Growth Response of Trees with Different Growth Statuses to Pruning on a Pinus massoniana Lamb. Plantation
Abstract
1. Introduction
2. Materials and Methods
2.1. Description of the Study Area
2.2. Experimental Design
2.3. Data Collection
2.4. Data Analysis
3. Results
3.1. Effects of Pruning on Timber Growth
3.2. Effects of Pruning on Stem Form
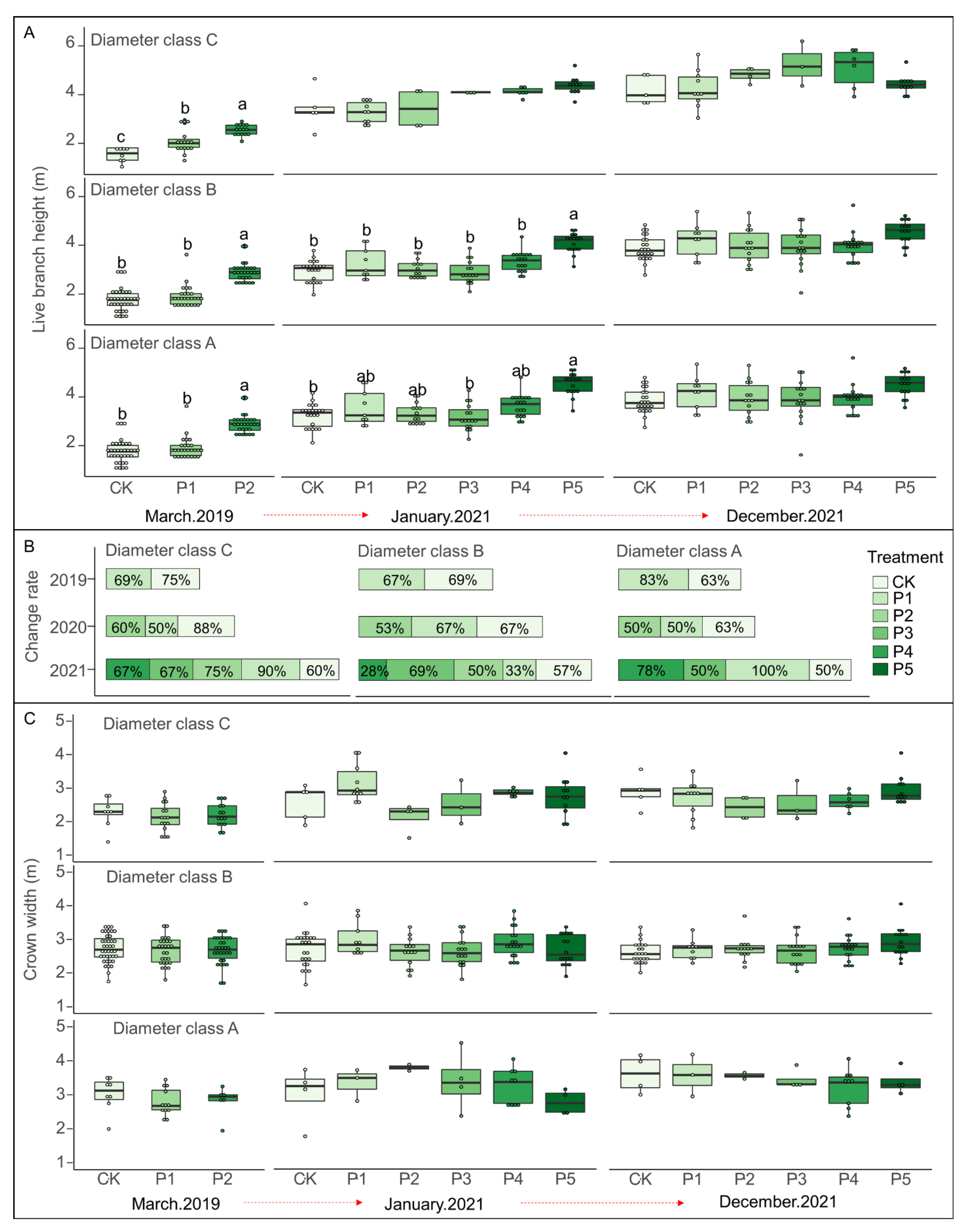
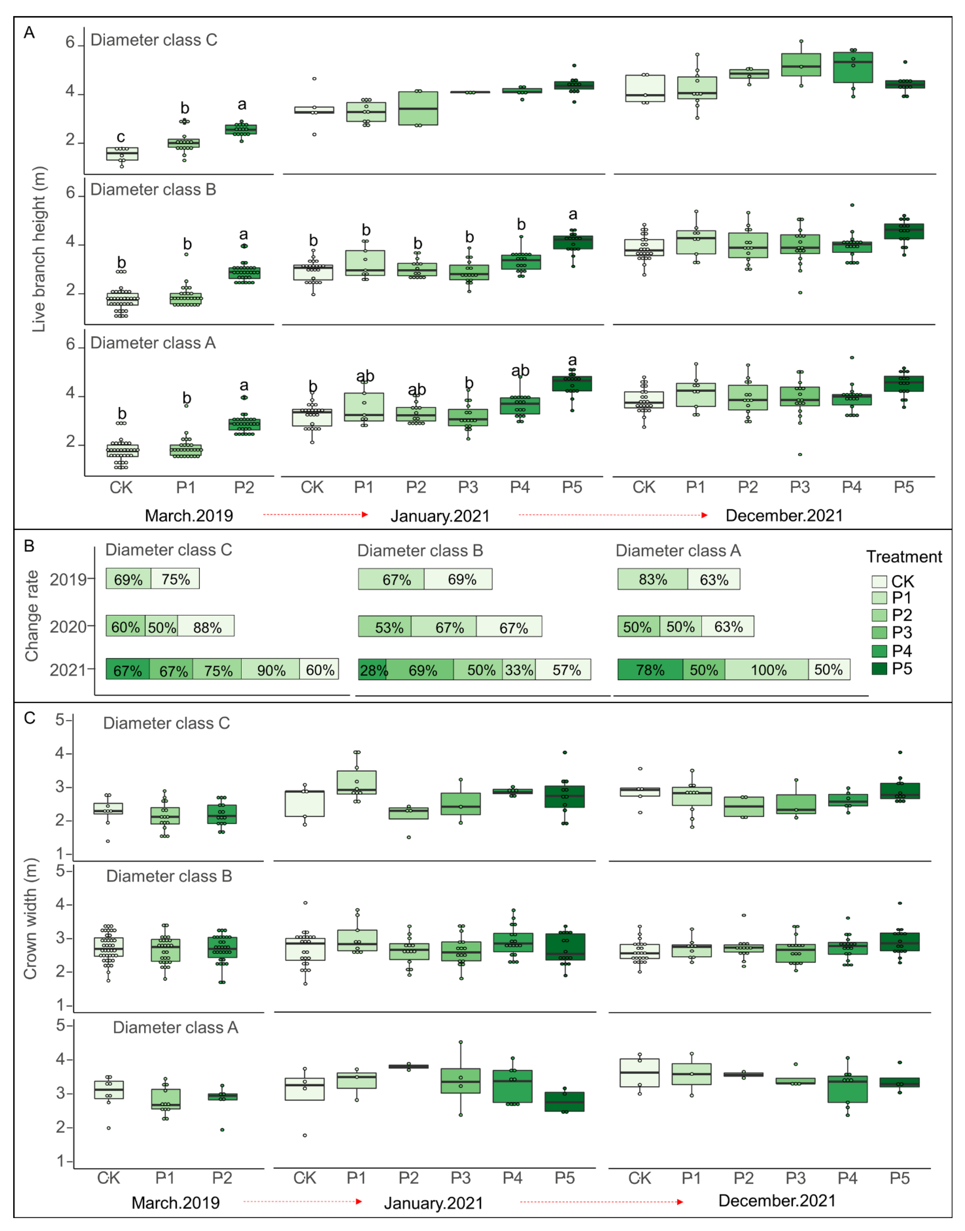
3.3. Effects of Pruning on Crown Characteristics
4. Discussion
5. Conclusions
Author Contributions
Funding
Data Availability Statement
Conflicts of Interest
References
- Kadlec, J.; Novosadová, K.; Pokorný, R. Impact of different pruning practices on height growth of paulownia clon in vitro 112. Forests 2022, 13, 317. [Google Scholar] [CrossRef]
- Beinhofer, B. Comparing the financial performance of traditionally managed beech and oak stands with roomy established and pruned stands. Eur. J. For. Res. 2010, 129, 175–187. [Google Scholar] [CrossRef]
- Ramirez, J.A.; Handa, I.T.; Posada, J.M.; Delagrange, S.; Messier, C. Carbohydrate dynamics in roots, stems, and branches after maintenance pruning in two common urban tree species of North America. Urban For. Urban Green. 2018, 30, 24–31. [Google Scholar] [CrossRef]
- Martín, D.; Vázquez-Piqué, J.; Alejano, R. Effect of pruning and soil treatments on stem growth of holm oak in open woodland forests. Agrofor. Syst. 2015, 89, 599–609. [Google Scholar] [CrossRef]
- Jelonek, T.; Joanna, K.; Mathias, N.; Arkadiusz, T.; Witold, P.; Witold, G.; Katarzyna, K.; Bartłomiej, N.; Robert, K.; Tomasz, S. How Wood Quality Can Be Shaped: Results of 70 Years of Experience. Forests 2022, 13, 2103. [Google Scholar] [CrossRef]
- West, P.W.; Ratkowsky, D.A.; Smith, R.G.B. Factors controlling individual branch development during early growth of an experimental plantation of Eucalyptus pilularis in sub-tropical Australia. Trees 2021, 35, 395–405. [Google Scholar] [CrossRef]
- Toib, A.A.; Muthuri, C.W.; Gebrekirstos, A.; Hadgu, K.; Njoroge, J.; Sinclair, F.; Fetene, M. To prune or not to prune Faidherbia albida: Competing needs for water, wheat and tree products in semi-arid Ethiopia. Agrofor. Syst. 2021, 95, 1661–1673. [Google Scholar] [CrossRef]
