Arthropod Recolonization of Soil Surface Habitat in Post-Fire Mulch Treatments
Abstract
1. Introduction
2. Materials and Methods
2.1. Research Sites
2.2. Arthropod and Vegetation Data Collection
2.2.1. Museum Fire Transects
2.2.2. Centennial Forest Mulch Plots
2.2.3. Specimen Identification
2.2.4. Analysis
3. Results
3.1. Beetles of the Museum Fire
3.2. Indicator Species by Beetle Family and Function
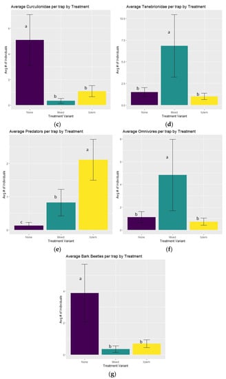
3.3. Beetles of the Centennial Forest Slash-Pile Scars
Indicator Species by Beetle Family and Function
4. Discussion
5. Conclusions
Author Contributions
Funding
Data Availability Statement
Conflicts of Interest
References
- Singleton, M.P.; Thode, A.E.; Sánchez Meador, A.J.; Iniguez, J.M. Increasing trends in high-severity fire in the southwestern USA from 1984 to 2015. For. Ecol. Manag. 2021, 433, 709–719. [Google Scholar] [CrossRef]
- Mueller, S.E.; Thode, A.E.; Margolis, E.Q.; Yocom, L.L.; Young, J.D.; Iniguez, J.M. Climate relationships with increasing wildfire in the southwestern US from 1984 to 2015. For. Ecol. Manag. 2021, 460, 117861. [Google Scholar] [CrossRef]
- Zabowski, D.; Java, B.; Scherer, G.; Everett, R.L.; Ottmar, R. Timber harvesting residue treatment: Part 1. Responses of conifer seedlings, soils and microclimate. For. Ecol. Manag. 2000, 126, 25–34. [Google Scholar] [CrossRef]
- Korb, J.; Johnson, N.; Covington, W. Slash pile burning effects on soil biotic and chemical properties and plant establishment: Recommendations for amelioration. Restor. Ecol. 2004, 12, 52–62. [Google Scholar] [CrossRef]
- Coop, J.D.; Parks, S.A.; Stevens-Rumann, C.S.; Crausbay, S.D.; Higuera, P.E.; Hurteau, M.D.; Tepley, A.; Whitman, E.; Assal, T.; Collins, B.M.; et al. Wildfire-Driven Forest Conversion in Western North American Landscapes. BioScience 2020, 70, 659–673. [Google Scholar] [CrossRef]
- Verma, S.; Jayakumar, S. Impact of forest fire on physical, chemical and biological properties of soil: A review. Proc. Int. Acad. Ecol. Environ. Sci. 2012, 2, 168–176. [Google Scholar]
- Pausas, J.; Parr, C. Towards an understanding of the evolutionary role of fire in animals. Evol. Ecol. 2018, 32, 113–125. [Google Scholar] [CrossRef]
- Bieber, B.V.; Vyas, D.K.; Koltz, A.M.; Burkle, L.A.; Bey, K.S.; Guzinski, C.; Murphy, S.M.; Vidal, M.C. Increasing prevalence of severe fires change the structure of arthropod communities: Evidence from a meta-analysis. Funct. Ecol. 2022. [Google Scholar] [CrossRef]
- Swengel, A.B. A literature review of insect responses to fire, compared to other conservation managements of open habitat. Biodivers. Conserv. 2001, 10, 1141–1169. [Google Scholar] [CrossRef]
- Holliday, N. Species responses of carabid beetles (Coleoptera: Carabidae) during post-fire regeneration of boreal forest. Can. Entomol. 1991, 123, 1369–1389. [Google Scholar] [CrossRef]
- Villa-Castillo, J.; Wagner, M.R. Ground Beetle (Coleoptera: Carabidae) species assemblage as an indicator of forest condition in northern Arizona ponderosa pine forests. Community Ecosyst. Ecol. 2002, 31, 242–252. [Google Scholar] [CrossRef]
- Rainio, J.; Niemelä, J. Ground beetles (Coleoptera: Carabidae) as bioindicators. Biodivers. Conserv. 2003, 12, 487–506. [Google Scholar] [CrossRef]
- Catling, P.M.; Goulet, H.; Bennett, R.; Kostiuck, B. Orthopterans (Orthoptera), ground beetles (Coleoptera: Carabidae), and spiders (Araneae) in burned and unburned alvar woodlands—The importance of postfire succession to insect diversity. JESO 2010, 141, 27–37. [Google Scholar]
