Main Factors of Professional Experience on People’s Visual Behavior and Re-Viewing Intention in Different In-Forest Landscapes
Abstract
1. Introduction
1.1. Utilization Trend in Forest Landscape Resources
1.2. Importance of Meeting the Needs of Diversified Tourists
1.3. Application of Visual Behavior Analysis in Forest Landscape Research
2. Materials and Methods
2.1. Study Area and Research Materials
2.2. Experimental Process
3. Result
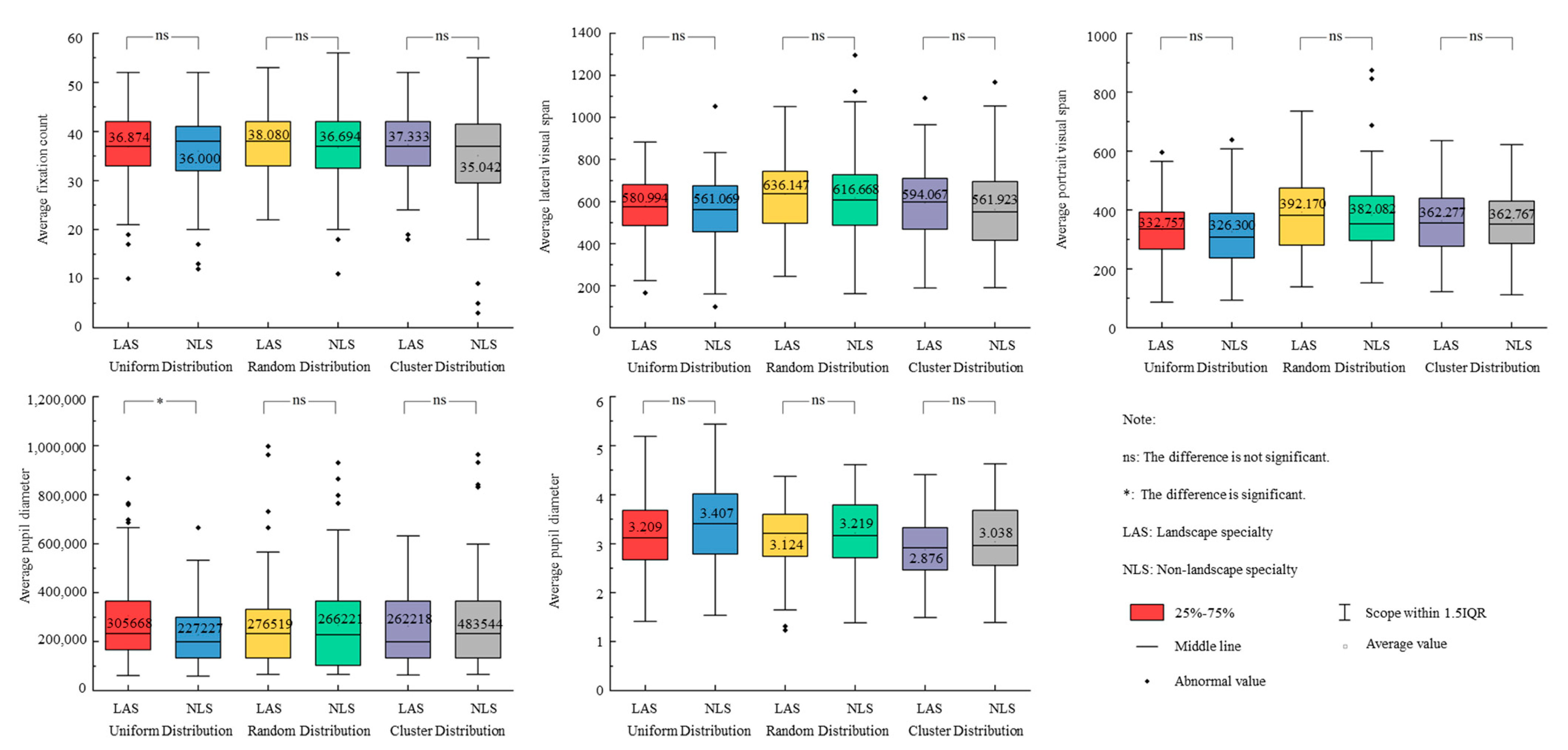
3.1. Visual Behavior of Users with Different Professional Specialties in In-Forest Landscape
- (1)
- Overall, the visual range of a user with landscape professional knowledge is wider than that of a user without landscape professional knowledge. Additionally, the vertical visual range of users with landscape knowledge is relatively stable (X: 1500–3500 pixels; Y: 1000–3000 pixels).
