Comparing the Impact of Urban Park Landscape Design Parameters on the Thermal Environment of Surrounding Low-Rise and High-Rise Neighborhoods
Abstract
:1. Introduction
2. Materials and Methods
2.1. Landscape Design Parameters
2.1.1. Definition of Landscape Design Parameters
2.1.2. Analysis of Landscape Design Parameters
2.2. Orthogonal Experiment
2.2.1. Experimental Design
2.2.2. Experimental Design Analysis
2.3. Envi-Met Simulation
2.3.1. Software Introduction
2.3.2. Software Verification
2.3.3. Simulation Environment Configuration
3. Results
3.1. Comparison and Analysis of Temperature Differences Inside and Outside the Park in Experimental Scenarios
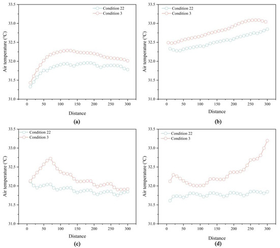
3.1.1. Characteristics of Temperature Differences Inside and Outside the Park in Different Scenarios
3.1.2. Comparison of Noon Temperature Reduction between Two Building Heights
3.2. The Impact of Landscape Design Parameters on Park Temperature Difference
3.2.1. Ranking of Primary and Secondary Impacts and Optimal Factor Levels
3.2.2. Factor Influence and Significance Analysis
3.3. Optimal Combination of Factor Interactions
3.4. Optimized Experimental Design
4. Discussion
4.1. Main Findings
4.2. Planning Recommendation
4.3. Limitations and Further Directions
5. Conclusions
Author Contributions
Funding
Data Availability Statement
Acknowledgments
Conflicts of Interest
Nomenclature
| LSI | Landscape Shape Index |
| PGA | Percentage of Green Area |
| PA | Park Area |
| PWA | Percentage of Water Area |
| Ta | Air temperature |
References
- Hong, J.-W.; Hong, J.; Kwon, E.E.; Yoon, D. Temporal dynamics of urban heat island correlated with the socio-economic development over the past half-century in Seoul, Korea. Environ. Pollut. 2019, 254, 112934. [Google Scholar] [CrossRef] [PubMed]
- Zhao, H.; Zhang, H.; Miao, C.; Ye, X.; Min, M. Linking Heat Source–Sink Landscape Patterns with Analysis of Urban Heat Islands: Study on the Fast-Growing Zhengzhou City in Central China. Remote Sens. 2018, 10, 1268. [Google Scholar] [CrossRef]
- Espinoza, N.d.S.; dos Santos, C.A.C.; de Oliveira, M.B.L.; Silva, M.T.; Santos, C.A.G.; da Silva, R.M.; Mishra, M.; Ferreira, R.R. Assessment of urban heat islands and thermal discomfort in the Amazonia biome in Brazil: A case study of Manaus city. Build. Environ. 2023, 227, 109772. [Google Scholar] [CrossRef]
- Ho, J.Y.; Shi, Y.; Lau, K.K.; Ng, E.Y.; Ren, C.; Goggins, W.B. Urban heat island effect-related mortality under extreme heat and non-extreme heat scenarios: A 2010–2019 case study in Hong Kong. Sci. Total Environ. 2023, 858, 159791. [Google Scholar] [CrossRef]
- Laruelle, M.; Esau, I.; Miles, M.; Miles, V.; Kurchatova, A.N.; Petrov, S.A.; Soromotin, A.; Varentsov, M.; Konstantinov, P. Arctic cities as an anthropogenic object: A preliminary approach through urban heat islands. Polar J. 2019, 9, 402–423. [Google Scholar] [CrossRef]
- Qiu, X.; Kil, S.-H.; Jo, H.-K.; Park, C.; Song, W.; Choi, Y.E. Cooling Effect of Urban Blue and Green Spaces: A Case Study of Changsha, China. Int. J. Environ. Res. Public Health 2023, 20, 2613. [Google Scholar] [CrossRef]
- Zhang, M.; Al Kafy, A.; Xiao, P.; Han, S.; Zou, S.; Saha, M.; Zhang, C.; Tan, S. Impact of urban expansion on land surface temperature and carbon emissions using machine learning algorithms in Wuhan, China. Urban Clim. 2023, 47, 101347. [Google Scholar] [CrossRef]
- Ren, J.; Yang, J.; Wu, F.; Sun, W.; Xiao, X.; Xia, J. Regional thermal environment changes: Integration of satellite data and land use/land cover. iScience 2023, 26, 105820. [Google Scholar] [CrossRef]
