Nitrate and Ammonium Deposition in the Midwestern Fragmented Forest
Abstract
1. Introduction
- N deposition to forest fragments, as evidenced by throughfall N composition, will vary by adjacent land use.
- Nitrogen enrichment of throughfall is highest at the edge and decreases with distance from the edge.
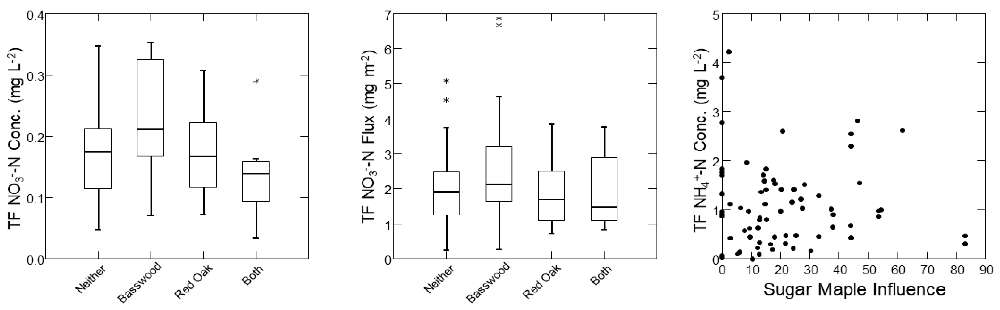
- Spatial variability in throughfall N enrichment is impacted by species composition.
- Throughfall N concentrations, flux, and enrichment ratios will be higher for storm events with a longer antecedent dry period.
- Higher rainfall intensity will result in higher throughfall N concentration, flux, and enrichment ratios.
2. Materials and Methods
2.1. Study Area and Experimental Sites
2.2. Sampling Design
2.3. Sample Collection and Analysis
2.4. Tree Species Influence
2.5. Statistical Analysis
3. Results
3.1. Patterns in Throughfall Concentration, Fluxes, and Enrichment Ratios among Sites
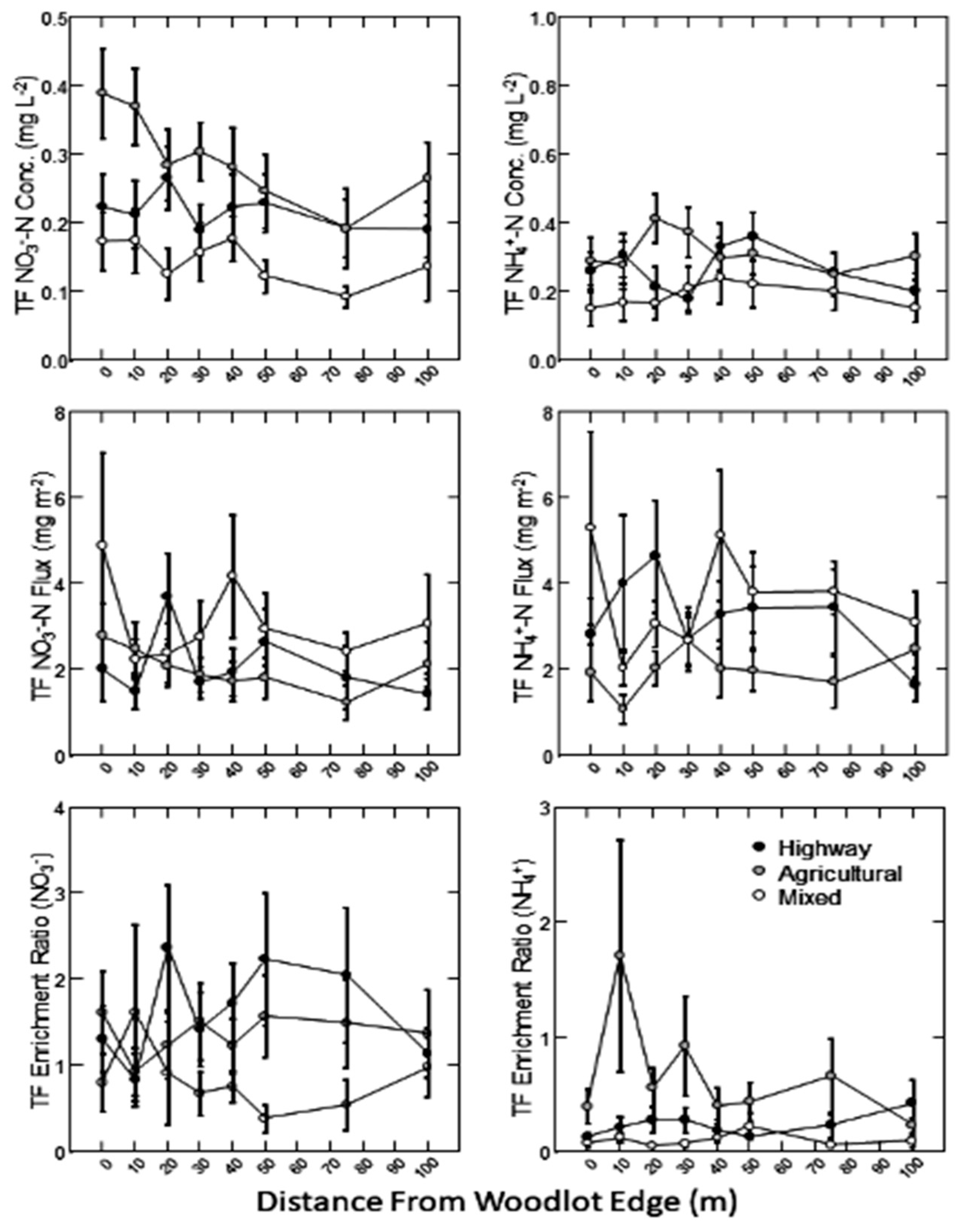
3.2. Spatial Patterns in Throughfall N within Woodlots
3.3. Temporal Variability in Throughfall N
4. Discussion
4.1. Edge Effect
4.2. Temporal Variability
5. Conclusions
Author Contributions
Funding
Data Availability Statement
Conflicts of Interest
References
- Galloway, J.N. The global nitrogen cycle: Changes and consequences. Environ. Pollut. 1998, 102, 15–24. [Google Scholar] [CrossRef]
- Galloway, J.N.; Cowling, E.B. Reactive nitrogen and the world: 200 years of change. AMBIO A J. Hum. Environ. 2002, 31, 64–71. [Google Scholar] [CrossRef] [PubMed]
- Galloway, J.N.; Dentener, F.J.; Capone, D.G.; Boyer, E.W.; Howarth, R.W.; Seitzinger, S.P.; Asner, G.P.; Cleveland, C.C.; Green, P.A.; Holland, E.A.; et al. Nitrogen cycles: Past, present, and future. Biogeochemistry 2004, 70, 153–226. [Google Scholar] [CrossRef]
- Aber, J.D.; Nadelhoffer, K.; Steudler, P.; Melillo, J.M. Nitrogen Saturation in Northern Forest Ecosystems. Bioscience 1989, 39, 378–386. [Google Scholar] [CrossRef]
- Aber, J.; McDowell, W.; Nadelhoffer, K.; Magill, A.; Berntson, G.; Kamakea, M.; McNulty, S.; Currie, W.; Rustad, L.; Fernandez, I. Nitrogen saturation in temperate forest ecosystems: Hypotheses revisited. BioScience 1998, 48, 921–934. [Google Scholar] [CrossRef]