- Bergmann, D.J.; Chaplin, S.J. Correlates of Species Composition of Grasshopper (Orthoptera: Acrididae) Communities on Ozark Cedar Glades. Southwest. Nat. 1992, 37, 362–371. [Google Scholar] [CrossRef]
- Hahn, P.G.; Orrock, J.L. Land-use history alters contemporary insect herbivore community composition and decouples plant–herbivore relationships. J. Anim. Ecol. 2015, 84, 745–754. [Google Scholar] [CrossRef] [PubMed]
- Hochkirch, A.; Adorf, F. Effects of prescribed burning and wildfires on Orthoptera in Central European peat bogs. Environ. Conserv. 2007, 34, 225–235. [Google Scholar] [CrossRef]
- Clayton, J.C. The effects of clearcutting and wildfire on grasshoppers and crickets (Orthoptera) in an intermountain forest ecosystem. J. Orthoptera Res. 2002, 11, 163–167. [Google Scholar] [CrossRef]
- Ferrenberg, S.M.; Schwilk, D.W.; Knapp, E.E.; Groth, E.; Keeley, J.E. Fire decreases arthropod abundance but increase diversity: Early and late season prescribed fire effects in a Sierra Nevada mixed-conifer forest. Fire Ecol. 2006, 2, 79–102. [Google Scholar] [CrossRef]
- Apigian, K.O.; Dahlsten, D.L.; Stephens, S.L. Fire and surrogate treatment effect on leaf litter arthropods in a western Sierra Nevada mixed-conifer forest. For. Ecol. Manag. 2006, 221, 110–122. [Google Scholar] [CrossRef]
- Vidal-Coredero, J.M.; Arnan, X.; Rodrigo, A.; Cerdá, X.; Boulday, R. Four-year study of arthropod taxonomic and functional responses to a forest wildfire: Epigeic ants and spiders are affected differently. For. Ecol. Manag. 2022, 520, 120379. [Google Scholar] [CrossRef]
- Ferrenberg, S.; Wickey, P.; Coop, J.D. Ground-Dwelling Arthropod Community Responses to Recent and Repeated Wildfires in Conifer Forests of Northern New Mexico, USA. Forests 2019, 10, 667. [Google Scholar] [CrossRef]
- Koltz, A.M.; Burkle, L.A.; Pressler, Y.; Dell, J.E.; Vidal, M.A.; Richards, L.A.; Murphy, S.M. Global change and the importance of fire for the ecology and evolution of insects. Curr. Opin. Insect. Sci. 2017, 29, 110–116. [Google Scholar] [CrossRef] [PubMed]
- Moretti, M.; Obrist, M.K.; Duelli, P. Arthropod biodiversity after forest fires: Winners and losers in the winter fire regime of the Southern Alps. Ecography 2004, 27, 173–186. [Google Scholar] [CrossRef]
- Robichaud, P.R.; Rhee, H.; Lewis, S.A. A synthesis of post-fire Burned Area Reports from 1972 to 2009 for western US Forest Service lands: Trends in wildfire characteristics and post-fire stabilisation treatments and expenditures. Int. J. Wildland Fire 2014, 23, 929–944. [Google Scholar] [CrossRef]
- Robichaud, P.R.; Ashmun, L.E.; Sims, B.D. Post-Fire Treatment Effectiveness for Hillslope Stabilization; General Technical Report RMRS-GTR-240 2010; United States Department of Agriculture, Rocky Mountain Research Station: Fort Collins, CO, USA, 1998.
- MacDonald, L.H.; Robichaud, P.R. Post-Fire Erosion and the Effectiveness of Emergency Rehabilitation Treatments over Time; Stream Notes; USDA Forest Service, Rocky Mountain Research Station: Fort Collins, CO, USA, 2008.
- Robichaud, P.R.; Ashmun, L.E.; Foltz, R.B.; Showers, C.G.; Groenier, J.S. Production and Aerial Application of Wood Shreds as a Post-Fire Hillslope Erosion Mitigation Treatment; General Technical Report RMRS-GTR-307 2013; United States Department of Agriculture, Rocky Mountain Research Station: Fort Collins, CO, USA, 2013.
- Fornwalt, P.J. Impacts of Seeding and Seeding Plus Mulching Treatments on Exotic Plant Incastion and Native Plant Recovery Following the 2010 Fourmile Canyon Fire, Canyon; Final Report to Boulder County Parks and Open Space; USDA Forest Service, Rocky Mountain Research Station: Fort Collins, CO, USA, 2012.
