Decomposition and Nutrient Release from Larix olgensis Stumps and Coarse Roots in Northeast China 33-Year Chronosequence Study
Abstract
1. Introduction
2. Materials and Methods
2.1. Site Description and Sampling
2.2. Laboratory Analyses
2.3. Calculations and Statistical Analyses
3. Results
3.1. Decomposition
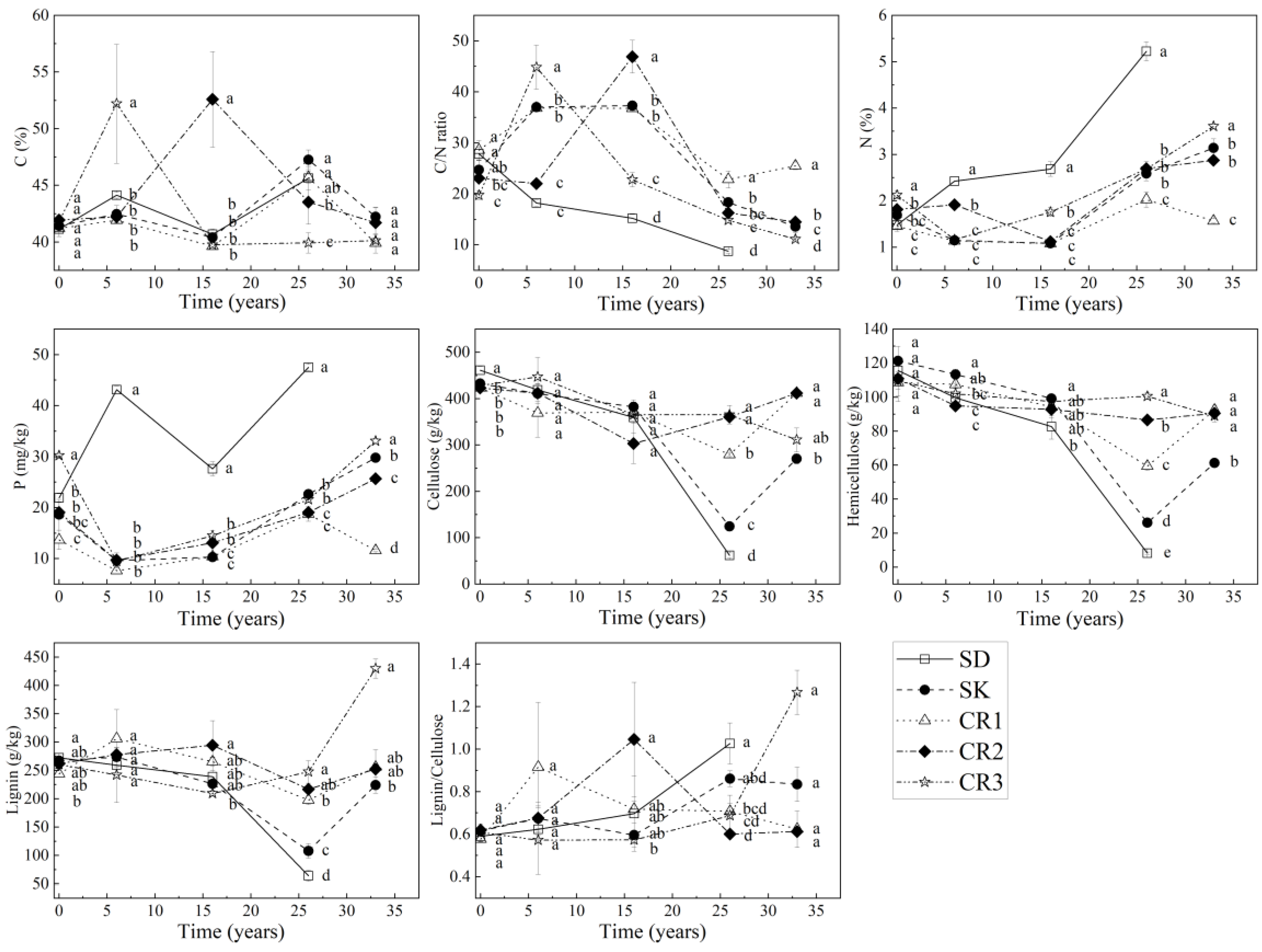
3.2. Changes in Nutrient Concentrations, Cellulose, Hemicellulose, Lignin and C/N Ratios
3.3. Nutrient Release
4. Discussion
5. Conclusions
Author Contributions
Funding
Data Availability Statement
Acknowledgments
Conflicts of Interest
References
- Harmon, M.E.; Sexton, J. Guidelines for Measurement s of Woody Detrit Us in Forest Ecosystems; USLTER Publication No. 20; USLTER Network Office, University of Washington: Seattle, WA, USA, 1996; Available online: https://digitalrepository.unm.edu/lter_reports/148 (accessed on 20 March 2023).