- Ekwe, M.C.; Adamu, F.; Gana, J.; Nwafor, G.C.; Usman, R.; Nom, J.; Onu, O.D.; Adedeji, O.I.; Halilu, S.A.; Aderoju, O.M. The effect of green spaces on the urban thermal environment during a hot-dry season: A case study of Port Harcourt, Nigeria. Environ. Dev. Sustain. 2021, 23, 10056–10079. [Google Scholar] [CrossRef]
- Elnabawi, M.H.; Saber, E. A numerical study of cool and green roof strategies on indoor energy saving and outdoor cooling impact at pedestrian level in a hot arid climate. J. Build. Perform. Simul. 2023, 16, 72–89. [Google Scholar] [CrossRef]
- Li, Y.; Li, Z.-L.; Wu, H.; Zhou, C.; Liu, X.; Leng, P.; Yang, P.; Wu, W.; Tang, R.; Shang, G.-F.; et al. Biophysical impacts of earth greening can substantially mitigate regional land surface temperature warming. Nat. Commun. 2023, 14, 1–12. [Google Scholar] [CrossRef] [PubMed]
- Cheng, X.; Liu, Y.; Dong, J.; Corcoran, J.; Peng, J. Opposite climate impacts on urban green spaces’ cooling efficiency around their coverage change thresholds in major African cities. Sustain. Cities Soc. 2023, 88, 104254. [Google Scholar] [CrossRef]
- Wang, C.; Ren, Z.; Dong, Y.; Zhang, P.; Guo, Y.; Wang, W.; Bao, G. Efficient cooling of cities at global scale using urban green space to mitigate urban heat island effects in different climatic regions. Urban For. Urban Green. 2022, 74, 127635. [Google Scholar] [CrossRef]
- Przeździecki, K.; Zawadzki, J. Assessing Moisture Content and Its Mitigating Effect in an Urban Area Using the Land Surface Temperature–Vegetation Index Triangle Method. Forests 2023, 14, 578. [Google Scholar] [CrossRef]
- Farkas, J.Z.; Hoyk, E.; de Morais, M.B.; Csomós, G. A systematic review of urban green space research over the last 30 years: A bibliometric analysis. Heliyon 2023, 9, e13406. [Google Scholar] [CrossRef]
- Yoshida, A.; Hisabayashi, T.; Kashihara, K.; Kinoshita, S.; Hashida, S. Evaluation of effect of tree canopy on thermal environment, thermal sensation, and mental state. Urban Clim. 2015, 14, 240–250. [Google Scholar] [CrossRef]
- Convertino, F.; Schettini, E.; Blanco, I.; Bibbiani, C.; Vox, G. Effect of Leaf Area Index on Green Facade Thermal Performance in Buildings. Sustainability 2022, 14, 2966. [Google Scholar] [CrossRef]
- Ren, J.; Shi, K.; Kong, X.; Zhou, H. On-site measurement and numerical simulation study on characteristic of urban heat island in a multi-block region in Beijing, China. Sustain. Cities Soc. 2023, 95, 104615. [Google Scholar] [CrossRef]
- Zhang, X.; Wang, Y.; Zhou, D.; Yang, C.; An, H.; Teng, T. Comparison of Summer Outdoor Thermal Environment Optimization Strategies in Different Residential Districts in Xi’an, China. Buildings 2022, 12, 1332. [Google Scholar] [CrossRef]
- Liu, Y.; Hong, J. Thermal Environment Retrofitting of Outdoor Activity Spaces in Old Settlements in Severe Cold Regions of China. In Sustainability in Energy and Buildings; Lit-tlewood, J., Howlett, R.J., Jain, L.C., Eds.; Springer Nature: Singapore, 2023; pp. 56–65. [Google Scholar] [CrossRef]
- Wu, J.; Li, C.; Zhang, X.; Zhao, Y.; Liang, J.; Wang, Z. Seasonal variations and main influencing factors of the water cooling islands effect in Shenzhen. Ecol. Indic. 2020, 117, 106699. [Google Scholar] [CrossRef]
- Zhou, X.; Zhang, S.; Zhu, D. Impact of Urban Water Networks on Microclimate and PM2.5 Distribution in Downtown Areas: A Case Study of Wuhan. Build. Environ. 2021, 203, 108073. [Google Scholar] [CrossRef]
