Perceived Benefits and Forest Tourists Consumption Intention: Environmental Protection Attitude and Resource Utilization Attitude as Mediators
Abstract
:1. Introduction
1.1. Perceived Benefit and Consumption Intention
1.2. Perceived Benefit, Environmental Protection Attitude, and Consumption Intention
1.3. Perceived Benefit, Resource Utilization Attitude, and Consumption Intention
1.4. Chain-Mediating Effect of Environmental Protection Attitude and Resource Utilization Attitude
2. Materials and Methods
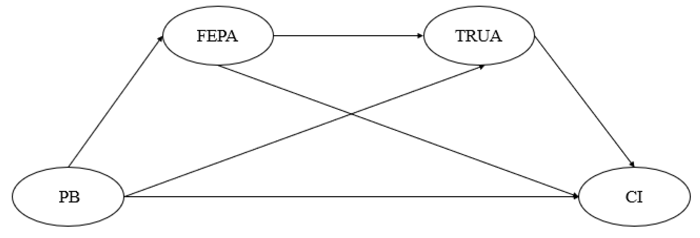
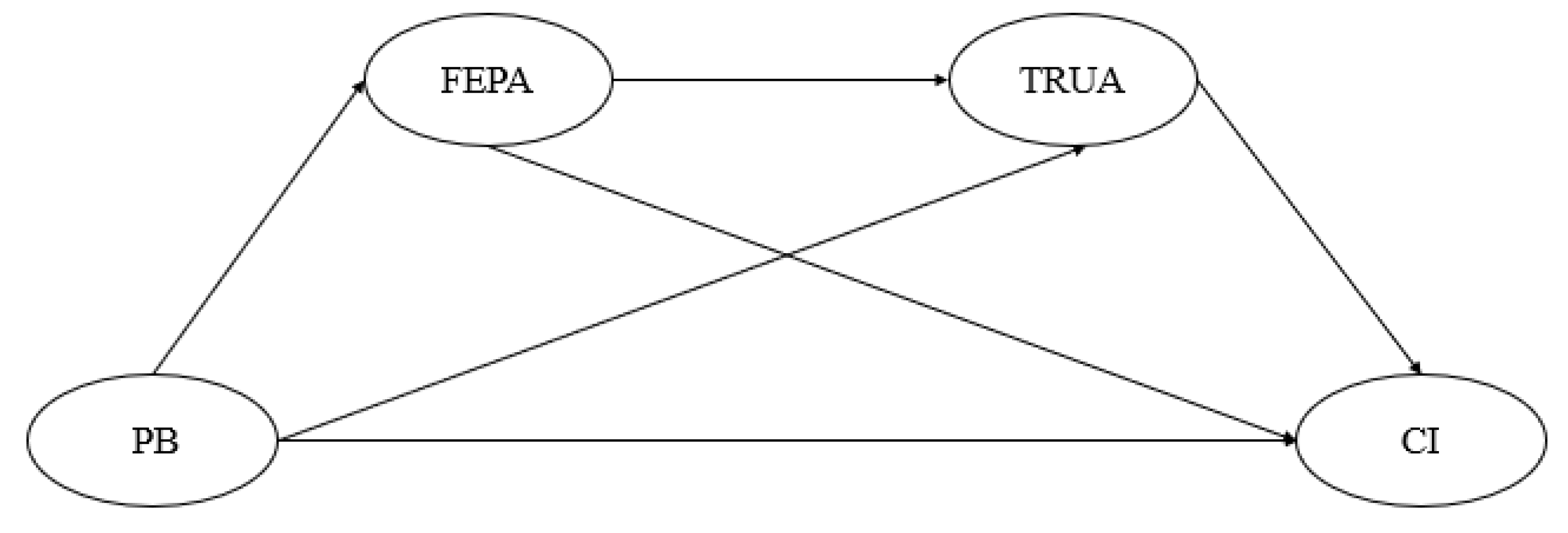
2.1. Research Hypotheses
2.2. Study Site
2.3. Measures
2.4. Data Collection
3. Results
3.1. Respondent Profile
3.2. EFA
3.3. CFA
3.4. Hypotheses Testing
3.5. Multiple Mediation Test
4. Discussion
4.1. Theoretical Implications
4.2. Managerial Implications
5. Conclusions
6. Limitations and Future Research
Author Contributions
Funding
Data Availability Statement
Acknowledgments
Conflicts of Interest
Appendix A
| Indicators | Items by Indicators | |
|---|---|---|
| Perceived benefits (Defined as the outcome that a tourist perceives as conducive to meeting his expectations, motivations, and special needs while visiting a forest park) | Perceived functional benefit | The forest tourism of Siming Mountain has recreational value The forest tourism of Siming Mountain has health preservation value The forest tourism of Siming Mountain has medical value The forest tourism of Siming Mountain has ecological value The forest tourism of Siming Mountain has cultural value |
| Perceived value benefit | Siming Mountain forest tourism has a distinct theme Siming Mountain forest tourism has a reasonable consumption level The price of Siming Mountain forest tourism is moderate Siming Mountain forest tourism provides personalized services Siming Mountain forest tourism provides professional services | |
| Perceived health benefit | Siming Mountain forest tourism can relieve pressure Siming Mountain forest tourism makes people happy Siming Mountain forest tourism can keep healthy Siming Mountain forest tourism can enhance physical fitness Siming Mountain forest tourism can take care of my body | |
| Environmental protection attitude (Defined as tourist’s attitude toward the practice of planting, maintaining, and protecting forest landscape for the purpose of conserving biological/natural and cultural values, sustainable use and equitable distribution of forest goods and services, and strategic preservation of forest resources for future use) | I think it’s very important to protect the forest tourism resources and environment