Application of Bayesian Causal Inference in the Study of the Relationship Between Biodiversity and Aboveground Biomass of Subtropical Forest in Eastern China
Abstract
1. Introduction
2. Materials and Methods
2.1. Study Site
2.2. Data Source and Processing of Sample Plots
2.3. Biomass Data
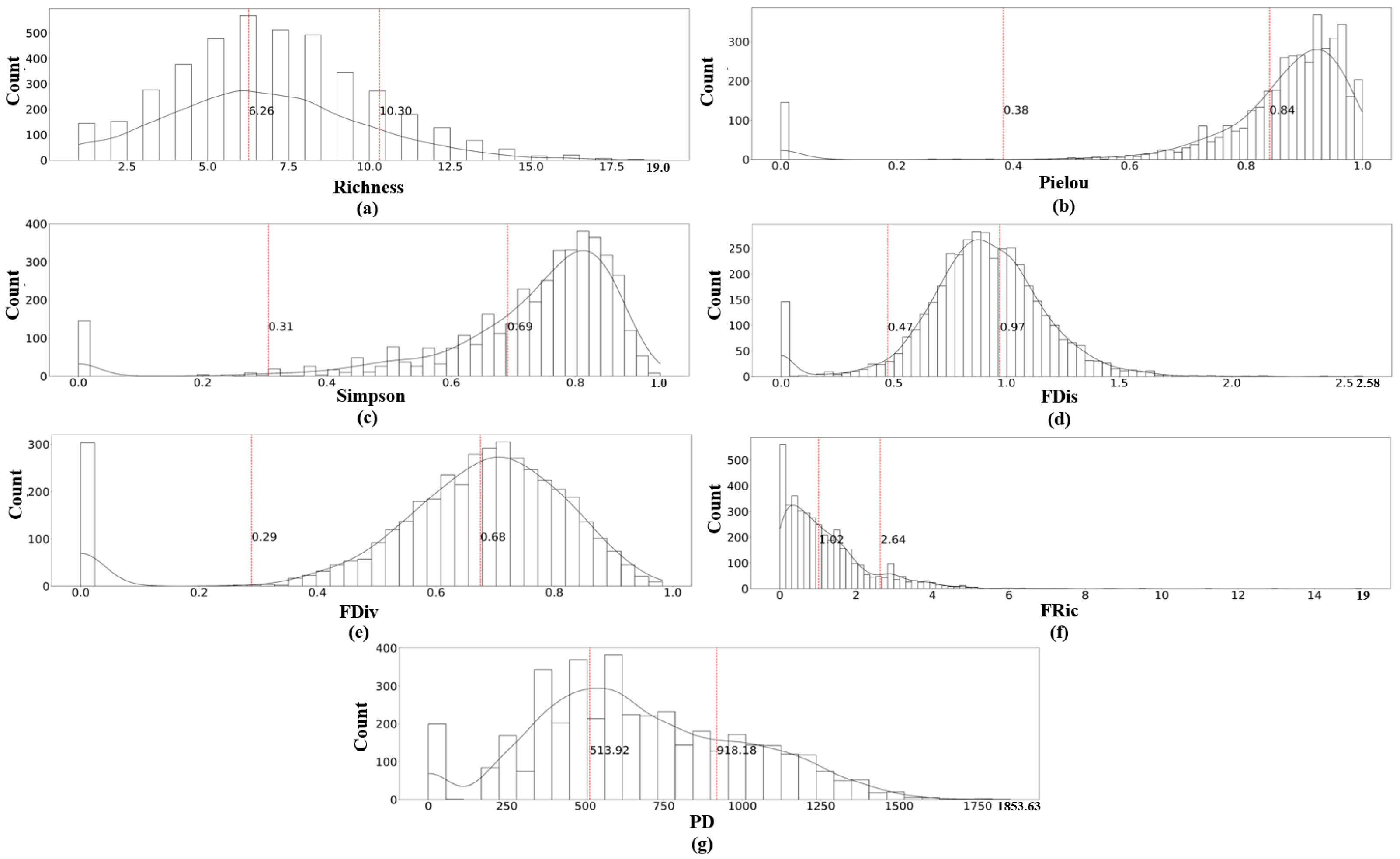
2.4. Biotic, Abiotic and Biodiversity Factors
2.5. Statistical Analysis
3. Results
3.1. Species Composition of the Plot
3.2. Causal Relationships Between Biotic, Abiotic, Biodiversity Factors and AGB
3.3. Analysis of Factor Interventions That Have a Direct Impact on AGB
3.4. Analysis of Factor Interventions with Indirect Effects on AGB
4. Discussion
4.1. Causal Analysis of Forest Biomass and Its Driving Factors
4.2. Compared with Species and Phylogenetic Diversity, Functional Diversity Had a More Significant Impact on Forest Biomass
4.3. Advantages of Bayesian Causal Inference in Ecosystem Research
5. Conclusions
Author Contributions
Funding
Data Availability Statement
Conflicts of Interest
Abbreviations
AGB | Aboveground Biomass |
GLM | Generalized Linear Mode |
DBH | Diameter at breast heigh |
CPDAG | Completed Partially Directed Acyclic Graph |
DAG | Directed Acyclic Graph |
SEM | Structural Equation Modeling |
OLS | Ordinary Least Squares |
Appendix A
References
- Houghton, R.A.; Hall, F.; Goetz, S.J. Importance of biomass in the global carbon cycle. J. Geophys. Res. Biogeosci. 2009, 114, G2. [Google Scholar] [CrossRef]
- Naeem, S.; Thompson, L.J.; Lawler, S.P.; Lawton, J.H.; Woodfin, R.M. Declining biodiversity can alter the performance of ecosystems. Nature 1994, 368, 734–737. [Google Scholar] [CrossRef]
- Tilman, D.; Downing, J.A. Biodiversity and stability in grasslands. Nature 1994, 367, 363–365. [Google Scholar] [CrossRef]
- Hector, A.; Schmid, B.; Beierkuhnlein, C.; Caldeira, M.C.; Diemer, M.; Dimitrakopoulos, P.G.; Finn, J.A.; Freitas, H.; Giller, P.S.; Good, J. Plant diversity and productivity experiments in European grasslands. Science 1999, 286, 1123–1127. [Google Scholar] [CrossRef]
- Tilman, D.; Isbell, F.; Cowles, J.M. Biodiversity and ecosystem functioning. Annu. Rev. Ecol. Evol. Syst. 2014, 45, 471–493. [Google Scholar] [CrossRef]
- Guo, Q.; Berry, W.L. Species richness and biomass: Dissection of the hump-shaped relationships. Ecology 1998, 79, 2555–2559. [Google Scholar] [CrossRef]
- Loreau, M.; Naeem, S.; Inchausti, P. Biodiversity and ecosystem functioning: The emergence of a synthetic ecological framework. In Biodiversity and Ecosystem Functioning: Synthesis and Perspectives; Naeem, S., Inchausti, P., Eds.; Oxford University Press: New York, NY, USA, 2002; pp. 3–12. [Google Scholar]
- Grime, J.P. Competitive exclusion in herbaceous vegetation. Nature 1973, 242, 344–347. [Google Scholar] [CrossRef]
- Tilman, D.; Knops, J.; Wedin, D.; Reich, P.; Ritchie, M.; Siemann, E. The influence of functional diversity and composition on ecosystem processes. Science 1997, 277, 1300–1302. [Google Scholar] [CrossRef]
