Dynamic Evaluation of Early Silvicultural Treatments for Wildfire Prevention
Abstract
:1. Introduction
2. Materials and Methods
2.1. Study Site and Field Measurements
2.2. Fire Behavior Simulations and Weather Scenarios
3. Results
3.1. Forest Structure and Fuel Characteristics
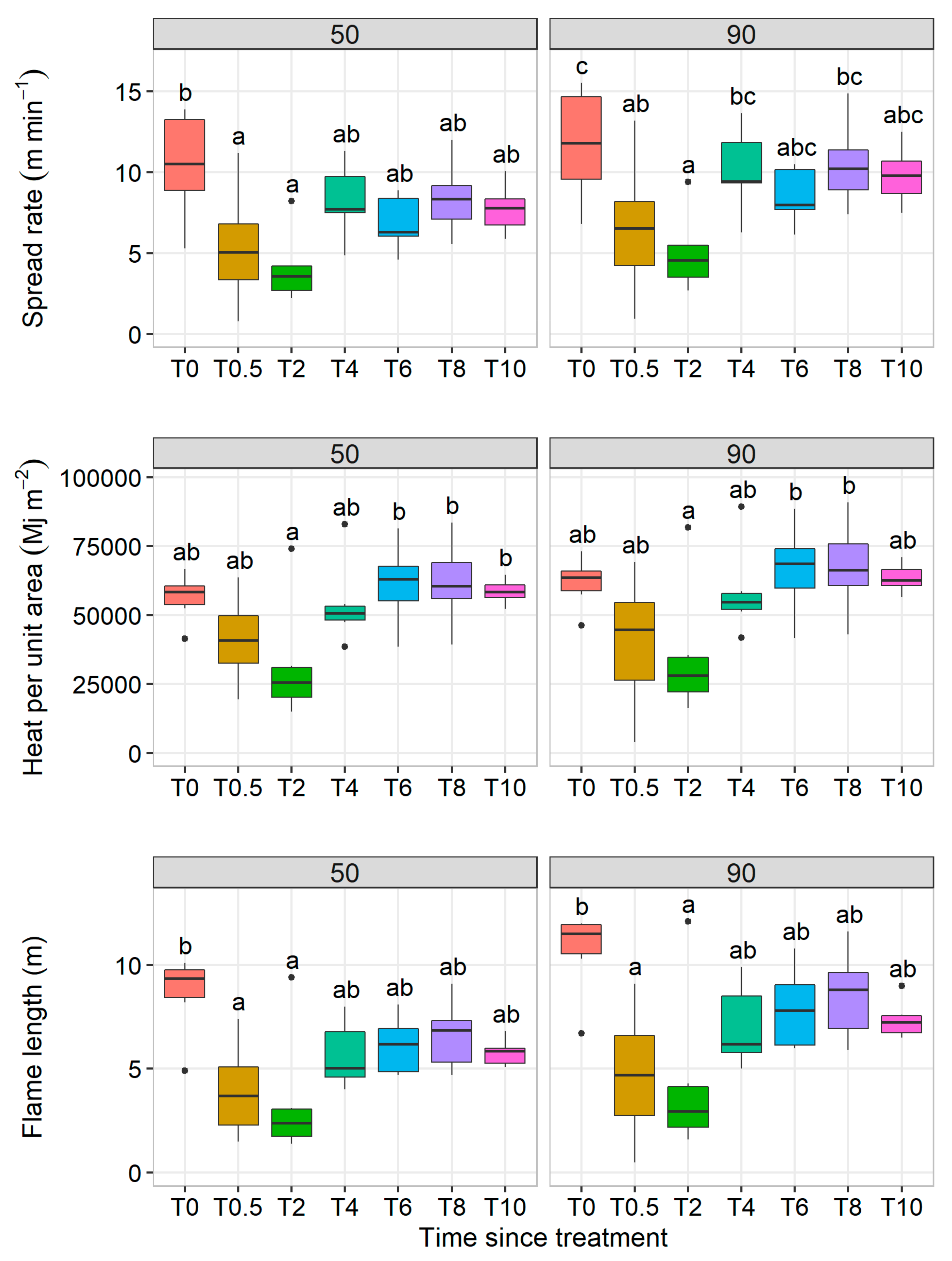
3.2. Potential Fire Behavior
4. Discussion
5. Conclusions
Author Contributions
Funding
Data Availability Statement
Acknowledgments
Conflicts of Interest
Appendix A
| Variable | 50th Percentile | 90th Percentile |
|---|---|---|
| 1 h Fuel Moisture (%) | 8 | 6 |
| 10 h Fuel Moisture (%) | 9 | 7 |
| 100 h Fuel Moisture (%) | 10 | 8 |
| Live Woody Fuel Moisture (%) | 95 | 75 |
| Foliar moisture (%) | 120 | 105 |
| Mean wind speed (km/h) | 6.9 | 9.3 |
| Maximum wind speed (km/h) | 30.0 | 38.5 |
| Temperature (°C) | 31.1 | 35.0 |
| Relative humidity (%) | 32 | 20 |
| Days with these conditions 1 (%) | 52.5 | 10.7 |
References
- Jactel, H.; Nicoll, B.C.; Branco, M.; Gonzalez-Olabarria, J.R.; Grodzki, W.; Långström, B.; Moreira, F.; Nethefer, S.; Orazio, C.; Piou, D.; et al. The influences of forest stand management on biotic and abiotic risks of damage. Ann. For. Sci. 2009, 66, 701. [Google Scholar] [CrossRef]
- Fulé, P.Z.; Waltz, A.E.M.; Covington, W.W.; Heinlein, T.A. Measuring forest restoration effectiveness in reducing hazardous fuels. J. For. 2001, 99, 24–29. [Google Scholar]
- Agee, J.; Skinner, C. Basic principles of forest fuel reduction treatments. For. Ecol. Manag. 2005, 211, 83–96. [Google Scholar] [CrossRef]
- Rothermel, R.C.; Philpot, C.W. Predicting changes in chaparral flammability. J. For. 1973, 71, 640–643. [Google Scholar]
- Finney, M.A. Mechanistic modeling of landscape fire patterns. In Spatial Modeling of Forest Landscapes: Approaches and Applications; Cambridge University Press: Cambridge, UK, 1999; pp. 186–209. [Google Scholar]
- Johnson, M.C.; Peterson, D.L.; Raymond, C.L. Guide to Fuel Treatments in Dry Forests of the Western United States: Assessing Forest Structure and Fire Hazard; General Technical Report PNW-686; Pacific Northwest Research Station, USDA Forest Service: Portland, OR, USA, 2007; 322p. [Google Scholar]
- Peterson, D.L.; Johnson, M.C.; Agee, J.K.; Jain, T.B.; McKenzie, D.; Reinhardt, D. Forest Structure and Fire Hazard in Dry Forests of the Western United States; Gen. General Technical Report PNW-686; Department of Agriculture, Forest Service, Pacific Northwest Research Station: Portland, OR, USA, 2005; 30p. [Google Scholar]
