Next Article in Journal
Forest Vegetation Detection Using Deep Learning Object Detection Models
Next Article in Special Issue
Regulation of 5-Aminolevunilic Acid and Its Application in Agroforestry
Previous Article in Journal
Effects of Soil Properties and Nutrients on the Fruit Economic Parameters and Oil Nutrient Contents of Camellia oleifera
Previous Article in Special Issue
Effects of Exogenous ALA on Leaf Photosynthesis, Photosynthate Transport, and Sugar Accumulation in Prunus persica L.
 
 
Font Type:
Arial Georgia Verdana
Font Size:
Aa Aa Aa
Line Spacing:
Column Width:
Background:
Article

Exogenous 5-Aminolevulinic Acid Promotes Osmotic Stress Tolerance of Walnuts by Modulating Photosynthesis, Osmotic Adjustment and Antioxidant Systems

1
College of Horticulture, Nanjing Agricultural University, Nanjing 210095, China
2
College of Life Sciences, Shaanxi Normal University, Xi’an 710119, China
*
Authors to whom correspondence should be addressed.
These authors contributed equally to this work.
Forests 2023, 14(9), 1789; https://doi.org/10.3390/f14091789
Submission received: 17 July 2023 / Revised: 25 August 2023 / Accepted: 29 August 2023 / Published: 1 September 2023

Abstract

:
The walnut (Juglans regia L.) is an important economic tree worldwide, often cultivated in arid and semiarid regions. Improving the drought tolerance is of significance for walnut growth, production, and economic effectiveness. 5-Aminolevulinic acid (ALA) is a novel plant growth regulator which raises plant tolerance to various stressful conditions. Here, foliage application of ALA was carried out to uncover its effect on walnuts under polyethylene glycol (PEG) 6000-stimulated osmotic stress. Our results displayed that exogenous ALA greatly promoted the chlorophyll content, photochemical activities, and gas exchange in walnuts under osmotic stress. ALA led to a considerable accumulation of compatible osmotic solutes, enabling walnuts to maintain osmotic equilibrium against drought stress. Furthermore, ALA alleviated the reactive oxygen species (ROS) damages on osmotically stressed walnuts through enhancing the antioxidant enzyme activities, as well as decreasing the ROS and malondialdehyde (MDA) content. The relative water content (RWC) in the ALA-treated leaves was higher than that of PEG-stressed, while the RWC in the substrate of ALA treatment was significantly lower than that of the PEG-stressed, further suggesting that ALA promotes plant water uptake from the substrate under osmotic stress. These demonstrate that ALA improves the photosynthesis, osmotic adjustment, antioxidant systems and, consequently, the walnuts’ drought tolerance.

1. Introduction

The walnut (Juglans regia L.) is an important tree with both ecological and economic benefits. It is well known that the walnut kernel with 74% oil content has high nutritional and medicinal values, and the walnut trunk is solid enough to be excellent hardwood [1]. More than 400 thousand hectares of walnuts are cultivated in the arid area of Xinjiang, in the northwest of China [2], due to their relatively higher drought tolerance compared with many other species of economical forests [3]. However, some walnut cultivars and walnuts at different growth stages are sensitive to drought stress, actually [4,5,6]. Drought stress leads to the decline of tissue extension and cell proliferation, stomatal closure, leaf water potential, water use efficiency and turgor pressure, and other cellular or organismal disorders [7], which is the main factor leading to a reduction in growth and development, further causing yield decrease and economic loss [8]. When plants are faced with the drought conditions, they struggle hard to avoid and mitigate these harmful effects by means of various mechanisms, including osmotic adjustments (OA), antioxidant metabolism, stomatal adjustments and so on [9]. For example, the stomatal closure is the priority response for water potential balance under drought stress, which leads to CO2 uptake decreasing and lower photosynthetic efficiency [9]. Accumulation of osmotically active substances is for cell hydration and the enzymatic or non-enzymatic antioxidant components to function against stress-induced reactive oxygen species (ROS) [8,9]. Moreover, hormonal regulation also plays a major role in coping with drought stress, in which salicylic acid (SA), cytokinin (CYT) and abscisic acid (ABA) can increase the drought tolerance of plants [7]. For instance, the DEHYDRATION-RESPONSIVE ELEMENT-BINDING (DREB) genes regulate several ABA-independent stress-responsive genes under abiotic stress [10]. Therefore, drought tolerance enhancement of walnut trees is meaningful for their production.
Exogenous application of small molecule compounds or plant growth regulators (PGRs) contributes to growth regulation and elevation of resistance to adverse circumstances [11]. 5-Aminolevulinic acid (ALA), with a linear five-carbon molecular structure (C5H9NO3), is the common and essential precursor of all tetrapyrroles in the living organisms, such as chlorophyll, heme, vitamin B12 and phytochromobilin [12]. ALA has been used as a novel PGR to increase agricultural production, characterized by promoting chlorophyll biosynthesis, carbon assimilation and plant growth, as well as fruit quality [13]. Furthermore, ALA can play a crucial role in stress damage mitigation by inducing a series of physiological and molecular defense mechanisms in plants under stresses such as drought, water logging, salinity, extreme temperature, heavy metal, and UV stresses [14,15]. Until now, ALA can enhance the drought tolerance in diverse plants, such as poplar [16], cucumber [17], banana [18] and so on. Priming with ALA raises the leaf relative water content (RWC) in oilseed rape [19] and Kentucky bluegrass [20], and enhances the content of soluble sugars, proline and other osmolytes in wheat (Triticum aestivum) [21] and Chinese rye grass (Leymus chinensis) [22], as well as the promotion of chlorophyll content and photosynthetic efficiency to preserve photosynthetic capacity in rapeseed and wheat under drought stress [19,20,21,22]. The previous study of ALA improving the strawberry drought tolerance may reveal the mechanism of action [23]. The exogenous ALA enhances the stomatal conductivity and transpiration rates of plant leaves, as well as accelerating the expression levels of the aquaporin genes (plasmalemma intrinsic protein, PIP, and tonoplast intrinsic protein, TIP); therefore, it improves the water absorption and transport of water balance in plants exposed to drought stress. On the other hand, ALA induces the expressions of the P5CS and P5CR genes but inhibits ProDH and P5CDH expression in tomato seedlings, to accumulate proline content for OA [24]. It is well known that ALA improves antioxidant enzyme activities to eliminate the ROS in strawberry (Fragaria ananassa) and sunflower (Helianthus annuus) subjected to water deficit stress [23,25]. Therefore, the natural and environmentally friendly PGR has an important application prospect in agricultural production for drought tolerance. However, whether ALA can be used to improve the drought tolerance of walnuts has not been reported.
In the present study, exogenous ALA was applied to walnut when they were exposed to 20% polyethylene glycol (PEG) 6000 stress. The effect of ALA on walnuts under osmotic stress was detected by determining RWC, chlorophyll content, chlorophyll fluorescence characteristics, gas exchange parameters, ROS content, antioxidant enzyme activity and the expression levels of related genes. The findings of this study reveal the potential mechanisms of ALA-triggered drought tolerance improvement, conducive to the popularization and application of ALA in walnut production.

2. Materials and Methods

2.1. Plant Culture and Treatments

The experiments were conducted from February to June of 2021. Each walnut seedling (Juglans regia L. cv. ‘Wen185′) was obtained from seed germination and then grown in a plastic pot (25 cm diameter with 20 cm height) filled with peat soil and vermiculite (weight ratio = 3:2). The 1/2 Hoagland nutrient solution [26] was applied to the plants every five days, until the plants reached 30–35 cm (leaf-expansion period). A total of 135 healthy seedlings were chosen and equally divided into three groups: the control, PEG and PEG + ALA treatments. In the control treatment, only 1/2 Hoagland nutrient solution was watered on walnuts, while the plants received 300 mL 1/2 Hoagland nutrient solution containing 20% PEG6000 every five days in the PEG treatment. The PEG + ALA treated plants were foliar-sprayed with 10 mg L−1 ALA solution [23,27] as pretreatment for five days, and then their rhizosphere was poured with 300 mL 1/2 Hoagland nutrient solution containing 20% PEG6000. All plants were grown in a greenhouse with a room temperature of 30/20 ± 1 ℃ day/night, a humidity of 65%, photosynthetic photon flux densities of 300 μmol m−2 s−1 and a photoperiod 16 h/8 h (light/dark); they were randomly arranged under the three managements in June. Five plants from each treatment group were taken and washed cleanly for further analysis at intervals of five days, and the culture substrates were taken for RWC measurement in the meantime.

2.2. Measurement of RWC

The leaf RWC was measured according to the previous study [23], and RWC = (FW − DW)/(SW − DW) × 100%, where FW, DW and SW stand for fresh weight, dry weight and saturated weight, respectively. When the RWC of the culture substrate was measured, the formula of RWC = (WW − DW)/(SW − DW) × 100% was employed, where WW represents the wet weight of substrates as measured after the plants were pulled out. The SW was obtained by eliminating the excess water in the saturated substrates after being immersed in tap water for three hours. Then, the substrate DW was measured after drying in an oven of 70℃ for 48 h. Each RWC measurement was repeated three times.

2.3. Determination of Photosynthetic Gas Exchange Parameters

Using a portable photosynthesis system (Li-6400, Li-Cor, Lincoln, NE, USA), the leaf gas exchange parameters of net photosynthetic rate (Pn), stomatal conductance (Gs), transpiration rate (Tr), intercellular CO2 concentration (Ci) and leaf surface temperature were assayed during 9:00–11:00 a.m. on the tenth day after treatments [28]. The examination conditions were designed as 25 ± 1 ℃ for leaf chamber temperature, 70%–80% relative humidity, 800 μmol m−2 s−1 photon flux densities, a duration of 1000 ms in a standard chamber for natural light and 400 μmol mol−1 CO2 concentration (Ca). The formulas for carboxylation efficiency (Pn/Ci), water use efficiency (WUE = Pn/Tr) and stomatal limitation (Ls = 1 − Ci/Ca) were calculated to determine the three parameters. Fifteen replications were created for the measurement accuracy of each treatment.

2.4. Measurement of Chlorophyll Content

The content of chlorophyll was measured according to the absorbance, according to the previously reported method [29]. About 0.1 g of walnut leaves was extracted in 10 mL 95% ethanol solution in darkness for 24 h. The OD values of the extraction solutions were determined by the Multimode Microplate Reader at wavelengths of 663 nm (OD663) and 645 nm (OD645), respectively. The formulas Ca = (12.7 × OD663 − 2.69 × OD645) × [V/(1000 × W)], Cb = (22.9 × OD645 − 4.63 × OD663) × [V/(1000 × W)], and CT = Ca + Cb were calculated for the content of chlorophyll a (Ca), chlorophyll b (Cb) and total chlorophyll (CT). Three replications were performed in all examinations of the chlorophyll content.

