Evaluation of Multilooking Size on Single-Baseline PolInSAR Forest Height Inversion
Abstract
:1. Introduction
2. Methodology
2.1. PolInSAR Matrix Generation
2.2. RVoG Model
2.3. Fixed Extinction Coefficient-Based Forest Height Inversion
- (1)
- Line fitting. Common polarimetric complex coherences (i.e., , , , , ) and complex coherences and based on the phase diversity (PD) algorithm [31] are selected, and the total least square line fitting is then used for obtaining the coherent line segment;
- (2)
- Ground phase estimation. There are two intersections between the line segment and CUC, one of which is the ground phase. Thus, to determine the ground phase, Kugler et al. proposed a method-based [32]:where and are the two intersections between the line segment and CUC, respectively;
- (3)
- Forest height estimation. In order to avoid the influence of ground scattering contribution, the is used as the observation, and then a fixed extinction coefficient is used. Finally, the two-dimensional lookup table of forest height and ground-to-volume scattering ratio is established to estimate forest height [23]:
3. Study Areas and Data Sets
4. Results and Analysis
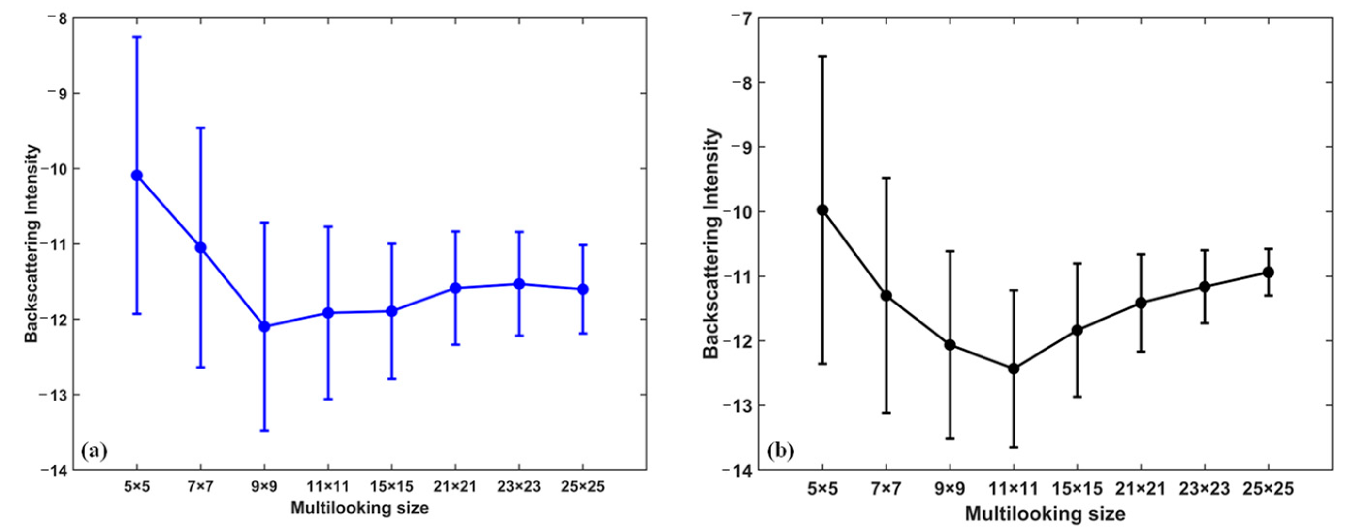
4.1. Numerical Analysis Based on Backscattering Intensity
4.2. Geometric Interpretation Based on Coherence Region
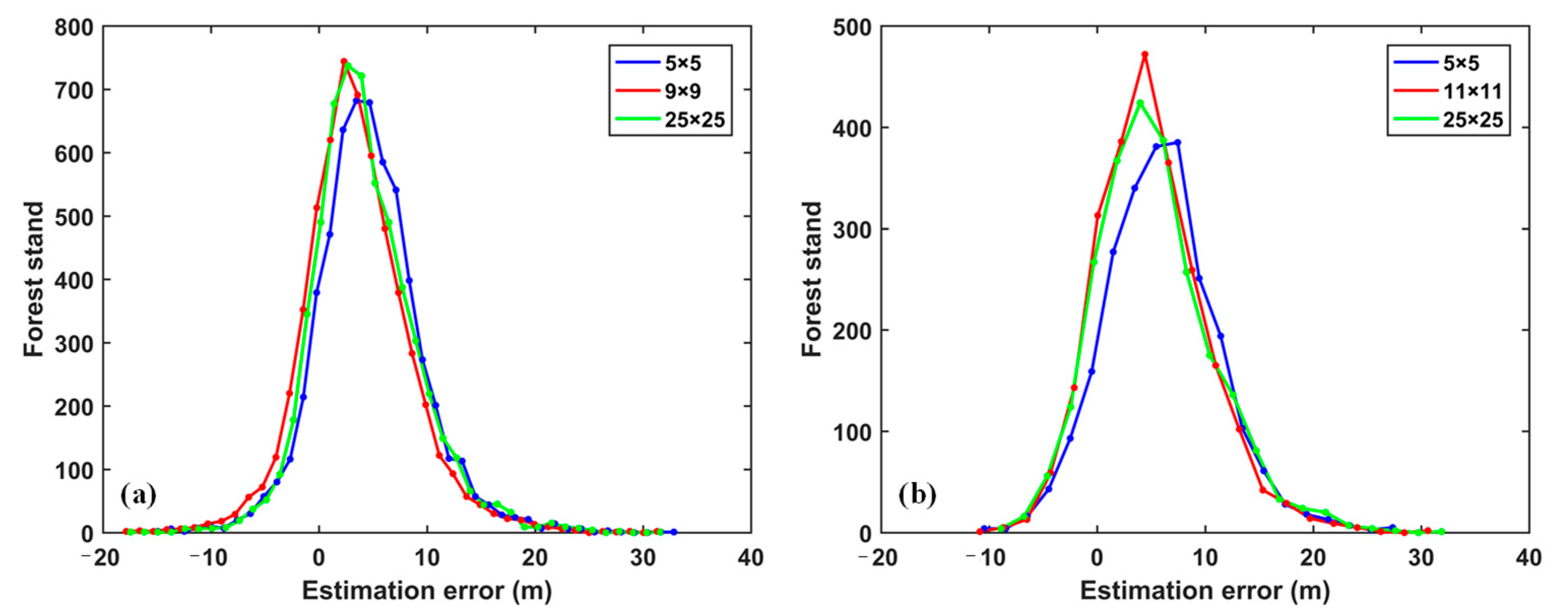
4.3. Error Analysis Based on Statistical Indicators
4.4. Accuracy Analysis of Different Filtering Methods
5. Conclusions
- (1)
- The pixel-wise detailed analysis based on the coherence set and scattering intensity reveals how multilooking size affects the tree height result. Polarimetric complex coherence is easily affected by the inherent speckle noise and finite multilooking effect, hence the coherent line segment degenerates into an ellipse which is biased by the ideal noise-free coherence region. Multilooking processing is an effective method which reduces speckle noise and the finite multilooking effect. Therefore, through analysis based on backscattering intensity and coherence region, we can determine that a large multilooking size helps to reduce the influence of statistical bias caused by the finite multilooking effect in homogeneous forest areas and a small multilooking size can prevent the influence of multilooking average without any discrimination. Thus, a moderate multilooking size is suitable for PolInSAR forest height inversion.
- (2)
- From the perspective of the overall error analysis, forest height inversion results mainly depend on estimation bias rather than estimation variance. Through statistics regarding estimation errors using three statistical indicators, we can determine that the accuracy of forest height inversion mainly depends on estimation bias rather than STD, indicating that an appropriate size can effectively reduce estimation error. Thus, the experimental result shows that the 9 × 9 size is the optimal one for the selected Mabounie area data set, and the 11 × 11 size is the optimal size in the Mondah area data set.