- (2)
- Professional knowledge of landscape will affect their visual attention of in-forest landscape space. When viewing the in-forest landscape of UDS, users with landscape specialty have a larger horizontal and vertical search range than users without landscape knowledge. Moreover, users with landscape specialty (LAS) have a wider vertical search range, while those without landscape specialty (NLS) have the same horizontal and vertical search range (XLAS: 1000–4000 pixels; YLAS: 1000–3000 pixels; XNLS: 1500–3000 pixels; YNLS: 1000–2500 pixels).
3.2. Satisfaction Preference and Re-Viewing Intention of In-Forest Landscape for Users with Different Specialties
3.3. Satisfaction Preference and Re-Viewing Intention of In-Forest Landscapes with Different Spatial Layout
- (1)
- Users’ professional backgrounds are different, and their spatial cognition to arouse their visual behavior of in-forest landscape space is different.
- (2)
- In the forest landscape of in-forest space, when the distribution form (spatial layout) of plants changes, the visual behavior of individuals in response to the scene also changes accordingly. Additionally, the APD of users with a landscape specialty changes (negatively), while the FFD of users without a landscape specialty also changes (positively).
- (3)
- Users’ fixation count of in-forest landscape space can reflect their re-viewing intention of the scene. For users with a landscape specialty, the more they look at the scene, the lower their re-viewing intention. In contrast, users who do not have professional knowledge of the landscape show high re-viewing intention.
- (1)
- When users with a landscape specialty appreciate the landscape of UDS, RLC, NSI, SPE and SHI are positively correlated with SAP (p < 0.05) and negatively correlated with AFC and APD (p < 0.05), while SHI and SUN are positively correlated with SAP, AFC and APD for people without a landscape specialty (p < 0.05).
- (2)
- When users with a landscape specialty appreciate the landscape of RDS, RLC, RCO, BCO, SPE and SHI are positively correlated with SAP, ALV and APV (p < 0.05) and negatively correlated with APD (p < 0.05). Meanwhile, when users without a landscape specialty view such scenes, RLC, NSI, RCO, BCO, SPE and SUN are positively correlated with SAP, AFC, APV and APD (p < 0.05) and negatively correlated with FFD (p < 0.05).
- (3)
- When users with a landscape specialty appreciate the landscape of CDS, SPE, SHI and SUN are positively correlated with SAP, ALV and APV (p < 0.05) and negatively correlated with AFC (p < 0.05). However, when users without a landscape specialty view such scenes, NSI is positively correlated with SAP and AFC (p < 0.05).
4. Discussion
- (1)
- For spatial attributes, the visual structure and spatial attributes of landscape are the basic framework for aesthetic cognition [61]. For woody plant space, its main expressions are the form of space and the texture of plants [62,63]. This study discusses people’s visual behavior characteristics of in-forest space from the perspective of different spatial layouts. Although there are differences in spatial layout, they all show more homogeneity in shape, texture and spatial attributes, which is one reason why people have similar visual behavior characteristic in landscape space with strong homogeneity.
- (2)
- Regarding participants’ attributes, all participants recruited in this study are college students aged 20–26. Although they are considered to have good aesthetic judgment [27,29], in terms of age, such people all belong to young people. Similar age group attributes will make them have the same behavior trend, which is the second reason for their similar visual behavior characteristics.
- (3)
- From the background of participants’ current education and living environment, as students in an agricultural and forestry college, they will inevitably be greatly influenced by relevant knowledge of forestry or agriculture. After all, imparting knowledge from courses and teaching will make participants have similar knowledge orientation. This is also the third reason why they have a similar understanding of the forest, which leads to the formation of similar visual behavior.
- (4)
- In addition, it is very important that Cordon Allport (1937) put forward the trait theory that personality traits can be divided into common traits and personal traits [64]. It also points out that as an intermediary variable, people’s behavior is consistent in a certain social and cultural form or in a certain group. Similarly, ecological psychologists, represented by Barker, also pointed out that the characteristics of the environment support certain fixed behavior patterns. Although the user in them is constantly changing, fixed behavior patterns will be repeated in a certain period of time [65]. This also explains why the visual behavior of college students who viewing the landscape space of forests is similar in this study.