- Zhou, W.; Cao, W.; Wu, T.; Zhang, T. The win-win interaction between integrated blue and green space on urban cooling. Sci. Total Environ. 2023, 863, 160712. [Google Scholar] [CrossRef] [PubMed]
- Xiao, Y.; Piao, Y.; Pan, C.; Lee, D.; Zhao, B. Using buffer analysis to determine urban park cooling intensity: Five estimation methods for Nanjing, China. Sci. Total Environ. 2023, 868, 161463. [Google Scholar] [CrossRef] [PubMed]
- Yao, L.; Sailor, D.J.; Zhang, X.; Wang, J.; Zhao, L.; Yang, X. Diurnal pattern and driving mechanisms of the thermal effects of an urban pond. Sustain. Cities Soc. 2023, 91, 104407. [Google Scholar] [CrossRef]
- Wu, C.; Li, J.; Wang, C.; Song, C.; Chen, Y.; Finka, M.; La Rosa, D. Understanding the relationship between urban blue infrastructure and land surface temperature. Sci. Total Environ. 2019, 694, 133742. [Google Scholar] [CrossRef]
- Cai, Z.; Han, G.; Chen, M. Do water bodies play an important role in the relationship between urban form and land surface temperature? Sustain. Cities Soc. 2018, 39, 487–498. [Google Scholar] [CrossRef]
- Jia, S.; Wang, Y. Effect of heat mitigation strategies on thermal environment, thermal comfort, and walkability: A case study in Hong Kong. Build. Environ. 2021, 201, 107988. [Google Scholar] [CrossRef]
- Liao, W.; Guldmann, J.-M.; Hu, L.; Cao, Q.; Gan, D.; Li, X. Linking urban park cool island effects to the landscape patterns inside and outside the park: A simultaneous equation modeling approach. Landsc. Urban Plan. 2023, 232, 104681. [Google Scholar] [CrossRef]
- Jauregui, E. Influence of a large urban park on temperature and convective precipitation in a tropical city. Energy Build. 1990, 15, 457–463. [Google Scholar] [CrossRef]
- Cui, P.; Jiang, J.; Zhang, J.; Wang, L. Effect of street design on UHI and energy consumption based on vegetation and street aspect ratio: Taking Harbin as an example. Sustain. Cities Soc. 2023, 92, 104484. [Google Scholar] [CrossRef]
- Toparlar, Y.; Blocken, B.; Maiheu, B.; van Heijst, G. A review on the CFD analysis of urban microclimate. Renew. Sustain. Energy Rev. 2017, 80, 1613–1640. [Google Scholar] [CrossRef]
- Liu, Z.; Cheng, W.; Jim, C.; Morakinyo, T.E.; Shi, Y.; Ng, E. Heat mitigation benefits of urban green and blue infrastructures: A systematic review of modeling techniques, validation and scenario simulation in ENVI-met V4. Build. Environ. 2021, 200, 107939. [Google Scholar] [CrossRef]
- Tsoka, S.; Tsikaloudaki, A.; Theodosiou, T. Analyzing the ENVI-met microclimate model’s performance and assessing cool materials and urban vegetation applications–A review. Sustain. Cities Soc. 2018, 43, 55–76. [Google Scholar] [CrossRef]
- Lai, Y.; Ning, Q.; Ge, X.; Fan, S. Thermal Regulation of Coastal Urban Forest Based on ENVI-Met Model—A Case Study in Qinhuangdao, China. Sustainability 2022, 14, 7337. [Google Scholar] [CrossRef]
- Binarti, F.; Koerniawan, M.D.; Triyadi, S.; Matzarakis, A. The predicted effectiveness of thermal condition mitigation strategies for a climate-resilient archaeological park. Sustain. Cities Soc. 2022, 76, 103457. [Google Scholar] [CrossRef]
- Chen, X.; Wang, Z.; Yang, H.; Ford, A.C.; Dawson, R.J. Impacts of urban densification and vertical growth on urban heat environment: A case study in the 4th Ring Road Area, Zhengzhou, China. J. Clean. Prod. 2023, 410, 137247. [Google Scholar] [CrossRef]
- Climate of Asia: Temperature, Climate Graph, Climate Tables for Asia—Climate-Data.org. Available online: https://en.climate-data.org/asia/ (accessed on 31 January 2023).
