Harvest Intensity Impacts Nutrient Status and Young Stand Development in Latvian Hemiboreal Forest
Abstract
1. Introduction
2. Materials and Methods
2.1. Environmental Sampling
2.2. Chemical Analysis of Environmental Samples
2.3. Young Stand Development Assessment
2.4. Statistical Analysis
3. Results
3.1. Precipitation
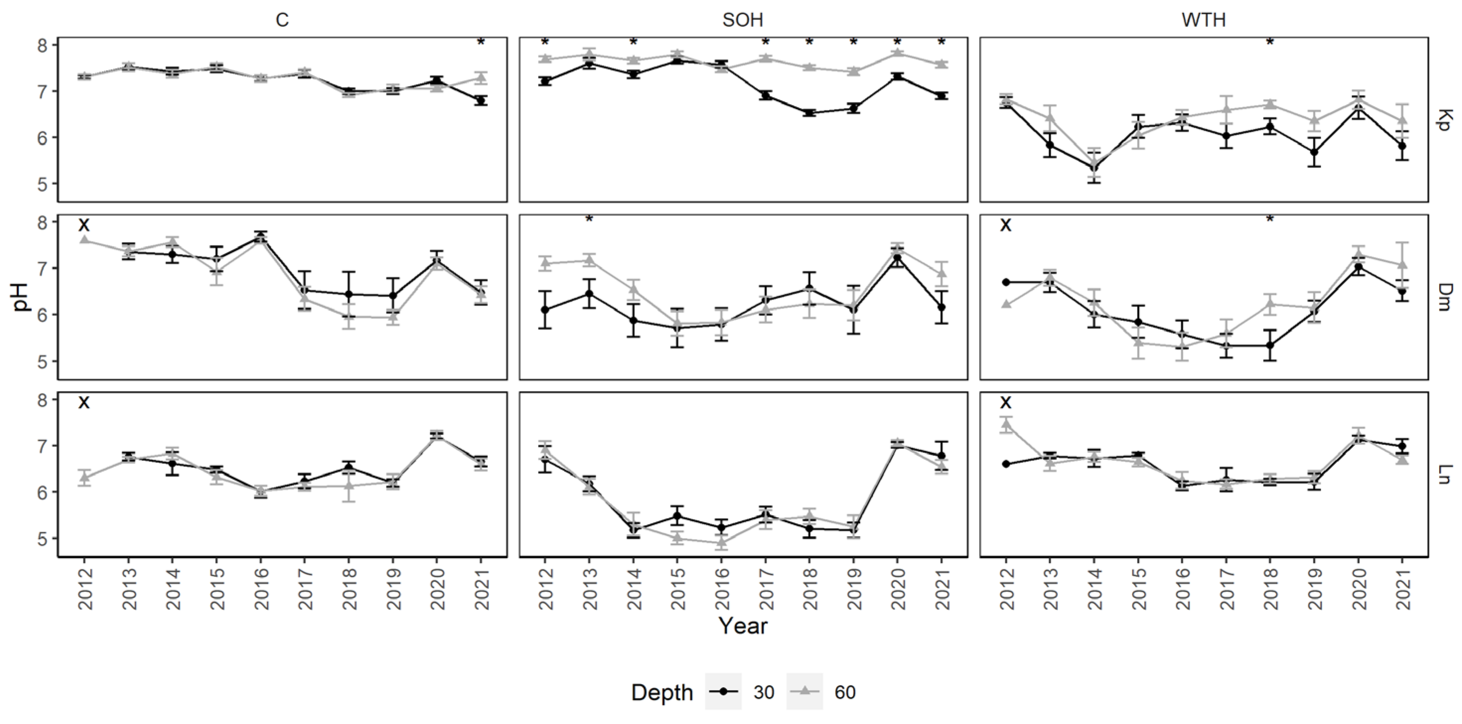
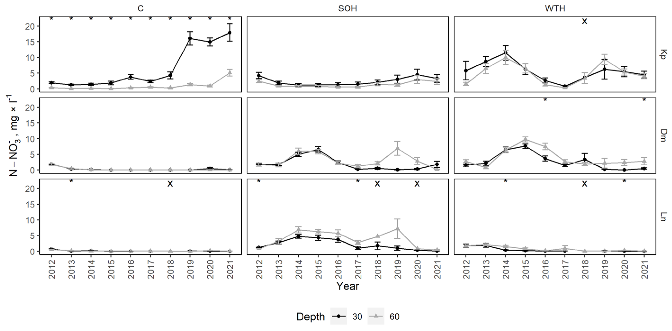
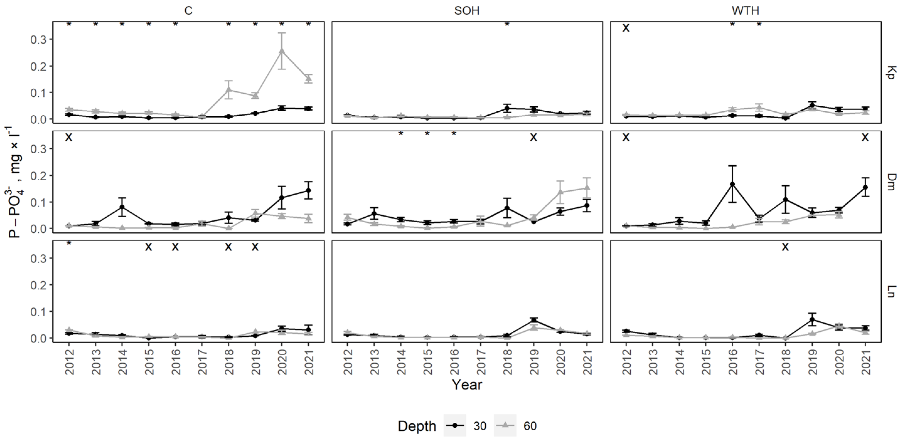
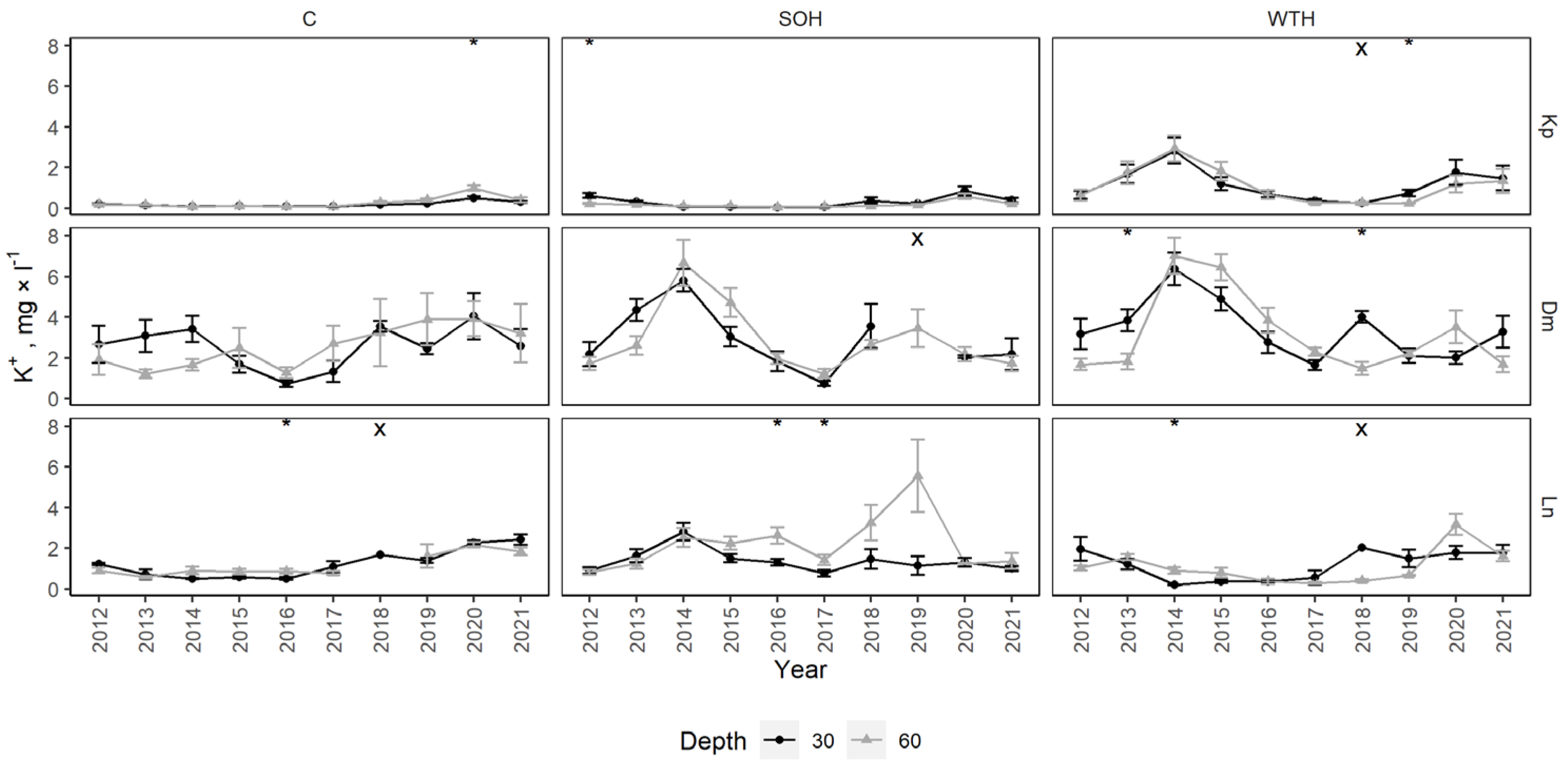
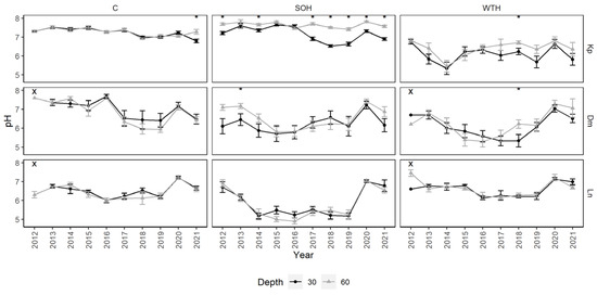
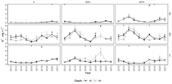
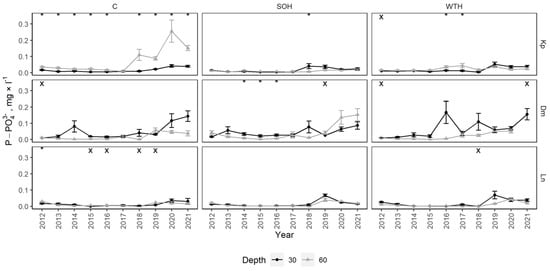
3.2. Soil Solution
3.3. Litter
3.4. Young Stand Development
3.5. Needle Nutrient Status in Regenerated Stands
4. Discussion
4.1. Nutrient Status
4.2. Young Stand Development
5. Conclusions
Author Contributions
Funding
Data Availability Statement
Acknowledgments
Conflicts of Interest
Appendix A
| Environmental Sample | Parameter | Unit | Method (ISO Standard) |
|---|---|---|---|
| Water | pH | pH unit | Potentiometry (LVS ISO 10523:2012) |
| nitrate-nitrogen (N-NO32−) | mg L−1 | Chemiluminescence detector after reduction of nitrate ions to nitrogen oxide | |
| ammonium-nitrogen (N-NH4+) | mg L−1 | Spectrophotometry (LVS ISO 7150-1:1984) | |
| total nitrogen (TN) | mg L−1 | Determination of bound nitrogen (TNb), following oxidation to nitrogen oxides (LVS EN 12260:2004) | |