- Callaway, R.M. Positive interactions among plants. Bot. Rev. 1995, 61, 306–349. [Google Scholar] [CrossRef]
- van der Plas, F. Biodiversity and ecosystem functioning in naturally assembled communities. Biol. Rev. 2019, 94, 1220–1245. [Google Scholar] [CrossRef]
- Guo, Y.; Wang, B.; Xiang, W.; Ding, T.; Lu, S.; Huang, F.; Wen, S.; Li, D.; He, Y.; Li, X. Responses of spatial pattern of woody plants’ basal area to topographic factors in a tropical karst seasonal rainforest in Nonggang, Guangxi, southern China. Biodivers. Sci. 2016, 24, 30. [Google Scholar] [CrossRef][Green Version]
- Sullivan, M.J.P.; Lewis, S.L.; Affum-Baffoe, K.; Castilho, C.; Costa, F.; Sanchez, A.C.; Ewango, C.E.N.; Hubau, W.; Marimon, B.; Monteagudo-Mendoza, A. Long-term thermal sensitivity of Earth’s tropical forests. Science 2020, 368, 869–874. [Google Scholar] [CrossRef] [PubMed]
- Coomes, D.A.; Flores, O.; Holdaway, R.; Jucker, T.; Lines, E.R.; Vanderwel, M.C. Wood production response to climate change will depend critically on forest composition and structure. Glob. Chang. Biol. 2014, 20, 3632–3645. [Google Scholar] [CrossRef] [PubMed]
- Ali, A.; Lin, S.-L.; He, J.-K.; Kong, F.-M.; Yu, J.-H.; Jiang, H.-S. Elucidating space, climate, edaphic, and biodiversity effects on aboveground biomass in tropical forests. Land Degrad. Dev. 2019, 30, 918–927. [Google Scholar] [CrossRef]
- Paquette, A.; Messier, C. The effect of biodiversity on tree productivity: From temperate to boreal forests. Glob. Ecol. Biogeogr. 2011, 20, 170–180. [Google Scholar] [CrossRef]
- Wu, X.; Wang, X.; Tang, Z.; Shen, Z.; Zheng, C.; Xia, X.; Fang, J. The relationship between species richness and biomass changes from boreal to subtropical forests in China. Ecography 2015, 38, 602–613. [Google Scholar] [CrossRef]
- Flynn, D.F.B.; Mirotchnick, N.; Jain, M.; Palmer, M.I.; Naeem, S. Functional and phylogenetic diversity as predictors of biodiversity—Ecosystem-function relationships. Ecology 2011, 92, 1573–1581. [Google Scholar] [CrossRef]
- McGill, B.J.; Enquist, B.J.; Weiher, E.; Westoby, M. Rebuilding community ecology from functional traits. Trends Ecol. Evol. 2006, 21, 178–185. [Google Scholar] [CrossRef]
- Tilman, D.; Reich, P.B.; Knops, J.; Wedin, D.; Mielke, T.; Lehman, C. Diversity and productivity in a long-term grassland experiment. Science 2001, 294, 843–845. [Google Scholar] [CrossRef]
- Narwani, A.; Matthews, B.; Fox, J.; Venail, P. Using phylogenetics in community assembly and ecosystem functioning research. Funct. Ecol. 2015, 29, 589–591. [Google Scholar] [CrossRef]
- Srivastava, D.S.; Cadotte, M.W.; MacDonald, A.A.M.; Marushia, R.G.; Mirotchnick, N. Phylogenetic diversity and the functioning of ecosystems. Ecol. Lett. 2012, 15, 637–648. [Google Scholar] [CrossRef] [PubMed]