- Currie, W.S.; Jadelhoffer, K.N. The imprint of land use history: Patterns of carbon and nitrogen in downed woody debris at the Harvard Forest. Ecosystems 2002, 5, 446–460. [Google Scholar] [CrossRef]
- Holub, S.M.; Harmon, M.E.; Lajtha, K. The influence of decomposing logs on soil biology and nutrient cycling in an old-growth mixed coniferous forest in Oregon, USA. Can. J. For. Res. 2003, 33, 2193–2201. [Google Scholar] [CrossRef]
- Harmon, M.E.; Franklin, J.F.; Swanson, F.J.; Sollins, P.; Gregory, S.V.; Lattin, J.D.; Anderson, N.H.; Cline, S.P.; Aumen, N.G.; Sedell, J.R.; et al. Ecology of coarse woody debris in temperate ecosystems. Adv. Ecol. Res. 1986, 15, 133–302. [Google Scholar] [CrossRef]
- Laiho, R.; Prescott, C.E. Decay and nutrient dynamics of coarse woody debris in northern coniferous forests: A synthesis. Can. J. For. Res. 2004, 34, 763–777. [Google Scholar] [CrossRef]
- Janisch, J.E.; Harmon, M.E.; Chen, H.; Fasth, B.; Sexton, J. Decomposition of coarse woody debris originating by clearcutting of an old-growth conifer forest. Ecoscience 2005, 12, 151–160. [Google Scholar] [CrossRef]
- Jomura, M.; Kominami, Y.; Tamai, K.; Miyama, T.; Goto, Y.; Dannoura, M. The carbon budget of coarse woody debris in a temperate broad-leaved secondary forest in Japan. Tellus B 2007, 59, 211–222. [Google Scholar] [CrossRef]
- Huang, Z.Q.; Liao, L.P.; Gao, H.; Wang, S.; Yu, X. Decomposition process of Chinese fir stump roots and changes of nutrient concentration. Chin. J. Appl. Ecol. 2000, 1, 41–43. [Google Scholar] [CrossRef]
- Debeljak, M. Coarse woody debris in virgin and managed forest. Ecol. Indic. 2006, 6, 733–742. [Google Scholar] [CrossRef]
- Fahey, T.J.; Hugues, J.W.; Pu, M.; Arthur, M.A. Root decomposition and nutrient flux following whole-tree harvest of northern hardwood forest. For. Sci. 1998, 34, 744–768. [Google Scholar] [CrossRef]
- Conn, C.E.; Day, F.P. Root decomposition across a barrier island chronosequence: Litter quality and environmental controls. Plant Soil 1997, 195, 351–364. [Google Scholar] [CrossRef]
- Palviainen, M.; Finér, L. Decomposition and nutrient release from Norway spruce coarse roots and stumps—A 40-year chronosequence study. For. Ecol. Manag. 2015, 358, 1–11. [Google Scholar] [CrossRef]
- Augusto, L.; Achat, D.L.; Bakker, M.R.; Bernier, F.; Bert, D.; Danjon, F.; Khlifa, R.; Meredieu, C.; Trichet, P. Biomass and nutrients in tree root systems–sustainable harvesting of an intensively managed Pinus pinaster (Ait.) planted forest. GCB Bioenergy 2015, 7, 231–243. [Google Scholar] [CrossRef]
- Egnell, G.; Hyvönen, R.; Högbom, L.; Johansson, T.; Lundmark, T.; Olsson, B.; Von Sydow, F. Environmental aspects on stump-harvest–compilation of knowledge and knowledge gaps. Energimyndigheten Rapp. 2007, 40, 116. [Google Scholar]
- Hakkila, P.; Aarniala, M. Stumps—An Unutilised Reserve. 2004. Available online: https://www.tekes.fi/eng/publications/kannotengl1.pdf (accessed on 27 March 2023).