- Bobbink, R.; Hornung, M.; Roelofs, J.G.M. The effects of air-borne nitrogen pollutants on species diversity in natural and semi-natural European vegetation. J. Ecol. 1998, 86, 717–738. [Google Scholar] [CrossRef]
- Fenn, M.E.; Poth, M.A.; Aber, J.D.; Baron, J.S.; Bormann, B.T.; Johnson, D.W.; Lemly, A.D.; McNulty, S.G.; Ryan, D.F.; Stottlemyer, R. Nitrogen excess in North American ecosystems: Predisposing factors, ecosystem responses, and man-agement strategies. Ecol. Appl. 1998, 8, 706–733. [Google Scholar] [CrossRef]
- Driscoll, I.; Hamilton, D.A.; Petropoulos, H.; Yeo, R.A.; Brooks, W.M.; Baumgartner, R.N.; Sutherland, R.J. The Aging Hippocampus: Cognitive, Biochemical and Structural Findings. Cereb. Cortex 2003, 13, 1344–1351. [Google Scholar] [CrossRef]
- Heilman, G.E.; Strittholt, J.R.; Slosser, N.C.; Dellasala, D.A. Forest fragmentation of the conterminous United States: Assessing forest intactness through road density and spatial characteristics: Forest fragmentation can be measured and monitored in a powerful new way by combining remote sensing, geographic information systems, and analytical software. BioScience 2002, 52, 411–422. [Google Scholar] [CrossRef]
- Riitters, K.H.; Coulston, J.W.; Wickham, J.D. Fragmentation of forest communities in the eastern United States. For. Ecol. Manag. 2012, 263, 85–93. [Google Scholar] [CrossRef]
- Vallet, J.; Beaujouan, V.; Pithon, J.; Rozé, F.; Daniel, H. The effects of urban or rural landscape context and distance from the edge on native woodland plant communities. Biodivers. Conserv. 2010, 19, 3375–3392. [Google Scholar] [CrossRef]
- Honnay, O.; Verheyen, K.; Hermy, M. Permeability of ancient forest edges for weedy plant species invasion. For. Ecol. Manag. 2002, 161, 109–122. [Google Scholar] [CrossRef]
- Bittman, S.; Robert, M. Ammonia emissions from agricultural operations: Livestock. Better Crops 2009, 93, 28–31. [Google Scholar]
- Theobald, M.; Bealey, W.; Tang, Y.; Vallejo, A.; Sutton, M. A simple model for screening the local impacts of atmospheric ammonia. Sci. Total Environ. 2009, 407, 6024–6033. [Google Scholar] [CrossRef]