- del Río Gaztelurrutia, M.; Oviedo, J.A.B.; Pretzsch, H.; Löf, M.; Ruiz-Peinado, R. A review of thinning effects on Scots pine stands: From growth and yield to new challenges under global change. For. Syst. 2017, 26, 9. [Google Scholar] [CrossRef]
- Michaletz, S.T.; Johnson, E.A. How forest fires kill trees: A review of the fundamental biophysical processes. Scand. J. Forest Res. 2007, 22, 500–515. [Google Scholar] [CrossRef]
- Barbéro, M.; Loisel, R.; Quézel, P.; Richardson, D.M.; Romane, F. Pines of the Mediterranean Basin. In Ecology and Biogeography of Pinus; Richardson, D.M., Ed.; Cambridge University Press: Cambridge, UK, 1998; pp. 153–170. [Google Scholar]
- Nathan, R.; Safriel, U.N.; Noy-Meir, I.; Schiller, G. Seed release without fire in Pinus halepensis, a Mediterranean serotinous, wind-dispersed tree. J. Ecol. 1999, 87, 659–669. [Google Scholar] [CrossRef] [Green Version]
- De Las Heras, J.; Moya, D.; Vega, J.A.; Daskalakou, E.; Vallejo, V.R.; Grigoriadis, N.; Tsitsoni, T.; Baeza, J.; Valdecantos, A.; Fernández, C.; et al. Post-fire management of serotinous pine forests. In Post-Fire Management and Restoration of Southern European Forests; Springer: Dordrecht, The Netherlands, 2012; pp. 121–150. [Google Scholar]
- Piqué, M.; Vericat, P.; Cervera, T.; Baiges, T.; Farriol, R. Tipologies Forestals Arbrades. Sèrie: Orientacions de Gestió Forestal sostenible Per a Catalunya (ORGEST); Centre de la Propietat Forestal, Departament d’Agricultura, Ramaderia, Pesca, Alimentació i Medi Natural. Generalitat de Catalunya: Barcelona, Spain, 2014; 346p. [Google Scholar]
- González, J.R.; Trasobares, A.; Palahi, M.; Pukkala, T. Predicting stand damage and tree survival in burned forests in Catalonia (North-East Spain). Ann. For. Sci. 2007, 64, 733–742. [Google Scholar] [CrossRef] [Green Version]
- González-Ochoa, A.I.; López-Serrano, F.R.; De Las Heras, J. Does post-fire forest management increase tree growth and cone production in Pinus halepensis? For. Ecol. Manag. 2004, 188, 235–247. [Google Scholar] [CrossRef]
- Palmero-Iniesta, M.; Domènech, R.; Molina-Terrén, D.; Espelta, J.M. Fire behavior in Pinus halepensis thickets: Effects of thinning and woody debris decomposition in two rainfall scenarios. For. Ecol. Manag. 2017, 404, 230–240. [Google Scholar] [CrossRef]