2.5. Measurement of Rapid Chlorophyll Fluorescence Characteristics

The fast chlorophyll fluorescence induction kinetic (OJIP) and modulated 820 nm reflection (MR820) data were determined by a Multifunctional Plant Efficiency Analyzer (M-PEA, Hansatech, Norfolk, UK) on the fifteenth day after treatments. The fast chlorophyll fluorescence parameters were calculated referring to the JIP-test [30]. Twenty leaves were sampled for each treatment and then placed in the dark for 20 min for measurement.

2.6. Measurement of Physiological and Biochemical Indices

The soluble sugar and the soluble protein content in walnut leaves and roots were detected by the anthrone-sulfuric acid colorimetry method [31] and Coomassie brilliant blue G-250 method [32], respectively. The nitrogen blue tetrazole method, guaiacol process and permanganimetric method were used to examine the antioxidant enzyme activity of superoxide dismutase (SOD), peroxidase (POD) and catalase (CAT) in walnut leaves and roots, respectively [33]. The malondialdehyde (MDA) content was measured by the thiobarbituric acid method [34]. The superoxide anion (O2•−) production rate and the H2O2 content were tested according to previously reported methods [35,36]. The acidic-ninhydrin process was carried out to measure the proline content in walnut leaves and roots [37]. All physiological measurements were repeated three times.

2.7. Real-Time Quantitative PCR Analysis for Gene Expression

The total RNA was obtained from walnut leaves and roots by an RNA extraction kit (Biofit Biotech, Hangzhou, China), and then reverse transcribed into cDNA with the help of the TransScript One-Step gDNA Removal and cDNA Synthesis Supermix Kit (TransGen Biotech, Beijing, China). The real-time quantitative PCR (RT-qPCR) tests, in which the cDNA was used as the template, and 18S as the reference gene, were driven by the SYBR® Green Premix Pro TaqHS qPCR Kit (RoxPlus, Shenzhen, China). The gene expression was calculated and quantified by the 2-ΔΔCT method [38]. All RT-qPCR assays were carried out with three biological repeats, and all primers utilized are listed in Table 1.

2.8. Data Statistical Analysis

The difference significance analysis was conducted using the LSD test and Duncan’s test, and all data were statistically processed using IBM SPSS 20.0.

3. Results

3.1. Effects of ALA on the RWC in Walnut Leaves and Culture Substrates under PEG Stress

Compared with the control, leaf RWC of PEG-stressed walnut was significantly decreased (p < 0.05) during the three time points (Figure 1A), suggesting that PEG stress impairs the water balance of walnut leaves. Nevertheless, PEG + ALA pretreatment significantly alleviated the decrease in leaf RWC. The tendency of RWC indicates that ALA treatment improves the leaf water status of walnuts under PEG stress. On the other hand, PEG treatment significantly increased the RWC of the culture substrate (Figure 1B), implying that PEG stress blocks walnuts absorbing water from the high osmotic substrate and, therefore, more water remained in the substrate. The substrate RWCs of the PEG + ALA and control were almost the same; both were generally lower than that of the PEG treatment. These results suggest that ALA pretreatment enables plants to absorb water from the high osmotic substrate to maintain water homeostasis.

3.2. Effects of ALA on Leaf Photosynthetic Gas Exchanges of Walnut under PEG Stress

The leaf photosynthetic gas exchanges of walnuts were measured on the tenth day after treatments. PEG stress significantly inhibited the photosynthesis of walnut leaves, while ALA pretreatment alleviated the inhibition (Figure 2). The net photosynthetic rate (Pn), stomatal conductance (Gs), transpiration rate (Tr), carboxylation efficiency (Pn/Ci) and water use efficiency (WUE) in the PEG-treated leaves were 42.80%, 50.11%, 58.23%, 36.67% and 42.79% less than those of the control, respectively, and all the differences were statistically significant (p < 0.05). When ALA was applied on walnuts, these indicators were 49.88%, 37.17%, 18.02%, 66.47% and 53.28% higher than those of PEG treatment. Among them, all differences, but in Tr, were significant at p = 0.05. Conversely, PEG stress significantly increased the intercellular CO2 concentration (Ci), while ALA pretreatment depressed the increase (Figure 2F). The stomatal limitation (Ls) in the PEG stress was significantly decreased compared with that of the control, while ALA treatment increased it (Figure 2G). The Ci increase and Ls decrease induced by PEG stress was due to a decrease in CO2 fixation instead of more CO2 intake into stomata. Therefore, the decrease in Ci and the increase in Ls induced by ALA compared with PEG alone may be the results of promotion of CO2 fixation in the leaves. It was interesting to notice that PEG stress induced the foliar temperature increased by 1.6 °C, which was significantly higher than that of the control (Figure 2H), and this was inhibited by ALA application. This result is consistent with the higher Gs of ALA treatment, which can decrease the foliar temperature by maintaining transpiration and leaf heat dissipation to some extent.

3.3. Effects of ALA on the Photochemical Activity of Photosystem Reaction Centers in Walnut Leaves under PEG Stress

The chlorophyll fast fluorescence of walnut leaves was measured after treatments for fifteen days (Figure 3A and Table 2). The initial fluorescence (Fo, t = 0 μs) and the fluorescence of the K phase (Fk, t = 300 μs) in the PEG treatment group were significantly higher than those of the control, while ALA treatment depressed the increases. On the other hand, the fluorescence values of the I and P phases (t = 30 and about 300 ms, respectively) in the PEG treatment were significantly lower than that of the control, but ALA lessened the depression induced by PEG stress. Yet, the J phase fluorescence was not found to be significantly different among the three treatments. It seems that osmotic stress leads to an improvement in the early fluorescence but depression of the late fluorescence, which can be alleviated by exogenous ALA.
The MR820 curves represent the oxidation–reduction status of the PSI reaction center of plant leaves (Figure 3B). The MR820 curve of walnut leaves under PEG treatment displayed a deformation in comparison to that of the control, with significantly higher MRmin and lower MRmax than that of the control. This manifests that the oxidation–reduction capacity of PSI is greatly inhibited by osmotic stress. However, the curve trends of PEG + ALA co-treated leaves were very similar to those of the control, illustrating that ALA application contributes to the recovery of oxidation–reduction reactions in PSI of walnut leaves inhibited by osmotic stress.
Table 2 displays the fluorescence parameters based on the data of Figure 3. The PEG treatment significantly decreased the variable fluorescence Fv as well as φPo (=Fv/Fm); the latter represents that maximum photochemical efficiency of photosystem II (PSII) reaction centers. Conversely, addition with ALA alleviated the decreases induced by PEG, suggesting ALA can protect the PSII reaction center activity. Furthermore, PEG decreased the quantum yield for electron transfer, represented by φEo or ETo/CSo, while ALA promoted photochemical electron transfer of walnut leaves under PEG stress. These suggest that ALA can prevent the harmful effects of osmotic stress on photosynthetic electron transfer at the receptor side of PSII reaction centers. φRo is the quantum yield of reducing the terminal electron acceptor of PSI, reflecting the photochemical efficiency of photosystem I (PSI) reaction centers. It was shown that PEG stress significantly decreased the φRo of walnut leaves, while ALA pretreatment prevented the depression (Table 2). Therefore, ALA was not only beneficial for PSII, but also for PSI, when walnut plants encountered osmotic stress. φDo represents the quantum yield for heat dissipation, which was significantly increased by PEG, but prevented by ALA in walnut leaves. The amplitude of the K phase, Wk, is a parameter of the PSII donor-side, expressing the inactivity of the oxygen evolving complex (OEC). The smaller the Wk, the stronger the OEC activity is. PEG increased Wk but ALA prevented the increase. Moreover, Mo, an approximate slope at the origin of the fluorescence rise, represents the maximum rate QA reduction in PSII. The higher the Mo, the faster the PSII reaction centers close. PEG induced significantly higher Mo while ALA eliminated the adverse effect of PEG. Therefore, the density of active reaction centers of PSII (RC/CSo) in ALA-pretreated walnut leaves was significantly higher than that of PEG-treated leaves. Additionally, PIabs and PItotal are very sensitive to PEG stress and ALA treatment (Table 2). PIabs, the photosynthetic capacity index, was also significantly higher in ALA-pretreated leaves than those of PEG stress. PItotal, expressing the capacity including PSII and PSI, was only 41% of the control in the PEG stress, while the indication in the ALA pretreatment was 88% higher than that of PEG. These demonstrate that PEG stress drastically impairs leaf photosynthetic capacity, while ALA prevents the negative effects.
VPSI and VPSII-PSI are calculated according to the 820 nm curves, and the former represents the maximum oxidation rate of the PSI reaction center, while the latter represents the maximum reduction rate of PSI by the electrons transferred from PSII, which shows the intersystem activity of photosynthetic electron transfer (Table 2). VPSI in the ALA-pretreated leaves was the highest, even higher than that of the control, while that in the PEG stress was the lowest, suggesting that the protection of ALA on PSI may be more important than PSII. On the other hand, VPSII-PSI in the control was the highest, higher than that of ALA pretreatment, followed by PEG. These indicate that PEG impairs the electron transfer between PSII and PSI, while ALA can partially alleviate the harmful effect of PEG.

3.4. Effects of ALA on the Chlorophylls in Walnut Leaves under PEG Stress

Table 3 shows that the leaf chlorophyll content significantly decreased under PEG treatment when the walnut plants were stressed for five days, which continued to 15 days. However, ALA pretreatment significantly alleviated the decrease. The effects were not only seen in chlorophyll a, but also in chlorophyll b and the total chlorophylls, as well as chlorophyll a/b. These manifest that PEG stress causes a decrease in the photosynthetic pigment while ALA prevents this adverse effect.
To detect the impact of ALA more thoroughly on chlorophyll synthesis in walnuts under osmotic stress, the relative expression of five genes involved in chlorophyll metabolism was examined at the midpoint of treatments (Figure 4). PEG stress downregulated the expression of HEMA1, CHLG and HEMG1, while ALA pretreatment prevented the effects of PEG. It is well known that HEMA1 encodes glutamyl-tRNA reductase 1, which is the key enzyme responsible for endogenous ALA biosynthesis. PEG inhibited HEMA1 expression, suggesting that osmotic stress may block ALA biosynthesis. Furthermore, HEMG1, PORB and CHLG encode protoporphyrinogen oxidase, protochlorophyllide oxidoreductase B and chlorophyll synthase, respectively, which are the important enzymes for chlorophyll biosynthesis. The PEG-downregulated gene expression coincided with the changes in the chlorophyll content (Table 3). Thus, PEG stress depressing chlorophyll content may be through downregulation of biosynthetic gene expression. On the other hand, CAO encodes chlorophyll a oxygenase, whose expression was upregulated by osmotic stress and downregulated by ALA pretreatment. It is worth noting that the upregulation of CAO by PEG was 64%, while the increase in the PEG + ALA was 27%, compared with the control, suggesting that more chlorophyll a is decomposed by oxidation in leaves under PEG stress than PEG + ALA and the control treatments. These were consistent with the changes in the chlorophyll a/b ratios. In general, these findings indicate that ALA promotes chlorophyll biosynthesis and inhibits its decomposition in walnuts subjected to osmotic stress.

