Spatiotemporal Variation and Pattern Analysis of Air Pollution and Its Correlation with NDVI in Nanjing City, China: A Landsat-Based Study
Abstract
:1. Introduction
2. Materials and Methods
2.1. Study Region
2.2. Data Sources
2.3. Data Processing
2.3.1. Determination of NDVI, RVI, and GVI Values
2.3.2. Spatiotemporal Distributions and Concentrations of Air Pollutants
2.3.3. Heatmap Generation
2.3.4. Correlation Analysis
3. Results and Discussion
3.1. Spatial Characteristics of Air Pollutants in Nanjing
3.2. Temporal Variation Patterns of Air Pollutants in Nanjing
3.3. Analysis of NDVI, GVI, and RVI Indexes in Nanjing
3.3.1. NDVI Variation
3.3.2. RVI Variation
3.3.3. GVI Variation
3.4. Effects of Vegetation Indices on Air Pollutants
3.4.1. Correlation Analysis of NDVI and Air Pollutants
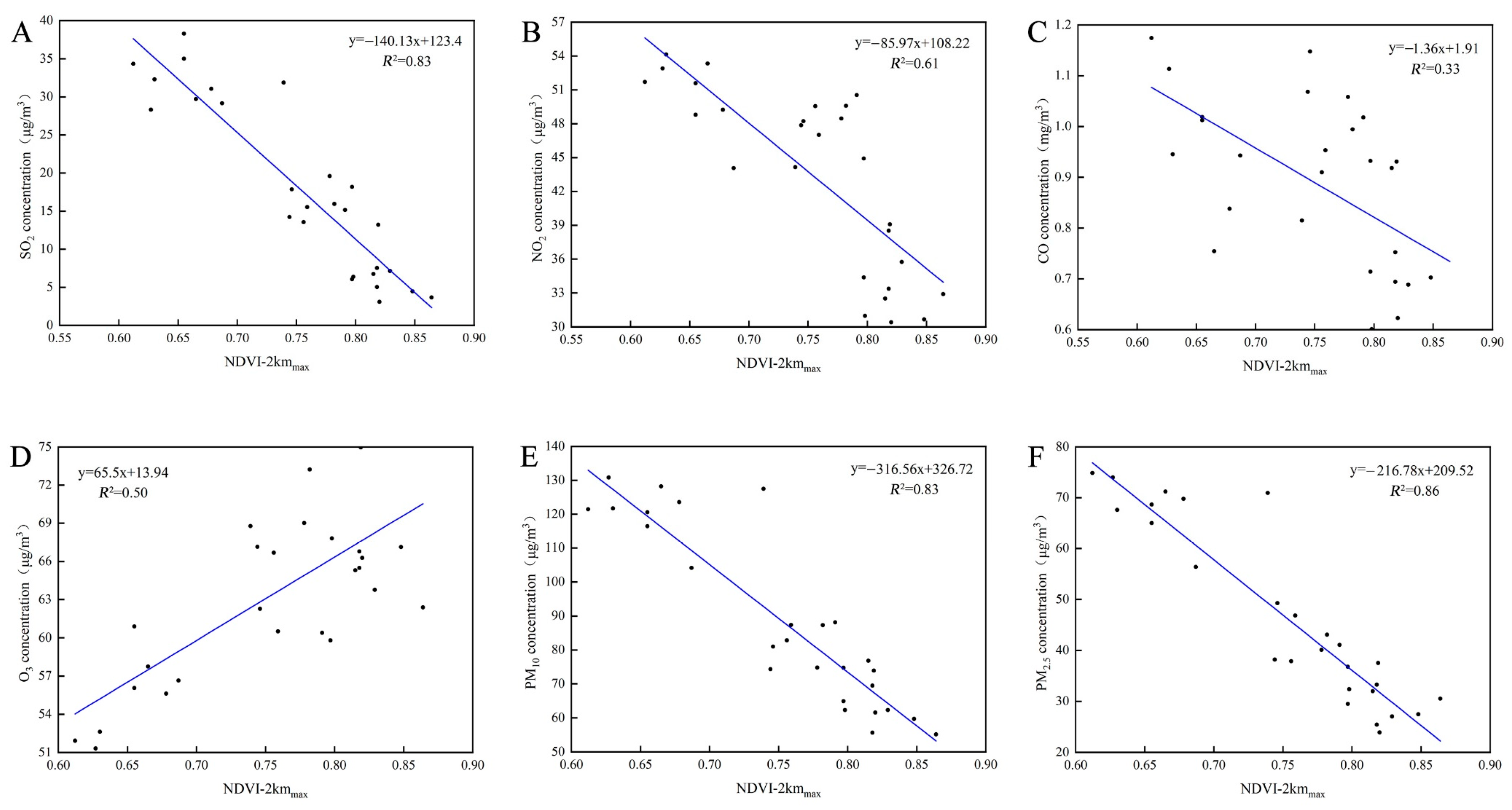
3.4.2. Effects of NDVI on Air Pollutants
3.5. Correlation Analysis of NDVI, Air Pollutants and Socio-Economic Data
3.5.1. Heatmap Analysis of Correlation between NDVI and Socio-Economic Data
3.5.2. Heatmap Analysis of Correlation between Air Pollutants and Socio-Economic Data
4. Conclusions
Author Contributions
Funding
Data Availability Statement
Acknowledgments
Conflicts of Interest
References
- Maji, K.J.; Li, V.O.K.; Lam, J.C.K. Effects of China’s current Air Pollution Prevention and Control Action Plan on air pollution patterns, health risks and mortalities in Beijing 2014–2018. Chemosphere 2020, 260, 127572. [Google Scholar] [CrossRef] [PubMed]
- Liu, H.M.; Fang, C.L.; Huang, J.J.; Zhu, X.D.; Zhou, Y.; Wang, Z.B.; Zhang, Q. The spatial-temporal characteristics and influencing factors of air pollution in the Beijing-Tianjin-Hebei urban agglomeration. J. Geogr. 2018, 73, 177–191. [Google Scholar]
- Chen, L.L.; Wang, H.; Wang, Z.W.; Dong, Z.M. Estimating the mortality attributable to indoor exposure to particulate matter of outdoor origin in mainland China. Sci. Total Environ. 2023, 872, 162286. [Google Scholar] [CrossRef] [PubMed]
- Du, J.; Song, P.C.; Long, P.; Huang, Q.; Qiao, J.X. Characteristics and correlation analysis of atmospheric pollutant concentration changes in Mianyang. J. Earth Environment 2021, 12, 183–191+201. [Google Scholar]
- Zhang, Y.J.; Cai, J.; Wang, S.X.; He, K.B.; Zheng, M. Review of receptor-based source apportionment research of fine particulate matter and its challenges in China. Sci. Total Environ. 2017, 586, 917–929. [Google Scholar] [CrossRef]
- Wang, Y.G.; Ying, Q.; Hu, J.L.; Zhang, H.L. Spatial and temporal variations of six criteria air pollutants in 31 provincial capital cities in China during 2013–2014. Environ. Int. 2014, 73, 413–422. [Google Scholar] [CrossRef]