- López-Aizpún, M.; Arango-Mora, C.; Santamaría, C.; Lasheras, E.; Santamaría, J.; Ciganda, V.; Cárdenas, L.; Elustondo, D. Atmospheric ammonia concentration modulates soil enzyme and microbial activity in an oak forest affecting soil microbial biomass. Soil Biol. Biochem. 2018, 116, 378–387. [Google Scholar] [CrossRef]
- Bettez, N.D.; Groffman, P.M. Nitrogen Deposition in and near an Urban Ecosystem. Environ. Sci. Technol. 2013, 47, 6047–6051. [Google Scholar] [CrossRef] [PubMed]
- Fenn, M.E.; Bytnerowicz, A.; Schilling, S.L.; Vallano, D.M.; Zavaleta, E.S.; Weiss, S.B.; Morozumi, C.; Geiser, L.H.; Hanks, K. On-road emissions of ammonia: An underappreciated source of atmospheric nitrogen deposition. Sci. Total Environ. 2018, 625, 909–919. [Google Scholar] [CrossRef]
- Dunkerley, D. Measuring interception loss and canopy storage in dryland vegetation: A brief review and evaluation of available research strategies. Hydrol. Process. 2000, 14, 669–678. [Google Scholar] [CrossRef]
- Xiao, Q.; McPherson, E.G.; Ustin, S.L.; Grismer, M.E.; Simpson, J.R. Winter rainfall interception by two mature open-grown trees in Davis, California. Hydrol. Process. 2000, 14, 763–784. [Google Scholar] [CrossRef]
- Zhang, Y.-F.; Wang, X.-P.; Hu, R.; Pan, Y.-X. Throughfall and its spatial variability beneath xerophytic shrub canopies within water-limited arid desert ecosystems. J. Hydrol. 2016, 539, 406–416. [Google Scholar] [CrossRef]
- Levia, D.F., Jr.; Frost, E.E. Variability of throughfall volume and solute inputs in wooded ecosystems. Prog. Phys. Geogr. 2006, 30, 605–632. [Google Scholar] [CrossRef]
- Limpert, K.; Siegert, C. Interspecific differences in canopy-derived water, carbon, and nitrogen in upland oak-hickory forest. Forests 2019, 10, 1121. [Google Scholar] [CrossRef]
- Lovett, G.M.; Lindberg, S.E. Dry Deposition and Canopy Exchange in a Mixed Oak Forest as Determined by Analysis of Throughfall. J. Appl. Ecol. 1984, 21, 1013. [Google Scholar] [CrossRef]
- U.S. Census Bureau quickfacts: East Lansing City, Michigan. Available online: https://www.census.gov/quickfacts/eastlansingcitymichigan (accessed on 13 January 2023).