3.5. Effect of ALA on the Osmolyte Content in the Walnuts under PEG Stress

The soluble sugars, soluble proteins and proline were assessed in walnut leaves and roots, which are known as osmolytes compatible to participate in osmotic adjustment when the plants experienced drought stress. As shown in Figure 5, these compounds in the control were generally stable in the leaves or roots of the walnut during experiments, where the levels in the leaves were significantly higher than those in the roots. PEG stress increased their levels both in the leaves and roots, and ALA treatment further improved them.
In the aspect of soluble sugars, the content in the PEG-treated leaves was 31.87% and 19.78% higher than that of the control at the fifth and tenth days, respectively (p < 0.05). However, they were not different at the fifteenth day. This may indicate that PEG stress caused a transient increase in the leaf soluble sugar content, which declined when the stress was prolonged. However, ALA caused the leaf soluble sugars to be significantly higher than the control at all time points. The grand mean of the soluble sugars in the leaves of ALA pretreatment in the three times was 35% higher than that of the control and 14% higher than that of the PEG stress. More greatly, the grand mean in the roots of ALA pretreatment was 104% higher than that of the control, and 33% higher than that of the PEG. Thus, PEG induced soluble sugar accumulation in walnut plants, whereas ALA pretreatment significantly boosted a much greater quantity of soluble sugars in walnut plants under osmotic stress, which may be important for plants to adapt to the osmotic stress.
Similar situations can be found in the soluble proteins, which were higher in the leaves than in the roots. PEG stress induced more soluble proteins in walnuts, which were observed at the 5th day in the leaves and at the 10th day in the roots. It seems that the increase in soluble proteins in the leaves was more sensitive than that in the roots. However, when ALA pretreatment was used, significantly higher soluble proteins were induced in both leaves and roots of walnut under PEG stress at the 5th day. The effect became greater as time prolonged. Thus, exogenous ALA can stimulate an additional increase in soluble proteins in leaves and roots under osmotic stress.
Moreover, the accumulation of free proline in walnut tissues was beneficial to reduce drought damage, which was increased by 30%, 6% and 21% in leaves and 33%, 23% and 86% in roots, respectively, as compared the control with PEG stress. The application of ALA facilitated proline accumulation, which brought out the additional rise of 16% and 54% in leaves for the tenth and the fifteenth day and 46%, 94% and 89% for three time points in roots, respectively (p < 0.05). The findings manifest that ALA may promote the soluble sugars, soluble proteins and free proline in the walnuts’ leaves and roots, to withstand osmotic stress.

3.6. Effect of ALA on the Antioxidant Enzyme Activity under Osmotic Stress

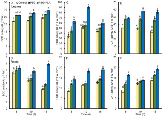
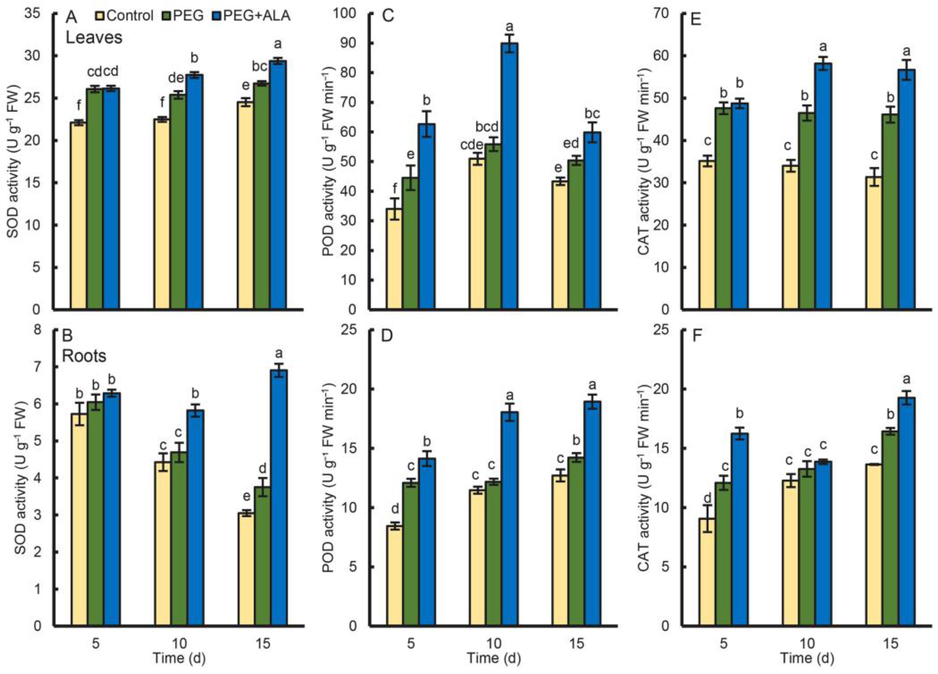
The activities of antioxidant enzymes, including SOD, POD and CAT were investigated to establish the roles of ALA in response to osmotic stress in walnuts, wherein their activities were consistently higher in the leaves than those in the roots (Figure 6). With respect to SOD, PEG stress significantly stimulated its activity in the leaves during the three time points; however, the enzyme activity in the roots of the PEG treatment group was significantly higher than that of the control only at the fifteenth day. It seems that the walnut cannot increase the SOD activity in the roots as greatly as that in the leaves when the plants are stressed by PEG. Nevertheless, ALA pretreatment significantly improved SOD activity both in the leaves and roots, especially at the middle and late stages. At the fifteenth day, the SOD activity in the ALA-treated roots was 226% as high as that of the control, which was also 184% as high as that of the PEG treatment.
Compared with SOD, the POD activity of walnut was rather sensitive to PEG stress. When the plants were stressed for five days, the POD activities in both leaves and roots were significantly higher than that of the control, and ALA induced additional increases in the enzyme activity. The grand means of POD activity in the leaves and roots at three sampling points in PEG stress were about 18% higher than the control, while those of ALA treatment were 57% and 66% higher than those of the control in leaves and roots, respectively.
Similarly to POD, the CAT activities were also sensitive to PEG stress. After PEG treatment for five days, the enzyme activities in the leaves and roots were both significantly higher than those of the control (p < 0.05). When ALA pretreatment was used, the enzyme activities were increased much more. However, when three time points were taken in consideration, the promotion of PEG stress on CAT activity in roots was not significant, although it was significantly increased in the leaves, being 39% higher than that of the control. These may imply that the enzyme activity in the roots may be crucial for plants to tolerate osmotic stress. When ALA pretreatment was used, the enzyme activities in both leaves and roots were promoted, by 63% and 41%, respectively, which are much higher than those of the control.

3.7. Effect of ALA on the ROS Content in Walnuts under Osmotic Stress

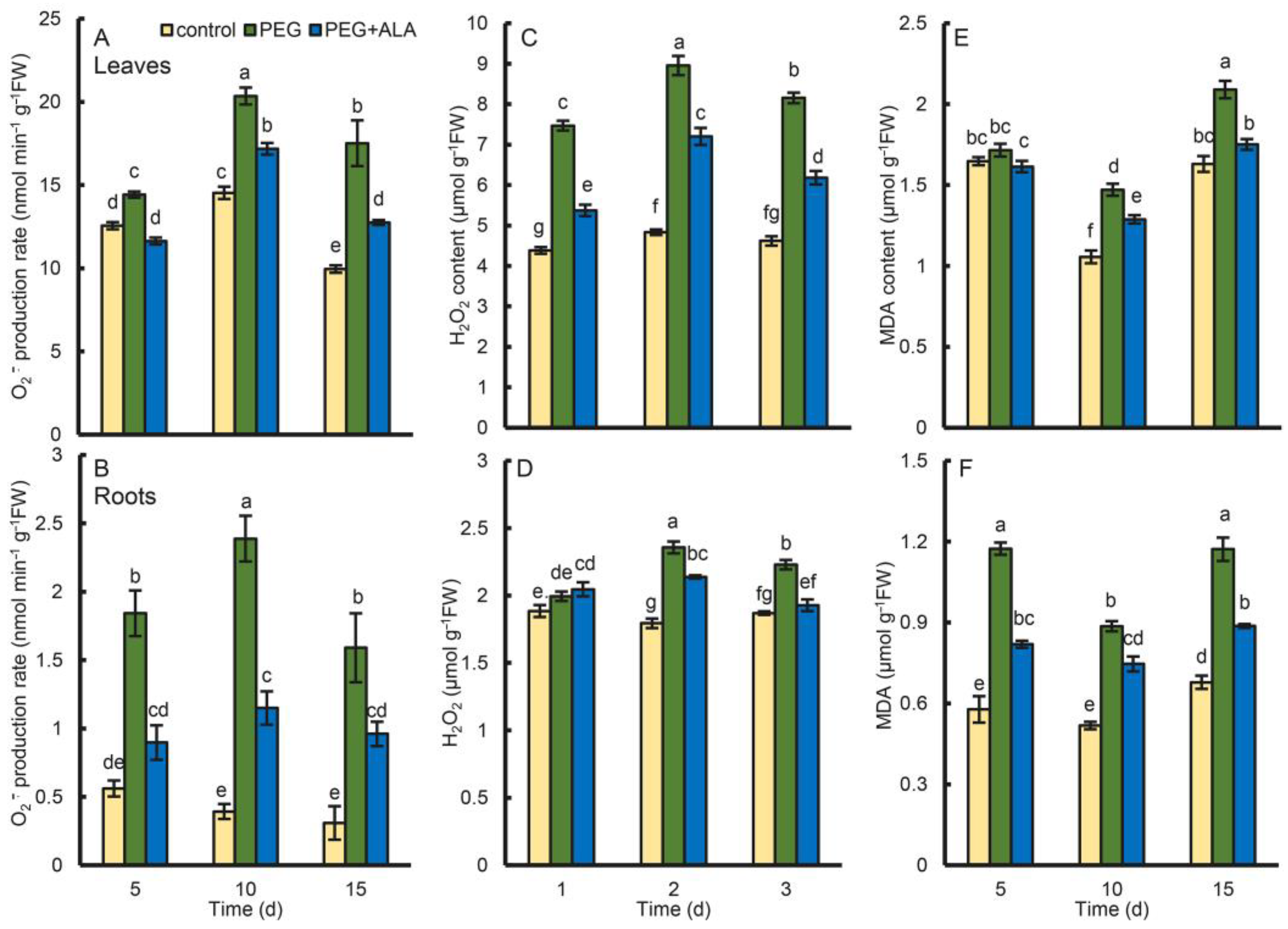
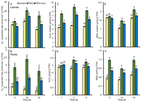
The PEG-induced osmotic stress brought walnuts drought injuries, and, as a result, their leaves and roots produced more ROS than the control (Figure 7). The superoxide anion (O2•−) production rates were dramatically increased by 15%, 40% and 76% in the leaves, and by 272%, 508% and 415% in the roots, for three time points, respectively (p < 0.05), indicating that the walnut roots produce much more O2•− than the leaves under osmotic stress. Conversely, ALA pretreatment significantly depressed the rise in the O2•− production rate induced by PEG stress at all time points. The grand means of the three time points of PEG + ALA were 79% and 52% of that of PEG in the leaves and roots, respectively (Figure 7A,B). Thus, ALA treatment greatly suppressed O2•− production under osmotic stress, especially in the roots of walnut plants.
H2O2, another ROS component, was increased when walnut was stressed by PEG, especially in the leaves, while ALA pretreatment significantly inhibited the increase. The grand means of H2O2 at three time points in the PEG stress group were 78% and 19% higher than that of the control leaves and roots, respectively, while the grand means in the ALA pretreatment group were 76% and 93% higher than that of the PEG stress group, respectively (Figure 7C,D). Therefore, the response of H2O2 to PEG or PEG + ALA was more sensitive in the leaves than that in the roots.
Meanwhile, under osmotic stress, the accumulation of ROS in walnut cells resulted in membrane lipid peroxidation (LPO) and generation of MDA. Therefore, the MDA content is an important indicator to evaluate stress injury. From Figure 7E,F, the MDA content in the walnuts was increased under PEG stress, especially in the roots, while ALA significantly inhibited the increases. The grand means of the MDA content of three time points in the PEG stress were 22% and 82% higher than that of the control leaves and roots, respectively, while the grand means of the ALA pretreatment were 88% and 76% of the PEG stress, respectively. Thus, PEG stress may cause more membrane injuries in walnut roots than leaves, while ALA can protect both leaves and roots under osmotic stress.