- Wan, Q.; Chen, Z.; Wang, Y.; Feng, B. Multi-scale analysis of the spatial and temporal development of PM2.5 in the Yangtze River Economic Belt from 1998 to 2016. Yangtze River Basin Resour. Environ. 2019, 28, 2504–2512. [Google Scholar]
- Banerjee, T.; Singh, S.B.; Srivastava, R.K. Development and performance evaluation of statistical models correlating air pollutants and meteorological variables at Pantnagar, India. Atmos. Res. 2011, 99, 505–517. [Google Scholar] [CrossRef]
- Wang, J.H.; Zhao, T.B.; Ma, Y.X.; Ma, P.; Yang, S.M.; Wang, S. Characteristics of air pollution in Xi’an and their relationship with meteorological factors. Environ. Chem. 2015, 34, 386–387. [Google Scholar]
- Jia, B.; Lu, J.W.; Li, X.; Wang, X. Trends of atmospheric pollutant concentrations and analysis of their influencing factors in Dianjiang, Chongqing. Environ. Impact Assess. 2016, 38, 78–81. [Google Scholar]
- Hrishikesh, C.G.; Nagendra, S.M.S. Study of meteorological impact on air quality in a humid tropical urban area. J. Earth Syst. Sci. 2019, 128, 118. [Google Scholar] [CrossRef]
- Cui, L.L.; Zhou, L.; Chen, X.D.; Zhang, X.Z.; Wang, Q.Q.; Wu, J.; Ding, Z. Characteristics of spatial and temporal variation in air pollutant concentrations in typical regions of Nanjing in the past 10 years. Mod. Prev. Med. 2013, 40, 3356–3360+3370. [Google Scholar]
- Guo, Q.H.; Chen, K. Analysis of ambient air quality characteristics and variation in Nanjing. J. Nanjing Univ. Inf. Eng. Nat. Sci. Ed. 2022, 14, 294–303. [Google Scholar]
- Yuan, X.; Huang, Z.J.; Lu, M.H.; Jia, G.L.; Duan, J.H.; Shen, J.; Zhong, Z.M.; Chen, D.H.; Zheng, J.Y. Seasonal evolution and cause analysis of ozone pollution in the Pearl River Delta based on observation and machine learning. Acta Sci. Circumstantiae 2023, 43, 214–225. [Google Scholar]
- Ersin, Ö.Ö. The nonlinear relationship of environmental degradation and income for the 1870–2011 period in selected developed countries: The dynamic panel-star approach. Procedia Econ. Financ. 2016, 38, 318–339. [Google Scholar] [CrossRef]
- Bildirici, M.; Ersin, Ö.Ö. Nexus between Industry 4.0 and environmental sustainability: A Fourier panel bootstrap cointegration and causality analysis. J. Clean. Prod. 2023, 386, 135786. [Google Scholar] [CrossRef]
- Escobedo, S.; de Lasa, H. Photocatalysis for air treatment processes: Current technologies and future applications for the removal of organic pollutants and viruses. Catalysts 2020, 10, 966. [Google Scholar] [CrossRef]