- Cardinale, B.J.; Venail, P.; Gross, K.; Oakley, T.H.; Narwani, A.; Allan, E.; Flombaum, P.; Joshi, J.; Reich, P.B.; Tilman, D. Further re-analyses looking for effects of phylogenetic diversity on community biomass and stability. Funct. Ecol. 2015, 29, 1607–1610. [Google Scholar] [CrossRef]
- Huang, X.; Lang, X.; Li, S.; Liu, W.; Su, J. Indicator selection and driving factors of ecosystem multifunctionality: Research status and perspectives. Biodivers. Sci. 2021, 29, 1607–1610. [Google Scholar] [CrossRef]
- Chen, B.; Jiang, L.; Xie, Z.-Y.; Li, Y.-D.; Li, J.-X.; Li, M.-J.; Wei, C.-S.; Xing, C.; Liu, J.-F.; He, Z.-S. Taxonomic and phylogenetic diversity of plants in a Castanopsis kawakamii natural forest. Biodivers. Sci. 2021, 29, 439–448. [Google Scholar] [CrossRef]
- Zhao, K.; Popescu, S.; Meng, X.; Pang, Y.; Agca, M. Characterizing forest canopy structure with lidar composite metrics and machine learning. Remote Sens. Environ. 2011, 115, 1978–1996. [Google Scholar] [CrossRef]
- Jonsson, M.; Wardle, D.A. Structural equation modelling reveals plant-community drivers of carbon storage in boreal forest ecosystems. Biol. Lett. 2010, 6, 116–119. [Google Scholar] [CrossRef]
- Ding, H.; Fang, Y.; Yang, X.; Yuan, F.; He, L.; Yao, J.; Wu, J.; Chi, B.; Li, Y.; Chen, S. Community characteristics of a subtropical evergreen broad-leaved forest in Huangshan, Anhui Province, East China. Biodivers. Sci. 2016, 24, 875–887. [Google Scholar] [CrossRef]
- Gonzalez-Akre, E.; Piponiot, C.; Lepore, M.; Herrmann, V.; Lutz, J.A.; Baltzer, J.L.; Dick, C.W.; Gilbert, G.S.; He, F.; Heym, M. allodb: An R package for biomass estimation at globally distributed extratropical forest plots. Methods Ecol. Evol. 2022, 13, 330–338. [Google Scholar] [CrossRef]
- Keylock, C.J. Simpson diversity and the Shannon–Wiener index as special cases of a generalized entropy. Oikos 2005, 109, 203–207. [Google Scholar] [CrossRef]
- Wang, H.; Harrison, S.P.; Li, M.; Prentice, I.C.; Qiao, S.; Wang, R.; Xu, H.; Mengoli, G.; Peng, Y.; Yang, Y. The China plant trait database version 2. Sci. Data 2022, 9, 769. [Google Scholar] [CrossRef]
- Lv, T.; Wang, N.; Xie, L.; Chen, S.; Zhao, R.; Feng, Y.; Li, Y.; Ding, H.; Fang, Y. Environmental heterogeneity affecting community assembly patterns and phylogenetic diversity of three forest communities at Mt. Huangshan, China. Forests 2022, 13, 133. [Google Scholar] [CrossRef]
- Mason, N.W.H.; Mouillot, D.; Lee, W.G.; Wilson, J.B. Functional richness, functional evenness and functional divergence: The primary components of functional diversity. Oikos 2005, 111, 112–118. [Google Scholar] [CrossRef]
- Villéger, S.; Mason, N.W.H.; Mouillot, D. New multidimensional functional diversity indices for a multifaceted framework in functional ecology. Ecology 2008, 89, 2290–2301. [Google Scholar] [CrossRef] [PubMed]
- Laliberté, E.; Legendre, P. A distance-based framework for measuring functional diversity from multiple traits. Ecology 2010, 91, 299–305. [Google Scholar] [CrossRef]