- (3)
- Three different filtering methods were compared, and refined Lee filtering is a more superior method. Comparing forest height inversion performance using different filtering methods, we found that refined Lee filtering had the best-estimated result because this filtering method selects the optimal local template adaptively based on the edge-aligned gradient windows and better distinguishes between pixels of different types of ground targets.
Author Contributions
Funding
Institutional Review Board Statement
Informed Consent Statement
Data Availability Statement
Acknowledgments
Conflicts of Interest
References
- Bonan, G.B. Forests and climate change: Forcings, feedbacks, and the climate benefits of forests. Science 2008, 320, 1444–1449. [Google Scholar] [CrossRef] [PubMed] [Green Version]
- Cloude, S.R. Polarimetric SAR interferometry. IEEE Trans. Geosci. Remote Sens. 1998, 99, 1551–1565. [Google Scholar] [CrossRef]
- Neumann, M.; Ferro-Famil, L.; Reigber, A. Estimation of forest structure, ground, and canopy layer characteristics from multibaseline polarimetric interferometric SAR data. IEEE Trans. Geosci. Remote Sens. 2010, 48, 1086–1104. [Google Scholar] [CrossRef] [Green Version]
- Wang, C.; Wang, L.; Fu, H.; Xie, Q.; Zhu, J. The impact of forest density on forest height inversion modeling from polarimetric InSAR data. Remote Sens. 2016, 8, 291. [Google Scholar] [CrossRef] [Green Version]
- Fu, H.; Wang, C.; Zhu, J.; Xie, Q.; Zhang, B. Estimation of pine forest height and underlying dem using multi-baseline P-band PolInSAR data. Remote Sens. 2017, 9, 363. [Google Scholar] [CrossRef] [Green Version]
- Treuhaft, R.N.; Siqueira, P.R. Vegetation characteristics and underlying topography from interferometric radar. Radio Sci. 2000, 35, 141–177. [Google Scholar] [CrossRef] [Green Version]
- Ballester-Berman, J.D.; Lopez-Sanchez, J.M. Combination of direct and double-bounce ground responses in the homogeneous oriented volume over ground model. IEEE Geosci. Remote Sens. Lett. 2011, 8, 54–58. [Google Scholar] [CrossRef]
- Cloude, S.R. Polarization coherence tomography. Radio Sci. 2006, 41, RS4017. [Google Scholar] [CrossRef]
- Zhang, H.; Ma, P.; Wang, C. A new function expansion for polarization coherence tomography. IEEE Geosci. Remote Sens. Lett. 2012, 9, 891–895. [Google Scholar] [CrossRef]
- Lombardini, F.; Reigber, A. Adaptive spectral estimation for multi baseline SAR tomography with airborne L-band data. In Proceedings of the 2003 IEEE International Geoscience and Remote Sensing Symposium (IGARSS), Toulouse, France, 21–25 July 2003. [Google Scholar] [CrossRef]
- Cazcarra-Bes, V.; Tello-Alonso, M.; Fischer, R.; Heym, M.; Papathanassiou, K. Monitoring of forest structure dynamics by means of L-band SAR tomography. Remote Sens. 2017, 9, 1229. [Google Scholar] [CrossRef] [Green Version]
- Lavalle, M.; Simard, M.; Pottier, E.; Solimini, D. PolInSAR forestry applications improved by modeling height-dependent temporal decorrelation. In Proceedings of the 2010 IEEE International Geoscience and Remote Sensing Symposium (IGARSS), Honolulu, HI, USA, 25–30 July 2010. [Google Scholar] [CrossRef]
- Zhang, B.; Fu, H.; Zhu, J.; Peng, X.; Lin, D.; Xie, Q.; Hu, J. Forest height estimation using multibaseline low-frequency PolInSAR data affected by temporal decorrelation. IEEE Geosci. Remote Sens. Lett. 2022, 19, 1–5. [Google Scholar] [CrossRef]
- Managhebi, T.; Maghsoudi, Y.; Zoej, M.J.V. Four-stage inversion algorithm for forest height estimation using repeat pass polarimetric SAR interferometry data. Remote Sens. 2018, 10, 1174. [Google Scholar] [CrossRef] [Green Version]