- Wang, Q.Y.; Enyoh, C.E.; Chowdhury, T.; Chowdhury, M.A.H. Analytical techniques, occurrence and health effects of micro and nano plastics deposited in street dust. Int. J. Environ. Anal. Chem. 2020, 102, 6435–6453. [Google Scholar] [CrossRef]
- Kaya, S.I.; Cetinkaya, A.; Ozkan, S.A. Green analytical chemistry approaches on environmental analysis. Trends Environ. Anal. Chem. 2022, 33, e00157. [Google Scholar] [CrossRef]
- Zhang, W.Y.; Zhang, Y.Z.; Gong, J.R.; Yang, B.; Zhang, Z.H.; Wang, B.; Zhu, C.C.; Shi, J.Y.; Yue, K.X. Comparison of the suitability of plant species for greenbelt construction based on particulate matter capture capacity, air pollution tolerance index, and antioxidant system. Environ. Pollut. 2020, 263, 114615. [Google Scholar] [CrossRef]
- Freer-Smith, P.H.; Holloway, S.; Goodman, A. The uptake of particulates by an urban woodland:site description and particulate composition. Environ. Pollut. 1997, 95, 27–35. [Google Scholar] [CrossRef] [PubMed]
- Prusty, B.A.K.; Mishra, P.C.; Azeez, P.A. Dust accumulation and leaf pigment content in vegetation near the national highway at Sambalpur, Orissa, India. Ecotoxicol. Environ. Saf. 2005, 60, 228–235. [Google Scholar] [CrossRef]
- Nowak, D.J.; Crane, D.E.; Stevens, J.C. Air pollution removal by urban trees and shrubs in the United States. Urban For. Urban Green. 2006, 4, 115–123. [Google Scholar]
- Jin, H.Y.; Chen, X.H.; Zhong, R.D.; Liu, M.Y. Influence and prediction of PM2.5 through multiple environmental variables in China. Sci. Total Environ. 2022, 849, 157910. [Google Scholar] [CrossRef] [PubMed]
- Kinane, S.M.; Montes, C.R.; Zapata, M.; Bullock, B.P.; Cook, R.L.; Mishra, D.R. Influence of environmental variables on leaf area index in loblolly pine plantations. For. Ecol. Manag. 2022, 523, 120445. [Google Scholar] [CrossRef]
- Sun, X.Y.; Xu, S.; Hua, W.C.; Tian, J.R.; Xu, Y.N. Feasibility study on the estimation of the living vegetation volume of individual street trees using terrestrial laser scanning. Urban Urban Green 2022, 71, 127553. [Google Scholar] [CrossRef]
- Zhang, Y.L.; Li, S.L.; Fu, X.; Dong, R.C. Quantification of urban greenery using hemisphere-view panoramas with a green cover index. Ecosyst. Health Sustain. 2021, 7, 1929502. [Google Scholar] [CrossRef]
- Ki, D.; Lee, S. Analyzing the effects of Green View Index of neighborhood streets on walking time using Google Street View and deep learning. Landsc. Urban Plan. 2021, 205, 103920. [Google Scholar] [CrossRef]
- Dong, W.; Yang, Z.Y. Variation characteristics analysis of the vegetation coverage in Midu county based on Landsat 8 remote sensing image. In Proceedings of the 2nd International Conference on Intelligent Information Processing-IIP’17, Bangkok, Thailand, 17–18 July 2017. [Google Scholar]