| phosphate phosphorus (P-PO43−) | mg L−1 | Ammonium molybdate spectrometric method (LVS EN ISO 6878:2005) | |
| potassium (K), calcium (Ca), magnesium (Mg) | mg L−1 | Atomic absorption/emission flame spectrometry (LVS EN ISO 7980:2000, LVS ISO 9964-3:2000) | |
| Litter, needles | nitrogen (N) | mg g−1 | Dry combustion (elemental analysis) (ISO 13878:1998, LVS ISO 10694:2006) |
| phosphorus (P) | mg g−1 | Spectrometric method (ISO12914:2012, LVS 298:2002, LVS ISO 11466:1995, LVS EN 14672:2006) | |
| potassium (K) | mg g−1 | Atomic absorption/emission flame spectrometry | |
| Needles | aluminium (Al), boron (B), calcium (Ca), chrome (Cr), copper (Cu), iron (Fe), magnesium (Mg), manganese (Mn), sodium (Na), nickel (Ni), sulphur (S), silicon (Si), zinc (Zn) | mg kg−1 | Inductively coupled plasma–optical emission spectrometry (ICP-OES) |









| Element | Kp, Norway Spruce | Dm, Scots Pine | Ln, Scots Pine | ||||||
|---|---|---|---|---|---|---|---|---|---|
| SOH | WTH | p-Value | SOH | WTH | p-Value | SOH | WTH | p-Value | |
| Al | 24.58 ± 5.55 | 35.66 ± 5.86 | 0.18 | 354.77 ± 18.64 | 362.68 ± 9.29 | 0.71 | 340.40 ± 34.48 | 401.59 ± 24.17 | 0.16 |
| B | ↓9.04 ± 1.48 | ↓10.37 ± 0.67 | 0.42 | 5.81 ± 0.17 | 4.40 ± 0.43 | 0.01 | 6.58 ± 0.39 | 6.70 ± 0.21 | 0.79 |
| Ca | ○6645.89 ± 372.02 | ○6094.07 ± 287.05 | 0.25 | ↑3308.55 ± 166.68 | ↑3253.91 ± 127.30 | 0.80 | ↑3704.58 ± 88.33 | ↑3489.16 ± 241.11 | 0.41 |
