Simulation and Prediction of the Potential Geographical Distribution of Acer cordatum Pax in Different Climate Scenarios
Abstract
:1. Introduction
2. Materials and Methods
2.1. Geographical Location Information Collection
2.2. Climatic Variables Screening
2.3. Model Construction and Evaluation
3. Results
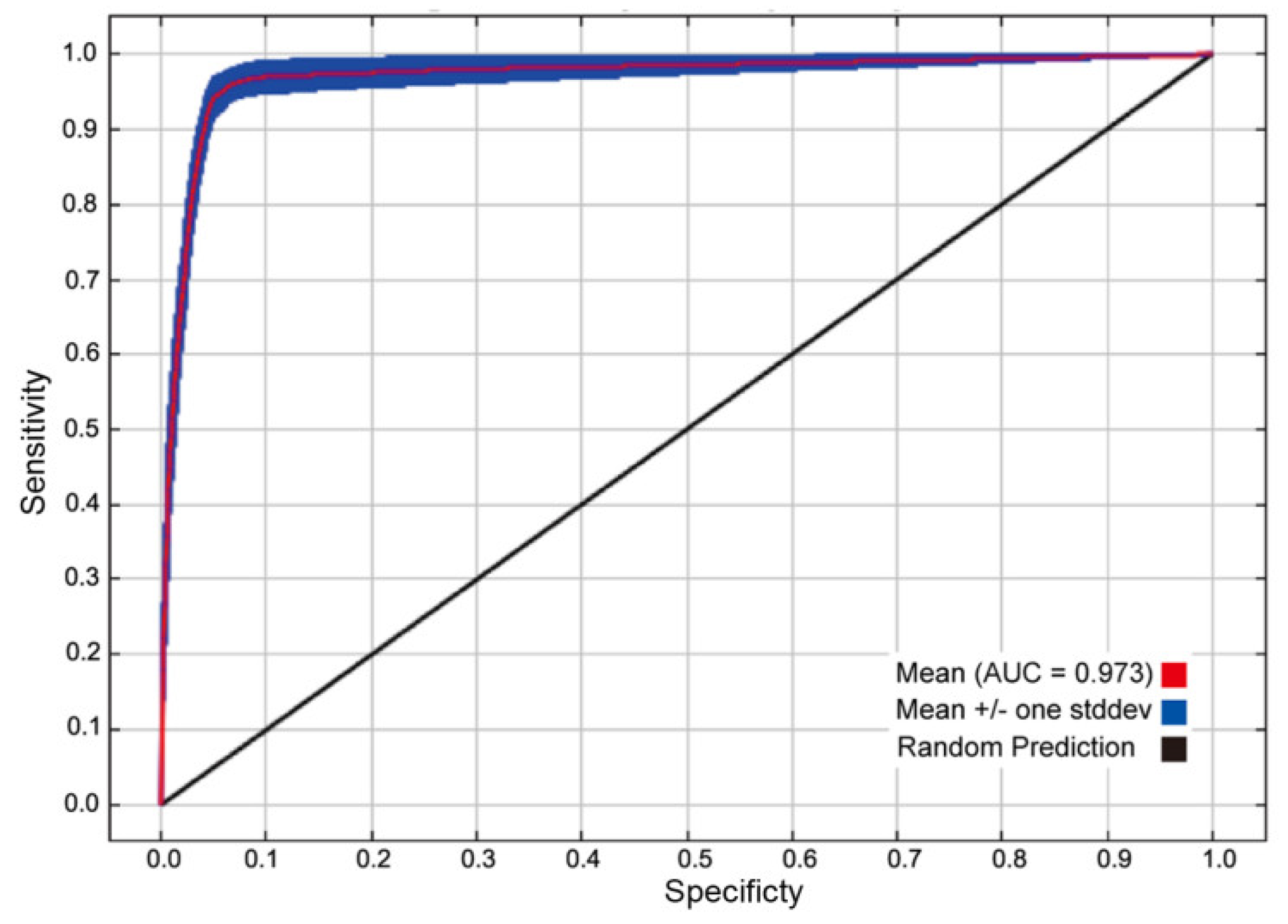
3.1. Model Accuracy
3.2. Importance of Variables and Climate Preference
3.3. Threshold Analysis of Important Environmental Variables
3.4. Potential Distribution Areas of A. cordatum in East Asia
4. Discussion
5. Conclusions
Author Contributions
Funding
Conflicts of Interest
References
- Li, X.; Chen, J.; Guo, W. A review of the influence factors of plant phenology under different climate types. J. Earth Environ. 2018, 9, 16–27. [Google Scholar]
- Thomas, C.D.; Cameron, A.; Green, R.E.; Bakkenes, M.; Beaumont, L.J.; Collingham, Y.C.; Erasmus, B.F.N.; de Siqueira, M.F.; Grainger, A.; Hannah, L.; et al. Extinction risk from climate change. Nature 2004, 427, 145–148. [Google Scholar] [CrossRef] [PubMed]
- Smale, D.A.; Wernberg, T. Extreme climatic event drives range contraction of a habitat-forming species. Proc. R. Lond. Ser. B Biol. Sci. 2013, 280, 20122829. [Google Scholar] [CrossRef] [PubMed]
- Pulliam, H.R. On the relationship between niche and distribution. Ecol. Lett. 2000, 3, 349–361. [Google Scholar] [CrossRef]
- Hutchinson, G.E. Concluding remarks—Cold spring harbor symposia on quantitative biology. Reprinted in 1991: Classics in theoretical biology. Bull. Math. Biol. 1957, 53, 193–213. [Google Scholar] [CrossRef]
- Chen, X.D.; Yang, J.; Feng, L.; Zhou, T.; Zhang, H.; Li, H.M.; Bai, G.Q.; Meng, X.; Li, Z.H.; Zhao, G.F. Phylogeography and population dynamics of an endemic oak (Quercus fabri Hance) in subtropical China revealed by molecular data and ecological niche modeling. Tree Genet. Genomes 2020, 16, 2. [Google Scholar] [CrossRef]
- Guisan, A.; Zimmermann, N.E. Predictive habitat distribution models in ecology. Ecol. Model. 2000, 135, 147–186. [Google Scholar] [CrossRef]
- Peterson, A.T.; Papes, M.; Eaton, M. Transferability and model evaluation in ecological niche modeling: A comparison of GARP and Maxent. Ecography 2007, 30, 550–560. [Google Scholar] [CrossRef]
- Pecchi, M.; Marchi, M.; Burton, V.; Giannetti, F.; Moriondo, M.; Bernetti, I.; Bindi, M.; Chirici, G. Species distribution modelling to support forest management. A literature review. Ecol. Model. 2019, 411, 108817. [Google Scholar] [CrossRef]
- Li, X.H.; Wang, Y. Applying various algorithms for species distribution modelling. Integr. Zool. 2013, 8, 124–135. [Google Scholar] [CrossRef]
- Farashi, A.; Kaboli, M.; Karami, M. Predicting range expansion of invasive raccoons in northern Iran using ENFA model at two different scales. Ecol. Inform. 2013, 15, 96–102. [Google Scholar] [CrossRef]