- Hui, F.M.; Tian, Q.J.; Jin, Z.Y.; Li, H.T. Research on the relationship between vegetation index and leaf area index and its quantitative analysis. Remote Sens. Inf. 2003, 2, 10–13. [Google Scholar]
- Chen, W.B.; Xie, T.; Zheng, J.; Wu, S. The influence of land vegetation on the spatial distribution of PM2.5 concentration. J. Ecol. 2020, 40, 7044–7053. [Google Scholar]
- Sun, S.; Li, L.J.; Zhao, W.J.; Qi, M.X.; Tian, X.; Li, S.S. Analysis of variation in air pollution in Beijing, Tianjin and Hebei and its correlation with vegetation index. Environ. Sci. 2019, 40, 1585–1593. [Google Scholar]
- Huang, G.J.; Zhong, J.S.; Ao, C.H. Correlation analysis of the spatial and temporal distribution characteristics of PM2.5 and vegetation cover in Liupanshui, Guizhou. Science. Technol. Eng. 2020, 20, 10965–10972. [Google Scholar]
- Suárez-Cáceres, G.P.; Fernández-Cañero, R.; Fernández-Espinosa, A.J.; Rossini-Oliva, S.; Franco-Salas, A.; Pérez-Urrestarazu, L. Volatile organic compounds removal by means of a felt-based living wall to improve indoor air quality. Atmos. Pollut. Res. 2021, 12, 224–229. [Google Scholar] [CrossRef]
- Srbinovska, M.; Andova, V.; Mateska, A.K.; Krstevska, M.C. The effect of small green walls on reduction of particulate matter concentration in open areas. J. Clean. Prod. 2021, 279, 123306. [Google Scholar] [CrossRef]
- Pettit, T.; Torpy, F.R.; Surawski, N.C.; Fleck, R.; Irga, P.J. Effective reduction of roadside air pollution with botanical biofiltration. J. Hazard. Mater. 2021, 414, 125566. [Google Scholar] [CrossRef]
- Doronzo, D.M.; Al-Dousari, A.; Folch, A.; Dagsson-Waldhauserova, P. Preface to the Dust Topical Collection. Arab. J. Geosci. 2016, 9, 468. [Google Scholar] [CrossRef]
- Subramaniam, N.; Al-Sudairawi, M.; Al-Dousari, A.; Al-Dousari, N. Probability distribution and extreme value analysis of total suspended particulate matter in Kuwait. Arab. J. Geosci. 2015, 8, 11329–11344. [Google Scholar] [CrossRef]
- Yan, J.; Ji, H.L.; Zhang, Y. Study on the impact of rainfall and flooding on Nanjing Zijinshan National Forest Park based on DEM and NDVI. J. Anhui Agric. Univ. 2020, 47, 192–199. [Google Scholar]
- Wang, Z.B.; Zou, B.; Qiu, Y.H.; Chen, J.W. Geographic characteristics of the spatial and temporal correlation between aerosol optical thickness and PM2.5 in China. Remote Sens. Inf. 2016, 31, 26–35. [Google Scholar]
- Nanjing Municipal Bureau Statistics. Nanjing Statistical Yearbook 2020; China Statistics Press: Beijing, China, 2020.