- Manrique-Alba, À.; Beguería, S.; Molina, A.J.; González-Sanchis, M.; Tomàs-Burguera, M.; Del Campo, A.D.; Colangelo, M.; Camarero, J.J. Long-term thinning effects on tree growth, drought response and water use efficiency at two Aleppo pine plantations in Spain. Sci. Total Environ. 2020, 728, 138536. [Google Scholar] [CrossRef]
- Casals, P.; Valor, T.; Besalú, A.; Molina-Terrén, D. Understory fuel load and structure eight to nine years after prescribed burning in Mediterranean pine forests. For. Ecol. Manag. 2016, 362, 156–168. [Google Scholar] [CrossRef]
- Koukoulomatis, K.D.; Mitsopoulos, I.D. Crown fuel weight estimation of Black pine (Pinus nigra) plantations in Southern Bulgaria. Silva Balcan. 2007, 8, 57–65. [Google Scholar]
- Canadell, J.; Riba, M.; Andres, P. Biomass equations for Quercus ilex L. in the Montseny Massif, northeastern Spain. Forestry 1988, 61, 137–147. [Google Scholar] [CrossRef]
- Scott, J.H. NEXUS: A System for Assessing Crown Fire Hazard. Fire Manag. Notes 1999, 59, 20–24. [Google Scholar]
- Scott, J.H.; Reinhardt, E.D. Assessing Crown Fire Potential by Linking Models of Surface and Crown Fire Potential; Research Paper RMRS-29; Rocky Mountain Research Station; USDA Forest Service: Fort Collins, CO, USA, 2001; 59p. [Google Scholar]
- Domenech, R. Efectivitat dels Tractaments D’aclarida en la Reducció del Risc de Propagació D’incendis en Regenerats de pi Blanc; UPC: Barcelona, Spain, 2011; 244p. [Google Scholar]
- Manwell, J.F.; McGowan, J.G.; Rogers, A.L. Wind Energy Explained: Theory, Design and Application; John Wiley & Sons: Hoboken, NJ, USA, 2010; 706p. [Google Scholar]
- Rothermel, R. How to Predict the Spread and Intensity of Forest and Range Fires; General Technical Report INT-143; Intermountain Forest and Range Experiment Station, USDA Forest Service: Ogden, UT, USA, 1983; 161p. [Google Scholar]
- Alfaro-Sánchez, R.; López-Serrano, F.R.; Rubio, E.; Sánchez-Salguero, R.; Moya, D.; Hernández-Tecles, E.; De Las Heras, J. Response of biomass allocation patterns to thinning in Pinus halepensis differs under dry and semiarid Mediterranean climates. Ann. For. Sci. 2015, 72, 595–607. [Google Scholar] [CrossRef] [Green Version]
- Keeley, J.E. Ecology and evolution of pine life histories. Ann. For. Sci. 2012, 69, 445–453. [Google Scholar] [CrossRef] [Green Version]