3.8. ALA Regulates DREB2A Expression of Walnut Plants under Osmotic Stress

The effects of ALA on the expressions of DEHYDRATION-RESPONSIVE ELEMENT-BINDING PROTEIN 2A (DREB2A) under osmotic stress are shown in Figure 8. All of the DREB2A gene expressions in the leaves and roots of walnut detected in the present study were responsive to PEG stress; however, different genes showed different expression patterns. In the leaves, four DREB2A genes (including DREB2A1/3/4/9) were upregulated by PEG stress, in which the expressions of DREB2A1/3 were further upregulated by ALA. On the other hand, the expressions of DREB2A2/5/6/7/8 were downregulated by PEG stress, but ALA pretreatment alleviated the downregulation. In the roots, the expression of DREB2A8 was greatly stimulated by PEG stress, being increased by about 27-fold, while ALA depressed the gene expression induced by PEG. The similar expression pattern can be seen in DREB2A1/3/4/5/6/7/9. These may demonstrate that most of the DREB2A gene expressions were upregulated in response to drought stress, although it does not mean that they are responsible for drought tolerance. Instead, this may simply be an emergent response to the adverse stress. Exceptionally, the expression of DREB2A2 was downregulated by PEG but upregulated by ALA, indicating that DREB2A2 is sensitive to osmotic stress, while ALA pretreatment prevented the downregulation of gene expression. Thus, all DREB2A expressions were responsive to PEG as well as ALA treatment, but the responses of different genes were different, and the same genes in different tissues exhibited different responses, which might play distinct roles.

3.9. ALA Regulates Expression of PIP and TIP in Walnut Plants under Osmotic Stress

Figure 9A shows that the expression of PIP and TIP genes in walnut leaves were all downregulated, but only a few of them (PIP1;4 and TIP1;1) were upregulated by ALA pretreatment. The expressions of other genes were not responsive to ALA pretreatment or were even further downregulated. On other hand, the expressions of PIP1;4 and TIP1;1, as well as TIP1;2, in the roots were significantly upregulated by PEG stress; however, ALA pretreatment prevented the increases. The other genes, including PIP1;1, PIP1;3, PIP1;5 and TIP120 in the roots were downregulated by PEG, but prevented by ALA pretreatment. These suggest that different aquaporin genes had different expression models in different walnut tissues.

4. Discussion

As a potential growth regulator, ALA can promote plant growth and strengthen plant tolerance to various environmental stresses, including abiotic stresses (such as drought [20,23], salinity [39] and extreme temperatures [40,41]) and biotic stresses (such as pathogen infection [42]). With regard to various crops which suffered from drought stress, their drought tolerance was all improved by applying exogenous ALA on wheat [21,43], Kentucky bluegrass [20], sunflower [25], rapeseed [44] and cucumber [17]. Although the effect of exogenous ALA has been gradually clarified over the years, the mechanism of ALA-mediated drought resistance has not been thoroughly revealed. Previous studies indicated that ALA induced masses of molecular and physiological reactions to enhance the drought tolerance, which were mainly involved in promotion of osmotic regulation, photosynthesis, and anti-oxidation in plant cells [15,45].
In our study, the beneficial effect of ALA was verified on drought-stressed walnuts, for which ALA promoted the drought resistance of walnuts exhibiting various physiological and biochemical manifestations. Like the RWC of cultivated strawberries under drought conditions [23], the lower RWC in walnut leaves and higher RWC in the substrate caused by osmotic stress can be alleviated by ALA treatment (Figure 1). These demonstrate that the ALA-treated roots can absorb more water from the culture substrate to maintain higher levels of the leaf RWC than the PEG-stressed walnuts. Accordingly, ALA-mediated osmotic adjustment (OA), a common mechanism for plants to overcome water-deficient stress, effectively promoted the turgor for a better water balance of walnuts under osmotic stress. In addition, some aquaporins of plasma membrane PIPs and tonoplast TIPs are particularly involved in water absorption, which were significantly inhibited by the drought stress. Nevertheless, the interrupted water absorption and transport caused by PEG stress can be alleviated by ALA treatment, partly due to its active upregulation of some aquaporin genes in leaves (PIP1;4 and TIP1;1) and roots (PIP1;1, PIP1;3, PIP1;5 and TIP120) in walnuts (Figure 9). It can be inferred that ALA improves the absorption of more water from the substrate, which might be the crucial mechanism in the drought tolerance of walnuts, consistent with our previous study in strawberry tissues [23]. It is well known that hormonal regulation of SA, CTK and ABA is also one of the mechanisms in the response to drought, such as the stress-induced pathways mediated by ABA [7]. ALA also actively regulated the expression levels of DREB2A genes to cope with osmotic stress in our study (Figure 8), which can induce the expression levels of ABA-independent stress-responsive genes by post-translational modification, as a way to adapt to osmotic stress [10].
In addition, salicylic acid was shown to increase the abscisic acid content, leading to the accumulation of proline, one of the osmotic regulation elements for OA [46]. The osmotic stress leads to the accumulation of osmotically active solutes, soluble sugars, soluble proteins, and free proline, and, interestingly enough, the exogenous ALA application further assisted in facilitating accumulation of these solutes to heighten the OA in walnut leaves and roots (Figure 5). Especially, the further accumulation of free proline in walnut leaves and roots was consistent with the phenomena reported in wheat [21], Chinese rye grass [22] and strawberry [23] under drought stress. These demonstrate that ALA stimulates the osmotic solute production, which can attract the accumulation of compatible solutes to reinforce hydration and maintain turgor in cells [9,47]. Therefore, ALA-mediated accumulation of soluble sugars, soluble proteins and free proline for OA may play an important role in improving the drought tolerance of walnuts.
Here again, the supplementation of exogenous ALA can ameliorate damages to the photosynthesis of light reaction, dark reaction and chlorophyll biosynthesis, which are destroyed by osmotic stress [23], such as by the degradation of photosynthetic pigments, hampering photosystems, electron transport chains and CO2 fixation [48]. This study found that ALA significantly improved leaf photosynthetic gas exchanges of walnut under PEG stress (Figure 2). As agreed with the previous reports, PEG stress promoted stomatal closure, which depressed water loss with lower transpiration [8,49], but the net photosynthetic rate and carboxylation efficiency were accordingly decreased dramatically in walnuts. Therefore, the WUE was not increased but decreased greatly. Conversely, the ALA pretreatment improved stomatal conductance; however, it did not significantly increase transpiration, but it decreased leaf temperature, and increased carboxylation efficiency and WUE. It means that the Gs increase induced by ALA does not necessarily decrease WUE, while stomatal closure induced by PEG does not necessarily increase WUE. The key factor must be the photosynthesis under drought stress. Furthermore, stomata closure is a fast response of plants to drought stress [8], which may block CO2 intake into mesophyll cells [49], and stomatal limitation is generally considered as the major photosynthetic inhibition factor under water deficit stress [50,51]. However, in the present study, the stomatal limitation in the PEG stress was lowest, while ALA pretreatment slightly increased the Ls of walnut leaves (Figure 2G). This means that Ls was not a suitable indictor of ALA to evaluate plant drought tolerance in walnuts.
ALA exhibited a positive effect on the photochemical activities, which further reflected its recovery role in walnut photosynthesis under osmotic stress in this study (Figure 3 and Table 2). It is worth noting that ALA can recover the drought, resulting in lower values of late fluorescence (I and P phases), higher MRmin and lower MRmax (Figure 3), which suggests that ALA can impair the oxidation–reduction efficiency of plastocyanin (PC+) and P700+ in PSI reaction centers under osmotic stress [52,53,54]. The diminished photochemical efficiency of the photosystems under PEG-induced drought stress could be mitigated by ALA application, which was also reported in strawberry [23], wheat [55] and oilseed rape [44]. Moreover, ALA can recover the fluorescence parameters disarranged by PEG stress, such as the ALA-increased φPo (Fv/Fm), PIabs and PItotal, and the ALA-decreased φDo and Wk (Table 2). One of the most common and important parameters, φPo (Fv/Fm), representing the maximum photochemical efficiency of PSII, was improved by ALA pretreatment in walnuts and other plants. The increasing of φDo, on account of drought, might indicate that plants possess the defense mechanism to response to photo-damage through more heat dissipation [56]. Hence, the decreasing of φDo in ALA-treated leaves demonstrated that exogenous ALA might mitigate the threat of photo-damage, and less heat dissipation occurred in walnut leaves. Similarly, the exogenous ALA also reduced the Wk values, demonstrating that it could protect the OEC at the donor side of the PSII center from stress damage [57]. All of these illustrate that ALA can alleviate the damages to photochemical electron transfer, and PSI and PSII reaction centers, as well as photosynthetic efficiency due to osmotic stress; therefore, the photosynthetic capacity index PIabs and the total photosynthetic capacity PItotal (PSI + PSII) are sensitive to ALA pretreatment [23,57].
In addition, PEG stress significantly decreased the content of chlorophyll a and chlorophyll b in walnut leaves, which was significantly alleviated by ALA application (Table 3). It is well known that ALA is an essential precursor of chlorophyll biosynthesis and an important regulator of porphyrin biosynthesis [58], and the escalation of chlorophyll content regulated by exogenous ALA has been previously reported in drought-induced rapeseed [44], wheat [55], sunflower [25], and alfalfa [59]. The increased chlorophylls induced by ALA under drought stress might be the result of synthesis acceleration or/and breakdown deceleration [48,60]. In the present study, the expressions of HEMA1, HEMG1, CHLG and PORB were significantly upregulated by application of ALA, while CAO expression was downregulated (Figure 4). HEMA1, HEMG1, PORB and CHLG are responsible for encoding key enzymes of chlorophyll biosynthesis in higher plants [13,61], indicating that ALA-mediated upregulation can contribute to the chlorophyll increase for protecting photosynthesis pigments in walnut leaves under osmotic stress. On the other hand, the CAO gene, encoding chlorophyllide a oxygenase, was significantly upregulated under PEG stress but downregulated after ALA treatment, demonstrating that osmotic stress accelerates chlorophyll decomposition, but ALA might prevent the effect of PEG. This might also contribute to maintaining the chlorophyll levels of walnut leaves. Furthermore, the higher levels of the chlorophyll a/b ratio in walnut leaves might suggest that ALA induces the accumulation of chlorophyll, especially chlorophyll a, which could maintain the strict organization of pigments in photosystems [62] for drought tolerance enhancement.
ALA can mitigate drought-induced oxidative damage through strengthening the defense mechanism to scavenge ROS, as previously reported in many studies [17,20,22,23,63,64]. Similarly here, drought stress resulted in increases in the H2O2 content and O2•− production rates in the walnut leaves and roots, while ALA can reduce these toxic by-products in the Mehler reaction of chloroplasts, electron transport chain of mitochondria and photorespiration of peroxisomes (Figure 7A,B) [65,66]. ALA may activate two arms of the antioxidant machinery to resist drought conditions in walnuts (Figure 6), including enzymatic components like SOD, POD and CAT, and the non-enzymatic antioxidants like proline [8,66]. It is known that the antioxidant enzymes catalyze ROS degradation, and maintain the relative equilibrium between the production and the elimination of the intracellular H2O2 and O2•− [67]. Under drought stress, the SOD activities were detected to be upregulated in walnuts, as well as potato [68] and maize [69], dismutating O2•− into H2O2 and O2 to form the defense frontline against ROS. Afterwards, CAT activities were enhanced in walnuts by PEG as well, which were responsible for reducing H2O2 into H2O and O2, along with a high affinity and catalysis rate for H2O2 [66]. Similarly, drought stress also resulted in an increase in the activities of POD, which plays key roles in ROS homeostasis, and detoxifies the relatively stable H2O2 in plant cells under abiotic stress [70]. The activities of SOD, POD and CAT were further improved by ALA for further activating anti-oxidation; therefore, the ALA-stimulated key antioxidant enzyme activities may be crucial for alleviating osmotic stress in walnuts. On the other hand, the increasing of proline content occurred in various drought-stressed plants after the supplementation of ALA, for which the non-enzymatic antioxidants of osmolyte proline can participate in both osmotic regulation and oxidation resistance, and is considered as an efficient scavenger of ROS, to counteract the deleterious effects of ROS substrates to protect the cell components from stress-triggered damages [66]. These manifest that ALA mediates the accumulation of proline to prevent LPO damages among different cell components under water deficit conditions [71]. In addition to the beneficial effect on walnuts, the application of ALA can further enhance the upregulations of these antioxidant enzymes and non-enzymatic substrates to remove ROS and eliminate ROS-induced damage in rapeseeds [19] and sunflowers [64]. Persistent drought leads to an imbalance between the production and elimination of ROS; these reactive substrates can give rise to various oxidative damages to plant cells, such as membrane damage, indicated by LPO, which generates MDA [72]. The accumulation of MDA under drought stress can also be decreased in walnuts by ALA treatment (Figure 7E,F). Therefore, ALA may enhance the drought tolerance partly by heightening the antioxidant systems in plants.
Overall, plants have evolved a series of mechanisms to drought stress, as well as other environmental stresses, including sensing and signaling mediated by hormones or others, OA, antioxidant systems and so on [73]. According to these mechanisms of action, one of the important management strategies to improve the stress tolerance and yield is widely reported; that is, the application of exogenous PGRs (ALA, ABA, γ-aminobutyric acid, brassinolide, etc.) [74,75,76] and the use of other substances (silicon nanoparticles) [77]. In this study, the application of ALA increased the photosynthetic capacity, and stimulated the OA and antioxidant systems. All of these were beneficial to improve the drought tolerance of walnuts, but the ALA-triggered mechanisms should be explored further in plants.