- Gao, L.; Tang, L.; Hou, H.R.; Wang, Y.; Mai, Y.Q.; He, W.B.; Wang, W.M.; Su, H.B. Spatial and temporal distribution of air pollution in Shenzhen and its relationship with landscape patterns. J. Ecol. 2021, 41, 8758–8770. [Google Scholar]
- Wang, Y.H.; Cui, X.; Chen, W. An empirical study on the relationship between economic development and environmental pollution in Nanjing. Yangtze River Basin Resour. Environ. 2006, 2, 142–146. [Google Scholar]
- Yu, Z.H.; Sun, R.L.; Qin, H.X.; Yao, L.P.; Cheng, T.Q. Study on the path of achieving a high quality ecological environment in the Yangtze River Economic Belt with Nanjing as an example. Yangtze River Basin Resour. Environ. 2022, 31, 379–386. [Google Scholar]
- Tan, L. Research on the Construction of Urban Green Space Landscape Patterns under the Constraints of PM2.5 and Evaluating the Construction of Index Systems; Southwest University: Chongqing, China, 2020. [Google Scholar]
- Liu, Y.P.; Wu, J.G.; Yu, D.Y. Characterizing spatiotemporal patterns of air pollution in China: A multiscale landscape approach. Ecol. Indic. 2017, 76, 344–356. [Google Scholar] [CrossRef]
- Lu, D.B.; Mao, W.L.; Yang, D.Y.; Yang, D.Y.; Zhao, J.N.; Xu, J.H. Effects of land use and landscape pattern on PM2.5 in Yangtze River Delta, China. Atmos. Pollut. Res. 2018, 9, 705–713. [Google Scholar] [CrossRef]
- Zhao, Y.Y.; Zhang, X.P.; Chen, M.X.; Gao, S.S.; Li, R.K. Regional differences and attribution analysis of urban air quality in China. J. Geogr. 2021, 76, 2814–2829. [Google Scholar]
- Li, D.K.; Liu, M.; Li, C.L.; Hu, Y.M.; Wang, C.; Liu, C. Two-and three-dimensional landscape pattern relationships between urban atmospheric environment and surrounding areas in China. J. Appl. Ecol. 2021, 32, 1593–1602. [Google Scholar]
- Liu, Y.Q.; Xu, X.Y.; Huang, M.; Liu, Q. Characteristics of atmospheric PM10, NO2 and SO2 concentration changes in Luoyang City. Soil Water Conserv. Res. 2018, 25, 178–182. [Google Scholar]
- Tao, S.C.; Deng, S.X.; Hao, Y.Z.; Gao, S.H.; Xiong, X.Z.; Kong, Y.P. Emission characteristics of gaseous pollutants from road mobile sources in the Guanzhong city group. China Environ. Sci. 2019, 39, 542–553. [Google Scholar]
- Li, W.H.; Zhou, X.; Zhong, J.L. Spatiotemporal diferentiation characteristics of ecological protectionand high-quality development in Guangxi Zhuang Autonomous Region. Res. Soil Water Conserv. 2023, 30, 165–174. [Google Scholar]
- Ji, Y.U.; Sheng, Q.Q.; Zhu, Z.L. Assessment of ecological benefits of urban green spaces in Nanjing city, China, based on the entropy method and the coupling harmonious degree model. Sustainability 2023, 15, 10516. [Google Scholar] [CrossRef]
- Xu, P.; Hao, Q.J.; Ji, D.S.; Zhang, J.K.; Liu, Z.R.; Hu, B.; Wang, Y.S.; Jiang, C.S. Characterization of atmospheric PM2.5, NOx, SO2 and O3 concentrations in Beibei, Chongqing. J. Environ. Sci. 2016, 36, 1539–1547. [Google Scholar]
- Shao, P.; Wang, L.L.; An, J.L.; Zhou, Y.L.; Wang, Y.S. Atmospheric pollution observations in Zhangjiakou, Hebei. Environ. Sci. 2012, 33, 2538–2550. [Google Scholar]