- Xie, L.; Chen, S.; Zhang, W.; Zheng, X.; Ding, H.; Fang, Y. Converse (deterministic and stochastic) ecological process drive soil bacterial and fungal community assembly in subtropical forest. Appl. Soil Ecol. 2024, 193, 105129. [Google Scholar] [CrossRef]
- Zhang, J.L.; Liu, B.; Liu, S.; Feng, Z.H.; Jiang, K.W. Plantlist: Looking Up the Status of Plant Scientific Names Based on the Plant List Database, Searching the Chinese Names and Making Checklists of Plants. R Package Version (0.8.0). Available online: https://github.com/helixcn/plantlist/ (accessed on 17 October 2024).
- Zanne, A.E.; Tank, D.C.; Cornwell, W.K.; Eastman, J.M.; Smith, S.A.; FitzJohn, R.G.; McGlinn, D.J.; O’Meara, B.C.; Moles, A.T.; Reich, P.B. Three keys to the radiation of angiosperms into freezing environments. Nature 2014, 506, 89–92. [Google Scholar] [CrossRef]
- Jin, Y.; Qian, H.V. PhyloMaker2: An updated and enlarged R package that can generate very large phylogenies for vascular plants. Plant Divers. 2022, 44, 335–339. [Google Scholar] [CrossRef]
- Faith, D.P. Phylogenetic Diversity and Conservation Evaluation: Perspectives on Multiple Values, Indices, and Scales of Application; Scherson, R., Faith, D., Eds.; Springer: Cham, Switzerland, 2018; pp. 1–26. [Google Scholar]
- Nagarajan, R.; Scutari, M.; Sophie, L. Bayesian Networks in R: With Applications in Systems Biology; Springer Publishing Company, Incorporated: New York, NY, USA, 2013; pp. 85–94. [Google Scholar]
- Chickering, D.M. Learning equivalence classes of Bayesian-network structures. J. Mach. Learn. Res. 2002, 2, 445–498. [Google Scholar]
- Fisher, R.A. Statistical methods for research workers. In Breakthroughs in Statistics: Methodology and Distribution; Fisher, Ronald Aylmer; Springer: New York, NY, USA, 1970; pp. 66–70. [Google Scholar]
- Acid, S.; De Campos, L.M. An algorithm for finding minimum d-separating sets in belief networks. arXiv 2013, arXiv:1302.3549. [Google Scholar]
- Ouyang, S.; Xiang, W.; Wang, X.; Zeng, Y.; Lei, P.; Deng, X.; Peng, C. Significant effects of biodiversity on forest biomass during the succession of subtropical forest in south China. For. Ecol. Manag. 2016, 372, 291–302. [Google Scholar] [CrossRef]
- Ouyang, S.; Xiang, W.; Wang, X.; Xiao, W.; Chen, L.; Li, S.; Sun, H.; Deng, X.; Forrester, D.I.; Zeng, L.; et al. Effects of stand age, richness and density on productivity in subtropical forests in China. J. Ecol. 2019, 107, 2266–2277. [Google Scholar] [CrossRef]
- Lan, J.; Lei, X.; He, X.; Gao, W.; Guo, H. Stand density, climate and biodiversity jointly regulate the multifunctionality of natural forest ecosystems in northeast China. Eur. J. For. Res. 2023, 142, 493–507. [Google Scholar] [CrossRef]