- Saarinen, V.M. The effects of slash and stump removal on productivity and quality of forest regeneration operations–preliminary results. Biomass Bioenergy 2006, 30, 349–356. [Google Scholar] [CrossRef]
- Li, H.L.; Crabbe, M.J.C.; Xu, F.L.; Wang, W.L.; Ma, L.H.; Niu, R.L.; Gao, X.; Li, X.X.; Zhang, P.; Ma, X.; et al. Seasonal variations in carbon, nitrogen and phosphorus concentrations and C: N: P stoichiometry in different organs of a Larix principis-rupprechtii Mayr. plantation in the Qinling Mountains, China. PLoS ONE 2017, 12, e0185163. [Google Scholar] [CrossRef] [PubMed]
- Liu, H.R.; Liu, G.B.; Peng, S.Q.; Li, L.J.; Liu, W.Q.; Chen, D.F.; Huang, G.X. Studies on chemical composition and calorific value of different parts of Pinus serotina at different ages. Jiangsu Agric. Sci. 2016, 44, 213–217. [Google Scholar] [CrossRef]
- Hakkila, P. Utilisation of Residual Forest Biomass; Springer: Berlin/Heidelberg, Germany, 1989; pp. 352–477. ISBN 978-3-642-74072-5. [Google Scholar]
- Weatherall, A.; Proe, M.F.; Craig, J.; Cameron, A.D.; McKay, H.M.; Midwood, A.J. Tracing N, K, Mg and Ca released from decomposing biomass to new tree growth. Part II: A model system simulating root decomposition on clearfell sites. Biomass Bioenergy 2006, 30, 1060–1066. [Google Scholar] [CrossRef]
- Heal, O.; Cheng, B.R. Decomposition process of larix gmelinii and Pinus koraiensis stump in Changbai Mountain. For. Ecosyst. 1983, 3, 225–234. [Google Scholar]
- Wan, X.H.; Huang, Z.Q.; He, Z.M.; Hu, Z.H.; Yang, J.Y.; Yu, Z.P.; Wang, M.H. Effects of broadleaf plantation and Chinese fir (Cunninghamia lanceolata) plantation on soil carbon and nitrogen pools. Chin. J. Appl. Ecol. 2013, 24, 345–350. [Google Scholar] [CrossRef]
- Jia, B.; Sun, H.; Shugart, H.H.; Xu, Z.; Zhou, G. Growth variations of dahurian larch plantations across northeast china: Understanding the effects of temperature and precipitation. J. Environ. Manag. 2021, 292, 112739. [Google Scholar] [CrossRef]
- National Forestry and Grassland Administration. Report on Forest Resources Inventory for Key State-Owned Forest in Inner Mongolia & Northeast China; China Forestry Publishing House: Beijing, China, 2020; ISBN 978-7-5219-0679-0. (In Chinese) [Google Scholar]
- LY/T 2101-2013; The State Forestry Administration of the People’s Republic of China. Technical Regulations on Quality Inspection of Cutting Area Operations Key State-Owned Forests of Inner Mongolia and Northeast China. Standards Press of China: Beijing, China, 2013.
- Olesen, P.O. The water displacement method. For. Tree Improv. 1971, 3, 3–23. [Google Scholar]
- Halonen, O.; Tulkki, H.; Derome, J. Nutrient analysis methods. Finn. For. Res. Inst. Res. 1983, 121, 28. Available online: http://urn.fi/URN:ISBN:951-40-0988-6 (accessed on 17 April 2023).