- CJJ/T 85-2017; Standard for Classification of Urban Green space. Ministry of Housing and Urban-Rural Development of the People’s Republic of China: Beijing, China, 2018.
- GB 51192-2016; Code for the Design of Public Park. Ministry of Housing and Urban-Rural Development of the People’s Republic of China: Beijing, China, 2016.
- Condra, L.W. Reliability Improvement with Design of Experiment, 2nd ed.; CRC Press: Boca Raton, FL, USA, 2017. [Google Scholar] [CrossRef]
- Schoen, E.D.; Vo-Thanh, N.; Goos, P. Two-Level Orthogonal Screening Designs With 24, 28, 32, and 36 Runs. J. Am. Stat. Assoc. 2017, 112, 1354–1369. [Google Scholar] [CrossRef]
- Xu, X.; Liu, S.; Sun, S.; Zhang, W.; Liu, Y.; Lao, Z.; Guo, G.; Smith, K.; Cui, Y.; Liu, W.; et al. Evaluation of energy saving potential of an urban green space and its water bodies. Energy Build. 2019, 188–189, 58–70. [Google Scholar] [CrossRef]
- Zhang, N.; Zhang, J.; Chen, W.; Su, J. Block-based variations in the impact of characteristics of urban functional zones on the urban heat island effect: A case study of Beijing. Sustain. Cities Soc. 2022, 76, 103529. [Google Scholar] [CrossRef]
- Lee, P.S.-H.; Park, J. An Effect of Urban Forest on Urban Thermal Environment in Seoul, South Korea, Based on Landsat Imagery Analysis. Forests 2020, 11, 630. [Google Scholar] [CrossRef]
- Willmott, C.J. Some Comments on the Evaluation of Model Performance. Bull. Am. Meteorol. Soc. 1982, 63, 1309–1313. [Google Scholar] [CrossRef]
- Li, Y.; Fan, S.; Li, K.; Zhang, Y.; Kong, L.; Xie, Y.; Dong, L. Large urban parks summertime cool and wet island intensity and its influencing factors in Beijing, China. Urban For. Urban Green. 2021, 65, 127375. [Google Scholar] [CrossRef]
- Du, H.; Cai, Y.; Zhou, F.; Jiang, H.; Jiang, W.; Xu, Y. Urban blue-green space planning based on thermal environment simulation: A case study of Shanghai, China. Ecol. Indic. 2019, 106, 105501. [Google Scholar] [CrossRef]
- Semeraro, T.; Scarano, A.; Buccolieri, R.; Santino, A.; Aarrevaara, E. Planning of Urban Green Spaces: An Ecological Perspective on Human Benefits. Land 2021, 10, 105. [Google Scholar] [CrossRef]
- Sun, Y.; Gao, C.; Li, J.; Gao, M.; Ma, R. Assessing the cooling efficiency of urban parks using data envelopment analysis and remote sensing data. Theor. Appl. Clim. 2021, 145, 903–916. [Google Scholar] [CrossRef]
- Cheung, P.K.; Jim, C. Differential cooling effects of landscape parameters in humid-subtropical urban parks. Landsc. Urban Plan. 2019, 192, 103651. [Google Scholar] [CrossRef]