| Cr | 0.47 ± 0.07 | 0.66 ± 0.14 | 0.23 | 0.59 ± 0.14 | 0.36 ± 0.06 | 0.15 | 0.44 ± 0.06 | 0.44 ± 0.10 | 0.95 |
| Cu | ↓2.96 ± 0.34 | ↓3.06 ± 0.34 | 0.83 | 4.79 ± 0.06 | 4.20 ± 0.23 | 0.02 | 4.37 ± 0.16 | 3.26 ± 0.47 | 0.04 |
| Fe | ○72.82 ± 8.58 | ○60.60 ± 6.83 | 0.28 | 60.36 ± 2.41 | 59.82 ± 2.36 | 0.87 | 62.33 ± 3.05 | 66.09 ± 3.13 | 0.40 |
| K | ○5552.88 ± 186.28 | ○5047.61 ± 64.60 | 0.02 | ↑6116.28 ± 136.99 | ↑6341.19 ± 110.72 | 0.22 | ○5985.84 ± 81.97 | ↑6073.14 ± 133.80 | 0.58 |
| Mg | ○1352.33 ± 92.61 | ○1424.30 ± 82.83 | 0.57 | ↑1283.93 ± 33.91 | ↑1268.73 ± 41.24 | 0.78 | ↑1322.46 ± 24.99 | ↑1226.91 ± 35.96 | 0.04 |
| Mn | ↑510.52 ± 63.30 | ↑530.50 ± 37.83 | 0.79 | 418.88 ± 31.20 | 377.79 ± 4.39 | 0.21 | 549.38 ± 16.24 | 422.90 ± 20.39 | 0.00 |
| N | ○17,576.08 ± 1068.20 | ○17,862.11 ± 1769.95 | 0.89 | ↑15,663.19 ± 2797.75 | ↑15,623.80 ± 2126.45 | 0.99 | ↑17,815.59 ± 3121.21 | ↑18341.14 ± 1990.16 | 0.89 |
| Na | 44.65 ± 8.91 | 39.61 ± 6.31 | 0.65 | 65.40 ± 6.01 | 67.18 ± 5.25 | 0.82 | 49.42 ± 8.68 | 66.27 ± 7.48 | 0.16 |
| Ni | 0.30 ± 0.06 | 0.44 ± 0.06 | 0.12 | 0.57 ± 0.07 | 0.36 ± 0.01 | 0.01 | 0.46 ± 0.04 | 0.49 ± 0.04 | 0.53 |
| P | ○2055.52 ± 38.80 | ○2065.64 ± 37.44 | 0.85 | ↑1738.03 ± 35.37 | ↑1644.51 ± 30.54 | 0.06 | ↑1833.30 ± 39.44 | ↑1777.74 ± 21.62 | 0.23 |