- Viquez, E.; Pérez, D. Effect of pruning on tree growth, yield, and wood properties of Tectona grandis plantations in Costa Rica. Silva Fenn. 2005, 39, 381–390. [Google Scholar] [CrossRef]
- Neilsen, W.A.; Pinkard, E.A. Effects of green pruning on growth of Pinus radiata. Can. J. For. Res. 2003, 33, 2067–2073. [Google Scholar] [CrossRef]
- Rais, A.; Poschenrieder, W.; Kuilen, J.W.G.; Pretzsch, H. Impact of spacing and pruning on quantity, quality and economics of Douglas-fir sawn timber: Scenario and sensitivity analysis. Eur. J. For. Res. 2020, 139, 747–758. [Google Scholar] [CrossRef]
- Zhang, J.; Liu, L.Q. Effects of pruning intensity on nonstructural carbohydrates of Populus alba × P. talassica in the arid desert region of Northwest China. J. For. Res. 2021, 32, 823–830. [Google Scholar] [CrossRef]
- Persello, S.; Grechi, I.; Boudon, F.; Normand, F. Nature abhors a vacuum: Deciphering the vegetative reaction of the mango tree to pruning. Eur. J. Agron. 2019, 104, 85–96. [Google Scholar] [CrossRef]
- Ding, G.J.; Wu, X.B.; Qi, X.M.; Wang, P.C. A study on management model system and optimum cultivation patterns of Pinus massoniana for pulpwood stand. Sci. Silv. Sin. 2002, 38, 7–13. [Google Scholar]
- Ding, G.J.; Xie, S.X.; Wang, D.L.; Qi, X.M.; Wen, Z.W. A study on optimum cultivation patterns of building timber plantation for masson pine in Guizhou. Sci. Silv. Sin. 2000, 36, 69–74. [Google Scholar]
- Shi, L.L.; Chen, J.L.; Zhang, Q.; Bai, Q.S. TMT-based comparative proteomic analysis reveals regulatory pathways and protein targets associated with resin biosynthesis in Pinus massoniana. Ind. Crop. Prod. 2021, 172, 114077. [Google Scholar] [CrossRef]
- Li, Z.; Shen, L.; Hou, Q.; Zhou, Z.; Mei, L.; Zhao, H.; Wen, X. Identification of Genes and Metabolic Pathways Involved in Resin Yield in Masson Pine by Integrative Analysis of Transcriptome, Proteome and Biochemical Characteristics. Int. J. Mol. Sci. 2022, 23, 11420. [Google Scholar] [CrossRef]