- Sinsabaugh, R.L.; Reynolds, H.; Long, T.M. Rapid assay for amidohydrolase (urease) activity in environmental samples. Soil Biol. Biochem. 2000, 32, 2095–2097. [Google Scholar] [CrossRef]
- Doane, T.A.; Horwáth, W.R. Spectrophotometric Determination of Nitrate with a Single Reagent. Anal. Lett. 2003, 36, 2713–2722. [Google Scholar] [CrossRef]
- Levia, D.F., Jr.; Herwitz, S.R. Physical properties of water in relation to stemflow leachate dynamics: Implica-tions for nutrient cycling. Can. J. For. Res. 2000, 30, 662–666. [Google Scholar] [CrossRef]
- Levia, D.F., Jr.; Frost, E.E. A review and evaluation of stemflow literature in the hydrologic and biogeochemical cycles of forested and agricultural ecosystems. J. Hydrol. 2003, 274, 1–29. [Google Scholar] [CrossRef]
- Siegert, C.M.; Levia, D.F.; Leathers, D.J.; Van Stan, J.T.; Mitchell, M.J. Do storm synoptic patterns affect biogeochemical fluxes from temperate deciduous forest canopies? Biogeochemistry 2017, 132, 273–292. [Google Scholar] [CrossRef]
- Hegyi, F. A simulation model for managing jack-pine stand simulation. RoyalColl. Res. Notes 1974, 30, 74–90. [Google Scholar]
- Motulsky, H.J.; Brown, R.E. Detecting outliers when fitting data with nonlinear regression–a new method based on robust nonlinear regression and the false discovery rate. BMC Bioinform. 2006, 7, 123. [Google Scholar] [CrossRef]
- Boerner, R.E.J. Foliar Nutrient Dynamics and Nutrient Use Efficiency of Four Deciduous Tree Species in Relation to Site Fertility. J. Appl. Ecol. 1984, 21, 1029. [Google Scholar] [CrossRef]
- Potter, C.S.; Ragsdale, H.L.; Swank, W.T. Atmospheric deposition and foliar leaching in a regener-ating southern Appalachian forest canopy. J. Ecol. 1991, 79, 97–115. [Google Scholar] [CrossRef]
- Lovett, G.M.; Nolan, S.S.; Driscoll, C.T.; Fahey, T.J. Factors regulating throughfall flux in a New Hampshire forested landscape. Can. J. For. Res. 1996, 26, 2134–2144. [Google Scholar] [CrossRef]
- Lodhi, M.; Ruess, R. Variation in soil nitrifiers and leaf nitrate reductase activity of selected tree species in a forest community. Soil Biol. Biochem. 1988, 20, 939–943. [Google Scholar] [CrossRef]
- Tietema, A.; Verstraten, J. Nitrogen cycling in an acid forest ecosystem in the Netherlands under increased atmospheric nitrogen input. Biogeochemistry 1991, 15, 21–46. [Google Scholar] [CrossRef]
- Lanning, M.; Wang, L.; Benson, M.; Zhang, Q.; Novick, K.A. Canopy isotopic investigation reveals different water uptake dynamics of maples and oaks. Phytochemistry 2020, 175, 112389. [Google Scholar] [CrossRef]
- Hasselrot, B.; Grennfelt, P. Deposition of air pollutants in a wind-exposed forest edge. Water Air Soil Pollut. 1987, 34, 135–143. [Google Scholar] [CrossRef]
- Spangenberg, A.; Kölling, C. Nitrogen deposition and nitrate leaching at forest edges exposed to high am-monia emissions in Southern Bavaria. Water Air Soil Pollut. 2004, 152, 233–255. [Google Scholar] [CrossRef]
- Wuyts, K.; De Schrijver, A.; Staelens, J.; Gielis, M.; Geudens, G.; Verheyen, K. Patterns of throughfall deposition along a transect in forest edges of silver birch and Corsican pine. Can. J. For. Res. 2008, 38, 449–461. [Google Scholar] [CrossRef]
- Weathers, K.C.; Cadenasso, M.L.; Pickett, S.T. Forest edges as nutrient and pollutant concentrators: Potential synergisms between fragmentation, forest canopies, and the atmosphere. Conserv. Biol. 2001, 15, 1506–1514. [Google Scholar] [CrossRef]