- Coll, L.; González-Olabarria, J.R.; Mola-Yudego, B.; Pukkala, T.; Messier, C. Predicting understory maximum shrubs cover using altitude and overstory basal area in different Mediterranean forests. Eur. J. For. Res. 2011, 130, 55–65. [Google Scholar] [CrossRef] [Green Version]
- Pollet, J.; Omi, P. Effect of thinning and prescribed burning on crown fire severity in ponderosa pine forests. Int. J. Wildland Fire 2002, 11, 1–10. [Google Scholar] [CrossRef]
- Stephens, S.L.; Collins, B.M.; Roller, G.B. Fuel treatment longevity in a Sierra Nevada mixed-conifer forest. For. Ecol. Manag. 2012, 285, 204–212. [Google Scholar] [CrossRef]
- Keane, R.E. Biophysical controls on surface fuel litterfall and decomposition in the northern Rocky Mountains, USA. Can. J. For. Res. 2008, 38, 1431–1445. [Google Scholar] [CrossRef]
- Stephens, S.; Moghaddas, J. Experimental fuel treatment impacts on forest structure, potential fire behavior, and predicted tree mortality in a California mixed conifer forest. For. Ecol. Manag. 2005, 215, 21–36. [Google Scholar] [CrossRef]
- Schmidt, D.; Taylor, A.; Skinner, C. The influence of fuels treatment and landscape arrangement on simulated fire behavior, Southern Cascade range, California. For. Ecol. Manag. 2008, 255, 3170–3184. [Google Scholar] [CrossRef]
- De Las Heras, J.; Moya, D.; López-Serrano, F.; Condés, S. Reproduction of postfire Pinus halepensis Mill. stands six years after silvicultural treatments. Ann. For. Sci. 2007, 64, 59–66. [Google Scholar] [CrossRef]
- Moya, D.; De Las Heras, J.; López-Serrano, F.R.; Leone, V. Optimal intensity and age of management in young Aleppo pine stands for post-fire resilience. For. Ecol. Manag. 2008, 255, 3270–3280. [Google Scholar] [CrossRef]
- Gindel, I. Ecological behaviour, growth, and yield of the aleppo-pine (Pinus halepensis Mill.) in Israel. Empire For. Rev. 1955, 34, 369–383. [Google Scholar]
- Oliver, C.D.; Larson, B.C. Forest Stand Dynamics; Update edition; Wiley: New York, NY, USA, 1996; p. 520. [Google Scholar]
- Helluy, M.; Prévosto, B.; Cailleret, M.; Fernandez, C.; Balandier, P. Competition and water stress indices as predictors of Pinus halepensis Mill. radial growth under drought. For. Ecol. Manag. 2020, 460, 117877. [Google Scholar] [CrossRef]
- Seidl, R.; Fernandes, P.M.; Fonseca, T.F.; Gillet, F.; Jönsson, A.M.; Merganičová, K.; Netherer, S.; Arpaci, A.; Bontemps, J.D.; Bugmann, H.; et al. Modelling natural disturbances in forest ecosystems: A review. Ecol. Model. 2011, 222, 903–924. [Google Scholar] [CrossRef] [Green Version]