- Zhang, J.P. Study on Forest Arbor Layer Productivity and Assessment of Ecological Service Function of Carbon Fixation and Oxygen Release in Guizhou. Ph.D. Thesis, Guizhou University, Guizhou, China, 25 May 2020. [Google Scholar]
- Matsushita, M.; Nishikawa, H.; Tamura, A. Effects of Girdling Intensity, Pruning Season and Thinning on Tree Growth, Crown Vigor and Wound Recovery in Japanese Larch. Forests 2022, 13, 449. [Google Scholar] [CrossRef]
- Makhubedu, T.I.; Letty, B.A.; Mafongoya, P.L.; Scogings, P.F. Unraveling the effects of pruning frequency on biomass productivity, nonstructural carbohydrates and nitrogen fixation rates of Sesbania sesban. Forests 2022, 13, 2035. [Google Scholar] [CrossRef]
- Forrester, D.I.; Collopy, J.J.; Beadle, C.L.; Warren, C.R.; Baker, T.G. Effect of thinning, pruning and nitrogen fertiliser application on transpiration, photosynthesis and water-use efficiency in a young Eucalyptus nitens plantation. For. Ecol. Manag. 2012, 266, 286–300. [Google Scholar] [CrossRef]
- Li, R.; Han, J.; Guan, X.; Chi, Y.; Zhang, W.; Chen, L.; Wang, Q.; Xu, M.; Yang, Q.; Wang, S. Crown pruning and understory removal did not change the tree growth rate in a Chinese fir (Cunninghamia lanceolata) plantation. For. Ecol. Manag. 2020, 464, 118056. [Google Scholar] [CrossRef]
- Fang, S.Z.; Xu, X.Z.; Yan, X.J.; Deng, J.G. Effects of pruning intensities and pruning seasons on the growth dynamics of the poplar plantation. J. Nanjing For. Univ. 2000, 06, 6–10. [Google Scholar]
- Zhao, Y.; Zhu, J.L.; Ma, Z.G.; Liang, J.; Zhang, L.M.; Sun, L.J.; Sun, Z.Q. Responses of Poplar canker and growth to pruning. J. Northeast For. Univ. 2014, 42, 112–116. [Google Scholar]
- Liu, Q.; Xie, L.F.; Dong, L.H.; Li, F.R. Dynamic simulation of the multilayer crown net photosynthetic rate and determination of the functional crown for larch (Larix olgensis) trees. New For. 2021, 52, 1011–1035. [Google Scholar] [CrossRef]
- Iwasa, Y.; Cohen, D.; Leon, J.A. Tree height and crown shape, as results of competitive games. J. Theor. Biol. 1985, 112, 279–297. [Google Scholar] [CrossRef]