4.1. When Viewing Landscape Space with the Same Spatial Layout, the Overall Satisfaction Evaluation of the Landscape Space Is Not Affected by the Professional Background, and the Aesthetic Preference of the Scene Will Stimulate People’s High Desire to Visit Again
4.2. Spatial Cognitive Factors That Work Together on Visual Behavior and Satisfaction Preference Change with Differences in Spatial Layout and Professional Background
- (1)
- Cognitive indicators (layering and stereoscopic impression) represented by the structure of space can jointly act on the visual behavior and preferences of users with different educational backgrounds. That is, people’s cognitive index of spatial structure is the core element to promote people’s positive visual behavior and overall evaluation.
- (2)
- When the layout of an in-forest landscape space changes, the contribution (or influence) of content richness and ribbon diversity derived from structural cognition to visual behavior and overall satisfaction evaluation also changes.
4.3. Feasibility and Limitations
4.3.1. Feasibility
4.3.2. Limitations
5. Conclusions
- (1)
- Under the background of an in-forest landscape, the visual behavior of users in different layouts presents great similarity.
- (2)
- Although users with different professional attributes present similar visual behaviors and satisfaction preferences for in-forest landscapes, the aesthetic preferences of the scene will stimulate people’s higher desire to visit again. (There is a significant linear relationship between satisfaction preference and re-viewing intention (Adj. R2 = 0.412 − 0.697, Sig. = 0.000). The more satisfied people are with the first impression of the scene, the higher their desire to visit it again).
- (3)
- The spatial cognitive mechanism of arousing the visual behavior and satisfaction preference for in-forest landscapes of users with different professional backgrounds is different. On the whole, the color brightness and layering of the scene work together on the visual behavior and satisfaction evaluation of professional landscape users (p < 0.05), but these two spatial cognition factors have no significant influence on the cognitive mechanism of visual behavior and satisfaction evaluation of non-professional landscape users (p > 0.05).
Author Contributions
Funding
Data Availability Statement
Conflicts of Interest
References
- Karahalil, U.; Başkent, E.; Köse, S. Integrating visitor characteristics and preferences into forest management plans in protected areas: A case study in Köprülü Canyon National Park. J. Prot. Mt. Areas Res. Manag. 2015, 7, 5–17. [Google Scholar] [CrossRef]
- Financial News Network of China. 2022. Available online: http://life.3news.cn/ylbg/2022/0419/696697.html (accessed on 19 April 2022).
- China People’s Network. 2020. Available online: http://env.people.com.cn/n1/2020/0116/c1010-31552063.html (accessed on 16 January 2020).
- Petucco, C.; Skovsgaard, J.P.; Jensen, F.S. Recreational preferences depending on thinning practice in young even-aged stands of pedunculate oak (Quercus robur L.): Comparing the opinions of forest and landscape experts and the general population of Denmark. Scand. J. For. Res. 2013, 28, 668–676. [Google Scholar] [CrossRef]
- Farkic, J.; Isailovic, G.; Taylor, S. Forest bathing as a mindful tourism practice. Ann. Tour. Res. Empir. Insights 2021, 2, 100028. [Google Scholar] [CrossRef]
- Brooks, S.; Webster, R.; Smith, L.; Woodland, L.; Wessely, S.; Greenberg, N.; Rubin, G. The psychological impact of quarantine and how to reduce it: Rapid review of the evidence. Lancet 2020, 395, 10227. [Google Scholar] [CrossRef] [PubMed]