- Li, Y.; Lin, D.; Zhang, Y.; Song, Z.; Sha, X.; Zhou, S.; Chen, C.; Yu, Z. Quantifying tree canopy coverage threshold of typical residential quarters considering human thermal comfort and heat dynamics under extreme heat. Build. Environ. 2023, 233, 110100. [Google Scholar] [CrossRef]
- Xiao, Y.; Piao, Y.; Wei, W.; Pan, C.; Lee, D.; Zhao, B. A comprehensive framework of cooling effect-accessibility-urban development to assessing and planning park cooling services. Sustain. Cities Soc. 2023, 98, 104817. [Google Scholar] [CrossRef]
- Geng, X.; Yu, Z.; Zhang, D.; Li, C.; Yuan, Y.; Wang, X. The influence of local background climate on the dominant factors and threshold-size of the cooling effect of urban parks. Sci. Total Environ. 2022, 823, 153806. [Google Scholar] [CrossRef]
- Qiu, K.; Jia, B. The roles of landscape both inside the park and the surroundings in park cooling effect. Sustain. Cities Soc. 2020, 52, 101864. [Google Scholar] [CrossRef]
- Han, D.; Xu, X.; Qiao, Z.; Wang, F.; Cai, H.; An, H.; Jia, K.; Liu, Y.; Sun, Z.; Wang, S.; et al. The roles of surrounding 2D/3D landscapes in park cooling effect: Analysis from extreme hot and normal weather perspectives. Build. Environ. 2023, 231, 110053. [Google Scholar] [CrossRef]
- Han, D.; Yang, X.; Cai, H.; Xu, X. Impacts of Neighboring Buildings on the Cold Island Effect of Central Parks: A Case Study of Beijing, China. Sustainability 2020, 12, 9499. [Google Scholar] [CrossRef]
- Du, H.; Cai, W.; Xu, Y.; Wang, Z.; Wang, Y.; Cai, Y. Quantifying the cool island effects of urban green spaces using remote sensing Data. Urban For. Urban Green. 2017, 27, 24–31. [Google Scholar] [CrossRef]
- Wu, W.-B.; Yu, Z.-W.; Ma, J.; Zhao, B. Quantifying the influence of 2D and 3D urban morphology on the thermal environment across climatic zones. Landsc. Urban Plan. 2022, 226, 104499. [Google Scholar] [CrossRef]











| Number | Proportion | |
|---|---|---|
| PA | ||
| 0–5 ha | 57 | 45.97% |
| 5–10 ha | 16 | 12.90% |
| 10–15 ha | 23 | 18.55% |
| More than 15 ha | 28 | 22.58% |
| LSI | ||
| 0–1 | 6 | 4.84% |
| 1–1.2 | 62 | 50.00% |
| 1.2–1.4 | 31 | 25.00% |
| More than 1.4 | 25 | 20.16% |
| PGA | ||
| Less than 60% | 25 | 20.16% |
| 60%–70% | 34 | 27.42% |
| 70%–80% | 28 | 22.58% |
| More than 80% | 37 | 29.84% |
| PWA | ||
| 0% | 74 | 59.68% |
| 0%–10% | 23 | 18.54% |
| 10%–20% | 17 | 13.70% |
| More than 20% | 9 | 7.25% |
| Factor Levels | PA (A) | LSI (B) | PGA (C) | PWA (D) |
|---|---|---|---|---|
| 1 | ![]() | ![]() | ![]() | ![]() |
| 2 | ![]() | ![]() | ![]() | ![]() |
| 3 | ![]() | ![]() | ![]() | ![]() |