| S | ○1252.62 ± 46.29 | ○1271.85 ± 64.64 | 0.81 | 1281.33 ± 29.47 | 1173.17 ± 31.53 | 0.03 | 1272.06 ± 46.37 | 1269.50 ± 24.76 | 0.96 |
| Si | 315.28 ± 91.71 | 337.09 ± 16.13 | 0.82 | 123.00 ± 12.75 | 212.83 ± 11.03 | 0.00 | 364.39 ± 96.50 | 125.17 ± 9.61 | 0.03 |
| Zn | ○68.25 ± 3.94 | ○61.95 ± 0.78 | 0.13 | 68.25 ± 1.38 | 65.82 ± 1.15 | 0.19 | 59.67 ± 2.66 | 67.21 ± 1.77 | 0.03 |
References
- The Economist Intelligence Unit Limited Energy Outlook 2023. Available online: https://pages.eiu.com/rs/753-RIQ-438/images/energy-in-2023.pdf?mkt_tok=NzUzLVJJUS00MzgAAAGIPlWTeCK4RqY-enpLqf4ltmwE5a7OrsxTpRDGLCZ71FemC-nHhPDQu0ZbAhoKxUwEmJxVy--dtFZwHTsZB0SF1zVdm-Rr2CDDDz0aPymIYNQ9MQ (accessed on 7 March 2023).
- Enerdata Energy Crisis: Opportunity or Threat for EU’s Energy Transition? Available online: https://www.enerdata.net/publications/executive-briefing/energy-transition-impacting-energy-crisis.html (accessed on 7 March 2023).
- Enerdata Global Energy & CO2 Data. Available online: https://www.enerdata.net/research/energy-market-data-co2-emissions-database.html (accessed on 7 March 2023).
- Bioenergy Europe about Bioenergy. Available online: https://bioenergyeurope.org/about-bioenergy.html (accessed on 7 March 2023).
- Investment and Development Agency of Latvia Environment and Renewable Energy Industry. Available online: https://www.liaa.gov.lv/en/trade/industries/environment-and-renewable-energy (accessed on 7 March 2023).