- Führer, E. Forest functions, ecosystem stability and management. For. Ecol. Manag. 2000, 132, 29–38. [Google Scholar] [CrossRef]
- Pinto-Correia, T.; Gustavsson, R.; Pirnat, J. Bridging the Gap between Centrally Defined Policies and Local Decisions—Towards more Sensitive and Creative Rural Landscape Management. Landsc. Ecol. 2006, 21, 333–346. [Google Scholar] [CrossRef]
- Luz, F. Participatory landscape ecology—A basis for acceptance and implementation. Landsc. Urban Plan. 2000, 50, 157–166. [Google Scholar] [CrossRef]
- Harrison, C.; Burgess, J. Valuing nature in context: The contribution of common-good approach. Biodivers. Conserv. 2000, 9, 1115–1130. [Google Scholar] [CrossRef]
- Zhang, T.; Zhang, W.; Meng, H.; Zhang, Z. Analyzing Visitors’ Preferences and Evaluation of Satisfaction Based on Different Attributes, with Forest Trails in the Akasawa National Recreational Forest, Central Japan. Forests 2019, 10, 431. [Google Scholar] [CrossRef]
- De Groot, R. Function-analysis and valuation as a tool to assess land use conflicts in planning for sustainable, multi-functional landscapes. Landsc. Urban Plan. 2006, 75, 175–186. [Google Scholar] [CrossRef]
- Yin, S.; Chen, W.Y.; Liu, C. Urban forests as a strategy for transforming towards healthy cities. Urban For. Urban Green. 2023, 81, 127871. [Google Scholar] [CrossRef]
- Karhu, I.; Kellomäki, S. Väestön mielipiteet metsänhoidon vaikutuksesta maisemakuvaan Puolangan kunnassa. Silva Fenn. 1980, 14, 409–428. [Google Scholar] [CrossRef]
- De Meo, I.; Paletto, A.; Cantiani, M. The attractiveness of forests: Preferences and perceptions in a mountain community in Italy. Ann. For. Res. 2015, 58, 145–156. [Google Scholar] [CrossRef]
- Mak, B.K.L.; Jim, C.Y. Linking park users’ socio-demographic characteristics and visit-related preferences to improve urban parks. Cities 2019, 92, 97–111. [Google Scholar] [CrossRef]
- Kiplagat, A.; Koech, J.; Ngetich, J.; Lagat, M.; Khazenzi, J.; Odhiambo, K. Urban green space characteristics, visitation patterns and influence of visitors’ socio-economic attributes on visitation in Kisumu City and Eldoret Municipality, Kenya. Trees For. People 2022, 7, 100175. [Google Scholar] [CrossRef]
- Ghimire, R.; Green, G.; Poudyal, N.; Cordell, H. Who recreates where: Implications from a national recreation household survey. J. For. Wash. 2016, 114, 458–465. [Google Scholar] [CrossRef]
- Dudek, T. Influence of selected features of forests on forest landscape aesthetic value—Example of SE Poland. J. Environ. Eng. Landsc. Manag. 2018, 26, 275–284. [Google Scholar] [CrossRef]
- Ciesielski, M.; Stereńczak, K. What do we expect from forests? The European view of public demands. J. Environ. Manag. 2018, 209, 139–151. [Google Scholar] [CrossRef]
- Beierle, T.C. Public Participation in Environmental Decisions: An Evaluation Framework Using Social Goals; Discussion Paper 99-06; Resources for the Future: Washington, DC, USA, 1998. [Google Scholar]
- Kangas, A.; Laukkanen, S.; Kangas, J. Social choice theory and its applications in sustainable forest management—A review. For. Policy Econ. 2006, 9, 77–92. [Google Scholar] [CrossRef]
- Wei, H.; Hauer, R.J.; Guo, S. Daytime dynamic of spontaneous expressions of pedestrians in an urban forest park. Urban For. Urban Green. 2021, 65, 127326. [Google Scholar] [CrossRef]
- Liu, T. Research and Optimized Implementation of Eye Tracking Technol; Xidian University: Xi’an, China, 2011. (In Chinese) [Google Scholar]
- Schneider, W.; Eschman, A.; Zuccolotto, A. E-Prime User’s Guide; Psychology Software Tools Inc.: Pittsburgh, PA, USA, 2002. [Google Scholar]
- Yarbus, A.L. Eye Movements and Vision; Cambridge University Press: New York, NY, USA, 1967. [Google Scholar]