5. Conclusions

To sum up, this study revealed the beneficial effect of exogenous ALA on walnuts under PEG-induced osmotic stress. The exogenous ALA pretreatment resulted in the increasing of leaf RWC, chlorophyll content, photochemical activities, gas exchange and compatible osmotic solutes, as well as the decreasing of ROS and MDA content in osmotically stressed walnuts. All of these manifest that the ALA enhances the photosynthesis, osmotic adjustment and antioxidant systems to strengthen the walnuts’ osmotic stress tolerance, which provides a good basis for the application of ALA in walnut production.

Author Contributions

Conceptualization, L.W. and Y.A.; experimental, C.L., B.W. and J.Z.; formal analysis, Y.Z. and C.L.; writing original draft, Y.Z.; writing—review and editing, Y.Z., Y.A. and L.W. All authors have read and agreed to the published version of the manuscript.

Funding

This research was funded by the National Natural Science Foundation of China (32172512, 32272641), Jiangsu Agricultural Science and Technology Innovation Fund [CX(20)2023], the Jiangsu Special Fund for Frontier Foundation Research of Carbon Peaking and Carbon Neutralization (BK20220005), and the Fundamental Research Funds for the Central Universities (KYYJ202004). The funders had no roles in study design, data collection and analysis, decision to publish, or preparation of the manuscript.

Data Availability Statement

The data presented in this study are available on request from the corresponding author.

Acknowledgments

Thanks to Guizhi Feng for his guidance in the experiment.

Conflicts of Interest

The authors declare no conflict of interest.