- Camia, A.; Giuntoli, J.; Jonsson, R.; Robert, N.; Cazzaniga, N.E.; Jasinevičius, G.; Avitabile, V.; Grassi, G.; Barredo, J.I.; Mubareka, S. The Use of Woody Biomass for Energy Production in the EU; Publications Office of the European Union: Luxembourg, Luxembourg, 2021; ISBN 978-92-76-27867-2. [Google Scholar]
- Stříbrská, B.; Hradecký, J.; Čepl, J.; Tomášková, I.; Jakuš, R.; Modlinger, R.; Netherer, S.; Jirošová, A. Forest Margins Provide Favourable Microclimatic Niches to Swarming Bark Beetles, but Norway Spruce Trees Were Not Attacked by Ips Typographus Shortly after Edge Creation in a Field Experiment. For. Ecol. Manag. 2022, 506, 119950. [Google Scholar] [CrossRef]
- Evans, A.M.; Finkral, A.J. From Renewable Energy to Fire Risk Reduction: A Synthesis of Biomass Harvesting and Utilization Case Studies in US Forests. GCB Bioenergy 2009, 1, 211–219. [Google Scholar] [CrossRef]
- Alkan, H.; Korkmaz, M.; Eker, M. Stakeholders’ Perspectives on Utilization of Logging Residues for Bioenergy in Turkey. Croat. J. For. Eng. 2014, 35, 153–165. [Google Scholar]
- Gan, J.; Smith, C.T. Co-Benefits of Utilizing Logging Residues for Bioenergy Production: The Case for East Texas, USA. Biomass Bioenergy 2007, 31, 623–630. [Google Scholar] [CrossRef]
- Laitila, J.; Asikainen, A.; Hotari, S. Residue Recovery and Site Preparation in a Single Operation in Regeneration Areas. Biomass Bioenergy 2005, 28, 161–169. [Google Scholar] [CrossRef]
- Merino, A.; Balboa, M.A.; Rodríguez Soalleiro, R.; González, J.G.Á. Nutrient Exports under Different Harvesting Regimes in Fast-Growing Forest Plantations in Southern Europe. For. Ecol. Manag. 2005, 207, 325–339. [Google Scholar] [CrossRef]
- Tritton, L.M.; Martin, C.W.; Hornbeck, J.W.; Pierce, R.S. Biomass and Nutrient Removals from Commercial Thinning and Whole-Tree Clearcutting of Central Hardwoods. Environ. Manag. 1987, 11, 659–666. [Google Scholar] [CrossRef]
- Rothstein, D.E.; Gadoth-Goodman, D. Changes in Ecosystem Nutrient Pools through Stand Development Following Whole-Tree Harvesting of Jack Pine (Pinus Banksiana) on Sandy, Nutrient Poor Soils in Northern Lower Michigan. For. Ecol. Manag. 2023, 529, 120648. [Google Scholar] [CrossRef]
- Thiffault, E.; Hannam, K.D.; Paré, D.; Titus, B.D.; Hazlett, P.W.; Maynard, D.G.; Brais, S. Effects of Forest Biomass Harvesting on Soil Productivity in Boreal and Temperate Forests—A Review. Environ. Rev. 2011, 19, 278–309. [Google Scholar] [CrossRef]
- Walmsley, J.D.; Jones, D.L.; Reynolds, B.; Price, M.H.; Healey, J.R. Whole Tree Harvesting Can Reduce Second Rotation Forest Productivity. For. Ecol. Manag. 2009, 257, 1104–1111. [Google Scholar] [CrossRef]
- Nord-Larsen, T. Stand and Site Productivity Response Following Whole-Tree Harvesting in Early Thinnings of Norway Spruce (Picea Abies (L.) Karst.). Biomass Bioenergy 2002, 23, 1–12. [Google Scholar] [CrossRef]
- Kaarakka, L.; Tamminen, P.; Saarsalmi, A.; Kukkola, M.; Helmisaari, H.-S.; Burton, A.J. Effects of Repeated Whole-Tree Harvesting on Soil Properties and Tree Growth in a Norway Spruce (Picea Abies (L.) Karst.) Stand. For. Ecol. Manag. 2014, 313, 180–187. [Google Scholar] [CrossRef]
- Landhäusser, S.M. Impact of Slash Removal, Drag Scarification, and Mounding on Lodgepole Pine Cone Distribution and Seedling Regeneration after Cut-to-Length Harvesting on High Elevation Sites. For. Ecol. Manag. 2009, 258, 43–49. [Google Scholar] [CrossRef]
- Proe, M.F.; Griffiths, J.H.; McKay, H.M. Effect of Whole-Tree Harvesting on Microclimate during Establishment of Second Rotation Forestry. Agric. For. Meteorol. 2001, 110, 141–154. [Google Scholar] [CrossRef]
- Fleming, R.L.; Powers, R.F.; Foster, N.W.; Kranabetter, J.M.; Scott, D.A.; Ponder, F., Jr.; Berch, S.; Chapman, W.K.; Kabzems, R.D.; Ludovici, K.H.; et al. Effects of Organic Matter Removal, Soil Compaction, and Vegetation Control on 5-Year Seedling Performance: A Regional Comparison of Long-Term Soil Productivity Sites. Can. J. For. Res. 2006, 36, 529–550. [Google Scholar] [CrossRef]
- Roxby, G.E.; Howard, T.E. Whole-Tree Harvesting and Site Productivity: Twenty-Nine Northern Hardwood Sites in Central New Hampshire and Western Maine. For. Ecol. Manag. 2013, 293, 114–121. [Google Scholar] [CrossRef]