- Ahmed, S.E.; Mcinerny, G.; O’Hara, K.; Harper, R.; Salido, L.; Emmott, S.; Joppa, L.N. Scientists and software—Surveying the species distribution modelling community. Divers. Distrib. 2015, 21, 258–267. [Google Scholar] [CrossRef]
- FitzGerald, A.M. Division within the North American boreal forest: Ecological niche divergence between the Bicknell’s Thrush (Catharus bicknelli) and Gray-cheeked Thrush (C. minimus). Ecol. Evol. 2017, 7, 5285–5295. [Google Scholar] [CrossRef]
- Peng, H.H.; Guan, B.F.; Chen, H.L.; Peng, H.; Peng, Y.F.; Yu, Y.F.; You, Y.J. Study on seed characteristics and sowing techniques of four species of maple. Acta Agric. Jiangxi 2014, 26, 19–22. [Google Scholar]
- Chen, H.L.; Peng, H.H.; Zhu, Q.D.; Guan, B.F.; Peng, H.; Xu, J.H.; Peng, Y.F. Study on the grafting technique of three kinds of maple. Jiangxi Sci. 2014, 32, 35–38. [Google Scholar]
- Gao, P. Effects of Matrix and Illumination Intensity on Seedling of Acer cordatum “Huoyan”. Master’s Thesis, Jiangxi Agricultural University, Nanchang, China, 2018. [Google Scholar]
- Liu, K.W.; Yang, H.; Yang, J.; Tong, H.Y. Phenology and Adaptability of Three Evergreen Maples in Nanjing. Shaanxi J. Agric. Sci. 2021, 67, 30–32. [Google Scholar]
- Qiu, Y.X.; Cheng, S.X.; Du, T.Z.; Wang, F.; Yang, J.J. Seasonal Changes of Leaf Protease Activity in Several Varieties of Maple Family. Acta Agric. Univ. Jiangxiensis 2003, 25, 652–655. [Google Scholar]
- Boitani, L.; Maiorano, L.; Baisero, D.; Falcucci, A.; Visconti, P.; Rondinini, C. What spatial data do we need to develop global mammal conservation strategies? Philos. Trans. R. Soc. London. Ser. B Biol. Sci. 2011, 366, 2623–2632. [Google Scholar] [CrossRef]
- Fick, S.E.; Hijmans, R.J. WorldClim 2: New 1-km spatial resolution climate surfaces for global land areas. Int. J. Climatol. 2017, 37, 4302–4315. [Google Scholar] [CrossRef]
- Baldwin, R.A. Use of Maximum Entropy Modeling in Wildlife Research. Entropy 2009, 11, 854. [Google Scholar] [CrossRef]
- Dormann, C.F.; Elith, J.; Bacher, S.; Buchmann, C.; Carl, G.; Carre, G.; Marquez, J.R.G.; Gruber, B.; Lafourcade, B.; Leitao, P.J.; et al. Collinearity: A review of methods to deal with it and a simulation study evaluating their performance. Ecography 2013, 36, 27–46. [Google Scholar] [CrossRef]
- Nozawa, T.; Nagashima, T.; Ogura, T.; Yokohata, T.; Okada, N.; Shiogama, H. Climate Change Simulations with a Coupled Ocean-Atmosphere GCM Called the Model for Interdisciplinary Research on Climate: MIROC; Center for Global Environmental Research, National Institute for Environmental Studies: Tsukuba, Japan, 2007. [Google Scholar]
- Hijmans, R.J.; Cameron, S.E.; Parra, J.L.; Jones, P.G.; Jarvis, A. Very high resolution interpolated climate surfaces for global land areas. Int. J. Climatol. 2005, 25, 1965–1978. [Google Scholar] [CrossRef]
- Rosenkrantz, R.D. E. T. Jaynes: Papers on Probability, Statistics and Statistical Physics; Springer: Dordrecht, The Netherlands, 1989. [Google Scholar]
