Response of Hydraulic and Photosynthetic Characteristics of Caroxylon passerinum (Bunge) Akhani and Roalson to Prolonged Drought and Short-Term Rehydration
Abstract
:1. Introduction
2. Materials and Methods
2.1. Plant Material
2.2. Experimental Design
2.3. Leaf Water Potential and Photosynthetic Characteristics
2.4. Water Conductivity and Susceptibility to Embolism
2.5. Statistical Analysis
3. Results
3.1. Response of Leaf Water Potential
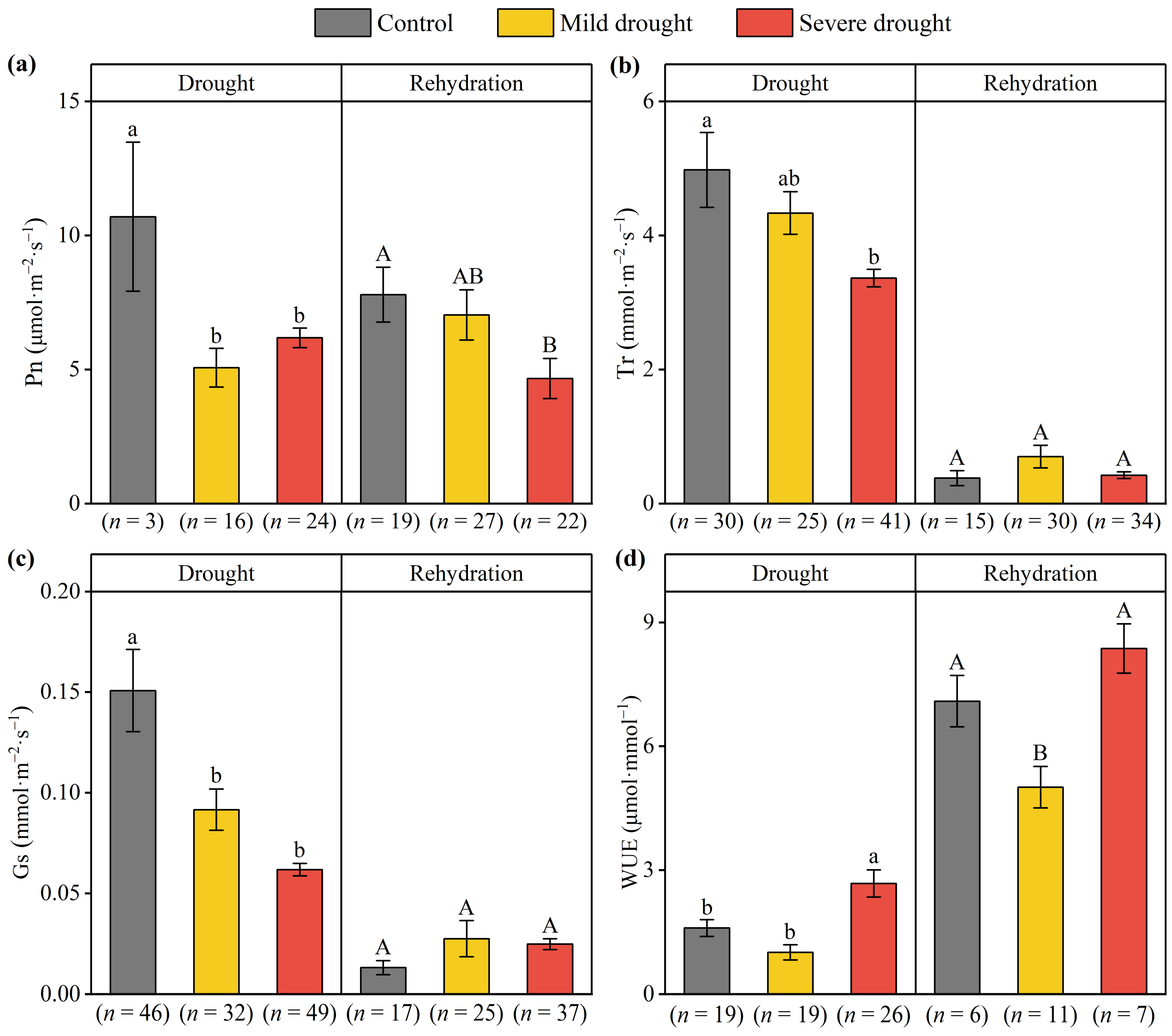
3.2. Response of Photosynthetic Characteristics
3.3. Response of Hydraulic Conductivity
3.4. Response of Embolic Vulnerability
3.5. Relationships among Traits
4. Discussion
4.1. Leaf Water Potential and Photosynthetic Characteristics after Drought and Rehydration
4.2. The Trade-Off between Hydraulic Effectiveness and Safety
5. Conclusions
Author Contributions
Funding
Data Availability Statement
Conflicts of Interest
References
- Hartmann, H.; Adams, H.D.; Anderegg, W.R.L.; Jansen, S.; Zeppel, M.J.B. Research Frontiers in Drought-Induced Tree Mortality: Crossing Scales and Disciplines. New Phytol. 2015, 205, 965–969. [Google Scholar] [CrossRef] [PubMed]
- Réjou-Méchain, M.; Mortier, F.; Bastin, J.-F.; Cornu, G.; Barbier, N.; Bayol, N.; Bénédet, F.; Bry, X.; Dauby, G.; Deblauwe, V.; et al. Unveiling African Rainforest Composition and Vulnerability to Global Change. Nature 2021, 593, 90–94. [Google Scholar] [CrossRef] [PubMed]
- DeSoto, L.; Cailleret, M.; Sterck, F.; Jansen, S.; Kramer, K.; Robert, E.M.R.; Aakala, T.; Amoroso, M.M.; Bigler, C.; Camarero, J.J.; et al. Low Growth Resilience to Drought Is Related to Future Mortality Risk in Trees. Nat. Commun. 2020, 11, 545. [Google Scholar] [CrossRef] [PubMed]
- Huang, J.; Yu, H.; Guan, X.; Wang, G.; Guo, R. Accelerated Dryland Expansion under Climate Change. Nat. Clim. Change 2016, 6, 166–171. [Google Scholar] [CrossRef]
- Meinzer, F.C.; McCulloh, K.A. Xylem Recovery from Drought-Induced Embolism: Where Is the Hydraulic Point of No Return? Tree Physiol. 2013, 33, 331–334. [Google Scholar] [CrossRef]
- He, P.; Gleason, S.M.; Wright, I.J.; Weng, E.; Liu, H.; Zhu, S.; Lu, M.; Luo, Q.; Li, R.; Wu, G.; et al. Growing-season Temperature and Precipitation Are Independent Drivers of Global Variation in Xylem Hydraulic Conductivity. Glob. Change Biol. 2020, 26, 1833–1841. [Google Scholar] [CrossRef]
- Brodribb, T.J.; Cochard, H. Hydraulic Failure Defines the Recovery and Point of Death in Water-Stressed Conifers. Plant Physiol. 2009, 149, 575–584. [Google Scholar] [CrossRef]