- Jonas, J.L.; Berryman, E.; Wolka, B.; Morgan, P.; Robichaud, P.R. Post-fire wood mulch for reducing erosion potential increases tree seedlings with few impacts on understory plants and soil nitrogen. For. Ecol. Manag. 2019, 453, 117567. [Google Scholar] [CrossRef]
- DeSandoli, L.; Turkington, R.; Fraser, L. Restoration of slash pile burn scars to prevent establishment and propagation of non-native plants. Can. J. For. Res. 2016, 46, 1042–1050. [Google Scholar] [CrossRef]
- Rhoades, C.C.; Fornwalt, P.J.; Paschke, M.W.; Shanklin, A.; Jonas, J.L. Recovery of small pile burn scars in conifer forests of the Colorado Front Range. For. Ecol. Manag. 2015, 347, 180–187. [Google Scholar] [CrossRef]
- Rhoades, C.C.; Minatre, K.L.; Pierson, D.N.; Fegel, T.S.; Cotrufo, M.F.; Kelly, E.F. Examining the potential of forest residue-based amendments for post-wildfire rehabilitation in Colorado, USA. Hindawi Sci. 2017, 2017, 4758316. [Google Scholar] [CrossRef]
- Murphy, S.M.; Vidal, M.C.; Smith, T.P.; Hallagan, C.J.; Broder, E.D.; Rowland, D.; Cepero, L.C. Forest fire severity affects host plant quality and insect herbivore damage. Front. Ecol. Evol. 2018, 6, 135. [Google Scholar] [CrossRef]
- Nadel, R.L.; Scholes, M.C.; Byrne, M.J. Slash burning, faunal composition, and nutrient dynamics in a Eucalyptus grandis plantation in South Africa. Can. J. For. Res. 2007, 37, 226–235. [Google Scholar] [CrossRef]
- Lavoura Puga, J.R.; Cabaços Abrantes, N.J.; Saraiva de Oliveira, M.J.; Simões Viera, D.C.; Regina Faria, S.; Gonçalves, F.; Keizer, J.J. Long-term impacts of post-fire mulching on ground-dwelling arthropod communities in a eucalypt plantation. Land Degrad. Dev. 2017, 28, 1156–1162. [Google Scholar] [CrossRef]
- Buddle, C.M.; Langor, D.W.; Pohl, G.R.; Spence, J.R. Arthropod responses to harvesting and wildfire: Implications for emulation of natural disturbance in forest management. Biol. Conserv. 2006, 128, 346–357. [Google Scholar] [CrossRef]
- Menon, M.; Bagley, J.C.; Friedline, C.J.; Whipple, A.V.; Schoettle, A.W.; Leal-Sàenz, A.; Wehenkel, C.; Molina-Freaner, F.; Flores-Rentería, L.; Gonzalez-Elizondo, M.S.; et al. The role of hybridization during ecological divergence of southwestern white pine (Pinus strobiformis) and limber pine (P. flexilis). J. Mol. Ecol. 2018, 27, 1245–1260. [Google Scholar] [CrossRef] [PubMed]
- Looney, C.E.; Waring, K.M. Patterns of forest structure, competition and regeneration in southwestern white pine (Pinus strobiformis) forests. For. Ecol. Manag. 2012, 286, 159–170. [Google Scholar] [CrossRef]
- Porter, R.; Joyal, T.; Beers, R.; Loverich, J.; LaPlante, A.; Spruell, J.; Youberg, A.; Schenk, E.; Robichaud, P.R.; Springer, A.E. Seismic Monitoring of Post-wildfire Debris Flows Following the 2019 Museum Fire, Arizona. Front. Earth Sci. 2021, 9, 649938. [Google Scholar] [CrossRef]
- USFS Hydrology Personnel, Coconino National Forest. Personal communication, 2020.
- Cobb, N.; Delph, R.; Higgins, J. Pitfall Tube Trap Specifications & Construction. Colorado Plateau Biodiversity Center Arthropod Museum. 2011. Available online: https://www.bugs.nau.edu/ (accessed on 1 April 2019).