- Renner, I.W.; Warton, D.I. Equivalence of MAXENT and Poisson Point Process Models for Species Distribution Modeling in Ecology. Biometrics 2013, 69, 274–281. [Google Scholar] [CrossRef] [PubMed]
- Merow, C.; Smith, M.J.; Silander, J.A. A practical guide to MaxEnt for modeling species’ distributions: What it does, and why inputs and settings matter. Ecography 2013, 36, 1058–1069. [Google Scholar] [CrossRef]
- Phillips, S.J.; Anderson, R.P.; Schapire, R.E. Maximum entropy modeling of species geographic distributions. Ecol. Model. 2006, 190, 231–259. [Google Scholar] [CrossRef] [Green Version]
- Phillips, S.J.; Dudík, M. Modeling of species distributions with Maxent: New extensions and a comprehensive evaluation. Ecography 2008, 31, 161–175. [Google Scholar] [CrossRef]
- Zhang, K.L.; Sun, L.P.; Tao, J. Impact of Climate Change on the Distribution of Euscaphis japonica (Staphyleaceae) Trees. Forests 2020, 11, 525. [Google Scholar] [CrossRef]
- van Erkel, A.R.; Pattynama, P.M. Receiver operating characteristic (ROC) analysis: Basic principles and applications in radiology. Eur. J. Radiol. 1998, 27, 88–94. [Google Scholar] [CrossRef]
- Reineking, B.; Schroder, B. Constrain to perform: Regularization of habitat models. Ecol. Model. 2006, 193, 675–690. [Google Scholar] [CrossRef]
- Hanley, J.A.; McNeil, B.J. The meaning and use of the area under a receiver operating characteristic (ROC) curve. Radiology 1982, 143, 29–36. [Google Scholar] [CrossRef]
- Swets, J.A. Measuring the accuracy of diagnostic systems. Science 1988, 240, 1285–1293. [Google Scholar] [CrossRef]
- Manthey, M.; Box, E.O. Realized climatic niches of deciduous trees: Comparing western Eurasia and eastern North America. J. Biogeogr. 2007, 34, 1028–1040. [Google Scholar] [CrossRef]
- Espeland, E.K.; Kettenring, K.M. Strategic plant choices can alleviate climate change impacts: A review. J. Environ. Manag. 2018, 222, 316–324. [Google Scholar] [CrossRef]
- Harbert, R.S.; Nixon, K.C. Climate reconstruction analysis using coexistence likelihood estimation (CRACLE): A method for the estimation of climate using vegetation. Am. J. Bot. 2015, 102, 1277–1289. [Google Scholar] [CrossRef]
- Lv, J.-j.; Wu, J.-g. Advances in the Effects of Climate Change on the Distribution of Plant Species and Vegetation in China. Environ. Sci. Technol. 2009, 32, 85–95. [Google Scholar]
- Su, Z.D.; Huang, X.J.; Zhong, Q.Y.; Liu, M.L.; Song, X.Y.; Liu, J.N.; Fu, A.G.; Tan, J.L.; Kou, Y.X.; Li, Z.H. Change of Potential Distribution Area of a Forest Tree Acer davidii in East Asia under the Context of Climate Oscillations. Forests 2021, 12, 689. [Google Scholar] [CrossRef]
- Li, G.Q.; Du, S.; Wen, Z.M. Mapping the climatic suitable habitat of oriental arborvitae (Platycladus orientalis) for introduction and cultivation at a global scale. Sci. Rep. 2016, 6, 30009. [Google Scholar] [CrossRef]