- Santiago, L.S.; Goldstein, G.; Meinzer, F.C.; Fisher, J.B.; Machado, K.; Woodruff, D.; Jones, T. Leaf Photosynthetic Traits Scale with Hydraulic Conductivity and Wood Density in Panamanian Forest Canopy Trees. Oecologia 2004, 140, 543–550. [Google Scholar] [CrossRef]
- Chen, Y.J.; Choat, B.; Sterck, F.; Maenpuen, P.; Katabuchi, M.; Zhang, S.B.; Tomlinson, K.W.; Oliveira, R.S.; Zhang, Y.J.; Shen, J.X. Hydraulic prediction of drought-induced plant dieback and top-kill depends on leaf habit and growth form. Ecol. Lett. 2021, 24, 2350–2363. [Google Scholar] [CrossRef]
- Duan, H.; Li, Y.; Xu, Y.; Zhou, S.; Liu, J.; Tissue, D.T.; Liu, J. Contrasting drought sensitivity and post-drought resilience among three co-occurring tree species in subtropical China. Agric. For. Meteorol. 2019, 272, 55–68. [Google Scholar] [CrossRef]
- Wang, D.; Yang, X.; Han, H.; Zhang, L.; Xue, J. Compensation effect of water transportation process in black locust (Robinia pseudoacacia L) seedlings under the conditions of drought and rewatering. J. Arid. Land R Esources Environ. 2015, 29, 61–66. [Google Scholar] [CrossRef]
- Brodribb, T.J.; Bowman, D.J.M.S.; Nichols, S.; Delzon, S.; Burlett, R. Xylem Function and Growth Rate Interact to Determine Recovery Rates after Exposure to Extreme Water Deficit. New Phytol. 2010, 188, 533–542. [Google Scholar] [CrossRef]
- Secchi, F.; Zwieniecki, M.A. Sensing Embolism in Xylem Vessels: The Role of Sucrose as a Trigger for Refilling. Plant Cell Environ. 2011, 34, 514–524. [Google Scholar] [CrossRef] [PubMed]
- Klein, T.; Zeppel, M.J.B.; Anderegg, W.R.L.; Bloemen, J.; De Kauwe, M.G.; Hudson, P.; Ruehr, N.K.; Powell, T.L.; Von Arx, G.; Nardini, A. Xylem Embolism Refilling and Resilience against Drought-Induced Mortality in Woody Plants: Processes and Trade-Offs. Ecol. Res. 2018, 33, 839–855. [Google Scholar] [CrossRef]
- Zhang, Z.; Shan, L.; Li, Y.; Wang, Y. Belowground interactions differ between sympatric desert shrubs under water stress. Ecol. Evolution. 2020, 10, 1444–1453. [Google Scholar] [CrossRef] [PubMed]
- Brodribb, T.J.; Feild, T.S. Stem Hydraulic Supply Is Linked to Leaf Photosynthetic Capacity: Evidence from New Caledonian and Tasmanian Rainforests. Plant Cell Environ. 2000, 23, 1381–1388. [Google Scholar] [CrossRef]
- Sperry, J.S.; Donnelly, J.R.; Tyree, M.T. A Method for Measuring Hydraulic Conductivity and Embolism in Xylem. Plant Cell Environ. 1988, 11, 35–40. [Google Scholar] [CrossRef]