- Weng, E.S.; Malyshev, S.; Lichstein, J.W.; Farrior, C.E.; Dybzinski, R.; Zhang, T.; Shevliakova, E.; Pacala, S.W. Scaling from individual trees to forests in an Earth system modeling framework using a mathematically tractable model of height-structured competition. Biogeosciences 2015, 12, 2655–2694. [Google Scholar] [CrossRef]
- Lin, Y.X. Investigation on effect of pruning strength on growth of Masson pine. J. Zhejiang For. Sci. Technol. 1980, 04, 19–20. [Google Scholar]
- February, E.C.; Higgins, S.I.; Bond, W.J.; Swemmer, L. Influence of competition and rainfall manipulation on the growth responses of savanna trees and grasses. Ecology 2013, 94, 1155–1164. [Google Scholar] [CrossRef]
- Osada, N.; Tateno, R.; Hyodo, F.; Takeda, H. Changes in crown architecture with tree height in two deciduous tree species: Developmental constraints or plastic response to the competition for light? For. Ecol. Manag. 2004, 188, 337–347. [Google Scholar] [CrossRef]
- Sprengel, L.; Stangler, D.; Sheppard, J.; Morhart, C.; Spiecker, H. Comparative Analysis of the Effects of Stem Height and Artificial Pruning on Seasonal Radial Growth Dynamics of Wild Cherry (Prunus avium L.) and Sycamore (Acer pseudoplatanus L.) in a Widely Spaced System. Forests 2018, 9, 174. [Google Scholar] [CrossRef]
- Xiao, X.C.; Zhang, Z.L.; Li, Z.H.; Wu, J.Y. Effects of different intensities of pruning on stem form of middle-aged Pinus elliottii plantation. J. Cent. South Univ. For. Technol. 2015, 35, 22–29. [Google Scholar] [CrossRef]
- Hou, Y.K.; Zhai, M.G. The advances of Paulownia stem form cultivation research. Sci. Silv. Sin. 1999, 3, 78–85. [Google Scholar]
- Forrester, D.I.; Collopy, J.J.; Beadle, C.L.; Baker, T.G. Interactive effects of simultaneously applied thinning, pruning and fertiliser application treatments on growth, biomass production and crown architecture in a young Eucalyptus nitens plantation. For. Ecol. Manag. 2012, 267, 104–116. [Google Scholar] [CrossRef]
- Fan, H.B.; Li, Y.Y.; Su, B.Q.; Lin, D.X.; Liu, C.H.; Jiang, Z.K. Allocation pattern of biomass and productivity in the mixed uneven-aged stands of Masson’s pine and hardwood species. Acta Ecol. Sin. 2006, 8, 2463–2473. [Google Scholar]