- van Mantgem, P.J.; Nesmith, J.C.; Keifer, M.; Knapp, E.E.; Flint, A.; Flint, L. Climatic stress increases forest fire severity across the western United States. Ecol. Lett. 2013, 16, 1151–1156. [Google Scholar] [CrossRef]
- Rigueiro Rodríguez, A.; Fernández-Núñez, E.; Santiago-Freijanes, J.J.; Mosquera-Losada, M.R. Silvopastoral systems for forest fire prevention. In Agroforestry Systems as a Technique for Sustainable Land Management; Universidad de Santiago de Compostela, Campus Universitario: Lugo, Spain, 2009; pp. 335–344. [Google Scholar]
- Ne’eman, G.; Goubitz, S.; Nathan, R. Reproductive traits of Pinus halepensis in the light of fire: A critical review. Plant Ecol. 2004, 171, 69–79. [Google Scholar] [CrossRef]
- Finney, M.A. Design of regular landscape fuel treatment patterns for modifying fire growth and behavior. For. Sci. 2001, 47, 219–228. [Google Scholar] [CrossRef]
- Loehle, C. Applying landscape principles to fire hazard reduction. For. Ecol. Manag. 2004, 198, 261–267. [Google Scholar] [CrossRef] [Green Version]
- Fernandes, P.M.; Luz, A.; Loureiro, C. Changes in wildfire severity from maritime pine woodland to contiguous forest types in the mountains of northwestern Portugal. For. Ecol. Manag. 2010, 260, 883–892. [Google Scholar] [CrossRef]
- González, J.R.; Palahí, M.; Trasobares, A.; Pukkala, T. A fire probability model for forest stands in Catalonia (north-east Spain). Ann. For. Sci. 2006, 63, 169–176. [Google Scholar] [CrossRef]
- van Altena, C.; van Logtestijn, R.; Cornwell, W.; Cornelissen, H. Species composition and fire: Non-additive mixture effects on ground fuel flammability. Front. Plant Sci. 2012, 3, 63. [Google Scholar] [CrossRef] [Green Version]




| T0 | T0.5 | T2 | T4 | T6 | T8 | T10 | ||
|---|---|---|---|---|---|---|---|---|
| Stand Structure | ||||||||
| Density | (trees/ha) | 12117 ± 1811 b | 1293 ± 73 a | 1119 ± 58 a | 1097 ± 182 a | 1471 ± 132 a | 1368 ± 98 a | 1401 ± 136 a |
| Dbh | (cm) | 4.9 ± 0.5 b | 10.5 ± 0.4 a | 12.2 ± 0.6 a | 10.5 ± 1.0 a | 10.1 ± 0.6 a | 11.3 ± 0.3 a | 11.9 ± 1.1 a |
| BA | (m2/ha) | 21.0 ± 2.2 b | 11.24 ± 1.05 a | 13.0 ± 1.0 a | 9.1 ± 1.6 a | 11.6 ± 1.1 a | 13.7 ± 1.4 a | 15.0 ± 1.5 ab |
| CC | (%) | 92 ± 2 b | 68 ± 6 a | 70 ± 3 a | 70 ± 3 a | 72 ± 6 a | 78 ± 4 ab | 81 ± 2 ab |
| TH | (m) | 7.8 ± 0.4 a | 8.7 ± 0.4 a | 9.4 ± 0.5 a | 8.4 ± 0.4 a | 9.0 ± 0.4 a | 9.1 ± 0.4 a | 8.7 ± 0.5 a |