| Experimental Scenario No. | A | B | A × B | A × B | C | A × C | A × C | B × C | D | Blank | B × C | Blank | Blank |
|---|---|---|---|---|---|---|---|---|---|---|---|---|---|
| 1 | 1 | 1 | 1 | 1 | 1 | 1 | 1 | 1 | 1 | 1 | 1 | 1 | 1 |
| 2 | 1 | 1 | 1 | 1 | 2 | 2 | 2 | 2 | 2 | 2 | 2 | 2 | 2 |
| 3 | 1 | 1 | 1 | 1 | 3 | 3 | 3 | 3 | 3 | 3 | 3 | 3 | 3 |
| 4 | 1 | 2 | 2 | 2 | 1 | 1 | 1 | 2 | 2 | 2 | 3 | 3 | 3 |
| 5 | 1 | 2 | 2 | 2 | 2 | 2 | 2 | 3 | 3 | 3 | 1 | 1 | 1 |
| 6 | 1 | 2 | 2 | 2 | 3 | 3 | 3 | 1 | 1 | 1 | 2 | 2 | 2 |
| 7 | 1 | 3 | 3 | 3 | 1 | 1 | 1 | 3 | 3 | 3 | 2 | 2 | 2 |
| 8 | 1 | 3 | 3 | 3 | 2 | 2 | 2 | 1 | 1 | 1 | 3 | 3 | 3 |
| 9 | 1 | 3 | 3 | 3 | 3 | 3 | 3 | 2 | 2 | 2 | 1 | 1 | 1 |
| 10 | 2 | 1 | 2 | 3 | 1 | 2 | 3 | 1 | 2 | 3 | 1 | 2 | 3 |
| 11 | 2 | 1 | 2 | 3 | 2 | 3 | 1 | 2 | 3 | 1 | 2 | 3 | 1 |
| 12 | 2 | 1 | 2 | 3 | 3 | 1 | 2 | 3 | 1 | 2 | 3 | 1 | 2 |
| 13 | 2 | 2 | 3 | 1 | 1 | 2 | 3 | 2 | 3 | 1 | 3 | 1 | 2 |
| 14 | 2 | 2 | 3 | 1 | 2 | 3 | 1 | 3 | 1 | 2 | 1 | 2 | 3 |
| 15 | 2 | 2 | 3 | 1 | 3 | 1 | 2 | 1 | 2 | 3 | 2 | 3 | 1 |
| 16 | 2 | 3 | 1 | 2 | 1 | 2 | 3 | 3 | 1 | 2 | 2 | 3 | 1 |
| 17 | 2 | 3 | 1 | 2 | 2 | 3 | 1 | 1 | 2 | 3 | 3 | 1 | 2 |
| 18 | 2 | 3 | 1 | 2 | 3 | 1 | 2 | 2 | 3 | 1 | 1 | 2 | 3 |
| 19 | 3 | 1 | 3 | 2 | 1 | 3 | 2 | 1 | 3 | 2 | 1 | 3 | 2 |
| 20 | 3 | 1 | 3 | 2 | 2 | 1 | 3 | 2 | 1 | 3 | 2 | 1 | 3 |
| 21 | 3 | 1 | 3 | 2 | 3 | 2 | 1 | 3 | 2 | 1 | 3 | 2 | 1 |
| 22 | 3 | 2 | 1 | 3 | 1 | 3 | 2 | 2 | 1 | 3 | 3 | 2 | 1 |
| 23 | 3 | 2 | 1 | 3 | 2 | 1 | 3 | 3 | 2 | 1 | 1 | 3 | 2 |
| 24 | 3 | 2 | 1 | 3 | 3 | 2 | 1 | 1 | 3 | 2 | 2 | 1 | 3 |
| 25 | 3 | 3 | 2 | 1 | 1 | 3 | 2 | 3 | 2 | 1 | 2 | 1 | 3 |
| 26 | 3 | 3 | 2 | 1 | 2 | 1 | 3 | 1 | 3 | 2 | 3 | 2 | 1 |
| 27 | 3 | 3 | 2 | 1 | 3 | 2 | 1 | 2 | 1 | 3 | 1 | 3 | 2 |
| Scenario 1 | Scenario 2 | Scenario 3 | Scenario 4 | Scenario 5 | Scenario 6 | Scenario 7 | Scenario 8 | Scenario 9 |
![]() | ![]() | ![]() | ![]() | ![]() | ![]() | ![]() | ![]() | ![]() |
| A1B1C1D1 | A1B1C2D2 | A1B1C3D3 | A1B2C1D2 | A1B2C2D3 | A1B2C3D1 | A1B3C1D3 | A1B3C2D1 | A1B3C3D2 |
| PA:5ha | PA:5ha | PA:5ha | PA:5ha | PA:5ha | PA:5ha | PA:5ha | PA:5ha | PA:5ha |
| LSI:1.13 | LSI:1.13 | LSI:1.13 | LSI:1.2 | LSI:1.2 | LSI:1.2 | LSI:1.4 | LSI:1.4 | LSI:1.4 |
| PGA:60% | PGA:70% | PGA:80% | PGA:60% | PGA:70% | PGA:80% | PGA:60% | PGA:70% | PGA:80% |
| PWA:0% | PWA:10% | PWA:20% | PWA:10% | PWA:20% | PWA:0% | PWA:20% | PWA:0% | PWA:10% |
| Scenario 10 | Scenario 11 | Scenario 12 | Scenario 13 | Scenario 14 | Scenario 15 | Scenario 17 | Scenario 17 | Scenario 18 |
![]() | ![]() | ![]() | ![]() | ![]() | ![]() | ![]() | ![]() | ![]() |