- Papathanassiou, K.P.; Cloude, S.R. The effect of temporal decorrelation on the inversion of forest parameters from Polinsar data. In Proceedings of the 2003 IEEE International Geoscience and Remote Sensing Symposium (IGARSS), Toulouse, France, 21–25 July 2003. [Google Scholar] [CrossRef]
- Lavalle, M.; Hensley, S. Extraction of structural and dynamic properties of forests from polarimetric-interferometric SAR data affected by temporal decorrelation. IEEE Trans. Geosci. Remote Sens. 2015, 53, 4752–4767. [Google Scholar] [CrossRef]
- Ghasemi, N.; Tolpekin, V.; Stein, A. A modified model for estimating tree height from PolInSAR with compensation for temporal decorrelation. Int. J. Appl. Earth Obs. Geoinf. 2018, 73, 313–322. [Google Scholar] [CrossRef]
- Lu, H.; Suo, Z.; Guo, R.; Bao, Z. S-RVoG model for forest parameters inversion over underlying topography. Electron. Lett. 2013, 49, 618–620. [Google Scholar] [CrossRef]
- Garestier, F.; Toan, T. Le Forest modeling for height inversion using single-baseline InSAR/Pol-InSAR data. IEEE Trans. Geosci. Remote Sens. 2010, 48, 1528–1539. [Google Scholar] [CrossRef]
- Papathanassiou, K.P.; Cloude, S.R. Single-baseline polarimetric SAR interferometry. IEEE Trans. Geosci. Remote Sens. 2001, 39, 2352–2363. [Google Scholar] [CrossRef] [Green Version]
- Cloude, S.R.; Papathanassiou, K.P. Three-stage inversion process for polarimetric SAR interferometry. IEE Proc. Radar Sonar Navig. 2003, 150, 125–134. [Google Scholar] [CrossRef] [Green Version]
- Dubois-Fernandez, P.C.; Souyris, J.C.; Angelliaume, S.; Garestier, F. The compact polarimetry alternative for spaceborne SAR at low frequency. IEEE Trans. Geosci. Remote Sens. 2008, 46, 3208–3222. [Google Scholar] [CrossRef]
- Garestier, F.; Dubois-Fernandez, P.C.; Champion, I. Forest height inversion using high-resolution P-band PoI-InSAR data. IEEE Trans. Geosci. Remote Sens. 2008, 46, 3544–3559. [Google Scholar] [CrossRef]
- Zhu, J.; Xie, Q.; Zuo, T.; Wang, C.; Xie, J. Criterion of complex least squares adjustment and its application in tree height inversion with PolInSAR data. Acta Geod. Cartogr. Sin. 2014, 43, 45–51. [Google Scholar] [CrossRef]
- Shen, P.; Wang, C.; Hu, J.; Fu, H.; Zhu, J. Interferometric phase optimization based on PolInSAR total power coherency matrix construction and joint polarization-space nonlocal estimation. IEEE Trans. Geosci. Remote Sens. 2022, 60, 1–14. [Google Scholar] [CrossRef]
- Tabb, M.; Flynn, T.; Carande, R. Estimation and removal of SNR and scattering degeneracy effects from the PolInSAR coherence region. In Proceedings of the 2003 IEEE International Geoscience and Remote Sensing Symposium (IGARSS), Toulouse, France, 21–25 July 2003. [Google Scholar] [CrossRef]
- Lee, J.S.; Cloude, S.R.; Papathanassiou, K.P.; Grunes, M.R.; Woodhouse, I.H. Speckle filtering and coherence estimation of polarimetric SAR interferometry data for forest applications. IEEE Trans. Geosci. Remote Sens. 2003, 41, 2254–2263. [Google Scholar] [CrossRef]
- Vasile, G.; Trouvé, E.; Buzuloiu, V. Intensity-driven adaptive-neighborhood technique for polarimetric and interferometric SAR parameters estimation. IEEE Trans. Geosci. Remote Sens. 2006, 44, 1609–1620. [Google Scholar] [CrossRef] [Green Version]
- Lee, J.S.; Pottier, E. Polarimetric Radar Imaging: From Basics to Applications; CRC Press: Boca Raton, FL, USA, 2009. [Google Scholar]
- Lüneburg, E.; Ziegler, V.; Schroth, A.; Tragl, K. Polarimetric Covariance Matrix Analysis of Random Radar Targets. Target and Clutter Scattering and Their Effects on Military Radar Performance. 1997. Available online: https://apps.dtic.mil/sti/pdfs/ADA244893.pdf#page=250 (accessed on 10 April 2022).