- Staaf, H.; Olsson, B.A. Acidity in Four Coniferous Forest Soils after Different Harvesting Regimes of Logging Slash. Scand. J. For. Res. 1991, 6, 19–29. [Google Scholar] [CrossRef]
- Kreutzweiser, D.P.; Hazlett, P.W.; Gunn, J.M. Logging Impacts on the Biogeochemistry of Boreal Forest Soils and Nutrient Export to Aquatic Systems: A Review. Environ. Rev. 2008, 16, 157–179. [Google Scholar] [CrossRef]
- Walmsley, J.D.; Godbold, D.L. Stump Harvesting for Bioenergy-A Review of the Environmental Impacts. Forestry 2010, 83, 17–38. [Google Scholar] [CrossRef]
- Ranius, T.; Hämäläinen, A.; Egnell, G.; Olsson, B.; Eklöf, K.; Stendahl, J.; Rudolphi, J.; Sténs, A.; Felton, A. The Effects of Logging Residue Extraction for Energy on Ecosystem Services and Biodiversity: A Synthesis. J. Environ. Manag. 2018, 209, 409–425. [Google Scholar] [CrossRef]
- Svensson, M.; Johansson, V.; Dahlberg, A.; Frisch, A.; Thor, G.; Ranius, T. The Relative Importance of Stand and Dead Wood Types for Wood-Dependent Lichens in Managed Boreal Forests. Fungal Ecol. 2016, 20, 166–174. [Google Scholar] [CrossRef]
- Hiron, M.; Jonsell, M.; Kubart, A.; Thor, G.; Schroeder, M.; Dahlberg, A.; Johansson, V.; Ranius, T. Consequences of Bioenergy Wood Extraction for Landscape-Level Availability of Habitat for Dead Wood-Dependent Organisms. J. Environ. Manag. 2017, 198, 33–42. [Google Scholar] [CrossRef] [PubMed]
- Bråkenhielm, S.; Liu, Q. Long-Term Effects of Clear-Felling on Vegetation Dynamics and Species Diversity in a Boreal Pine Forest. Biodivers. Conserv. 1998, 7, 207–220. [Google Scholar] [CrossRef]
- Olsson, B.A.; Staaf, H. Influence of Harvesting Intensity of Logging Residues on Ground Vegetation in Coniferous Forests. J. Appl. Ecol. 1995, 32, 640. [Google Scholar] [CrossRef]
- Fabião, A.; Martins, M.C.; Cerveira, C.; Santos, C.; Lousã, M.; Madeira, M.; Correia, A. Influence of Soil and Organic Residue Management on Biomass and Biodiversity of Understory Vegetation in a Eucalyptus Globulus Labill. Plantation. For. Ecol. Manag. 2002, 171, 87–100. [Google Scholar] [CrossRef]
- Nurminen, T.; Korpunen, H.; Uusitalo, J. Time Consumption Analysis of the Mechanized Cut-to-Length Harvesting System. Silva Fenn. 2006, 40, 335–363. [Google Scholar] [CrossRef]
- Lundbäck, M.; Häggström, C.; Nordfjell, T. Worldwide Trends in Methods for Harvesting and Extracting Industrial Roundwood. Int. J. For. Eng. 2021, 32, 202–215. [Google Scholar] [CrossRef]
- Rautio, P.; Fürst, A.; Stefan, K.; Raitio, H.; Bartels, U. Part XII: Sampling and Analysis of Needles and Leaves. In Manual on Methods and Criteria for Harmonized Sampling, Assessment, Monitoring and Analysis of the Effects of Air Pollution on Forests; International Co-operative Programme on Assessment and Monitoring of Air Pollution Effects on Forests (ICP Forests): Eberswalde, Germany, 2020; ISBN 978-3-86576-162-0. [Google Scholar]
- R Core Team, R. A Language and Environment for Statistical Computing. 2020. Available online: https://www.R-project.org/ (accessed on 7 March 2023).
- Wickham, H. Ggplot2: Elegant Graphics for Data Analysis. 2016. Available online: https://ggplot2.tidyverse.org (accessed on 7 March 2023).
- Wei, T.; Simko, V. R Package “Corrplot”: Visualization of a Correlation Matrix, Version 0.92. 2021. Available online: https://github.com/taiyun/corrplot (accessed on 7 March 2023).
- Wall, A. Risk Analysis of Effects of Whole-Tree Harvesting on Site Productivity. For. Ecol. Manag. 2012, 282, 175–184. [Google Scholar] [CrossRef]
- Carey, M.L. Whole Tree Harvesting in Sitka Spruce. Possibilities and Implications. Ir. For. 1980, 37, 48–63. [Google Scholar]
- Lībiete, Z.; Bārdule, A.; Mūrniece, S.; Lupiķis, A. Impact of Clearfelling on Dissolved Nitrogen Content in Soil-, Ground-, and Surface Waters: Initial Results from a Study in Latvia. Agron. Res. 2017, 15, 767–787. [Google Scholar]
- Kļaviņš, I.; Bārdule, A.; Lībiete, Z. Changes in Macronutrient Concentrations in Soil Solution Following Regeneration Felling in Pine and Spruce Stands: Whole-Tree Harvesting Versus Stem-Only Harvesting. In Proceedings of the International Scientific Conference “RURAL DEVELOPMENT 2017”, Kaunas, Lithuania, 15 February 2018. [Google Scholar]