- Gessner, M.O. Proximate lignin and cellulose. In Methods to Study Litter Decomposition: A Practical Guide; Graca, M.A.S., Bärlocher, F., Gessner, M.O., Eds.; Springer Verlag: Dordrecht, The Netherlands, 2005; pp. 115–120. [Google Scholar]
- Parton, W.J.; Schimel, D.S.; Cole, C.V.; Ojima, D.S. Analysis of factors controlling soil organic matter levels in Great Plains grasslands. Soil Sci. Soc. Am. J. 1987, 51, 1173–1179. [Google Scholar] [CrossRef]
- Caldwell, R.S. Macroinvertebrates and their relationship to coarse woody debris: With special reference to land snails. In Biodiversity and Coarse Woody Debris in Southern Forests, Proceedings of the Workshop on Coarse Woody Debris in Southern Forests: Effects on Biodiversity, Athens, Greece, 18–20 October 1993; General Technical Report SE-94:49-54; USDA Forest Service, Southern Research Station: Athens, Greece, 1993. [Google Scholar]
- Johnston, J.M.; Crossley, D.A. The significance of coarse woody debris for the diversity of soil mites. In Workshop on Coarse Woody Debris in Southern Forests: Effects on Biodiversity; USDA Forest Service, Southeastern Forest Experiment Station: Asheville, NC, USA, 1996; Volume 94, pp. 82–87. [Google Scholar]
- Pearce, R.B. Antimicrobial defences in the wood of living trees. New Phytol. 1996, 132, 203–233. [Google Scholar] [CrossRef]
- Cornwell, W.K.; Cornelissen, J.H.C.; Allison, S.D.; Bauhus, J.; Eggleton, P.; Preston, C.M.; Scarff, F.; Weedon, J.T.; Wirth, C.; Zanne, A.E. Plant traits and wood fates across the globe: Rotted, burned, or consumed? Glob. Chang. Biol. 2009, 15, 2431–2449. [Google Scholar] [CrossRef]
- Petrillo, M.; Cherubini, P.; Sartori, G.; Abiven, S.; Ascher, J.; Bertoldi, D.; Egli, M. Decomposition of Norway spruce and European larch coarse woody debris (CWD) in relation to different elevation and exposure in an Alpine setting. iForest 2016, 9, 154–164. [Google Scholar] [CrossRef]
- Wang, Q.; Yang, W.Q.; Wu, F.Z.; Zhang, J.; Tan, B.; Zhang, X.T. Characteristics of stump stock and decomposition in Pinus massoniana plantation. Chin. J. Plant Ecol. 2016, 40, 458–468. [Google Scholar] [CrossRef]
- Huang, S.B. Decomposition Process of Larix gmelinii Coarse Woody Debris (CWD) on Burned Patches in the Greater Khingan Mountains; Northeast Normal University: Changchun, China, 2021. [Google Scholar] [CrossRef]
- Zhao, P.W.; Hai, L.; Song, C.L.; Su, R.N.; Zhou, M.; Wei, J.S.; Wang, S.S. Study on fallen trees of Larix gmelinii primary forest in northern Greater Khingan Mountains. J. Arid. Land Resour. Environ. 2010, 24, 173–177. [Google Scholar] [CrossRef]
- Zhang, X.J.; Wu, C.; Mei, L.; Han, Y.Z.; Wang, Z.Q. Root decomposition and nutrient release of Fraxinusmanshurica and Larix gmelinii plantations. Chin. J. Appl. Ecol. 2006, 8, 1370–1376. [Google Scholar]
- Berg, B.; McClaugherty, C. Plant Litter. In Decomposition, Humus Formation, Carbon Sequestration; Springer: Berlin/Heidelberg, Germany, 2003; 286p. [Google Scholar]