- Purdon, A.; Mole, M.A.; Selier, J.; Kruger, J.; Mafumo, H.; Olivier, P.I. Using the Rao’s Q diversity index as an indicator of protected area effectiveness in conserving biodiversity. Ecol. Inform. 2022, 72, 101920. [Google Scholar] [CrossRef]
- Petchey, O.L.; Gaston, K.J. Functional diversity: Back to basics and looking forward. Ecol. Lett. 2006, 9, 741–758. [Google Scholar] [CrossRef]
- Vargas-Larreta, B.; López-Martínez, J.O.; González, E.J.; Corral-Rivas, J.; Hernández, F.J. Assessing aboveground biomass-functional diversity relationships in temperate forests in northern Mexico. For. Ecosyst. 2021, 8, 1–14. [Google Scholar] [CrossRef]
- Li, Y.; Schuldt, A.; Ebeling, A.; Eisenhauer, N.; Huang, Y.; Albert, G.; Albracht, C.; Amyntas, A.; Bonkowski, M.; Bruelheide, H.; et al. Plant diversity enhances ecosystem multifunctionality via multitrophic diversity. Nat. Ecol. Evol. 2024. [Google Scholar] [CrossRef]
- Cadotte, M.W.; Cardinale, B.J.; Oakley, T.H. Evolutionary history and the effect of biodiversity on plant productivity. Proc. Natl. Acad. Sci. USA 2008, 105, 17012–17017. [Google Scholar] [CrossRef]
- van den Berg, N.I.; Machado, D.; Santos, S.; Rocha, I.; Chacón, J.; Harcombe, W.; Mitri, S.; Patil, K.R. Ecological modelling approaches for predicting emergent properties in microbial communities. Nat. Ecol. Evol. 2022, 6, 855–865. [Google Scholar] [CrossRef]
- Sucar, L.E.; Sucar, L.E. Bayesian networks: Representation and inference. Probabilistic Graph. Model. Princ. Appl. 2003, 2, 1–123. [Google Scholar]
- Barrufol, M.; Schmid, B.; Bruelheide, H.; Chi, X.; Hector, A.; Ma, K.; Michalski, S.; Tang, Z.; Niklaus, P.A. Biodiversity promotes tree growth during succession in subtropical forest. PLoS ONE 2013, 8, e81246. [Google Scholar] [CrossRef]
- Fan, Y.; Chen, J.; Shirkey, G.; John, R.; Wu, S.R.; Park, H.; Shao, C. Applications of structural equation modeling (SEM) in ecological studies: An updated review. Ecol. Process. 2016, 5, 19. [Google Scholar] [CrossRef]
- Thomas, S.K.; Thomachen, K.T. Biodiversity Studies and Multicollinearity in Multivariate Data Analysis. Mapana J. Sci. 2007, 6, 27–35. [Google Scholar] [CrossRef]
- Li, F.; Ding, P.; Mealli, F. Bayesian causal inference: A critical review. Philos. Trans. R. Soc. A 2023, 381, 20220153. [Google Scholar] [CrossRef] [PubMed]
Factor | Index | Mean Std | Min | Max |
---|---|---|---|---|
Species Diversity | Richness | 1.00 | 19.00 | |
Shannon–Weaver | 1.00 | 15.67 | ||
Simpson | 0.00 | 0.93 | ||
Pielou | 0.00 | 1.00 | ||
Functional Diversity | FRic | 1.00 | 19.00 | |
FEve | 0.00 | 0.99 | ||
FDiv | 0.00 | 0.98 | ||
FDis | 0.00 | 2.58 | ||
RaoQ | 0.00 | 7.90 | ||
Phylogenetic Diversity | PD | 0.00 | 1853.63 | |
Biotic | Stand Density (per 25 m2) | 1.00 | 103.00 | |
Abiotic | Elevation (m) | 425.58 | 554.63 | |
Slope (%) | 5.08 | 55.38 | ||
Aspect (°) | 0.67 | 358.49 | ||
Roughness (°) | −10.82 | 14.60 | ||
Biomass | AGB (kg/25 m2) | 0.08 | 9144.97 |
Families | Importance (%) | Accumulative Total (%) |