- Van den Berg, A.E.; Joye, Y.; Koole, S.L. Why viewing nature is more fascinating and restorative than viewing buildings: A closer look at perceived complexity. Urban For. Urban Green. 2016, 20, 397–401. [Google Scholar] [CrossRef]
- Berto, R.; Massaccesi, S.; Pasini, M. Do eye movements measured across high and low fascination photographs differ? Addressing Kaplan’s fascination hypothesis. J. Environ. Psychol. 2008, 28, 185–191. [Google Scholar] [CrossRef]
- Gao, Y.; Zhang, T.; Zhang, W.; Meng, H.; Zhang, Z. Research on visual behavior characteristics and cognitive evaluation of different types of forest landscape spaces. Urban For. Urban Green. 2020, 54, 126788. [Google Scholar] [CrossRef]
- Zhou, S.; Gao, Y.; Zhang, Z.; Zhang, W.; Meng, H.; Zhang, T. Visual Behaviour and Cognitive Preferences of Users for Constituent Elements in Forest Landscape Spaces. Forests 2022, 13, 47. [Google Scholar] [CrossRef]
- Amati, M.; Ghanbari Parmehr, E.; McCarthy, C.; Sita, J. How eye-catching are natural features when walking through a park? Eye-tracking responses to videos of walks. Urban For. Urban Green. 2018, 31, 67–78. [Google Scholar] [CrossRef]
- De Lucio, J.V.; Mohamadian, M.; Ruiz, J.P.; Banayas, J.; Bernaldez, F.G. Visual landscape exploration as revealed by eye movement tracking. Landsc. Urban Plan. 1996, 34, 135–142. [Google Scholar] [CrossRef]
- Li, C.; Ge, S.; Wang, R. Similarities and Differences in the Outsiders and Insiders’ Visual Preferences on Sacred Landscape. Front. Psychol. 2022, 13, 743933. [Google Scholar] [CrossRef]
- Dupont, L.; Antrop, M.; Van Eetvelde, V. Does landscape related expertise influence the visual perception of landscape photographs? Implications for participatory landscape planning and management. Landsc. Urban Plan. 2015, 141, 68–77. [Google Scholar] [CrossRef]
- Lockhart, R.; Craik, F.; Jacoby, L. Depth of processing, recognition and recall: Some aspects of a general memory system. Recognit. Recall 1976, 6, 75–102. [Google Scholar]
- Zhang, Z.; Gao, Y.; Zhou, S.; Zhang, T.; Zhang, W.; Meng, H. Psychological Cognitive Factors Affecting Visual Behavior and Satisfaction Preference for Forest Recreation Space. Forests 2022, 13, 136. [Google Scholar] [CrossRef]
- Mandler, G.; Shebo, B.J. Knowing and liking. Motiv. Emot. 1983, 7, 125–144. [Google Scholar] [CrossRef]
- Jacobsen, T.; Höfel, L. Descriptive and evaluative judgment processes: Behavioral and electrophysiological indices of processing symmetry and aesthetics. Cogn. Affect. Behav. Neurosci. 2003, 3, 289–299. [Google Scholar] [CrossRef]
- Jacobsen, T.; Höfel, L. Aesthetic Judgments of Novel Graphic Patterns: Analyses of Individual Judgments. Percept. Mot. Skills 2002, 95, 755–766. [Google Scholar] [CrossRef] [PubMed]
- Wu, J.; Zhong, Y.; Deng, J. Assessing and Mapping Forest Landscape Quality in China. Forests 2019, 10, 684. [Google Scholar] [CrossRef]
- Wang, B.; Peng, S.; Guo, L.; Ye, Y. Diversity of tropical forest landscape types in Hainan Island, China. Acta Ecol. Sin. 2007, 27, 1690–1695. [Google Scholar]
- Wang, R.; Zhao, J.; Liu, Z. Consensus in visual preferences: The effects of aesthetic quality and landscape types. Urban For. Urban Green. 2016, 20, 210–217. [Google Scholar] [CrossRef]
- Sevenant, M. Variation in Landscape Perception and Preference: Experiences from Case Studies in Rural and Urban Landscapes Observed by Different Groups of Respondents. Ph.D. Thesis, Ghent University, Ghent, Belgium, 2010. [Google Scholar]
- Khachatryan, H.; Rihn, A.; Hansen, G.; Clem, T. Landscape Aesthetics and Maintenance Perceptions: Assessing the Relationship between Homeowners’ Visual Attention and Landscape Care Knowledge. Land Use Policy 2020, 95, 104645. [Google Scholar] [CrossRef]