References

  1. Abdallah, I.B.; Tlili, N.; Martinez-Force, E.; Rubio, A.G.P.; Perez-Camino, M.C.; Albouchi, A.; Boukhchina, S. Content of carotenoids, tocopherols, sterols, triterpenic and aliphatic alcohols, and volatile compounds in six walnuts (Juglans regia L.) varieties. Food Chem. 2015, 173, 972–978. [Google Scholar] [CrossRef] [PubMed]
  2. Zhu, Q.Q.; Chen, Q.Q.; Yin, Z.Y.; Zhang, J.; Zhang, Y.S.; Xu, Y.M. Application status and fertilization technology of organic fertilizer in normal walnut orchard in the southern Xinjiang. Agric. Sci.-Technol. Comm. 2023, 3, 238–241. [Google Scholar]
  3. Shi, S.Q. Study on Mechanism of Drought Resistance in Four Species Seedlings. Master’s Thesis, Heibei Agricultural University, Baoding, China, 2003. [Google Scholar]
  4. Miao, H.X. Study on Response of Characteristics of Six Tree Species to Drought Stress. Master’s Thesis, Shandong Agricultural University, Tai’an, China, 2005. [Google Scholar]
  5. Wang, Z.Y. Preliminary Studies on Drought Resistance of Different Walnut Cultivars. Master’s Thesis, Northwest A & F University, Xianyang, China, 2014. [Google Scholar]
  6. Yang, G.Y.; Chen, S.W.; Li, D.P.; Gao, X.Q.; Su, L.Y.; Peng, S.B.; Zhai, M.Z. Multiple transcriptional regulation of walnut JrGSTTau1 gene in response to osmotic stress. Physiol. Plant 2019, 166, 748–761. [Google Scholar] [CrossRef] [PubMed]
  7. Farooq, M.; Wahid, A.; Kobayashi, N.; Fujita, D.; Basra, S.M.A. Plant drought stress: Effects, mechanisms and management. Agron. Sustain. Dev. 2009, 29, 185–212. [Google Scholar] [CrossRef]
  8. Razi, K.; Muneer, S. Drought stress-induced physiological mechanisms, signaling pathways and molecular response of chloroplasts in common vegetable crops. Crit. Rev. Biotechnol. 2021, 41, 669–691. [Google Scholar] [CrossRef]
  9. Mukarram, M.; Choudhary, S.; Kurjak, D.; Petek, A.; Khan, M.M.A. Drought: Sensing, signalling, effects and tolerance in higher plants. Physiol. Plant 2021, 172, 1291–1300. [Google Scholar] [CrossRef]
  10. Agarwal, P.K.; Jha, B. Transcription factors in plants and ABA dependent and independent abiotic stress signalling. Biol. Plant. 2010, 54, 201–212. [Google Scholar] [CrossRef]
  11. Chan, Z.L.; Shi, H.T. Improved abiotic stress tolerance of bermudagrass by exogenous small molecules. Plant Signal. Behav. 2015, 10, e991577. [Google Scholar] [CrossRef]
  12. Tanaka, R.; Tanaka, A. Tetrapyrrole biosynthesis in higher plants. Annu. Rev. Plant Biol. 2007, 58, 321–346. [Google Scholar] [CrossRef]
  13. Wu, Y.; Liao, W.B.; Dawuda, M.M.; Hu, L.L.; Yu, J.H. 5-Aminolevulinic acid (ALA) biosynthetic and metabolic pathways and its role in higher plants: A review. Plant Growth Regul. 2019, 87, 357–374. [Google Scholar] [CrossRef]
  14. Akram, N.A.; Ashraf, M. Regulation in plant stress tolerance by a potential plant growth regulator, 5-aminolevulinic acid. J. Plant Growth Regul. 2013, 32, 663–679. [Google Scholar] [CrossRef]
  15. Rhaman, M.S.; Imran, S.; Karim, M.M.; Chakrobortty, J.; Hasanuzzaman, M. 5-Aminolevulinic acid-mediated plant adaptive responses to abiotic stress. Plant Cell Rep. 2021, 40, 1451–1469. [Google Scholar] [CrossRef] [PubMed]
  16. Jiao, Z.Y.; Han, S.; Yu, X.; Huang, M.B.; Lian, C.L.; Liu, C.; Yin, W.L.; Xia, X.L. 5-Aminolevulinic acid pretreatment mitigates drought and salt stresses in poplar plants. Forests 2021, 12, 1112. [Google Scholar] [CrossRef]
  17. Li, D.M.; Zhang, J.; Sun, W.J.; Li, Q.; Dai, A.H.; Bai, J.G. 5-Aminolevulinic acid pretreatment mitigates drought stress of cucumber leaves through altering antioxidant enzyme activity. Sci. Hortic. 2011, 130, 820–828. [Google Scholar] [CrossRef]
  18. Helaly, M.N.; El-Hoseiny, H.M.; Elsheery, N.I.; Kalaji, H.M.; Santos-Villalobos, S.D.; Wrobel, J.; Hassan, I.F.; Gaballah, M.S.; Abdelrhman, L.A.; Mira, A.M.; et al. 5-Aminolevulinic acid and 24-epibrassinolide improve the drought stress resilience and productivity of banana plants. Plants 2022, 11, 743. [Google Scholar] [CrossRef]
  19. Liu, D.; Wu, L.T.; Naeem, M.S.; Liu, H.B.; Deng, X.Q.; Xu, L.; Zhang, F.; Zhou, W.J. 5-Aminolevulinic acid enhances photosynthetic gas exchange, chlorophyll fluorescence and antioxidant system in oilseed rape under drought stress. Acta Physiol. Plant. 2013, 35, 2747–2759. [Google Scholar] [CrossRef]
  20. Niu, K.J.; Ma, X.; Liang, G.L.; Ma, H.L.; Jia, Z.F.; Liu, W.H.; Yu, Q.Q. 5-Aminolevulinic acid modulates antioxidant defense systems and mitigates drought-induced damage in Kentucky bluegrass seedlings. Protoplasma 2017, 254, 2083–2094. [Google Scholar] [CrossRef]
  21. Akram, N.A.; Kausar, S.; Farid, N.; Ashraf, M.; Al-Qurainy, F. 5-Aminolevulinic acid induces regulation in growth, yield and physio-biochemical characteristics of wheat under water stress. Sains Malays. 2018, 47, 661–670. [Google Scholar] [CrossRef]
  22. Song, J.X.; Anjum, S.A.; Zong, X.F.; Yan, R.; Wang, L.; Yang, A.J.; Ashraf, U.; Zohaib, A.; Lv, J.; Zhang, Y.; et al. Combined foliar application of nutrients and 5-aminolevulinic acid (ALA) improved drought tolerance in Leymus chinensis by modulating its morpho-physiological characteristics. Basic Appl. Ecol. 2017, 68, 474–482. [Google Scholar] [CrossRef]
  23. Cai, C.; He, S.; An, Y.; Wang, L. Exogenous 5-aminolevulinic acid improves strawberry tolerance to osmotic stress and its possible mechanisms. Physiol. Plant 2020, 168, 948–962. [Google Scholar] [CrossRef]
  24. Zhang, Z.P.; Miao, M.M.; Wang, C.L. Effects of ALA on photosynthesis, antioxidant enzyme activity, and gene expression, and regulation of proline accumulation in tomato seedlings under NaCl stress. J. Plant Growth Regul. 2015, 34, 637–650. [Google Scholar] [CrossRef]
  25. Sher, A.; Tahira, A.S.; Sattar, A.; Nawaz, A.; Qayyum, A.; Hussain, S.; Manaf, A. Foliage application of 5-aminolevulinic acid alleviates drought stress in sunflower (Helianthus annuus L.) through improving stay green and antioxidant enzymes activities. Acta Physiol. Plant. 2021, 43, 22. [Google Scholar] [CrossRef]
  26. Hoagland, D.R.; Arnon, D.I. The water culture method for growing plants without soil. Calif. Agric. Exp. Stn. Circ. 1950, 347, 357–359. [Google Scholar]
  27. Liang, R.L.; Wang, L.J.; Wang, X.Q.; Zhang, J.T.; Gan, X. Effects of Exogenous ALA on leaf photosynthesis, photosynthate transport, and sugar accumulation in Prunus persica L. Forests 2023, 14, 723. [Google Scholar] [CrossRef]
  28. Khan, W.; Prithiviraj, B.; Smith, D.L. Photosynthetic responses of corn and soybean to foliar application of salicylates. J. Plant Physiol. 2003, 160, 485–492. [Google Scholar] [CrossRef]
  29. Meher; Shivakrishna, P.; Reddy, K.A.; Rao, D.M. Effect of PEG-6000 imposed drought stress on RNA content, relative water content (RWC), and chlorophyll content in peanut leaves and roots. Saudi J. Biol. Sci. 2018, 25, 285–289. [Google Scholar] [CrossRef]
  30. Chen, H.; Xu, L.; Li, X.; Wang, D.; An, Y.Y.; Wang, L.J. Effect of 5-aminolevulinic acid on leaves of rhododendron and camphor of cold tolerance. J. Plant Physiol. 2017, 53, 2103–2113. [Google Scholar]
  31. Hendrix, D.L. Rapid extraction and analysis of non-structural carbohydrates in plant tissues. Crop Sci. 1993, 33, 1301–1311. [Google Scholar] [CrossRef]
  32. Bradford, M.M. A rapid and sensitive method for the quantitation of microgram quantities of protein utilizing the principle of protein-dye binding. Anal. Biochem. 1976, 72, 248–254. [Google Scholar] [CrossRef]
  33. Kazemi, N.; Khavari-Nejad, R.A.; Fahimi, H.; Saadatmand, S.; Nejad-Sattari, T. Effects of exogenous salicylic acid and nitric oxide on lipid peroxidation and antioxidant enzyme activities in leaves of Brassica napus L. under nickel stress. Sci. Hortic. 2010, 126, 402–407. [Google Scholar] [CrossRef]
  34. Zhao, S.; Xu, C.; Zou, Q.; Meng, Q. Improvements of method for measurement of malondialdhyde in plant tissues. Plant Physiol. Comm. 1994, 30, 207–210. (In Chinese) [Google Scholar]
  35. Uchida, A.; Jagendorf, A.T.; Hibino, T.; Takabe, T.; Takabe, T. Effects of hydrogen peroxide and nitric oxide on both salt and heat stress tolerance in rice. Plant Sci. 2002, 163, 515–523. [Google Scholar] [CrossRef]
  36. Qian, C.L.; Zhao, Y.Y.; Mi, H.B.; Chen, X.H.; Guo, L.J.; Mao, L.C. Role of antioxidative system during the development and senescence of cucumber fruit. Biol. Plant. 2012, 56, 793–797. [Google Scholar] [CrossRef]
  37. Bates, L.S.; Waldren, R.P.; Teare, I.D. Rapid determination of free proline for water-stress studies. Plant Soil 1973, 39, 205–207. [Google Scholar] [CrossRef]
  38. Livak, K.J.; Schmittgen, T.D. Analysis of relative gene expression data using real-time quantitative PCR and the 2−ΔΔCT method. Methods 2001, 25, 402–408. [Google Scholar] [CrossRef]
  39. Xiong, J.L.; Wang, H.C.; Tan, X.Y.; Zhang, C.L.; Naeem, M.S. 5-Aminolevulinic acid improves salt tolerance mediated by regulation of tetrapyrrole and proline metabolism in Brassica napus L. seedlings under NaCl stress. Plant Physiol. Biochem. 2018, 124, 88–99. [Google Scholar] [CrossRef]
  40. Anwar, A.; Yan, Y.; Liu, Y.M.; Li, Y.S.; Yu, X.C. 5-Aminolevulinic acid improves nutrient uptake and endogenous hormone accumulation, enhancing low-temperature stress tolerance in cucumbers. Int. J. Mol. Sci. 2018, 19, 3379. [Google Scholar] [CrossRef] [PubMed]
  41. Katuwal, K.B.; Rowe, S.; Jespersen, D. The use of 5-aminolevulinic acid to reduce heat-stress-related damages in tall fescue. Crop Sci. 2021, 61, 3206–3218. [Google Scholar] [CrossRef]
  42. Elansary, H.O.; El-Ansary, D.O.; Al-Mana, F.A. 5-Aminolevulinic acid and soil fertility enhance the resistance of rosemary to Alternaria dauci and Rhizoctonia solani and modulate plant biochemistry. Plants 2019, 8, 585. [Google Scholar] [CrossRef] [PubMed]
  43. Ostrowska, A.; Biesaga-Koscielniak, J.; Grzesiak, M.T.; Hura, T. Physiological responses of spring wheat to 5-aminolevulinic acid under water stress applied at seedling stage. Cereal Res. Commun. 2019, 47, 32–41. [Google Scholar] [CrossRef]
  44. Liu, D.; Hu, L.Y.; Ali, B.; Yang, A.G.; Wan, G.L.; Xu, L.; Zhou, W.J. Influence of 5-aminolevulinic acid on photosynthetically related parameters and gene expression in Brassica napus L. under drought stress. Soil Sci. Plant Nutr. 2016, 62, 254–262. [Google Scholar] [CrossRef]
  45. Tan, S.Y.; Cao, J.; Xia, X.L.; Li, Z.H. Advances in 5-aminolevulinic acid priming to enhance plant tolerance to abiotic stress. Int. J. Mol. Sci. 2022, 23, 702. [Google Scholar] [CrossRef] [PubMed]
  46. Shakirova, F.M.; Sakhabutdinova, A.R.; Bezrukova, M.V.; Fatkhutdinova, R.A.; Fatkhutdinova, D.R. Changes in the hormonal status of wheat seedlings induced by salicylic acid and salinity. Plant Sci. 2003, 164, 317–322. [Google Scholar] [CrossRef]
  47. Blum, A. Osmotic adjustment is a prime drought stress adaptive engine in support of plant production. Plant Cell Environ. 2017, 40, 4–10. [Google Scholar] [CrossRef]
  48. Ashraf, M.; Harris, P.J.C. Photosynthesis under stressful environments: An overview. Photosynthetica 2013, 51, 163–190. [Google Scholar] [CrossRef]
  49. McDowell, N.G.; Sevanto, S. The mechanisms of carbon starvation: How, when, or does it even occur at all? New Phytol. 2010, 186, 264–266. [Google Scholar] [CrossRef]
  50. Galmes, J.; Medrano, H.; Flexas, J. Photosynthetic limitations in response to water stress and recovery in Mediterranean plants with different growth forms. New Phytol. 2007, 175, 81–93. [Google Scholar] [CrossRef]
  51. Bousba, R.; Ykhlef, N.; Djekoun, A. Water use efficiency and flat leaf photosynthetic in response to water deficit of durum wheat (Triticum durum Desf). World J. Agric.Sci. 2009, 5, 609–616. [Google Scholar]
  52. Schansker, G.; Srivastava, A.; Govindjee; Strasser, R.J. Characterization of the 820-nm transmission signal paralleling the chlorophyll a fluorescence rise (OJIP) in pea leaves. Funct. Plant Biol. 2003, 30, 785–796. [Google Scholar] [CrossRef]
  53. Ceppi, M.G.; Oukarroum, A.; Cicek, N.; Strasser, R.J.; Schansker, G. The IP amplitude of the fluorescence rise OJIP is sensitive to changes in the photosystem I content of leaves: A study on plants exposed to magnesium and sulfate deficiencies, drought stress and salt stress. Physiol. Plant 2012, 144, 277–288. [Google Scholar] [CrossRef]
  54. Zivcak, M.; Kalaji, H.M.; Shao, H.B.; Olsovska, K.; Brestic, M. Photosynthetic proton and electron transport in wheat leaves under prolonged moderate drought stress. J. Photochem. Photobiol. B-Biol. 2014, 137, 107–115. [Google Scholar] [CrossRef] [PubMed]
  55. Wang, Y.; Wei, S.; Wang, J.; Su, X.; Zhao, H. Exogenous application of 5-aminolevulinic acid on wheat seedlings under drought stress enhances the transcription of psbA and psbD genes and improves photosynthesis. Braz. J. Bot. 2018, 41, 275–285. [Google Scholar] [CrossRef]
  56. Maxwell, K.; Johnson, G.N. Chlorophyll fluorescence—A practical guide. J. Exp. Bot. 2000, 51, 659–668. [Google Scholar] [CrossRef]
  57. Guisse, B.; Srivastava, A.; Strasser, R.J. Effects of high temperature and water stress on the polyphasic chlorophyll a fluorescence transient of potato leaves. In Proceedings of the Xth International Photosynthesis Congress, Montpllier, France, 20–25 August 1995; pp. 913–916. [Google Scholar]
  58. Phour, M.; Ghai, A.; Rose, G.; Dhull, N.; Sindhu, S.S. Role of aminolevulinic acid in stress adaptation and crop productivity. Int. J. Curr. Microbiol. Appl. Sci. 2018, 7, 1516–1524. [Google Scholar] [CrossRef]
  59. Han, R.H.; Gao, G.J.; Li, Z.D.; Dong, Z.X.; Guo, Z.F. Effects of exogenous 5-aminolevulinic acid on seed germination of alfalfa (Medicago varia Martyn.) under drought stress. Grassl. Sci. 2018, 64, 100–107. [Google Scholar] [CrossRef]
  60. Harpaz-Saad, S.; Azoulay, T.; Arazi, T.; Ben-Yaakov, E.; Mett, A.; Shiboleth, Y.M.; HoRtensteiner, S.; Gidoni, D.; Gal-On, A.; Eyal, G.Y. Chlorohyllase is a rate-limiting enzyme in chlorophyll catabolism and is posttranslationally regulated. Plant Cell 2007, 19, 1007–1022. [Google Scholar] [CrossRef]
  61. Shalygo, N.; Czarnecki, O.; Peter, E.; Grimm, B. Expression of chlorophyll synthase is also involved in feedback-control of chlorophyll biosynthesis. Plant Mol. Biol. 2009, 71, 425–436. [Google Scholar] [CrossRef]
  62. Hirashima, M.; Satoh, S.; Tanaka, R.; Tanaka, A. Pigment shuffling in antenna systems achieved by expressing prokaryotic chlorophyllide a oxygenase in Arabidopsis. J. Biol. Chem. 2006, 281, 15385–15393. [Google Scholar] [CrossRef] [PubMed]