- Kļaviņš, I.; Bārdule, A.; Lībiete, Z.; Lazdiņa, D.; Lazdiņš, A. Impact of Biomass Harvesting on Nitrogen Concentration in the Soil Solution in Hemiboreal Woody Ecosystems. Silva Fenn. 2019, 53, 10016. [Google Scholar] [CrossRef]
- Kļaviņš, I.; Kļaviņa, Z.; Lībiete, Z. Development of Young Stands after Different Intensity Regeneration Fellings. In Proceedings of the Research for Rural Development: Annual 25th International Scientific Conference, Jelgava, Latvia, 12 December 2019; pp. 18–23. [Google Scholar]
- Kļaviņš, I.; Kļaviņa, Z. Development of Young Stands after Whole Tree Harvesting and Whole Tree Harvesting Combined with Stump Biomass Extraction. RURAL Dev. 2022, 2021, 236–241. [Google Scholar] [CrossRef]
- Adriaenssens, S.; Hansen, K.; Staelens, J.; Wuyts, K.; De Schrijver, A.; Baeten, L.; Boeckx, P.; Samson, R.; Verheyen, K. Throughfall Deposition and Canopy Exchange Processes along a Vertical Gradient within the Canopy of Beech (Fagus Sylvatica L.) and Norway Spruce (Picea Abies (L.) Karst). Sci. Total Environ. 2012, 420, 168–182. [Google Scholar] [CrossRef]
- Houle, D.; Ouimet, R.; Paquin, R.; Laflamme, J.-G. Interactions of Atmospheric Deposition with a Mixed Hardwood and a Coniferous Forest Canopy at the Lake Clair Watershed (Duchesnay, Quebec). Can. J. For. Res. 1999, 29, 1944–1957. [Google Scholar] [CrossRef]
- Hansen, K. In-Canopy Throughfall Measurements of Ion Fluxes in Norway Spruce. Atmos. Environ. 1996, 30, 4065–4076. [Google Scholar] [CrossRef]
- Törmänen, T.; Smolander, A. Biological Nitrogen Fixation in Logging Residue Piles of Different Tree Species after Final Felling. J. Environ. Manag. 2022, 303, 113942. [Google Scholar] [CrossRef]
- Spohn, M.; Berg, B. Import and Release of Nutrients during the First Five Years of Plant Litter Decomposition. Soil Biol. Biochem. 2023, 176, 108878. [Google Scholar] [CrossRef]
- Hyvönen, R.; Olsson, B.A.; Lundkvist, H.; Staaf, H. Decomposition and Nutrient Release from Picea Abies (L.) Karst. and Pinus Sylvestris L. Logging Residues. For. Ecol. Manag. 2000, 126, 97–112. [Google Scholar] [CrossRef]
- Strahm, B.D.; Harrison, R.B.; Terry, T.A.; Flaming, B.L.; Licata, C.W.; Petersen, K.S. Soil Solution Nitrogen Concentrations and Leaching Rates as Influenced by Organic Matter Retention on a Highly Productive Douglas-Fir Site. For. Ecol. Manag. 2005, 218, 74–88. [Google Scholar] [CrossRef]
- Akselsson, C.; Kronnäs, V.; Stadlinger, N.; Zanchi, G.; Belyazid, S.; Karlsson, P.E.; Hellsten, S.; Karlsson, G.P. A Combined Measurement and Modelling Approach to Assess the Sustainability of Whole-Tree Harvesting—A Swedish Case Study. Sustainability 2021, 13, 2395. [Google Scholar] [CrossRef]
- Berg, B.; McClaugherty, C. Plant Litter: Decomposition, Humus Formation, Carbon Sequestration; Springer: Cham, Switzerland, 2020; ISBN 978-3-030-59630-9. [Google Scholar]
- De Vries, W.; de Jong, A.; Kros, J.; Spijker, J. The Use of Soil Nutrient Balances in Deriving Forest Biomass Harvesting Guidelines Specific to Region, Tree Species and Soil Type in the Netherlands. For. Ecol. Manag. 2021, 479, 118591. [Google Scholar] [CrossRef]
- Wall, A. Effect of Removal of Logging Residue on Nutrient Leaching and Nutrient Pools in the Soil after Clearcutting in a Norway Spruce Stand. For. Ecol. Manag. 2008, 256, 1372–1383. [Google Scholar] [CrossRef]
- Devine, W.D.; Footen, P.W.; Strahm, B.D.; Harrison, R.B.; Terry, T.A.; Harrington, T.B. Nitrogen Leaching Following Whole-Tree and Bole-Only Harvests on Two Contrasting Pacific Northwest Sites. For. Ecol. Manag. 2012, 267, 7–17. [Google Scholar] [CrossRef]
- Saarsalmi, A.; Tamminen, P.; Kukkola, M.; Hautajärvi, R. Whole-Tree Harvesting at Clear-Felling: Impact on Soil Chemistry, Needle Nutrient Concentrations and Growth of Scots Pine. Scand. J. For. Res. 2010, 25, 148–156. [Google Scholar] [CrossRef]
- Stevens, P.A.; Hornung, M. Effect of Harvest Intensity and Ground Flora Establishment on Inorganic-N Leaching from a Sitka Spruce Plantation in North Wales, UK. Biogeochemistry 1990, 10, 53–63. [Google Scholar] [CrossRef]