| A2B1C1D2 | A2B1C2D3 | A2B1C3D1 | A2B2C1D3 | A2B2C2D1 | A2B2C3D2 | A2B3C1D1 | A2B3C2D2 | A2B3C3D3 |
| PA:10ha | PA:10ha | PA:10ha | PA:10ha | PA:10ha | PA:10ha | PA:10ha | PA:10ha | PA:10ha |
| LSI:1.13 | LSI:1.13 | LSI:1.13 | LSI:1.2 | LSI:1.2 | LSI:1.2 | LSI:1.4 | LSI:1.4 | LSI:1.4 |
| PGA:60% | PGA:70% | PGA:80% | PGA:60% | PGA:70% | PGA:80% | PGA:60% | PGA:70% | PGA:80% |
| PWA:10% | PWA:20% | PWA:0% | PWA:20% | PWA:0% | PWA:10% | PWA:0% | PWA:10% | PWA:20% |
| Scenario 19 | Scenario 20 | Scenario 21 | Scenario 22 | Scenario 23 | Scenario 24 | Scenario 25 | Scenario 26 | Scenario 27 |
![]() | ![]() | ![]() | ![]() | ![]() | ![]() | ![]() | ![]() | ![]() |
| A3B1C1D3 | A3B1C2D1 | A3B1C3D2 | A3B2C1D1 | A3B2C2D2 | A3B2C3D3 | A3B3C1D2 | A3B3C2D3 | A3B3C3D1 |
| PA:15ha | PA:15ha | PA:15ha | PA:15ha | PA:15ha | PA:15ha | PA:15ha | PA:15ha | PA:15ha |
| LSI:1.13 | LSI:1.13 | LSI:1.13 | LSI:1.2 | LSI:1.2 | LSI:1.2 | LSI:1.4 | LSI:1.4 | LSI:1.4 |
| PGA:60% | PGA:70% | PGA:80% | PGA:60% | PGA:70% | PGA:80% | PGA:60% | PGA70% | PGA:80% |
| PWA:20% | PWA:0% | PWA:10% | PWA:0% | PWA:10% | PWA:20% | PWA:10% | PWA:20% | PWA:0% |
| Microclimatic Parameters | Instrument | Range | Accuracy |
|---|---|---|---|
| Air temperature (Ta) | HOBO U23-001A | −40–70 °C | ±0.21 °C |
| Relative humidity (RH) | HOBO U23-001A | 0–100% | ±2.5% |
| Parameter Type | Relevant Parameters | Initial Data |
|---|---|---|
| Simulation Time | Simulation Latitude–Longitude | 34° N, 112° W |
| Start Date and Time | 11 July 2022 | |
| Start Time | 0:00 | |
| Duration | 24 h | |
| Building Deformation Height | 2 m, 5% | |
| Time Step | 5 s | |
| Initial Meteorological Parameters | Initial Ta | 25.60 °C |
| Initial RH | 84% | |
| Wind Speed at 10 m | 3 m/s | |
| Wind Direction | 135° | |
| Ground Roughness | 0.01 | |
| Model Orientation | North–South | |
| Model Materials | Greenery | Trees (T1) |
| Impervious Surface | Underlayment (Loamy Soil) | |
| Pavement (Dark Granite) | ||
| Water | Deep Water |
| Building Height | 18 m | 54 m | ||||
|---|---|---|---|---|---|---|
| Time | 7:00 | 14:00 | 19:00 | 7:00 | 14:00 | 19:00 |
| A (PA) | 114.18 ** | 0.55 | 120.58 ** | 662.68 ** | 1.81 | 164.10 ** |
| B (LSI) | 46.92 ** | 1.37 | 42.95 ** | 147.66 ** | 5.22 * | 13.46 ** |
| C (PGA) | 278.90 ** | 25.72 ** | 148.23 ** | 149.95 ** | 2.31 | 49.15 ** |
| D (PWA) | 76.76 ** | 102.96 ** | 371.43 ** | 62.82 ** | 13.59 ** | 176.8 ** |
| A * B | 10.70 ** | 2.63 | 8.69 * | 11.68 ** | 0.67 | 3.31 |
| A * C | 3.58 | 0.62 | 1.62 | 7.73 * | 0.79 | 1.24 |
| B * C | 2.36 | 0.44 | 1.66 | 0.99 | 1.02 | 0.64 |
| Building Height | 5 ha | 10 ha | 15 ha | |||