- Elith, J.; Graham, C.H.; Anderson, R.P.; Dudik, M.; Ferrier, S.; Guisan, A.; Hijmans, R.J.; Huettmann, F.; Leathwick, J.R.; Lehmann, A.; et al. Novel methods improve prediction of species’ distributions from occurrence data. Ecography 2006, 29, 129–151. [Google Scholar] [CrossRef]
- Hernandez, P.A.; Graham, C.H.; Master, L.L.; Albert, D.L. The effect of sample size and species characteristics on performance of different species distribution modeling methods. Ecography 2006, 29, 773–785. [Google Scholar] [CrossRef]
- Royle, J.A.; Chandler, R.B.; Yackulic, C.; Nichols, J.D. Likelihood analysis of species occurrence probability from presence-only data for modelling species distributions. Methods Ecol. Evol. 2012, 3, 545–554. [Google Scholar] [CrossRef]
- Fang, J.Y. Arrangement of east-Asian vegetation-climate types on coordinates of temperature and precipitation. Acta Ecol. Sin. 1994, 14, 290–294. [Google Scholar]
- Hewitt, G. The genetic legacy of the Quaternary ice ages. Nature 2000, 405, 907–913. [Google Scholar] [CrossRef]
- Stewart, J.R.; Lister, A.M.; Barnes, I.; Dalen, L. Refugia revisited: Individualistic responses of species in space and time. Proc. R. Soc. B Biol. Sci. 2010, 277, 661–671. [Google Scholar] [CrossRef]
- Zhou, S.; Zhao, J.; Wang, J.; Xu, L.; Cui, J.; Ou, X.; Xie, J. Quaternary CryosphereStudy on Global Change in Long Terms. Bull. Chin. Acad. Sci. 2020, 35, 475–483. [Google Scholar]
- Chust, G.; Borja, Á.; Caballero, A.; Irigoien, X.; Sáenz, J.; Moncho, R.; Marcos, M.; Liria, P.; Hidalgo, J.; Valle, M.; et al. Climate change impacts on coastal and pelagic environments in the southeastern Bay of Biscay. Clim. Res. 2011, 48, 307–332. [Google Scholar] [CrossRef]
- Araújo, M.B.; New, M. Ensemble forecasting of species distributions. Trends Ecol. Evol. 2007, 22, 42–47. [Google Scholar] [CrossRef]
- Li, S.; Lu, J.; Yan, J.; Liu, X.; Kong, F.; Wang, J. Spatiotemporal variability of temperature in northern and southern Qinling Mountains and its influence on climatic boundary. Acta Geogr. Sin. 2018, 73, 13–24. [Google Scholar]
- Aber, J.D.; Freuder, R. Variation among solar radiation data sets for the Eastern US and its effects on predictions of forest production and water yield. Clim. Res. 2000, 15, 33–43. [Google Scholar] [CrossRef]
- Ding, L.; Wang, K.J.; Jiang, G.M.; Liu, M.Z.; Gao, L.M. Post-anthesis changes in photosynthetic traits of maize hybrids released in different years. Field Crops Res. 2005, 93, 108–115. [Google Scholar] [CrossRef]
- Cui, H.Y.; Camberato, J.J.; Jin, L.B.; Zhang, J.W. Effects of shading on spike differentiation and grain yield formation of summer maize in the field. Int. J. Biometeorol. 2015, 59, 1189–1200. [Google Scholar] [CrossRef]
- Ren, B.Z.; Cui, H.Y.; Camberato, J.J.; Dong, S.T.; Liu, P.; Zhao, B.; Zhang, J.W. Effects of shading on the photosynthetic characteristics and mesophyll cell ultrastructure of summer maize. Sci. Nat. 2016, 103, 67. [Google Scholar] [CrossRef] [PubMed]