- Freschet, G.T.; Weedon, J.T.; Aerts, R.; van Hal, J.R.; Cornelissen, J.H.C. Interspecific differences in wood decay rates: Insights from a new short-term method to study long-term wood decomposition. J. Ecol. 2012, 100, 161–170. [Google Scholar] [CrossRef]
- Yatskov, M.; Harmon, M.E.; Krankina, O.N. A chronosequence of wood decomposition in the boreal forests of Russia. Can. J. For. Res. 2003, 33, 1211–1226. [Google Scholar] [CrossRef]
- Meerts, P. Mineral nutrient concentrations in sapwood and heartwood: A literature review. Ann. For. Sci. 2002, 59, 713–722. [Google Scholar] [CrossRef]
- Augusto, L.; Meredieu, C.; Bert, D.; Trichet, P.; Porté, A.; Bosc, A.; Lagane, F.; Loustau, D.; Pellerin, S.; Danjon, F.; et al. Improving models of forest nutrient export with equations that predict the nutrient concentration of tree compartments. Ann. For. Sci. 2008, 65, 808–821. [Google Scholar] [CrossRef]
- Harmon, M.E.; Fasth, B.; Woodall, C.W.; Sexton, J. Carbon concentration of standing and downed woody detritus: Effects of tree taxa, decay class, position, and tissue type. For. Ecol. Manag. 2013, 291, 259–267. [Google Scholar] [CrossRef]
- Herrero de Aza, C.; Turrión, M.B.; Pando, V.; Bravo, F. Carbon in heartwood, sapwood and bark along the stem profile in three Mediterranean Pinus species. Ann. For. Sci. 2011, 68, 1067. [Google Scholar] [CrossRef]
- Wardle, D.A.; Walker, L.R.; Bardgett, R.D. Ecosystem properties and forest decline in contrasting long-term chronosequences. Science 2004, 305, 509–513. [Google Scholar] [CrossRef]
- Wassen, M.J.; Venterink, H.O.; Lapshina, E.D.; Tanneberger, F. Endangered plants persist under phosphorus limitation. Nature 2005, 437, 547–550. [Google Scholar] [CrossRef]
- Reich, P.B.; Oleksyn, J. Global patterns of plant leaf N and P in relation to temperature and latitude. Proc. Natl. Acad. Sci. USA 2004, 101, 11001–11006. [Google Scholar] [CrossRef]
- Sinsabaugh, R.L.; Hill, B.H.; Shah, J.J. Ecoenzymatic stoichiometry of microbial organic nutrient acquisition in soil and sediment. Nature 2009, 462, 795–799. [Google Scholar] [CrossRef]
- Manzoni, S.; Trofymow, J.A.; Jackson, R.B.; Porporato, A. Stoichiometric controls on carbon, nitrogen, and phosphorus dynamics in decomposing litter. Ecol. Monogr. 2010, 80, 89–106. [Google Scholar] [CrossRef]
- Clinton, P.W.; Buchanan, P.K.; Wilkie, J.P.; Smaill, S.J.; Kimberley, M.O. Decomposition of Nothofagus wood in vitro and nutrient mobilization by fungi. Can. J. For. Res. 2009, 39, 2193–2202. [Google Scholar] [CrossRef]
- Wei, X.; Kimmins, J.P. Asymbiotic nitrogen fixation in harvested and wildfire-killed lodgepole pine forests in the central interior of British Columbia. For. Ecol. Manag. 1998, 109, 343–353. [Google Scholar] [CrossRef]
- Chen, H.; Hicks, W. High asymbiotic N-2 fixation rates in woody roots after six years of decomposition: Controls and implications. Basic Appl. Ecol. 2003, 4, 479–486. [Google Scholar] [CrossRef]