- Busse, M.D.; Shestak, C.J.; Hubbert, K.R. Soil heating during burning of forest slash piles and wood piles. Int. J. Wildland Fire 2013, 22, 786–796. [Google Scholar] [CrossRef]
- Creech, M.N.; Kirkman, L.K.; Morris, L.A. Alteration and recovery of slash pile burn sites in the restoration of a fire-maintained ecosystem. Restor. Ecol. 2012, 20, 505–516. [Google Scholar] [CrossRef]
- Hubbert, K.; Busse, M.; Overby, S.; Shestak, C.; Gerrard, R. Pile burning effects on soil water repellency, infiltration, and downslope water chemistry in the Lake Tahoe Basin, USA. Fire Ecol. 2015, 11, 100–118. [Google Scholar] [CrossRef]
- McCabe, L.M.; Cobbs, N.S. From Bees to Flies: Global Shift in Pollinator Communities Along Elevation Gradients. Front. Ecol. Evol. 2021, 8, 626124. [Google Scholar] [CrossRef]
- Elia, M.; Lafortezza, R.; Tarasco, E.; Colangelo, G.; Sanesi, G. The spatial and temporal effects of fire on insect abundance in Mediterranean forest ecosystems. For. Ecol. Manag. 2012, 263, 262–267. [Google Scholar] [CrossRef]
- Pureswaran, D.S.; Roques, A.; Battisti, A. Forest insects and climate change. Curr. For. Rep. 2018, 4, 35–50. [Google Scholar] [CrossRef]
- Mott, C.M.; (School of Forestry, Northern Arizona University, Flagstaff, AZ, USA); Hofstetter, R.W.; (School of Forestry, Northern Arizona University, Flagstaff, AZ, USA). Post-fire arthropod survey in Northern Arizona. Unpublished data. 2023. [Google Scholar]
- Antunes, S.C.; Curado, N.; Castro, B.B.; Gonçalves, F. Short-term recovery of soil functional parameters and edaphic macro-arthropod community after a forest fire. J. Soils Sediments 2009, 9, 267–278. [Google Scholar] [CrossRef]
- LaBonte, J.R. New records of Carabidae and Trachypachidae (Coleoptera) from the western United States. Pan-Pac. Entomol. 2022, 98, 42–51. [Google Scholar] [CrossRef]
- Niwa, C.G.; Peck, R.W. Influence of prescribed fire on Carabid beetle (Carabidae) and spider (Araneae) assemblages in forest litter in southwestern Oregon. Environ. Entomol. 2002, 31, 785–796. [Google Scholar] [CrossRef]
- National Weather Service. Available online: https://www.weather.gov/fgz/Monsoon (accessed on 1 January 2021).
- Weather Spark. Available online: https://weatherspark.com/h/y/145526/2021/Historical-Weather-during-2021-at-Flagstaff-Pulliam-Airport-Arizona-United-States (accessed on 1 January 2021).
- Mott, C.M.; Hostetter, R.W.; Antoninka, A.J. Post-harvest slash burning in coniferous forests in North America: A review of ecological impacts. For. Ecol. Manag. 2021, 493, 119251. [Google Scholar] [CrossRef]
- Schowalter, T. Arthropod Diversity and Functional Importance in Old-Growth Forests of North America. Forests 2017, 8, 97. [Google Scholar] [CrossRef]
- Kirejtshuk, A.G.; Leschen, R.A.B. Review of the Thalycra complex (Coleoptera: Nitidulinae) with three new genera and notes on mycophagy. Ann. Zool. 1998, 48, 253–273. [Google Scholar]
- Morgan, P.; Moy, M.; Droske, C.A.; Lentile, L.B.; Lewis, S.A.; Robichaud, P.R.; Hudak, A.T. Vegetation Response after Post-Fire Mulching and Native Grass Seeding. Fire Ecol. 2014, 10, 49–62. [Google Scholar] [CrossRef]





| Study Site | Center of Transect | Elevation |
|---|---|---|
| Museum Fire A3 | 35°15′31″ N 111°37′26″ W | 7720 feet (2353 m) |
| Museum Fire B3 | 35°16′2″ N 111°36′36″ W | 8400 feet (2560 m) |
| Museum Fire C3 | 35°15′39″ N 111°36′9″ W | 8860 feet (2700 m) |
| Museum Fire D3 | 35°15′27″ N 111°36′26″ W | 8760 feet (2670 m) |
| Centennial Forest (all plots) | 35°11′6″ N 111°46′1″ W | 7200 feet (2195 m) |
| Coleoptera | Orthoptera | Ants (Hymenoptera) | Diptera | Other Hymenoptera | Spiders | Other | |