- Ding, N.; Zhong, Y.; Li, J.; Xiao, Q. Study on selection of native greening plants based on eye-tracking technology. Sci. Rep. 2022, 12, 1092. [Google Scholar] [CrossRef]
- Hui, G.Y.; Gadow, K.v.; Albert, M. The neighbourhood pattern-A new structure parameter for describing distribution of forest tree position. Sci. Silvae Sin. 1999, 35, 37–42. [Google Scholar]
- Deng, S.Q. Effects of Thinning Intensities on Landscape Qualities of Suburb Ecological Landscape Forest—A Case Study in Nanjing Wuxiangsi National Forestry Park. Master’s Thesis, Nanjing Forestry University, Nanjing, China, 2009. [Google Scholar]
- Dupont, L.; Ooms, K.; Antrop, M.; Van Eetvelde, V. Testing the validity of a saliency-based method for visual assessment of constructions in the landscape. Landsc. Urban Plan. 2017, 167, 325–338. [Google Scholar] [CrossRef]
- Dupont, L.; Ooms, K.; Duchowski, A.T.; Antrop, M.; Van Eetvelde, V. Investigating the visual exploration of the rural-urban gradient using eye-tracking. Spat. Cogn. Comput. 2016, 17, 65–88. [Google Scholar] [CrossRef]
- Hands, D.E.; Brown, R.D. Enhancing visual preference of ecological rehabilitation sites. Landsc. Urban Plan. 2002, 58, 57–70. [Google Scholar] [CrossRef]
- Wu, M.; Gao, Y.; Zhang, Z.; Zhang, B.; Meng, H.; Zhang, W.; Zhang, T. How Do Repeated Viewings in Forest Landscapes Influence Young People’s Visual Behaviors and Cognitive Evaluations? Int. J. Environ. Res. Public Health 2023, 20, 4753. [Google Scholar] [CrossRef]
- Zhe, Z.; Guangfa, Q.; Cheng, W.; Shasha, J.; Xi, L.; Mingxia, L. Application of eye-tracking assistive technology in forest landscape evaluation. World For. Res. 2017, 30, 19–23. [Google Scholar]
- Olivia, A.; Mack, M.L.; Shrestha, M.; Peeper, A.S. Identifying the Perceptual Dimensions of Visual Complexity of Scenes. Cogn. Sci. Soc. 2004, 26, 1041–1046. [Google Scholar]
- Wang, X.; Rodiek, S.; Wu, C.; Chen, Y.; Li, Y. Stress recovery and restorative effects of viewing different urban park scenes in Shanghai, China. Urban For. Urban Green. 2016, 15, 112–122. [Google Scholar] [CrossRef]
- Guo, S.; Zhao, N.; Zhang, J.; Xue, T.; Liu, P.; Xu, S.; Xu, D. Landscape visual quality assessment based on eye movement:college student eye-tracking experiments on tourism landscape pictures. Resour. Sci. 2017, 39, 1137–1147. [Google Scholar]
- Bagozzi, R.P. The self-regulation of attitudes, intentions and behavior. Soc. Psychol. Q. 1992, 55, 178–204. [Google Scholar] [CrossRef]
- Ode Sang, Å.; Knez, I.; Gunnarsson, B.; Hedblom, M. The effects of naturalness, gender, and age on how urban green space is perceived and used. Urban For. Urban Green. 2016, 18, 268–276. [Google Scholar] [CrossRef]
- Todorova, A.; Asakawa, S.; Aikoh, T. Preferences for and attitudes towards street flowers and trees in Sapporo, Japan. Landsc. Urban Plan. 2004, 69, 403–416. [Google Scholar] [CrossRef]
- Shi, Y.; Zhang, J.; Shen, X.; Chen, L.; Xu, Y.; Fu, R.; Su, Y.; Xia, Y. Designing Perennial Landscapes: Plant Form and Species Richness Influence the Gaze Perception Associated with Aesthetic Preference. Land 2022, 11, 1860. [Google Scholar] [CrossRef]
- Paraskevopoulou, A.; Kamperi, E.; Demiris, N.; Economou, M.; Theleritis, C.; Kitsonas, M.; Papageorgiou, C. The impact of seasonal colour change in planting on patients with psychotic disorders using biosensors. Urban For. Urban Green. 2018, 36, 50–56. [Google Scholar] [CrossRef]
- Lang, J. Symbolic Aesthetics in Architecture: Toward a Research Agenda; Cambridge University Press: Cambridge, MA, USA, 2013; pp. 11–26, 61. [Google Scholar]
- Yılmaz, S.; Özgüner, H.; Mumcu, S. An aesthetic approach to planting design in urban parks and greenspaces. Landsc. Res. 2018, 43, 965–983. [Google Scholar] [CrossRef]