- Devlaeminck, R.; Bossuyt, B.; Hermy, M. Inflow of seeds through the forest edge: Evidence from seed bank and vegetation patterns. Plant Ecol. 2005, 176, 1–17. [Google Scholar] [CrossRef]
- Draaijers, G.P.J.; Erisman, J.W. A canopy budget model to assess atmospheric deposition from throughfall measure-ments. Water Air Soil Pollut. 1995, 85, 2253–2258. [Google Scholar] [CrossRef]
- Van Stan, J.T., II; Levia, D.F., Jr.; Inamdar, S.P.; Lepori-Bui, M.; Mitchell, M.J. The effects of phenoseason and storm characteristics on throughfall solute washoff and leaching dynamics from a temperate deciduous forest canopy. Sci. Total Environ. 2012, 430, 48–58. [Google Scholar] [CrossRef]
- Draaijers, G.P.J.; Ivens, W.P.M.F.; Bleuten, W. Atmospheric deposition in forest edges measured by monitoring canopy throughfall. Water Air Soil Pollut. 1988, 42, 129–136. [Google Scholar] [CrossRef]
- De Schrijver, A.; Nachtergale, L.; Roskams, P.; De Keersmaeker, L.; Mussche, S.; Lust, N. Soil acidification along an ammonium deposition gradient in a Corsican Pine stand in northern Belgium. Environ. Pollut. 1998, 102, 427–431. [Google Scholar] [CrossRef]
- Zhang, H.; Wu, H.; Liao, A.; He, B.; Liu, J.; Wang, N.; Xia, Y.; Cao, Y.; Zhu, Z.; Fu, C. Effects of Trunk Distance and Rainfall on Throughfall and Associated Chemical Alterations within a Subtropical Deciduous Forest. Forests 2022, 13, 1707. [Google Scholar] [CrossRef]
- Zimmermann, A.; Germer, S.; Neill, C.; Krusche, A.V.; Elsenbeer, H. Spatio-temporal patterns of throughfall and solute deposition in an open tropical rain forest. J. Hydrol. 2008, 360, 87–102. [Google Scholar] [CrossRef]
- Siegert, C.M.; Drotar, N.A.; Alexander, H.D. Spatial and Temporal Variability of Throughfall among Oak and Co-Occurring Non-Oak Tree Species in an Upland Hardwood Forest. Geosciences 2019, 9, 405. [Google Scholar] [CrossRef]
- Levia, D.F.; Keim, R.F.; Carlyle-Moses, D.E.; Frost, E.E. Throughfall and Stemflow in Wooded Ecosystems. For. Hydrol. Biogeochem. Synth. Past Res. Future Directions. 2011, 216, 425–443. [Google Scholar] [CrossRef]
- Rodrigo, A.; Àvila, A.; Rodà, F. The chemistry of precipitation, throughfall and stemflow in two holm oak (Quercus ilex L.) forests under a contrasted pollution environment in NE Spain. Sci. Total Environ. 2003, 305, 195–205. [Google Scholar] [CrossRef] [PubMed]
- André, F.; Jonard, M.; Ponette, Q. Spatial and temporal patterns of throughfall chemistry within a temperate mixed oak–beech stand. Sci. Total Environ. 2008, 397, 215–228. [Google Scholar] [CrossRef] [PubMed]
- Zhang, H.-X.; Wu, H.-W.; Li, J.; He, B.; Liu, J.-F.; Wang, N.; Duan, W.-L.; Liao, A.-M. Spatial-temporal variability of throughfall in a subtropical deciduous forest from the hilly regions of eastern China. J. Mt. Sci. 2019, 16, 1788–1801. [Google Scholar] [CrossRef]




| Site | Dominance | Stand Density (Trees ha–1) | Basal Area (m2 ha−1) | Rel. Density (%) | Rel. Dominance (%) |
|---|---|---|---|---|---|
| Highway Woodlot | Acer saccharum | 76.7 | 12.6 | 27.8 | 39.4 |
| Quercus rubra | 62.2 | 9.8 | 22.6 | 30.8 | |
| Fagus grandifolia | 37.3 | 2.8 | 13.5 | 8.8 | |
| Tilia americana | 29 | 1.5 | 10.5 | 4.6 | |
| Prunus serotina | 20.7 | 1.3 | 7.5 | 4.0 | |
| Acer rubrum | 6.2 | 1.0 | 2.3 | 3.2 | |
| Populus deltoides | 6.2 | 1.0 | 2.3 | 3.0 | |
| Carya spp. | 16.6 | 0.8 | 6.0 | 2.5 | |
| Liriodendron tulipifera | 6.2 | 0.7 | 2.3 | 2.1 | |