- Watkinson, S.; Bebber, D.P.; Darrah, P.; Fricker, M.; Tlalka, M.; Boddy, L. The role of wood decay fungi in the carbon and nitrogen dynamics of the forest floor. In Fungi in Biogeochemical Cycles; Gadd, G.M., Ed.; Cambridge University Press: Cambridge, UK, 2006; pp. 151–158. [Google Scholar]
- Martínez, A.T.; Speranza, M.; Ruiz-Duenas, F.J.; Ferreira, P.; Camarero, S.; Guillén, F.; Martínez, M.J.; Gutiérrez, A.; del Río, J.C. Biodegradation of lignocellulosics: Microbial, chemical, and enzymatic aspects of the fungal attack of lignin. Int. Microbiol. 2010, 8, 195–204. [Google Scholar] [PubMed]
- Berg, B.; Johansson, M.B.; Meentemeyer, V. Litter decomposition in a transect of Norway spruce forests: Substratequality and climate control. Can. J. For. Res. 2000, 30, 1136–1147. [Google Scholar] [CrossRef]
- Humar, M.; Pohleven, F. Influence of a nitrogen supplement on the growth of wood decay fungi and decay of wood. Int. Biodeter. Biodegr. 2005, 56, 34–39. [Google Scholar] [CrossRef]
- Chang, C.H.; Wu, F.Z.; Yang, W.Q.; Tan, B.; Xiao, S.; Li, J.; Gou, X.L. Changes in log quality at different decay stages in an alpine forest. Chin. J. Plant Ecol. 2015, 39, 14–22. [Google Scholar] [CrossRef]
- Yanai, R.D.; Arthur, M.A.; Siccama, T.G.; Federer, C.A. Challenges of measuring forest floor organic matter dynamics: Repeated measures from a chronosequence. For. Ecol. Manag. 2000, 138, 273–283. [Google Scholar] [CrossRef]
- Smith, S.W.; Woodin, S.J.; Pakeman, R.J.; Johnson, D.; Van, D.W.R. Root traits predict decomposition across a landscape-scale grazing experiment. New Phytol. 2014, 203, 851–862. [Google Scholar] [CrossRef]





| Time (Years) | Size of the Stand (ha) | Stand Density (Trees·ha−1) | Mean Tree Height (m) | Soil Type | Exposure | Slope (°) | Slope Position | DBH (cm) | D (cm) | Intermediate Cutting Times |
|---|---|---|---|---|---|---|---|---|---|---|
| 0 | 0.04 | 661 | 24.30 | dark brown soil | southwest | 9 | mid slope | 24.60 | 27.97 | 2 |
| 6 | 0.04 | 2860 | 3.93 | dark brown soil | east | 11 | mid slope | 3.50 | 33.64 | - |
| 16 | 0.04 | 3357 | 9.56 | dark brown soil | west | 8 | mid slope | 8.85 | 31.04 | - |
| 26 | 0.04 | 1675 | 15.86 | dark brown soil | east | 13 | mid slope | 13.60 | 24.34 | 1 |
| 33 | 0.04 | 1525 | 20.43 | Albic soil | southwest | 10 | mid slope | 16.22 | 17.43 | 1 |
| Factor | Degrees of Freedom | F-Value | Significance, p-Value |
|---|---|---|---|
| Density | |||
| Intercept | 1 | 4853.04 | <0.0001 |
| Decomposition period | 3 | 35.20 | <0.0001 |
| Fraction | 1 | 284.83 | <0.0001 |
| Fraction × decomposition period | 3 | 1.98 | 0.170 |
| Mass loss | |||
| Intercept | 1 | 284.81 | <0.0001 |
| Decomposition period | 3 | 5.30 | 0.015 |
| Fraction | 1 | 132.81 | <0.0001 |
| Fraction × decomposition period | 3 | 10.75 | <0.001 |
| C loss | |||
| Intercept | 1 | 184.91 | <0.0001 |
| Decomposition period | 3 | 38.05 | <0.0001 |
| Fraction | 1 | 47.09 | <0.0001 |
| Fraction × decomposition period | 3 | 12.81 | <0.0001 |
| k-value | |||
| Intercept | 1 | 1834.35 | <0.0001 |
| Decomposition period | 3 | 44.32 | <0.0001 |
| Fraction | 1 | 461.10 | <0.0001 |