- Real, R.; Márquez, A.L.; Estrada, A.; Muoz, A.R.; Vargas, J.M. Modelling chorotypes of invasive vertebrates in mainland Spain. Divers. Distrib. 2010, 14, 364–373. [Google Scholar] [CrossRef]
- Márquez, A.L.; Real, R.; Olivero, J.; Estrada, A. Combining climate with other influential factors for modelling the impact of climate change on species distribution. Clim. Chang. 2011, 108, 135–157. [Google Scholar] [CrossRef]
- Ma, H.K.; Pineda, A.; van der Wurff, A.W.G.; Bezemer, T.M. Carry-over effects of soil inoculation on plant growth and health under sequential exposure to soil-borne diseases. Plant Soil 2018, 433, 257–270. [Google Scholar] [CrossRef]
- Opedal, Ø.H.; Armbruster, W.S.; Graae, B.J. Linking small-scale topography with microclimate, plant species diversity and intra-specific trait variation in an alpine landscape. Plant Ecol. Divers. 2015, 8, 305–315. [Google Scholar] [CrossRef]
- Lamb, E.G.; Kembel, S.W.; Cahill, J.F., Jr. Shoot, but not root, competition reduces community diversity in experimental mesocosms. J. Ecol. 2009, 97, 155–163. [Google Scholar] [CrossRef]







| Variable | Explanation | Percent Contribution |
|---|---|---|
| Bio14 | Precipitation of Driest Month (mm) | 67.9 |
| Bio4 | Temperature Seasonality (°C) | 10.1 |
| Bio18 | Precipitation of Warmest Quarter (mm) | 5.7 |
| Bio12 | Annual Precipitation (mm) | 4.6 |
| Bio8 | Mean Temperature of Wettest Quarter (°C) | 2.8 |
| Bio11 | Mean Temperature of Coldest Quarter (°C) | 2 |
| Bio3 | Isothermality (bio2/bio7) (×100) (%) | 1.9 |
| Bio10 | Mean Temperature of Warmest Quarter (°C) | 1.9 |
| Bio6 | Min Temperature of Coldest Month (°C) | 1 |
| Bio9 | Mean Temperature of Driest Quarter (°C) | 0.6 |
| Bio15 | Precipitation of Seasonality (mm) | 0.5 |
| Bio2 | Mean Diurnal Range (°C) | 0.4 |
| Bio7 | Temperature Annual Range (°C) | 0.3 |
| Bio16 | Precipitation of Wettest Quarter (mm) | 0.1 |
| Bio17 | Precipitation of Driest Quarter (mm) | 0.1 |
| Bio19 | Precipitation of Coldest Quarter (mm) | 0.1 |
| Bio1 | Annual Mean Temperature (°C) | 0 |
| Bio5 | Max Temperature of Warmest Month (°C) | 0 |
| Bio13 | Precipitation of Wettest Month (mm) | 0 |
| Variable | Description | Contribution (%) | Permutation Importance |
|---|---|---|---|
| bio2 | Mean Diurnal Range (°C) | 8.1 | 0.9 |
| bio11 | Mean Temperature of Coldest Quarter (°C) | 21 | 28.5 |
| bio12 | Annual Precipitation (mm) | 10.4 | 8.5 |
| bio14 | Precipitation of Driest Month (mm) | 32.5 | 13.6 |
| bio15 | Precipitation of Seasonality (mm) | 12.7 | 20.3 |
| bio18 | Precipitation of Warmest Quarter (mm) | 15.3 | 28.1 |
| Period | Marginally Suitable Area | Moderately Suitable Area | Highly Suitable Area | Total Suitable Area | |
|---|---|---|---|---|---|