- Fahey, T.J.; Hill, M.O.; Stevens, P.A.; Hornung, M.; Rowland, P. Nutrient Accumulation in Vegetation Following Conventional and Whole-Tree Harvest of Sitka Spruce Plantations in North Wales. Forestry 1991, 64, 271–288. [Google Scholar] [CrossRef]
- Littke, K.M.; Holub, S.M.; Slesak, R.A.; Littke, W.R.; Turnblom, E.C. Five-Year Growth, Biomass, and Nitrogen Pools of Douglas-Fir Following Intensive Forest Management Treatments. For. Ecol. Manag. 2021, 494, 119276. [Google Scholar] [CrossRef]
- Littke, K.M.; Harrington, T.B.; Slesak, R.A.; Holub, S.M.; Hatten, J.A.; Gallo, A.C.; Littke, W.R.; Harrison, R.B.; Turnblom, E.C. Impacts of Organic Matter Removal and Vegetation Control on Nutrition and Growth of Douglas-Fir at Three Pacific Northwestern Long-Term Soil Productivity Sites. For. Ecol. Manag. 2020, 468, 118176. [Google Scholar] [CrossRef]
- Nollendorfs, V. Egļu Audžu Panīkuma Un Sabrukšanas Cēloņu Noskaidrošana, to Samazināšanas Iespējamie Pasākumi; LSFRI “Silava”: Salaspils, Latvia, 2008. [Google Scholar]
- Bergmann, W. (Ed.) Ernährungsstörungen bei Kulturpflanzen: Entstehung, Visuelle und Analytische Diagnose; 110 Tabellen; Zweite, Erweiterte und Neugestaltete Auflage; Georg Fischer AG: Stuttgart, Germany, 1988; ISBN 978-3-437-30562-7. [Google Scholar]
- Mellert, K.H.; Göttlein, A. Comparison of New Foliar Nutrient Thresholds Derived from van Den Burg’s Literature Compilation with Established Central European References. Eur. J. For. Res. 2012, 131, 1461–1472. [Google Scholar] [CrossRef]
- Bušs, M.; Kāposts, V.; Sacenieks, R. Meža mēslošana: Apskats. Latv. Repub. Zinātniski Teh. Inf. Propogandas Institūts 1974, 1, 53. [Google Scholar]
- Kāposts, V.; Sacenieks, R. Mežaudžu Barošanās Režīms Un to Mēslošana: Apskats. Latv. Zinātniski Teh. Inf. Teh. Ekon. Problēmu Zinātniskās Pētniecības Institūts 1981, 55, 55–56. [Google Scholar]











| Site | Coordinates (N;E) | Site Trophic Condition | Forest Site Type | Planted Tree Species | Standing Volume before Felling, m3 ha−1 | Year of Harvest | Year of Planting | Total Felling Area, ha | Planted Density, n·ha−1 | Soil Type | Soil Type (WRB *) |
|---|---|---|---|---|---|---|---|---|---|---|---|
| Kp | 56°42′54.53″; 25°51′33.39″ | eutrophic | Oxalidosa turf. mel. | Picea abies L. (Karst.) | 315.0 | 2013 | 2015 | 0.9 | ~2000 | mineral | Rheic Histosols (Eutric, Drainic) |
| Dm | 56°44′10.44″; 25°54′27.58″ | mesotrophic | Hylocomiosa | Pinus sylvestris L. | 541.3 | 2013 | 2015 | 1.7 | ~3000 | mineral | Folic Umbrisols (Albic, Hyperdystric, Arenic) |
| Ln | 56°40′10.71″; 25°50′29.76″ | oligotrophic | Myrtillosa | Pinus sylvestris L. | 270.9 | 2013 | 2015 | 0.8 | ~3000 | drained peat | Albic Arenosols (Dystric) |
Disclaimer/Publisher’s Note: The statements, opinions and data contained in all publications are solely those of the individual author(s) and contributor(s) and not of MDPI and/or the editor(s). MDPI and/or the editor(s) disclaim responsibility for any injury to people or property resulting from any ideas, methods, instructions or products referred to in the content. |
© 2023 by the authors. Licensee MDPI, Basel, Switzerland. This article is an open access article distributed under the terms and conditions of the Creative Commons Attribution (CC BY) license (https://creativecommons.org/licenses/by/4.0/).
Share and Cite
Klavins, I.; Bardule, A.; Klavina, Z.; Libiete, Z. Harvest Intensity Impacts Nutrient Status and Young Stand Development in Latvian Hemiboreal Forest. Forests 2023, 14, 764. https://doi.org/10.3390/f14040764
Klavins I, Bardule A, Klavina Z, Libiete Z. Harvest Intensity Impacts Nutrient Status and Young Stand Development in Latvian Hemiboreal Forest. Forests. 2023; 14(4):764. https://doi.org/10.3390/f14040764
Chicago/Turabian StyleKlavins, Ivars, Arta Bardule, Zane Klavina, and Zane Libiete. 2023. "Harvest Intensity Impacts Nutrient Status and Young Stand Development in Latvian Hemiboreal Forest" Forests 14, no. 4: 764. https://doi.org/10.3390/f14040764
APA StyleKlavins, I., Bardule, A., Klavina, Z., & Libiete, Z. (2023). Harvest Intensity Impacts Nutrient Status and Young Stand Development in Latvian Hemiboreal Forest. Forests, 14(4), 764. https://doi.org/10.3390/f14040764