  63. Liu, D.; Pei, Z.F.; Naeem, M.S.; Ming, D.F.; Liu, H.B.; Khan, F.; Zhou, W.J. 5-Aminolevulinic acid activates antioxidative defence system and seedling growth in Brassica napus L. under water-deficit stress. J. Agron. Crop Sci. 2011, 197, 284–295. [Google Scholar] [CrossRef]
  64. Rasheed, R.; Yasmeen, H.; Hussain, I.; Iqbal, M.; Parveen, A. Exogenously applied 5-aminolevulinic acid modulates growth, secondary metabolism and oxidative defense in sunflower under water deficit stress. Physiol. Mol. Biol. Plants 2020, 26, 489–499. [Google Scholar] [CrossRef]
  65. Mittler, R. Oxidative stress, antioxidants and stress tolerance. Trends Plant Sci. 2002, 7, 405–410. [Google Scholar] [CrossRef]
  66. Kaushik, D.; Aryadeep, R. Reactive oxygen species (ROS) and response of antioxidants as ROS-scavengers during environmental stress in plants. Front. Environ. Sci. 2014, 2, 53. [Google Scholar]
  67. Scandalios, J.G. The rise of ROS. Trends Biochem. Sci. 2002, 27, 483–486. [Google Scholar] [CrossRef] [PubMed]
  68. Boguszewska, D.; Grudkowska, M.; Zagdanska, B. Drought-responsive antioxidant enzymes in potato (Solanum tuberosum L.). Potato Res. 2010, 53, 373–382. [Google Scholar] [CrossRef]
  69. Benesova, M.; Hola, D.; Fischer, L.; Jedelsky, P.L.; Hnilicka, F.; Wilhelmova, N.; Rothova, O.; Kocova, M.; Prochazkova, D.; Honnerova, J.; et al. The physiology and proteomics of dought tolerance in maize: Early stomatal closure as a cause of lower tolerance to short-term dehydration? PLoS ONE 2012, 7, e3801. [Google Scholar] [CrossRef]
  70. Sairam, R.K.; Srivastava, G.C.; Agarwal, S.; Meena, R.C. Differences in antioxidant activity in response to salinity stress in tolerant and susceptible wheat genotypes. Biol. Plant. 2005, 49, 85–91. [Google Scholar] [CrossRef]
  71. Verbruggen, N.; Hermans, C. Proline accumulation in plants: A review. Amino Acids 2008, 35, 753–759. [Google Scholar] [CrossRef]
  72. Apel, K.; Hirt, H. Reactive oxygen species: Metabolism, oxidative stress, and signal transduction. Annu. Rev. Plant Biol. 2004, 55, 373–399. [Google Scholar] [CrossRef]
  73. Soualiou, S.; Duan, F.Y.; Li, X.; Zhou, W.B. Crop production under cold stress: An understanding of plant responses, acclimation processes, and management strategies. Plant Physiol. Biochem. 2022, 190, 47–61. [Google Scholar] [CrossRef]
  74. Ashraf, U.; Mahmood, S.; Anjum, S.A.; Abbas, R.N.; Rasul, F.; Iqbal, J.; Mo, Z.W.; Tang, X.R. Exogenous gamma-aminobutyric acid application induced modulations in the performance of aromatic rice under lead toxicity. Front. Plant Sci. 2022, 13, 933694. [Google Scholar] [CrossRef]
  75. Yang, Y.X.; Xia, J.X.; Fang, X.; Jia, H.R.; Wang, X.C.; Lin, Y.L.; Liu, S.Y.; Ge, M.Q.; Pu, Y.F.; Fang, J.G.; et al. Drought stress in ‘Shine Muscat’ grapevine: Consequences and a novel mitigation strategy-5-aminolevulinic acid. Front. Plant Sci. 2023, 14, 1129114. [Google Scholar] [CrossRef] [PubMed]
  76. Yu, M.L.; Wu, Q.; Zheng, D.A.F.; Feng, N.J.; Liang, X.L.; Liu, M.L.; Li, Y.; Mou, B.M. Plant growth regulators enhance saline-alkali tolerance by upregulating the levels of antioxidants and osmolytes in soybean seedlings. J. Plant Growth Regul. 2022, 41, 3218–3232. [Google Scholar] [CrossRef]
  77. Mahawar, L.; Ramasamy, K.P.; Suhel, M.; Prasad, S.M.; Zivcak, M.; Brestic, M.; Rastogi, A.; Skalicky, M. Silicon nanoparticles: Comprehensive review on biogenic synthesis and applications in agriculture. Environ. Res. 2023, 232, 116292. [Google Scholar] [CrossRef] [PubMed]
Figure 1. The relative water content (RWC) of the walnut leaves (A) and the culture substrates (B) after different treatments. The same lowercase letters in each item represent no significant difference at the p = 0.05 level.
Figure 1. The relative water content (RWC) of the walnut leaves (A) and the culture substrates (B) after different treatments. The same lowercase letters in each item represent no significant difference at the p = 0.05 level.
Forests 14 01789 g001
Figure 2. Comparison of the gas exchange parameters of the walnut leaves after different treatments for 10 days. (A): net photosynthetic rate; (B): stomatal conductance; (C): transpiration rate; (D): carboxylation efficiency; (E): water use efficiency; (F): intercellular CO2 concentration; (G): stomatal limitation; (H): leaf temperature. The same lowercase letters in each item represent no significant difference at the p = 0.05 level.
Figure 2. Comparison of the gas exchange parameters of the walnut leaves after different treatments for 10 days. (A): net photosynthetic rate; (B): stomatal conductance; (C): transpiration rate; (D): carboxylation efficiency; (E): water use efficiency; (F): intercellular CO2 concentration; (G): stomatal limitation; (H): leaf temperature. The same lowercase letters in each item represent no significant difference at the p = 0.05 level.
Forests 14 01789 g002
Figure 3. The fast chlorophyll fluorescence induction kinetic (OKJIP) curves (A) and the modulated 820 nm reflection (MR820) curves (B) of the walnut leaves after different treatments for 15 days. In the OKJIP curves, O, K, J, I and P phases are the fluorescence at t = 0 μs, 300 μs, 2 ms, 30 ms and about 300 ms, respectively. In MR820 curves, the initial, lowest and highest points indicate MRo, MRmin and MRmax, respectively. The fast phase from MRo to MRmin represents oxidation of PSI and the slow phase from MRmin to MRmax represents reduction in PSI. The data are the means of 15 biologically replicated measurements.
Figure 3. The fast chlorophyll fluorescence induction kinetic (OKJIP) curves (A) and the modulated 820 nm reflection (MR820) curves (B) of the walnut leaves after different treatments for 15 days. In the OKJIP curves, O, K, J, I and P phases are the fluorescence at t = 0 μs, 300 μs, 2 ms, 30 ms and about 300 ms, respectively. In MR820 curves, the initial, lowest and highest points indicate MRo, MRmin and MRmax, respectively. The fast phase from MRo to MRmin represents oxidation of PSI and the slow phase from MRmin to MRmax represents reduction in PSI. The data are the means of 15 biologically replicated measurements.
Forests 14 01789 g003
Figure 4. The expression of genes related to chlorophyll metabolism in walnut leaves after different treatments for 10 days. HEMA1: encoding glutamyl-tRNA reductase 1, HEMG1: encoding protoporphyrinogen oxidase, PORB: encoding protochlorophyllide oxidoreductase B, CHLG: encoding chlorophyll synthase, CAO: encoding chlorophyll a oxygenase. The same lowercase letters in each gene represent no significant difference at the p = 0.05 level.
Figure 4. The expression of genes related to chlorophyll metabolism in walnut leaves after different treatments for 10 days. HEMA1: encoding glutamyl-tRNA reductase 1, HEMG1: encoding protoporphyrinogen oxidase, PORB: encoding protochlorophyllide oxidoreductase B, CHLG: encoding chlorophyll synthase, CAO: encoding chlorophyll a oxygenase. The same lowercase letters in each gene represent no significant difference at the p = 0.05 level.
Forests 14 01789 g004
Figure 5. The content of soluble sugars (A,B), soluble proteins (C,D) and free proline (E,F) in the walnut leaves and roots after different treatments. The same lowercase letters in each panel represent no significant difference at the p = 0.05 level.
Figure 5. The content of soluble sugars (A,B), soluble proteins (C,D) and free proline (E,F) in the walnut leaves and roots after different treatments. The same lowercase letters in each panel represent no significant difference at the p = 0.05 level.
Forests 14 01789 g005
Figure 6. The activities of SOD (A,B), POD (C,D) and CAT (E,F) in the walnut leaves and roots after different treatments. The same lowercase letters in each panel represent no significant difference in all treatments at the p = 0.05 level.
Figure 6. The activities of SOD (A,B), POD (C,D) and CAT (E,F) in the walnut leaves and roots after different treatments. The same lowercase letters in each panel represent no significant difference in all treatments at the p = 0.05 level.
Forests 14 01789 g006
Figure 7. The superoxide anion (O2•−) production rate (A,B), and the content of H2O2 (C,D) and MDA (E,F) in the walnut leaves and roots after different treatments. The same lowercase letters in each panel represent no significant difference in all treatments at the p = 0.05 level.
Figure 7. The superoxide anion (O2•−) production rate (A,B), and the content of H2O2 (C,D) and MDA (E,F) in the walnut leaves and roots after different treatments. The same lowercase letters in each panel represent no significant difference in all treatments at the p = 0.05 level.
Forests 14 01789 g007
Figure 8. The relative expressions of the DROUGHT-RESPONSIVE ELEMENTS BINDING PROTEIN 2A (DREB2A) subfamily genes in walnut leaves (A) and roots (B) after different treatments for 10 days. The same lowercase letters in each gene represent no significant difference at the p = 0.05 level.
Figure 8. The relative expressions of the DROUGHT-RESPONSIVE ELEMENTS BINDING PROTEIN 2A (DREB2A) subfamily genes in walnut leaves (A) and roots (B) after different treatments for 10 days. The same lowercase letters in each gene represent no significant difference at the p = 0.05 level.
Forests 14 01789 g008
Figure 9. The relative expressions of the aquaporin gene plasmalemma intrinsic protein (PIP) and tonoplast intrinsic protein (TIP) in walnut leaves (A) and roots (B) after different treatments for 10 days. The same lowercase letters in each gene represent no significant difference at the p = 0.05 level.
Figure 9. The relative expressions of the aquaporin gene plasmalemma intrinsic protein (PIP) and tonoplast intrinsic protein (TIP) in walnut leaves (A) and roots (B) after different treatments for 10 days. The same lowercase letters in each gene represent no significant difference at the p = 0.05 level.
Forests 14 01789 g009
Table 1. The primers for RT-qPCR analysis.
Table 1. The primers for RT-qPCR analysis.
GeneForward PrimerReverse Primer
18SGGTCAATCTTCTCGTTCCCTTTCGCATTTCGCTACGTTCTT
HEMA1GTGGGAAAGCGTGTTAGGAGCATGTGAGGATTCAGGGA
HEMG1CTTCTTTCGCACCCAATGTCTTCAACCCACTATCCACCAC
CHLGTAATGATTGGTATGACCGAGAAGCTTTAGAGGTGGAGCAGAGTA
PORBAACATTTGCTTCCCTTTACCCACTTTCCGAGCCTTATCTG
PIP1;1GATTGTTGGCACTTTCGTTATGGCTCTTATGACTATCTGGT
PIP1;3GCTGCTCAGACAGACAAAGACAACAAGAAGGTAGCCACGAA
PIP1;4ATACAAGAGCCAGACCGACAACCTTCACAAGCCCACATCC
PIP1;5GGGAACTAACTTTGTGAACCTAGACAGCAGCAAGAGCAG
TIP120GCGAACGAACTTTGTGAACGCTAAAGAGGAGCAAGAGCAC
TIP1;1CTTACTGATAATGGGTCAACGATCACAATCTCCAGAACTACCG
TIP2;1TTGCTGGTGTTGGTTCTGCCAAGGCTGTGGATGGGAAT
TIP1;2CTCACAGACAAAGGCTCCACTAAGAAGCAGGCAAGCAACG
DREB1AAGGGATGTATGAAAGGTAAGGCAGGAGTTGCCACTGAAGAC
DREB2AAGGTGAGGAGGCAGACGATTGGCTGGTAATGTATTTGAAGG
DREB3GCATCCAGCGACTTCCAACGCGGCGTAACATCGTCATC
DREB4GACCTGGCAACTCCACAACGAGCACCATCACGAAATCCTT
DREB5GAATGGCTAAACTACTCCTCCCAACCAAACCCTTGTCCTAT
DREB6GAGCAACGAATGGCTAAACTCAACCAAACCCTTGTCCTAT
DREB7GTAAGTGGGTTGCGGAAATCCCGGAGTGGTTGAATGTAG
DREB8AGGTCCAACAAGAGGCAAAGGATAAGCATCTGGTCCATACA
DREB9CCGCAAGATTGATACTGACAGAACCTATTTCTCCCTTTACCT
Table 2. The chlorophyll fluorescence parameters in walnut leaves after treatments for 15 days.
Table 2. The chlorophyll fluorescence parameters in walnut leaves after treatments for 15 days.
Fluorescence
Parameters
ControlPEGPEG + ALAFluorescence
Parameters
ControlPEGPEG + ALA
Fo (×103)7.65 ± 0.11 c9.09 ± 0.33 a8.34 ± 0.12 bφDo0.16 ± 0.00 b0.21 ± 0.01 a0.18 ± 0.01 b
FK (×103)20.20 ± 0.37 c22.47 ± 0.35 a20.55 ± 0.52 bWk0.45 ± 0.01 ab0.49 ± 0.03 a0.41 ± 0.02 b
FJ (×103)30.87 ± 0.43 a30.32 ± 0.68 a30.11 ± 0.53 aMo1.25 ± 0.03 b1.60 ± 0.07 a1.28 ± 0.04 b
FI (×103)43.67 ± 0.69 a40.67 ± 1.26 b42.66 ± 0.70 abETo/CSo (×102)27.20 ± 0.56 ab26.63 ± 1.17 b29.43 ± 0.56 a
Fm (×103)47.96 ± 0.68 a43.39 ± 1.38 b46.48 ± 0.82 aRC/CSo (×102)29.83 ± 0.49 ab28.05 ± 0.83 b30.85 ± 0.73 a
Fv (×103)40.33 ± 0.62 a34.43 ± 1.57 b38.26 ± 0.77 aPIabs1.85 ± 0.09 a0.98 ± 0.12 b1.58 ± 0.10 a
φPo0.84 ± 0.00 a0.79 ± 0.01 b0.82 ± 0.00 aPItotal0.63 ± 0.03 a0.26 ± 0.03 c0.49 ± 0.3 b
φEo0.36 ± 0.01 a0.30 ± 0.01 b0.35 ± 0.01 aVPSI (×10−4)13.5 ± 0.30 b10.90 ± 0.83 c15.60 ± 0.44 a
φRo0.09 ± 0.00 a0.06 ± 0.01 b0.08 ± 0.01 aVPSII-PSI (×10−5)2.85 ± 0.24 a2.05 ± 0.16 c1.75 ± 0.27 b
Fo, Fk, Fj, Fi, and Fm are the fluorescence values of O (t = 0 μs), K (t = 300 μs), J (t = 2 ms), I (t = 30ms), and P phase (t ≈ 300 ms) of the OKJIP curves, respectively, while variable fluorescence Fv = FmFo. φPo = Fv/Fm, φEo = φPo × Ψo, where Ψo = 1 − Vj =1- (FjFo)/Fv; φRo = φPo × (1 − Vi), where Vi = (FiFo)/Fv; φDo = 1 − φPo = Fo/Fm. Wk = (FkFo)/(FjFo); Mo= 4 × (FkFo)/Fv; ETo/CSo = φEo × (ABS/CSo); RC/CSo = φPo × [(1 − Ψo)/Mo] × Fk; PIabs = RC/ABS × [φPo/(1 − φPo)] × [ψo/(1 – ψo)]; PItotal = PIabs × ΔRo/(1 − ΔRo); VPSI = (MRo/MR0.7msMRo/MR3ms)/(3 − 0.7); VPSII-PSI = (MRo/MR100msMRo/MR7ms)/(100 − 7). All data are the means of 15 biologically replicated measurements. The same lowercase letters behind the data manifest no significant difference at the p=0.05 level.
Table 3. The chlorophyll content in walnut leaves under different treatments.
Table 3. The chlorophyll content in walnut leaves under different treatments.
Time (d)TreatmentChlorophyll a
(mg g−1 FW)
Chlorophyll b
(mg g−1 FW)
Total Chlorophyll (mg g−1 FW)Chlorophyll a/b
5Control1.23 ± 0.05 a0.65 ± 0.03 ab1.88 ± 0.08 a1.91 ± 0.01 a
PEG0.48 ± 0.04 de0.33 ± 0.03 e0.71 ± 0.07 de1.45 ± 0.06 d
PEG + ALA0.94 ± 0.10 b0.53 ± 0.05 c1.47 ± 0.06 b1.74 ± 0.03 b
10Control1.36 ± 0.08 a0.72 ± 0.04 a2.08 ± 0.12 a1.88 ± 0.01 a
PEG0.38 ± 0.02 ef0.33 ± 0.01 e0.71 ± 0.03 ef1.15 ± 0.03 f
PEG + ALA0.68 ± 0.01 c0.42 ± 0.01 d1.10 ± 0.01 c1.60 ± 0.00 c
15Control0.99 ± 0.05 b0.61 ± 0.04 bc1.60 ± 0.09 b1.64 ± 0.02 c
PEG0.26 ± 0.02 f0.25 ± 0.02 e0.51 ± 0.04 f1.02 ± 0.01 g
PEG + ALA0.57 ± 0.04 cd0.43 ± 0.02 d1.00 ± 0.06 cd1.31 ± 0.02 e
The same lowercase letters in an item manifest no significant difference at the p = 0.05 level.
Disclaimer/Publisher’s Note: The statements, opinions and data contained in all publications are solely those of the individual author(s) and contributor(s) and not of MDPI and/or the editor(s). MDPI and/or the editor(s) disclaim responsibility for any injury to people or property resulting from any ideas, methods, instructions or products referred to in the content.