- Alcorn, P.J.; Bauhus, J.; Thomas, D.S.; James, R.D.; Smith, G.B.; Nicotra, A.B. Photosynthetic response to green crown pruning in young plantation-grown Eucalyptus pilularis and E. cloeziana. For. Ecol. Manag. 2008, 255, 3827–3838. [Google Scholar] [CrossRef]
- Medhurst, J.L.; Pinkard, E.A.; Beadle, C.L.; Worledge, D. Photosynthetic capacity increases in Acacia melanoxylon following form pruning in a two-species plantation. For. Ecol. Manag. 2006, 233, 250–259. [Google Scholar] [CrossRef]





| Disclaimer/Publisher’s Note: The statements, opinions and data contained in all publications are solely those of the individual author(s) and contributor(s) and not of MDPI and/or the editor(s). MDPI and/or the editor(s) disclaim responsibility for any injury to people or property resulting from any ideas, methods, instructions or products referred to in the content. | 
© 2023 by the authors. Licensee MDPI, Basel, Switzerland. This article is an open access article distributed under the terms and conditions of the Creative Commons Attribution (CC BY) license (https://creativecommons.org/licenses/by/4.0/).
Share and Cite
Zhao, X.; Mang, S.; Quan, W.; Ding, G. Growth Response of Trees with Different Growth Statuses to Pruning on a Pinus massoniana Lamb. Plantation. Forests 2023, 14, 668. https://doi.org/10.3390/f14040668
Zhao X, Mang S, Quan W, Ding G. Growth Response of Trees with Different Growth Statuses to Pruning on a Pinus massoniana Lamb. Plantation. Forests. 2023; 14(4):668. https://doi.org/10.3390/f14040668
Chicago/Turabian StyleZhao, Xizhou, Shunlan Mang, Wenxuan Quan, and Guijie Ding. 2023. "Growth Response of Trees with Different Growth Statuses to Pruning on a Pinus massoniana Lamb. Plantation" Forests 14, no. 4: 668. https://doi.org/10.3390/f14040668
APA StyleZhao, X., Mang, S., Quan, W., & Ding, G. (2023). Growth Response of Trees with Different Growth Statuses to Pruning on a Pinus massoniana Lamb. Plantation. Forests, 14(4), 668. https://doi.org/10.3390/f14040668
 
        