| Fraction × decomposition period | 3 | 8.93 | <0.001 |
| Dependent Variable | n | Parameter a | Parameter b | Adj.R2 | ||||
|---|---|---|---|---|---|---|---|---|
| Value | SE | p | Value | SE | p | 0.499 | ||
| Density | ||||||||
| SD | 15 | 0.578 | 0.003 | <0.0001 | 0.022 | 0.005 | <0.001 | 0.693 |
| SK | 15 | 0.550 | 0.034 | <0.0001 | 0.030 | 0.004 | <0.0001 | 0.763 |
| CR1 | 15 | 0.576 | 0.045 | <0.0001 | 0.017 | 0.005 | <0.001 | 0.428 |
| CR2 | 15 | 0.594 | 0.027 | <0.0001 | 0.020 | 0.003 | <0.0001 | 0.775 |
| CR3 | 15 | 0.563 | 0.042 | <0.0001 | 0.013 | 0.004 | <0.01 | 0.338 |
| nitrogen | ||||||||
| SD | 15 | 1.513 | 0.155 | <0.0001 | −0.047 | 0.005 | <0.0001 | 0.904 |
| SK | 15 | 1.054 | 0.175 | <0.0001 | −0.032 | 0.006 | <0.0001 | 0.637 |
| CR1 | 15 | 1.220 | 0.139 | <0.0001 | −0.010 | 0.005 | <0.001 | 0.427 |
| CR2 | 15 | 1.503 | 0.196 | <0.0001 | −0.019 | 0.005 | <0.001 | 0.382 |
| CR3 | 15 | 1.360 | 0.175 | <0.0001 | −0.028 | 0.005 | <0.0001 | 0.665 |
| Cellulose | ||||||||
| SD | 15 | 498.900 | 46.040 | <0.0001 | 0.041 | 0.010 | <0.001 | 0.669 |
| SK | 15 | 454.400 | 36.700 | <0.0001 | 0.023 | 0.006 | <0.01 | 0.546 |
| CR1 | 15 | 395.200 | 27.410 | <0.0001 | 0.004 | 0.004 | <0.01 | 0.263 |
| CR2 | 15 | 394.700 | 26.640 | <0.0001 | 0.002 | 0.003 | <0.01 | 0.307 |
| CR3 | 15 | 444.200 | 24.980 | <0.0001 | 0.0093 | 0.003 | <0.01 | 0.296 |
| Hemicellulose | ||||||||
| SD | 15 | 123.792 | 11.596 | <0.0001 | 0.047 | 0.011 | <0.001 | 0.704 |
| SK | 15 | 128.500 | 10.110 | <0.0001 | 0.030 | 0.006 | <0.001 | 0.659 |
| CR1 | 15 | 109.800 | 7.430 | <0.0001 | 0.011 | 0.004 | <0.01 | 0.293 |
| CR2 | 15 | 105.700 | 4.517 | <0.0001 | 0.006 | 0.002 | <0.01 | 0.294 |
| CR3 | 15 | 107.000 | 2.598 | <0.0001 | 0.004 | 0.001 | <0.01 | 0.331 |
| Factor | Degrees of Freedom | F-Value | Significance, p-Value |
|---|---|---|---|
| C concentration | |||
| Intercept | 1 | 90,034.17 | <0.0001 |
| Decomposition period | 3 | 19.66 | <0.0001 |
| Fraction | 1 | 37.59 | <0.0001 |
| Fraction × decomposition period | 3 | 22.57 | <0.0001 |
| C/N ratio | |||
| Intercept | 1 | 6319.73 | <0.0001 |
| Decomposition period | 3 | 399.69 | <0.0001 |
| Fraction | 1 | 22.88 | <0.0001 |
| Fraction × decomposition period | 3 | 56.17 | <0.0001 |
| N concentration | |||
| Intercept | 1 | 1972.80 | <0.0001 |
| Decomposition period | 3 | 178.86 | <0.0001 |
| Fraction | 1 | 1.99 | 0.184 |
| Fraction × decomposition period | 3 | 16.17 | <0.0001 |
| P concentration | |||
| Intercept | 1 | 20,986.30 | <0.0001 |
| Decomposition period | 3 | 280.95 | <0.0001 |
| Fraction | 1 | 2223.26 | <0.0001 |
| Fraction × decomposition period | 3 | 2.04 | 0.162 |
| Cellulose | |||
| Intercept | 1 | 5683.81 | <0.0001 |
| Decomposition period | 3 | 57.35 | <0.0001 |
| Fraction | 1 | 31.60 | <0.0001 |
| Fraction × decomposition period | 3 | 2.30 | 0.130 |
| Hemicellulose | |||
| Intercept | 1 | 91,766.13 | <0.0001 |
| Decomposition period | 3 | 389.58 | <0.0001 |
| Fraction | 1 | 1139.43 | <0.0001 |