- Lei, Y.K.; Davies, G.M.; Jin, H.; Tian, G.H.; Kim, G. Scale-dependent effects of urban greenspace on particulate matter air pollution. Urban For. Urban Green. 2021, 61, 127089. [Google Scholar] [CrossRef]
- Zheng, C.Y.; Liang, J.H.; Wang, J. Spatial and temporal variation of normalized vegetation index (NDVI) in the China-Pakistan Economic Corridor and analysis of its influencing factors. J. Ecol. Rural. Environ. 2022, 9, 1147–1156. [Google Scholar]
- Wu, W.; Wang, Y.Q.; Liu, M.; Li, C.L. A Review on the Use of Landscape Indices to Study the Effects of Three-Dimensional Urban Landscape Patterns on Haze Pollution in China. Pol. J. Environ. Stud. 2021, 30, 2957–2967. [Google Scholar] [CrossRef]
- Zang, Z.F.; Zhang, F.Y.; Li, Y.H.; Xing, Y. Spatio-temporal distribution and affecting factors of PM2.5 and PM10 in major grain producing areas in China: A case study of Henan province. J. Nat. Resour. 2021, 36, 1163–1175. [Google Scholar] [CrossRef]
- Li, J.K.; Wang, W.; Li, M.; Li, Q.; Liu, Z.M.; Chen, W.; Wang, Y.A. Impact of land management scale on the carbon emissions of the planting industry in China. Land 2022, 11, 816. [Google Scholar] [CrossRef]
- Xi, X.; Sokolik, I.N. Quantifying the anthropogenic dust emission from agricultural land use and desiccation of the Aral Sea in Central Asia. J. Geophys. Res.-Atmos. 2016, 121, 12270–12281. [Google Scholar] [CrossRef]
- Miao, Q.; Wang, Z.S.; Wang, R.; Huang, M.; Sun, J.L. Assessment of the impact of O3 pollution on summer vegetation growth in Northern China based on NDVI data. Remote Sens. Technol. Appl. 2018, 33, 696–702. [Google Scholar]
- Li, M.W.; Luan, Q.; Zhang, N.; Chang, Q.; Fan, Z.H.; Yang, Q.; Zhao, Y.Q.; Mi, X.N. Analysis of the spatial and temporal dynamics of NDVI and its influencing factors in Luliang from 2000-2019. Soil Water Conserv. Res. 2022, 29, 248–254. [Google Scholar]
- Xu, Y.; Zhao, C.; Dou, S.Q.; Hao, W.Q.; Zheng, Z.W.; Jing, J.L. Spatial and temporal development of NDVI and its correlation with population density in the Bohai Rim from 2000 to 2020. Soil Water Conserv. Bull. 2022, 42, 264–274. [Google Scholar]
- Han, G.F.; Xu, J.H. Spatial and temporal correlation between urbanization and vegetation activity in the Yangtze River Delta. Ecol. Sci. 2008, 27, 1–5. [Google Scholar]











| Station | District | Latitude | Longitude |
|---|---|---|---|
| Caochangmen | Jiangdong Street, Gulou District | 32.05528 | 118.754 |
| Shanxi Road | Ninghai Road Street, Gulou District | 32.07014 | 118.7832 |
| Maigaoqiao | Maigaoqiao Street, Qixia District | 32.1064 | 118.8083 |
| Xianlin University City | Xianlin Street, Qixia District | 32.10135 | 118.9105 |
| Pukou | Jiangpu Street, Pukou District | 32.0878 | 118.626 |
| Olympic Sports Center | Xinglong Street, Jianye District | 32.00726 | 118.7422 |
| Zhonghuamen | Zhonghuamen Street, Qinhuai District | 32.01267 | 118.7817 |
| Xuanwu Lake | Xuanwu Gate Street, Xuanwu District | 32.07545 | 118.8 |
| Ruijin Road | Ruijin Road Street, Qinhuai District | 32.03225 | 118.8058 |
| Sequence Number | Pollutant | Average Times | Concentration Limits | Unit | |
|---|---|---|---|---|---|
| Level 1 | Level 2 | ||||