Share and Cite

MDPI and ACS Style

Zhong, Y.; Liu, C.; Wei, B.; Zhang, J.; An, Y.; Wang, L. Exogenous 5-Aminolevulinic Acid Promotes Osmotic Stress Tolerance of Walnuts by Modulating Photosynthesis, Osmotic Adjustment and Antioxidant Systems. Forests 2023, 14, 1789. https://doi.org/10.3390/f14091789

AMA Style

Zhong Y, Liu C, Wei B, Zhang J, An Y, Wang L. Exogenous 5-Aminolevulinic Acid Promotes Osmotic Stress Tolerance of Walnuts by Modulating Photosynthesis, Osmotic Adjustment and Antioxidant Systems. Forests. 2023; 14(9):1789. https://doi.org/10.3390/f14091789

Chicago/Turabian Style

Zhong, Yan, Changzhou Liu, Bo Wei, Jianting Zhang, Yuyan An, and Liangju Wang. 2023. "Exogenous 5-Aminolevulinic Acid Promotes Osmotic Stress Tolerance of Walnuts by Modulating Photosynthesis, Osmotic Adjustment and Antioxidant Systems" Forests 14, no. 9: 1789. https://doi.org/10.3390/f14091789

APA Style

Zhong, Y., Liu, C., Wei, B., Zhang, J., An, Y., & Wang, L. (2023). Exogenous 5-Aminolevulinic Acid Promotes Osmotic Stress Tolerance of Walnuts by Modulating Photosynthesis, Osmotic Adjustment and Antioxidant Systems. Forests, 14(9), 1789. https://doi.org/10.3390/f14091789

Note that from the first issue of 2016, this journal uses article numbers instead of page numbers. See further details here.

Article Metrics

Back to TopTop