- Pammenter, N.W.; Van Der Willigen, C. A Mathematical and Statistical Analysis of the Curves Illustrating Vulnerability of Xylem to Cavitation. Tree Physiol. 1998, 18, 589–593. [Google Scholar] [CrossRef]
- Lefcheck, J.S. piecewiseSEM: Piecewise Structural Equation Modelling in R for Ecology, Evolution, and Systematics. Methods Ecol. Evol. 2016, 7, 573–579. [Google Scholar] [CrossRef]
- Duan, H.L.; Resco, D.V.; Wang, D.; Zhao, N.; Huang, G.; Liu, W.; Wu, J.; Zhou, S.; Choat, B.; Tissue, D.T. Testing the limits of plant drought stress and subsequent recovery in four provenances of a widely distributed subtropical tree species. Plant Cell Environ. 2022, 45, 1187–1203. [Google Scholar] [CrossRef]
- Atkinson, C.J.; Policarpo, M.; Webster, A.D.; Kingswell, G. Drought Tolerance of Clonal Malus Determined from Measurements of Stomatal Conductance and Leaf Water Potential. Tree Physiol. 2000, 20, 557–563. [Google Scholar] [CrossRef] [PubMed]
- Bacelar, E.A.; Moutinho-Pereira, J.M.; Gonçalves, B.C.; Ferreira, H.F.; Correia, C.M. Changes in growth, gas exchange, xylem hydraulic properties and water use efficiency of three olive cultivars under contrasting water availability regimes. Environ. Exp. Bot. 2007, 60, 183–192. [Google Scholar] [CrossRef]
- Toscano, S.; Farieri, E.; Ferrante, A.; Romano, D. Physiological and biochemical responses in two ornamental shrubs to drought stress. Front. Plant Sci. 2016, 7, 645. [Google Scholar] [CrossRef] [PubMed]
- Boyer, J.S. Plant Productivity and Environment. Science 1982, 218, 443–448. [Google Scholar] [CrossRef]
- Xu, Z.; Zhou, G.; Shimizu, H. Plant Responses to Drought and Rewatering. Plant Signal Behav. 2010, 5, 649–654. [Google Scholar] [CrossRef]
- Brodribb, T.J.; Skelton, R.P.; McAdam, S.A.; Bienaimé, D.; Lucani, C.J.; Marmottant, P. Visual quantification of embolism reveals leaf vulnerability to hydraulic failure. New Phytol. 2016, 209, 1403–1409. [Google Scholar] [CrossRef]
- Skelton, R.P.; Brodribb, T.J.; McAdam, S.A.; Mitchell, P.J. Gas exchange recovery following natural drought is rapid unless limited by loss of leaf hydraulic conductance: Evidence from an evergreen woodland. New Phytol. 2017, 215, 1399–1412. [Google Scholar] [CrossRef]
- Trifilò, P.; Nardini, A.; Gullo, M.A.L.; Barbera, P.M.; Savi, T.; Raimondo, F. Diurnal Changes in Embolism Rate in Nine Dry Forest Trees: Relationships with Species-Specific Xylem Vulnerability, Hydraulic Strategy and Wood Traits. Tree Physiol. 2015, 35, 694–705. [Google Scholar] [CrossRef]