| Area of each suitable area (change in the area compared to current, 104 km2) | |||||
| LIG | 4 (−45) | 1 (−35) | 1 (−8) | 6 (−88) | |
| LGM (MIROC) | 12 (−27) | 4 (−32) | 4 (−5) | 20 (−74) | |
| LGM (CCSM) | 29 (−20) | 11 (−25) | 5 (−4) | 45 (−49) | |
| Current | 49 (0.00) | 36 (0.00) | 9 (0.00) | 94 (0.00) | |
| SSP1-2.6 | Future 2060s | 34 (−15) | 24 (−12) | 8 (−1) | 66 (−28) |
| Future 2080s | 45 (−4) | 29 (−7) | 13 (+4) | 87 (−7) | |
| SSP5-8.5 | Future 2060s | 43 (−6) | 22 (−24) | 8 (−1) | 73 (−21) |
| Future 2080s | 38 (−11) | 19 (−17) | 9 (±0) | 66 (−28) | |
| Area of each suitable area (percentage change in the area compared to current, %) | |||||
| LIG | 0.20% (−2.27%) | 0.05% (−1.77%) | 0.05% (−0.40%) | 0.30% (−4.44%) | |
| LGM (MIROC) | 0.61% (−1.36%) | 0.20% (−1.62%) | 0.20% (−0.25%) | 1.01% (−3.74%) | |
| LGM (CCSM) | 1.46% (−1.01%) | 0.56% (−1.26%) | 0.25% (−0.20%) | 2.27% (−2.47%) | |
| Current | 2.47% (0.00%) | 1.82% (0.00%) | 0.45% (0.00%) | 4.75% (0.00%) | |
| SSP1-2.6 | Future 2060s | 1.72% (−0.76%) | 1.21% (−0.61%) | 0.40% (−0.05%) | 3.33% (−1.41%) |
| Future 2080s | 2.27% (−0.20%) | 1.46% (−0.35%) | 0.66% (+0.20%) | 4.39% (−0.35%) | |
| SSP5-8.5 | Future 2060s | 2.17% (−0.30%) | 1.11% (−1.21%) | 0.40% (−0.05%) | 3.69% (−1.06%) |
| Future 2080s | 1.92% (−0.56%) | 0.96% (−0.86%) | 0.45% (±0.00%) | 3.33% (−1.41%) | |
Publisher’s Note: MDPI stays neutral with regard to jurisdictional claims in published maps and institutional affiliations. |
© 2022 by the authors. Licensee MDPI, Basel, Switzerland. This article is an open access article distributed under the terms and conditions of the Creative Commons Attribution (CC BY) license (https://creativecommons.org/licenses/by/4.0/).
Share and Cite
Liu, M.-L.; Sun, H.-Y.; Jiang, X.; Zhou, T.; Zhang, Q.-J.; Su, Z.-D.; Zhang, Y.-N.; Liu, J.-N.; Li, Z.-H. Simulation and Prediction of the Potential Geographical Distribution of Acer cordatum Pax in Different Climate Scenarios. Forests 2022, 13, 1380. https://doi.org/10.3390/f13091380
Liu M-L, Sun H-Y, Jiang X, Zhou T, Zhang Q-J, Su Z-D, Zhang Y-N, Liu J-N, Li Z-H. Simulation and Prediction of the Potential Geographical Distribution of Acer cordatum Pax in Different Climate Scenarios. Forests. 2022; 13(9):1380. https://doi.org/10.3390/f13091380
Chicago/Turabian StyleLiu, Mi-Li, Hong-Yuan Sun, Xin Jiang, Tong Zhou, Qi-Jing Zhang, Zi-Dong Su, Ya-Ni Zhang, Jian-Ni Liu, and Zhong-Hu Li. 2022. "Simulation and Prediction of the Potential Geographical Distribution of Acer cordatum Pax in Different Climate Scenarios" Forests 13, no. 9: 1380. https://doi.org/10.3390/f13091380
APA StyleLiu, M.-L., Sun, H.-Y., Jiang, X., Zhou, T., Zhang, Q.-J., Su, Z.-D., Zhang, Y.-N., Liu, J.-N., & Li, Z.-H. (2022). Simulation and Prediction of the Potential Geographical Distribution of Acer cordatum Pax in Different Climate Scenarios. Forests, 13(9), 1380. https://doi.org/10.3390/f13091380