---|---|---|
Fagaceae | 29.10 | 29.10 |
Ericaceae | 21.91 | 51.01 |
Theaceae | 14.84 | 65.85 |
Rhamnaceae | 6.56 | 72.41 |
Pinaceae | 5.69 | 78.10 |
Hamamelidaceae | 4.22 | 82.32 |
Ilexaceae | 3.98 | 86.30 |
Lauraceae | 2.92 | 89.22 |
Theaceae | 2.36 | 91.58 |
Species | Importance (%) | Accumulative Total (%) |
---|---|---|
Castanopsis eyrei | 29.46 | 29.46 |
Eurya nitida | 10.03 | 39.49 |
Rhododendron ovatum | 9.05 | 48.54 |
Pinus massoniana | 5.68 | 54.22 |
Shannon–Weaver | 0 | 1 | 2 | |||||||
---|---|---|---|---|---|---|---|---|---|---|
RaoQ | 0 | 1 | 2 | 0 | 1 | 2 | 0 | 1 | 2 | |
AGB | 0 | 0.84 | 0.82 | 0.53 | 0.72 | 0.76 | 0.61 | 0.58 | 0.66 | 0.48 |
1 | 0.12 | 0.11 | 0.25 | 0.22 | 0.18 | 0.22 | 0.28 | 0.26 | 0.28 | |
2 | 0.04 | 0.07 | 0.22 | 0.06 | 0.06 | 0.17 | 0.14 | 0.08 | 0.24 |
Intervention Index 1 | 0 | 1 | 2 | |
---|---|---|---|---|
AGB | 0 | 0.75 | 0.76 | 0.62 |
1 | 0.18 | 0.18 | 0.25 | |
2 | 0.07 | 0.06 | 0.13 |
Intervention Index 1 | 0 | 1 | 2 | |
---|---|---|---|---|
AGB | 0 | 0.75 | 0.70 | 0.68 |
1 | 0.18 | 0.21 | 0.22 | |
2 | 0.07 | 0.09 | 0.10 |
Disclaimer/Publisher’s Note: The statements, opinions and data contained in all publications are solely those of the individual author(s) and contributor(s) and not of MDPI and/or the editor(s). MDPI and/or the editor(s) disclaim responsibility for any injury to people or property resulting from any ideas, methods, instructions or products referred to in the content. |
© 2024 by the authors. Licensee MDPI, Basel, Switzerland. This article is an open access article distributed under the terms and conditions of the Creative Commons Attribution (CC BY) license (https://creativecommons.org/licenses/by/4.0/).
Share and Cite
Tao, Y.; Xia, Y.; Zheng, X.; Ding, H.; Fang, Y.; Tian, C.; Ma, P. Application of Bayesian Causal Inference in the Study of the Relationship Between Biodiversity and Aboveground Biomass of Subtropical Forest in Eastern China. Forests 2024, 15, 1841. https://doi.org/10.3390/f15111841
Tao Y, Xia Y, Zheng X, Ding H, Fang Y, Tian C, Ma P. Application of Bayesian Causal Inference in the Study of the Relationship Between Biodiversity and Aboveground Biomass of Subtropical Forest in Eastern China. Forests. 2024; 15(11):1841. https://doi.org/10.3390/f15111841
Chicago/Turabian StyleTao, Yubo, Yutong Xia, Xiao Zheng, Hui Ding, Yanming Fang, Chenlei Tian, and Pei Ma. 2024. "Application of Bayesian Causal Inference in the Study of the Relationship Between Biodiversity and Aboveground Biomass of Subtropical Forest in Eastern China" Forests 15, no. 11: 1841. https://doi.org/10.3390/f15111841
APA StyleTao, Y., Xia, Y., Zheng, X., Ding, H., Fang, Y., Tian, C., & Ma, P. (2024). Application of Bayesian Causal Inference in the Study of the Relationship Between Biodiversity and Aboveground Biomass of Subtropical Forest in Eastern China. Forests, 15(11), 1841. https://doi.org/10.3390/f15111841