- Zhou, J.; Yang, X.D.; Wang, Y.Y. Difference in adaptation strategy between Haloxylon ammodendron and Alhagi sparsifolia to drought. Chin. J. Plant Ecology. 2022, 46, 1064–1076. [Google Scholar] [CrossRef]
- Wang, Y.; Ni, F.; Yin, D.; Chen, L.; Li, Y.; He, L.; Zhang, Y. Physiological response of Lagerstroemia indica (L.) Pers. seedlings to drought and rewatering. Trop. Plant Biol. 2021, 14, 360–370. [Google Scholar] [CrossRef]
- Jansen, S.; Choat, B.; Pletsers, A. Morphological Variation of Intervessel Pit Membranes and Implications to Xylem Function in Angiosperms. Am. J. Bot. 2009, 96, 409–419. [Google Scholar] [CrossRef] [PubMed]
- Flexas, J.; Ribas-Carbó, M.; Bota, J.; Galmés, J.; Henkle, M.; Martínez-Cañellas, S.; Medrano, H. Decreased Rubisco activity during water stress is not induced by decreased relative water content but related to conditions of low stomatal conductance and chloroplast CO2 concentration. New Phytol. 2006, 172, 73–82. [Google Scholar] [CrossRef] [PubMed]
- Luo, D.; Wang, C.; Jin, Y.; Li, Z.; Wang, Z. Different hydraulic strategies under drought stress between Fraxinus mandshurica and Larix gmelinii seedlings. J. For. Res. 2023, 34, 99–111. [Google Scholar] [CrossRef]
- Shao, J.; Zhou, X.; Zhang, P.; Zhai, D.; Yuan, T.; Li, Z.; He, Y.; McDowell, N.G. Embolism resistance explains mortality and recovery of five subtropical evergreen broadleaf trees to persistent drought. Ecology 2023, 104, e3877. [Google Scholar] [CrossRef]
- Smith-Martin, C.M.; Muscarella, R.; Ankori-Karlinsky, R.; Delzon, S.; Farrar, S.L.; Salva-Sauri, M.; Thompson, J.; Zimmerman, J.K.; Uriarte, M. Hurricanes increase tropical forest vulnerability to drought. New Phytol. 2022, 235, 1005–1017. [Google Scholar] [CrossRef]
- Duan, H.; Wang, D.; Zhao, N.; Huang, G.; Resco De Dios, V.; Tissue, D.T. Limited Hydraulic Recovery in Seedlings of Six Tree Species with Contrasting Leaf Habits in Subtropical China. Front. Plant Sci. 2022, 13, 967187. [Google Scholar] [CrossRef]
- Tyree, M.T.; Ewers, F.W. The Hydraulic Architecture of Trees and Other Woody Plants. New Phytol. 1991, 119, 345–360. [Google Scholar] [CrossRef]
- Choat, B.; Sack, L.; Holbrook, N.M. Diversity of Hydraulic Traits in Nine Cordia Species Growing in Tropical Forests with Contrasting Precipitation. New Phytol. 2007, 175, 686–698. [Google Scholar] [CrossRef]