| Fraction × decomposition period | 3 | 8.03 | 0.003 |
| Lignin | |||
| Intercept | 1 | 2796.74 | <0.0001 |
| Decomposition period | 3 | 33.95 | <0.0001 |
| Fraction | 1 | 1.96 | 0.187 |
| Fraction × decomposition period | 3 | 10.30 | 0.001 |
| Factor | Degrees of Freedom | F-Value | Significance, p-Value |
|---|---|---|---|
| N release | |||
| Intercept | 1 | 214.45 | <0.0001 |
| Decomposition period | 3 | 17.25 | <0.0001 |
| Fraction | 1 | 33.33 | <0.0001 |
| Fraction × decomposition period | 3 | 17.59 | <0.0001 |
| P release | |||
| Intercept | 1 | 217.76 | <0.0001 |
| Decomposition period | 3 | 15.31 | <0.0001 |
| Fraction | 1 | 15.73 | 0.002 |
| Fraction × decomposition period | 3 | 4.56 | 0.024 |
| Cellulose release | |||
| Intercept | 1 | 161.27 | <0.0001 |
| Decomposition period | 3 | 8.91 | 0.001 |
| Fraction | 1 | 0.11 | 0.746 |
| Fraction × decomposition period | 3 | 2.07 | 0.148 |
| Hemicellulose release | |||
| Intercept | 1 | 88.30 | 0.0001 |
| Decomposition period | 3 | 0.30 | 0.825 |
| Fraction | 1 | 11.79 | 0.005 |
| Fraction × decomposition period | 3 | 0.82 | 0.506 |
| Lignin release | |||
| Intercept | 1 | 65.46 | <0.0001 |
| Decomposition period | 3 | 17.24 | <0.0001 |
| Fraction | 1 | 0.67 | 0.426 |
| Fraction × decomposition period | 3 | 8.69 | 0.001 |
| Component | SD | SK | CR1 | CR2 | CR3 |
|---|---|---|---|---|---|
| Fm | 0.82 ± 0.03 a | 0.56 ± 0.05 bc | 0.51 ± 0.14 c | 0.73 ± 0.01 ab | 0.61 ± 0.14 bc |
Disclaimer/Publisher’s Note: The statements, opinions and data contained in all publications are solely those of the individual author(s) and contributor(s) and not of MDPI and/or the editor(s). MDPI and/or the editor(s) disclaim responsibility for any injury to people or property resulting from any ideas, methods, instructions or products referred to in the content. |
© 2023 by the authors. Licensee MDPI, Basel, Switzerland. This article is an open access article distributed under the terms and conditions of the Creative Commons Attribution (CC BY) license (https://creativecommons.org/licenses/by/4.0/).
Share and Cite
Men, X.; Yue, Y.; Wang, X.; Chen, X. Decomposition and Nutrient Release from Larix olgensis Stumps and Coarse Roots in Northeast China 33-Year Chronosequence Study. Forests 2023, 14, 1253. https://doi.org/10.3390/f14061253
Men X, Yue Y, Wang X, Chen X. Decomposition and Nutrient Release from Larix olgensis Stumps and Coarse Roots in Northeast China 33-Year Chronosequence Study. Forests. 2023; 14(6):1253. https://doi.org/10.3390/f14061253
Chicago/Turabian StyleMen, Xiuli, Yang Yue, Xiuwei Wang, and Xiangwei Chen. 2023. "Decomposition and Nutrient Release from Larix olgensis Stumps and Coarse Roots in Northeast China 33-Year Chronosequence Study" Forests 14, no. 6: 1253. https://doi.org/10.3390/f14061253
APA StyleMen, X., Yue, Y., Wang, X., & Chen, X. (2023). Decomposition and Nutrient Release from Larix olgensis Stumps and Coarse Roots in Northeast China 33-Year Chronosequence Study. Forests, 14(6), 1253. https://doi.org/10.3390/f14061253