| CBH | (m) | 3.5 ± 0.6 a | 3.4 ± 0.4 a | 3.9 ± 0.7 a | 2.6 ± 0.2 a | 3.0 ± 0.2 a | 2.8 ± 0.3 a | 2.7 ± 0.3 a |
| CD | (m) | 2.1 ± 0.4 b | 3.6 ± 0.4 a | 3.4 ± 0.2 a | 3.9 ± 0.2 a | 3.9 ± 0.4 a | 4.1 ± 0.2 ab | 3.3 ± 0.1 ab |
| CBD | (kg /m3) | 0.16 ± 0.03 b | 0.06 ± 0.01 a | 0.09 ± 0.03 a | 0.05 ± 0.01 a | 0.08 ± 0.01 a | 0.07 ± 0.01 a | 0.05 ± 0.01 a |
| FBD | (cm) | 100.7 ± 12.2 abc | 64.3 ± 8.6 ab | 55.3 ± 15.1 a | 96.4 ± 12.7 abc | 97.8 ± 9.5 abc | 121.1 ± 4.8 c | 109.0 ± 10.2 bc |
| Fuel Load | ||||||||
| WT | (t/ha) | 40.1 ± 1.1 a | 107.6 ± 12.7 c | 66.2 ± 8.8 ab | 59.1 ± 9.0 ab | 78.2 ± 11.7 bc | 55.5 ± 4.6 ab | 56.2 ± 7.2 ab |
| W1h | (t/ha) | 33.8 ± 1.6 a | 50.8 ± 3.4 b | 37.8 ± 3.8 ab | 31.2 ± 4.4 a | 38.8 ± 3.8 ab | 28.2 ± 3.9 a | 27.2 ± 4.9 a |
| W10h | (t/ha) | 3.0 ± 1.1 a | 22.68 ± 3.26 d | 14.7 ± 3.3 cd | 10.1 ± 2.7 bcd | 14.2 ± 2.7 d | 4.3 ± 0.8 ab | 6.1 ± 1.1 ac |
| W100h | (t/ha) | 0.2 ± 0.2 a | 24.7 ± 11.9 a | 11.1 ± 4.2 a | 6.3 ± 2.5 a | 14.8 ± 4.0 a | 9.8 ± 3.5 a | 5.6 ± 3.7 a |
| WLh | (t/ha) | 0.4 ± 0.2 a | 0.3 ± 0.1 a | 0.3 ± 0.1 a | 0.5 ± 0.1 a | 0.3 ± 0.1 a | 0.3 ± 0.1 a | 0.6 ± 0.2 a |
| WLs | (t/ha) | 2.8 ± 0.8 b | 0.1 ± 0.1 a | 2.3 ± 2.0 a | 8.4 ± 1.5 bc | 10.1 ± 3.3 bc | 13.0 ± 2.6 c | 14.0 ± 3.1 c |
Publisher’s Note: MDPI stays neutral with regard to jurisdictional claims in published maps and institutional affiliations. |
© 2022 by the authors. Licensee MDPI, Basel, Switzerland. This article is an open access article distributed under the terms and conditions of the Creative Commons Attribution (CC BY) license (https://creativecommons.org/licenses/by/4.0/).
Share and Cite
Piqué, M.; González-Olabarria, J.R.; Busquets, E. Dynamic Evaluation of Early Silvicultural Treatments for Wildfire Prevention. Forests 2022, 13, 858. https://doi.org/10.3390/f13060858
Piqué M, González-Olabarria JR, Busquets E. Dynamic Evaluation of Early Silvicultural Treatments for Wildfire Prevention. Forests. 2022; 13(6):858. https://doi.org/10.3390/f13060858
Chicago/Turabian StylePiqué, Míriam, José Ramón González-Olabarria, and Eduard Busquets. 2022. "Dynamic Evaluation of Early Silvicultural Treatments for Wildfire Prevention" Forests 13, no. 6: 858. https://doi.org/10.3390/f13060858
APA StylePiqué, M., González-Olabarria, J. R., & Busquets, E. (2022). Dynamic Evaluation of Early Silvicultural Treatments for Wildfire Prevention. Forests, 13(6), 858. https://doi.org/10.3390/f13060858