- Oleksiichenko, N.; Gatalska, N.; Mavko, M.; Ostapchuk, O. The role of woody plants in the formation of figurative and symbolic structure of memorial parks. Landsc. Archit. Art 2019, 14, 78–88. [Google Scholar] [CrossRef]
- Gerrig, R. Psychology and Life, 16th ed.; Posts and Telecommunications: Beijing, China, 2003; p. 64. [Google Scholar]
- Gao, S. The Content Framework and Dilemma Countermeasures of Scenario Theory. Contemp. Commun. 2015, 183, 38–40. [Google Scholar]
- Tam, K.-P.; Milfont, T. Towards cross-cultural environmental Psychology:A state-of-the-art review and recommendations. J. Environ. Psychol. 2020, 71, 101474. [Google Scholar] [CrossRef]
- Ode, Å.; Fry, G.; Tveit, M.; Pernette, M.; Miller, D. Indicators of perceived naturalness as drivers of landscape preference. J. Environ. Manag. 2009, 90, 375–383. [Google Scholar] [CrossRef]
- Kaplan, R.; Talbot, J.F. Ethnicity and preference for natural settings: A review and recent findings. Landsc. Urban Plan. 1988, 15, 107–117. [Google Scholar] [CrossRef]
- Kunst-Wilson, W.; Zajonc, R.B.J.S. Affective discrimination of stimuli that cannot be recognized. Science 1980, 207, 557–558. [Google Scholar] [CrossRef]
- Zajonc, R.B. Attitudinal effects of mere exposure. J. Personal. Soc. Psychol. 1968, 9, 1–27. [Google Scholar] [CrossRef]
- Bruner, J.S. The Process of Education; Culture and Education Press: Beijing, China, 1982; pp. 28–48. [Google Scholar]
- Kaplan, R.S.-W.; Kaplan, S. The Experience of Nature: A Psychological Perspective; Cambridge University Press: New York, NY, USA, 1989. [Google Scholar]
- Lamb, R.J.; Purcell, A.T. Perception of naturalness in landscape and its relationship to vegetation structure. Landsc. Urban Plan. 1990, 19, 333–352. [Google Scholar] [CrossRef]
- Porada, K.; Moszkowicz, Ł.; Krzeptowska-Moszkowicz, I. Urban Sensory Gardens with Aromatic Herbs in the Light of Climate Change: Therapeutic Potential and Memory-Dependent Smell Impact on Human Wellbeing. Land 2022, 11, 760. [Google Scholar]
- Svobodova, K.; Sklenicka, P.; Molnarova, K.; Vojar, J. Does the composition of landscape photographs affect visual preferences? The rule of the Golden Section and the position of the horizon. J. Environ. Psychol. 2014, 38, 143–152. [Google Scholar] [CrossRef]
- Wang, M.; Wang, Y.X.; Huang, H.Y. A Visual Analysis on the Urban Open Spaces: With an Eye-tracking Experiment on the Case Study of the Flower City Square, Guangzhou. Trop. Geogr. 2018, 38, 741–750. [Google Scholar]
- Jennings, T.E.; Jean-Philippe, S.; Willcox, A.; Zobel, J.M.; Poudyal, N.; Simpson, T. The influence of attitudes and perception of tree benefits on park management priorities. Landsc. Urban Plan. 2016, 153, 122–128. [Google Scholar] [CrossRef]
- China People’s Network. 2022. Available online: http://sc.people.com.cn/n2/2022/0921/c345460-40132895.html (accessed on 21 September 2022).
- China People’s Network. 2022. Available online: http://henan.people.com.cn/n2/2022/1014/c378397-40161048.html (accessed on 14 October 2022).
- Lin, W.; Mu, Y.; Zhang, Z.; Wang, J.; Diao, X.; Lu, Z.; Guo, W.; Wang, Y.; Xu, B. Research on cognitive evaluation of forest color based on visual behavior experiments and landscape preference. PLoS ONE 2022, 17, 0276677. [Google Scholar] [CrossRef]
- Laing, R.; Davies, A.-M.; Miller, D.; Conniff, A.; Scott, S.; Morrice, J. The Application of Visual Environmental Economics in the Study of Public Preference and Urban Greenspace. Environ. Plan. B Plan. Des. 2009, 36, 355–375. [Google Scholar] [CrossRef]
- Liu, W.-Y.; Tsao, C.; Lin, C.-C. Tourists’ preference for colors of forest landscapes and its implications for forest landscape planning policies. For. Policy Econ. 2023, 147, 102887. [Google Scholar] [CrossRef]