- Sparks, J.P.; Black, R.A. Regulation of Water Loss in Populations of Populus trichocarpa: The Role of Stomatal Control in Preventing Xylem Cavitation. Tree Physiol. 1999, 19, 453–459. [Google Scholar] [CrossRef]





| Acronym | Definition | Units |
|---|---|---|
| ΨPD | Predawn water potential | MPa |
| ΨMD | Midday water potential | MPa |
| Pn | Net photosynthetic rate | μmol·m−2·s−1 |
| Tr | Transpiration rate | mmol·m−2·s−1 |
| Gs | Stomatal conductance | mmol·m−2·s−1 |
| WUE | Water use efficiency | μmol/mmol−1 |
| Kh | Natural hydraulic conductivity | kg·m−1·s−1·MPa−1 |
| KS | Sapwood-specific conductivity | kg·m−1·s−1·MPa−1 |
| KL | Leaf-specific conductivity | kg·m−1·s−1·MPa−1 |
| P50 | Pressure value in xylem at 50% loss of hydraulic conductivity | MPa |
Disclaimer/Publisher’s Note: The statements, opinions and data contained in all publications are solely those of the individual author(s) and contributor(s) and not of MDPI and/or the editor(s). MDPI and/or the editor(s) disclaim responsibility for any injury to people or property resulting from any ideas, methods, instructions or products referred to in the content. |
© 2023 by the authors. Licensee MDPI, Basel, Switzerland. This article is an open access article distributed under the terms and conditions of the Creative Commons Attribution (CC BY) license (https://creativecommons.org/licenses/by/4.0/).
Share and Cite
Wang, Y.; Wang, H.; Xie, T.; Niu, F.; He, C.; Wang, J.; Shan, L. Response of Hydraulic and Photosynthetic Characteristics of Caroxylon passerinum (Bunge) Akhani and Roalson to Prolonged Drought and Short-Term Rehydration. Forests 2023, 14, 1961. https://doi.org/10.3390/f14101961
Wang Y, Wang H, Xie T, Niu F, He C, Wang J, Shan L. Response of Hydraulic and Photosynthetic Characteristics of Caroxylon passerinum (Bunge) Akhani and Roalson to Prolonged Drought and Short-Term Rehydration. Forests. 2023; 14(10):1961. https://doi.org/10.3390/f14101961
Chicago/Turabian StyleWang, Yunxia, Hongyong Wang, Tingting Xie, Furong Niu, Cai He, Jianbo Wang, and Lishan Shan. 2023. "Response of Hydraulic and Photosynthetic Characteristics of Caroxylon passerinum (Bunge) Akhani and Roalson to Prolonged Drought and Short-Term Rehydration" Forests 14, no. 10: 1961. https://doi.org/10.3390/f14101961
APA StyleWang, Y., Wang, H., Xie, T., Niu, F., He, C., Wang, J., & Shan, L. (2023). Response of Hydraulic and Photosynthetic Characteristics of Caroxylon passerinum (Bunge) Akhani and Roalson to Prolonged Drought and Short-Term Rehydration. Forests, 14(10), 1961. https://doi.org/10.3390/f14101961