| 1 | Sulfur dioxide (SO2) | Annual average | 20 | 60 | μg/m3 |
| 24-h average | 50 | 150 | |||
| 1-h average | 150 | 500 | |||
| 2 | Nitrogen dioxide (NO2) | Annual average | 40 | 40 | μg/m3 |
| 24-h average | 80 | 80 | |||
| 1-h average | 200 | 200 | |||
| 3 | Carbon monoxide (CO) | 24-h average | 4 | 4 | mg/m3 |
| 1-h average | 10 | 10 | |||
| 4 | Ozone (O3) | Daily maximum 8-h average | 100 | 160 | μg/m3 |
| 1-h average | 160 | 200 | |||
| 5 | Particulate matter (PM10) | Annual average | 40 | 70 | μg/m3 |
| 24-h average | 50 | 150 | |||
| 6 | Particulate matter (PM2.5) | Annual average | 15 | 35 | μg/m3 |
| 24-h average | 35 | 75 | |||
| Pollutant | NDVI-500 m | NDVI-1 km | NDVI-2 km | ||||||
|---|---|---|---|---|---|---|---|---|---|
| Minimum Value | Average Value | Maximum Value | Minimum Value | Average Value | Maximum Value | Minimum Value | Average Value | Maximum Value | |
| SO2 | 0.017 | 0.0751 | 0.628 | 0.0038 | 0.1187 | 0.7404 | 0.0018 | 0.126 | 0.8409 |
| NO2 | 0.046 | 0.0683 | 0.4695 | 0.0175 | 0.1113 | 0.5241 | 0.0185 | 0.1601 | 0.6269 |
| CO | 0.0787 | 0.0462 | 0.2008 | 0.0775 | 0.0713 | 0.2652 | 0.1306 | 0.136 | 0.3514 |
| O3 | 3.45 × 10−4 | 0.1137 | 0.4557 | 0.0307 | 0.1445 | 0.5905 | 0.0266 | 0.1268 | 0.5206 |
| PM10 | 9.16 × 10−5 | 0.0508 | 0.635 | 0.006 | 0.068 | 0.729 | 0.0042 | 0.08 | 0.8365 |
| PM2.5 | 5.55 × 10−6 | 0.0761 | 0.6881 | 0.0067 | 0.1036 | 0.8086 | 0.0016 | 0.1119 | 0.8627 |
Disclaimer/Publisher’s Note: The statements, opinions and data contained in all publications are solely those of the individual author(s) and contributor(s) and not of MDPI and/or the editor(s). MDPI and/or the editor(s) disclaim responsibility for any injury to people or property resulting from any ideas, methods, instructions or products referred to in the content. |
© 2023 by the authors. Licensee MDPI, Basel, Switzerland. This article is an open access article distributed under the terms and conditions of the Creative Commons Attribution (CC BY) license (https://creativecommons.org/licenses/by/4.0/).
Share and Cite
Sheng, Q.; Ji, Y.; Zhou, C.; Zhang, H.; Zhu, Z. Spatiotemporal Variation and Pattern Analysis of Air Pollution and Its Correlation with NDVI in Nanjing City, China: A Landsat-Based Study. Forests 2023, 14, 2106. https://doi.org/10.3390/f14102106
Sheng Q, Ji Y, Zhou C, Zhang H, Zhu Z. Spatiotemporal Variation and Pattern Analysis of Air Pollution and Its Correlation with NDVI in Nanjing City, China: A Landsat-Based Study. Forests. 2023; 14(10):2106. https://doi.org/10.3390/f14102106
Chicago/Turabian StyleSheng, Qianqian, Yaou Ji, Chengyu Zhou, Huihui Zhang, and Zunling Zhu. 2023. "Spatiotemporal Variation and Pattern Analysis of Air Pollution and Its Correlation with NDVI in Nanjing City, China: A Landsat-Based Study" Forests 14, no. 10: 2106. https://doi.org/10.3390/f14102106
APA StyleSheng, Q., Ji, Y., Zhou, C., Zhang, H., & Zhu, Z. (2023). Spatiotemporal Variation and Pattern Analysis of Air Pollution and Its Correlation with NDVI in Nanjing City, China: A Landsat-Based Study. Forests, 14(10), 2106. https://doi.org/10.3390/f14102106