| Ulmus spp. | 6.2 | 0.3 | 2.3 | 0.9 | |
| Juglans nigra | 2.1 | 0.1 | 0.8 | 0.4 | |
| Ostrya virginiana | 6.2 | 0.1 | 2.3 | 0.2 | |
| Total | 275.6 | 32.0 | |||
| Mixed Landuse Woodlot | Acer saccharum | 93.3 | 14.0 | 35.4 | 45.5 |
| Tilia americana | 51.8 | 4.8 | 19.7 | 15.6 | |
| Quercus rubra | 20.7 | 3.1 | 7.9 | 10.2 | |
| Acer nigrum | 18.7 | 2.4 | 7.1 | 7.9 | |
| Prunus serotina | 12.4 | 2.2 | 4.7 | 7.0 | |
| Fagus grandifolia | 18.7 | 1.8 | 7.1 | 7.9 | |
| Carya spp. | 24.9 | 1.5 | 9.4 | 5.0 | |
| Ulmus spp. | 12.4 | 0.8 | 4.7 | 2.6 | |
| Ostrya virginiana | 10.4 | 0.1 | 3.9 | 0.4 | |
| Total | 263.2 | 30.9 | |||
| Agricultural Woodlot | Acer saccharum | 93.3 | 14.0 | 35.4 | 45.5 |
| Fagus grandifolia | 51.8 | 4.8 | 19.7 | 15.6 | |
| Tilia americana | 20.7 | 3.1 | 7.9 | 10.2 | |
| Acer nigrum | 18.7 | 2.4 | 7.1 | 7.9 | |
| Prunus serotina | 12.4 | 2.2 | 4.7 | 7.0 | |
| Fagus grandifolia | 18.7 | 1.8 | 7.1 | 7.9 | |
| Carya spp. | 24.9 | 1.5 | 9.4 | 5.0 | |
| Ulmus spp. | 12.4 | 0.8 | 4.7 | 2.6 | |
| Ostrya virginiana | 10.4 | 0.1 | 3.9 | 0.4 | |
| Total | 225 | 28.1 | |||
| Date | Pg (mm) | Site Sampled | Rainfall Intensity (mm h−1) | Antecedent Dry Period (Days) |
|---|---|---|---|---|
| 25 May–25 May 2019 | 2.0 | Agricultural Highway Mixed landscape | 2.0 | 1 |
| 1 June–4 June 2019 | 23.1 | Agricultural Highway | 1.35 | 5 |
| 5 June–6 June 2019 | 14.7 | Agricultural Highway Mixed landscape | 14.7 | 1 |
| 24 June–25 June 2019 | 8.1 | Agricultural Highway Mixed landscape | 1.16 | 4 |
| 26 August–28 August 2019 | 9.7 | Agricultural Highway | 1.21 | 12 |
| 29 August–30 August 2019 | 2.5 | Agricultural Highway | 0.83 | 1 |
| 11 September–12 September 2019 | 15.2 | Agricultural Highway Mixed landscape | 1.9 | 2 |
| 27 September–1 October 2019 | 43.2 | Highway Mixed landscape | 1.14 | 5 |
| 2 October–3 October 2019 | 28.2 | Highway Mixed landscape | 1.48 | 1 |
| Site | BA | TPH |
|---|---|---|
| Agricultural | 4.2 | 3773 |
| Highway | 1.8 | 1650.7 |
| Mixed land use | 0.4 | 353.7 |
Disclaimer/Publisher’s Note: The statements, opinions and data contained in all publications are solely those of the individual author(s) and contributor(s) and not of MDPI and/or the editor(s). MDPI and/or the editor(s) disclaim responsibility for any injury to people or property resulting from any ideas, methods, instructions or products referred to in the content. |
© 2023 by the authors. Licensee MDPI, Basel, Switzerland. This article is an open access article distributed under the terms and conditions of the Creative Commons Attribution (CC BY) license (https://creativecommons.org/licenses/by/4.0/).
Share and Cite
Rivera-Cubero, L.D.; Dowtin, A.L.; Rothstein, D.E. Nitrate and Ammonium Deposition in the Midwestern Fragmented Forest. Forests 2023, 14, 512. https://doi.org/10.3390/f14030512
Rivera-Cubero LD, Dowtin AL, Rothstein DE. Nitrate and Ammonium Deposition in the Midwestern Fragmented Forest. Forests. 2023; 14(3):512. https://doi.org/10.3390/f14030512
Chicago/Turabian StyleRivera-Cubero, Luis D., Asia L. Dowtin, and David E. Rothstein. 2023. "Nitrate and Ammonium Deposition in the Midwestern Fragmented Forest" Forests 14, no. 3: 512. https://doi.org/10.3390/f14030512
APA StyleRivera-Cubero, L. D., Dowtin, A. L., & Rothstein, D. E. (2023). Nitrate and Ammonium Deposition in the Midwestern Fragmented Forest. Forests, 14(3), 512. https://doi.org/10.3390/f14030512