- Tabb, M.; Orrey, J.; Flynn, T.; Carande, R. Phase diversity: A decomposition for vegetation parameter estimation using polarimetric SAR interferometry. Proc. EUSAR 2002, 2, 721–724. [Google Scholar]
- Hajnsek, I. Technical Assistance for the Development of Airborne SAR and Geophysical Measurements during the AfriSAR Campaign; ESA: Paris, France, 2011. [Google Scholar]
- Kugler, F.; Lee, S.K.; Hajnsek, I.; Papathanassiou, K.P. Forest Height Estimation by Means of Pol-InSAR Data Inversion: The Role of the Vertical Wavenumber. IEEE Trans. Geosci. Remote Sens. 2015, 53, 5294–5311. [Google Scholar] [CrossRef]
- Flynn, T.; Tabb, M.; Carande, R. Coherence region shape extraction for vegetation parameter estimation in polarimetric SAR interferometry. In Proceedings of the 2002 IEEE International Geoscience and Remote Sensing Symposium (IGARSS), Toronto, ON, Canada, 24–28 June 2002. [Google Scholar]














| Study Area | Image Number | Temporal Baseline | Perpendicular Baseline (m) | Image Resolution (m) | Incidence Angle (°) |
|---|---|---|---|---|---|
| Mabounie | 0708 | 11 February 2016 11:14:48 | Master | Range: 1.2 Azimuth: 0.9 | 25–60 |
| 0703 | 0, 0, 47 | −30.0 | |||
| Mondah | 0502 | 8 February 2016 10:17:59 | Master | Range: 1.2 Azimuth: 0.8 | 10–60 |
| 0212 | 3, 22, 16 | −30.0 |
Publisher’s Note: MDPI stays neutral with regard to jurisdictional claims in published maps and institutional affiliations. |
© 2022 by the authors. Licensee MDPI, Basel, Switzerland. This article is an open access article distributed under the terms and conditions of the Creative Commons Attribution (CC BY) license (https://creativecommons.org/licenses/by/4.0/).
Share and Cite
Wang, C.; Hu, C.; Shen, P.; Song, T. Evaluation of Multilooking Size on Single-Baseline PolInSAR Forest Height Inversion. Forests 2022, 13, 1031. https://doi.org/10.3390/f13071031
Wang C, Hu C, Shen P, Song T. Evaluation of Multilooking Size on Single-Baseline PolInSAR Forest Height Inversion. Forests. 2022; 13(7):1031. https://doi.org/10.3390/f13071031
Chicago/Turabian StyleWang, Changcheng, Chihao Hu, Peng Shen, and Tianyi Song. 2022. "Evaluation of Multilooking Size on Single-Baseline PolInSAR Forest Height Inversion" Forests 13, no. 7: 1031. https://doi.org/10.3390/f13071031
APA StyleWang, C., Hu, C., Shen, P., & Song, T. (2022). Evaluation of Multilooking Size on Single-Baseline PolInSAR Forest Height Inversion. Forests, 13(7), 1031. https://doi.org/10.3390/f13071031