| AFC | ALV | APV | FFD | APD | SAP | RVI | |
|---|---|---|---|---|---|---|---|
| Major | −0.094 * | −0.064 ns | −0.022 ns | 0.045 ns | 0.105 * | −0.044 ns | −0.133 ** |
| N | 477 | 477 | 477 | 477 | 477 | 477 | 477 |
| RLC | NSI | RCO | BCO | SPE | SUN | SHI | RVI | TIL | |
|---|---|---|---|---|---|---|---|---|---|
| Landscape Specialty | |||||||||
| AFC | −0.097 | −0.175 ** | −0.054 | −0.055 | −0.185 ** | −0.166 ** | −0.188 ** | −0.136 * | 0.027 |
| ALV | 0.167 ** | 0.078 | 0.119 | 0.101 | 0.229 ** | 0.090 | 0.162 ** | 0.079 | 0.031 |
| APV | 0.140 * | −0.029 | 0.139* | 0.047 | 0.068 | 0.077 | −0.008 | −0.059 | 0.101 |
| FFD | 0.092 | 0.113 | 0.015 | 0.005 | 0.149 * | 0.028 | 0.072 | 0.011 | −0.079 |
| APD | −0.263 ** | −0.099 | −0.181 ** | −0.159 * | −0.157 * | 0.043 | −0.095 | −0.012 | −0.196 ** |
| SAP | 0.536 ** | 0.641 ** | 0.459 ** | 0.525 ** | 0.461 ** | 0.636 ** | 0.647 ** | 0.784 ** | 0.067 |
| RVI | 0.475 ** | 0.585 ** | 0.451 ** | 0.474 ** | 0.346 ** | 0.546 ** | 0.627 ** | 1.000 | 0.072 |
| TIL | 0.432 ** | 0.120 | 0.529 ** | 0.420 ** | −0.193 ** | −0.316 ** | 0.047 | 0.072 | 1.000 |
| Non-landscape Specialty | |||||||||
| AFC | 0.054 | 0.251 ** | 0.118 | 0.080 | 0.010 | 0.222 ** | 0.083 | 0.222 ** | −0.043 |
| ALV | 0.047 | 0.158 * | 0.037 | −0.026 | −0.094 | 0.065 | −0.022 | −0.060 | 0.002 |
| APV | 0.231 ** | 0.048 | 0.163 * | 0.097 | −0.060 | −0.009 | −0.022 | 0.026 | 0.123 |
| FFD | −0.021 | −0.134 * | −0.038 | 0.059 | 0.067 | −0.083 | −0.059 | −0.120 | 0.153 * |
| APD | −0.016 | 0.019 | 0.001 | 0.046 | 0.198 ** | 0.201 ** | 0.124 | −0.018 | −0.202 ** |
| SAP | 0.311 ** | 0.385 ** | 0.363 ** | 0.438 ** | 0.353 ** | 0.527 ** | 0.517 ** | 0.694 ** | 0.071 |
| RVI | 0.407 ** | 0.450 ** | 0.467 ** | 0.358 ** | 0.322 ** | 0.437 ** | 0.497 ** | 1.000 | 0.095 |
| TIL | 0.471 ** | −0.004 | 0.472 ** | 0.313 ** | −0.030 | −0.275 ** | 0.000 | 0.095 | 1.000 |
Disclaimer/Publisher’s Note: The statements, opinions and data contained in all publications are solely those of the individual author(s) and contributor(s) and not of MDPI and/or the editor(s). MDPI and/or the editor(s) disclaim responsibility for any injury to people or property resulting from any ideas, methods, instructions or products referred to in the content. |
© 2023 by the authors. Licensee MDPI, Basel, Switzerland. This article is an open access article distributed under the terms and conditions of the Creative Commons Attribution (CC BY) license (https://creativecommons.org/licenses/by/4.0/).
Share and Cite
Gao, Y.; Wang, Y.; Zhang, W.; Meng, H.; Zhang, Z.; Zhang, T.; Sun, X. Main Factors of Professional Experience on People’s Visual Behavior and Re-Viewing Intention in Different In-Forest Landscapes. Forests 2023, 14, 1319. https://doi.org/10.3390/f14071319
Gao Y, Wang Y, Zhang W, Meng H, Zhang Z, Zhang T, Sun X. Main Factors of Professional Experience on People’s Visual Behavior and Re-Viewing Intention in Different In-Forest Landscapes. Forests. 2023; 14(7):1319. https://doi.org/10.3390/f14071319
Chicago/Turabian StyleGao, Yu, Yalin Wang, Weikang Zhang, Huan Meng, Zhi Zhang, Tong Zhang, and Xiaomei Sun. 2023. "Main Factors of Professional Experience on People’s Visual Behavior and Re-Viewing Intention in Different In-Forest Landscapes" Forests 14, no. 7: 1319. https://doi.org/10.3390/f14071319
APA StyleGao, Y., Wang, Y., Zhang, W., Meng, H., Zhang, Z., Zhang, T., & Sun, X. (2023). Main Factors of Professional Experience on People’s Visual Behavior and Re-Viewing Intention in Different In-Forest Landscapes. Forests, 14(7), 1319. https://doi.org/10.3390/f14071319

