondo, S.M.; Ulrik, I.; Katani, J.Z. Identification of Key Soil Quality Indicators for Predicting Mean Annual Increment in Pinus patula Forest Plantations in Tanzania. Forests 2024, 15, 2042. https://doi.org/10.3390/f15112042
Maguzu J, Maliondo SM, Ulrik I, Katani JZ. Identification of Key Soil Quality Indicators for Predicting Mean Annual Increment in Pinus patula Forest Plantations in Tanzania. Forests. 2024; 15(11):2042. https://doi.org/10.3390/f15112042
Chicago/Turabian StyleMaguzu, Joshua, Salim M. Maliondo, Ilstedt Ulrik, and Josiah Zephaniah Katani. 2024. "Identification of Key Soil Quality Indicators for Predicting Mean Annual Increment in Pinus patula Forest Plantations in Tanzania" Forests 15, no. 11: 2042. https://doi.org/10.3390/f15112042
APA StyleMaguzu, J., Maliondo, S. M., Ulrik, I., & Katani, J. Z. (2024). Identification of Key Soil Quality Indicators for Predicting Mean Annual Increment in Pinus patula Forest Plantations in Tanzania. Forests, 15(11), 2042. https://doi.org/10.3390/f15112042