|---|---|---|---|---|---|---|
| Experiment No. | Weighted Values (°C) | Experiment No. | Weighted Values (°C) | Experiment No. | Weighted Values (°C) | |
| 18 m | 1 | 0.05 | 10 | 0.11 | 19 | 0.24 |
| 2 | 0.20 | 11 | 0.21 | 20 | −0.01 | |
| 3 | 0.28 | 12 | 0.04 | 21 | 0.13 | |
| 4 | 0.14 | 13 | 0.24 | 22 | 0.00 | |
| 5 | 0.24 | 14 | 0.04 | 23 | 0.13 | |
| 6 | 0.11 | 15 | 0.17 | 24 | 0.21 | |
| 7 | 0.22 | 16 | 0.05 | 25 | 0.12 | |
| 8 | 0.07 | 17 | 0.18 | 26 | 0.21 | |
| 9 | 0.17 | 18 | 0.26 | 27 | 0.05 | |
| 54 m | 1 | 0.09 | 10 | 0.14 | 19 | 0.25 |
| 2 | 0.19 | 11 | 0.23 | 20 | 0.01 | |
| 3 | 0.11 | 12 | 0.08 | 21 | 0.15 | |
| 4 | 0.20 | 13 | 0.25 | 22 | 0.01 | |
| 5 | 0.24 | 14 | 0.06 | 23 | 0.15 | |
| 6 | 0.17 | 15 | 0.19 | 24 | 0.25 | |
| 7 | 0.30 | 16 | 0.06 | 25 | 0.13 | |
| 8 | 0.12 | 17 | 0.22 | 26 | 0.24 | |
| 9 | 0.22 | 18 | 0.31 | 27 | 0.07 |
Disclaimer/Publisher’s Note: The statements, opinions and data contained in all publications are solely those of the individual author(s) and contributor(s) and not of MDPI and/or the editor(s). MDPI and/or the editor(s) disclaim responsibility for any injury to people or property resulting from any ideas, methods, instructions or products referred to in the content. |
© 2023 by the authors. Licensee MDPI, Basel, Switzerland. This article is an open access article distributed under the terms and conditions of the Creative Commons Attribution (CC BY) license (https://creativecommons.org/licenses/by/4.0/).
Share and Cite
Xue, S.; Yuan, L.; Wang, K.; Wang, J.; Pei, Y. Comparing the Impact of Urban Park Landscape Design Parameters on the Thermal Environment of Surrounding Low-Rise and High-Rise Neighborhoods. Forests 2023, 14, 1682. https://doi.org/10.3390/f14081682
Xue S, Yuan L, Wang K, Wang J, Pei Y. Comparing the Impact of Urban Park Landscape Design Parameters on the Thermal Environment of Surrounding Low-Rise and High-Rise Neighborhoods. Forests. 2023; 14(8):1682. https://doi.org/10.3390/f14081682
Chicago/Turabian StyleXue, Sihan, Liang Yuan, Kun Wang, Jingxian Wang, and Yuanfeng Pei. 2023. "Comparing the Impact of Urban Park Landscape Design Parameters on the Thermal Environment of Surrounding Low-Rise and High-Rise Neighborhoods" Forests 14, no. 8: 1682. https://doi.org/10.3390/f14081682
APA StyleXue, S., Yuan, L., Wang, K., Wang, J., & Pei, Y. (2023). Comparing the Impact of Urban Park Landscape Design Parameters on the Thermal Environment of Surrounding Low-Rise and High-Rise Neighborhoods. Forests, 14(8), 1682. https://doi.org/10.3390/f14081682







