|---|---|---|---|---|---|---|---|
| Museum Fire | 48% | 6% | 9% | 26% | 0.1% | 3% | 8% |
| Centennial Forest | 37% | 20% | 36% | 1% | 0.1% | 5% | 1% |
| CENTENNIAL FOREST | |||
|---|---|---|---|
| Family | Trap Period (IV, p) | Treated/Untreated (IV, p) | Mulch Type (IV, p) |
| Nitidulidae | 80.3, p = 0.0002 (ES2) | None | None |
| Staphylinidae | 86.4, p = 0.0002 (LS2) | None | None |
| Tenebrionidae | 83.7, p = 0.0002 (ES2) | None | None |
| Functional Group | |||
| Fungivore | 81.4, p = 0.0002 (ES2) | None | None |
| Omnivore | 87.9, p = 0.0002 (LS2) | None | None |
| Predator | 88.4, p = 0.0002 (ES2) | None | None |
| MUSEUM FIRE | |||
| Family | Trap Period (IV, p) | Mulch Type (IV, p) | Period × Mulch (IV, p) |
| Carabidae | -- | 21.8, p = 0.0610 (xylem) | 22.5, p = 0.0594 (LS2, mixed) |
| Coccinellidae | 22.3, p = 0.0046 (LS3) | -- | 24.6, p = 0.0452 (LS2, mixed) |
| Curculionidae | -- | 50.6, p = 0.0042 (none) | -- |
| Nitidulidae | 77.2, p = 0.0002 (ES2) | -- | 41.1, p = 0.0042 (ES2, none) |
| Scarabaeidae | 23.5, p = 0.0292 (LS1) | -- | -- |
| Tenebrionidae | 79.8, p = 0.0002 (ES2) | 34.2, p = 0.0650 (mixed) | 71.1, p = 0.0002 (ES2, mixed) |
| Trachypachidae | 41.7, p = 0.0002 (ES2) | 20.3, p = 0.0584 (xylem) | 61.4, p = 0.0004 (ES2, xylem) |
| Functional Group | Trap Period (IV, p) | Mulch Type | Period × Mulch |
| Fungivore | 79.4, p = 0.0002 (ES2) | -- | 39.1, p = 0.0048 (ES2, none) |
| Herbivore (bark beetle) | -- | 49.2, p = 0.0014 (none) | -- |
| Omnivore | 79.8, p = 0.0002 (ES2) | 34.0, p = 0.0690 (mixed) | 70.8, p = 0.0002 (ES2, mixed) |
| Predator | 35.0, p = 0.0624 (ES2) | 50.0, p = 0.0018 (xylem) | 39.2, p = 0.0054 (ES2, xylem) |
| Unknown | 44.2, p = 0.0002 (ES2) | 28.3, p = 0.0408 (xylem) | 60.5, p = 0.0008 (ES2, xylem) |
| Family | K-W Test Statistics |
|---|---|
| Carabidae | χ2 = 9.9459, p = 0.0069 |
| Cryptophagidae | χ2 = 7.5643, p = 0.0228 |
| Curculionidae | χ2 = 12.1, p = 0.0024 |
| Tenebrionidae | χ2 = 5.4865, p = 0.0644 |
| Trachypachidae | χ2 = 5.9248, p = 0.0517 |
| Function | K-W test statistics |
| Bark beetles (HERBB) | χ2 = 13.991, p = 0.0009 |
| Omnivores (OMNI) | χ2 = 4.9417, p = 0.0845 |
| Predators (PRED) | χ2 = 8.5874, p = 0.0137 |
Disclaimer/Publisher’s Note: The statements, opinions and data contained in all publications are solely those of the individual author(s) and contributor(s) and not of MDPI and/or the editor(s). MDPI and/or the editor(s) disclaim responsibility for any injury to people or property resulting from any ideas, methods, instructions or products referred to in the content. |
© 2023 by the authors. Licensee MDPI, Basel, Switzerland. This article is an open access article distributed under the terms and conditions of the Creative Commons Attribution (CC BY) license (https://creativecommons.org/licenses/by/4.0/).
Share and Cite
Mott, C.; Antoninka, A.; Hofstetter, R. Arthropod Recolonization of Soil Surface Habitat in Post-Fire Mulch Treatments. Forests 2023, 14, 1421. https://doi.org/10.3390/f14071421
Mott C, Antoninka A, Hofstetter R. Arthropod Recolonization of Soil Surface Habitat in Post-Fire Mulch Treatments. Forests. 2023; 14(7):1421. https://doi.org/10.3390/f14071421
Chicago/Turabian StyleMott, Christine, Anita Antoninka, and Richard Hofstetter. 2023. "Arthropod Recolonization of Soil Surface Habitat in Post-Fire Mulch Treatments" Forests 14, no. 7: 1421. https://doi.org/10.3390/f14071421
APA StyleMott, C., Antoninka, A., & Hofstetter, R. (2023). Arthropod Recolonization of Soil Surface Habitat in Post-Fire Mulch Treatments. Forests, 14(7), 1421. https://doi.org/10.3390/f14071421