in Siming Mountain Understanding the laws and regulations for the protection of recreational tourism resources in Siming Mountain Understand the protection measures of forest recreation tourism resources in Siming Mountain I’d like to participate in the forest tourism resources and environment protection in Siming Mountain I’d like to prevent the destruction of forest tourism resources and the environment in Siming Mountain | |
| Tourism resources utilization attitude (Defined as tourist’s attitudes toward the appreciation of the destination environment and the use of its tourism resources) | It is necessary to develop forest tourism in Siming Mountain The development of forest tourism in Siming Mountain should reflect local characteristics The development of forest tourism in Siming Mountain should reflect the health-preserving culture I would like to see more forest tourism and recreation projects in Siming Mountain I would like to experience new forest recreation tourism projects in Siming Mountain | |
| Consumption intention (Defined as tourists’ intention to consume and pay for forest tourism projects and products) | I would like to pay for the forest recreation tourism projects in Siming Mountain I would like to pay for the forest recreation tourism products in Siming Mountain I would like to pay for experiencing the forest recreation culture of Siming Mountain I would like to pay for receiving the forest recreation education in Siming Mountain | |
References
- Lim, Y.-J.; Kim, H.-K.; Lee, T.J. Visitor Motivational Factors and Level of Satisfaction in Wellness Tourism: Comparison Between First-Time Visitors and Repeat Visitors. Asia Pac. J. Tour. Res. 2016, 21, 137–156. [Google Scholar] [CrossRef]
- Patterson, C. Sustainable Tourism: Business Development, Operations and Management; Human Kinetics: Champaign, IL, USA, 2015. [Google Scholar]
- Bushell, R. Wellness and Tourism: Mind, Body, Spirit, Place, 1st ed.; Cognizant Communication Corp: Elmsford, NY, USA, 2009. [Google Scholar]
- Csirmaz, É.; Pető, K. International Trends in Recreational and Wellness Tourism. Procedia Econ. Financ. 2015, 32, 755–762. [Google Scholar] [CrossRef] [Green Version]
- Eldredge, L.K.B.; Markham, C.M.; Ruiter, R.A.; Fernández, M.E.; Kok, G.; Parcel, G.S. Planning Health Promotion Programs: An Intervention Mapping Approach; John Wiley & Sons: Hoboken, NJ, USA, 2016. [Google Scholar]
- Lyu, B.; Zeng, C.; Xie, S.; Li, D.; Lin, W.; Li, N.; Jiang, M.; Liu, S.; Chen, Q. Benefits of A Three-Day Bamboo Forest Therapy Session on the Psychophysiology and Immune System Responses of Male College Students. Int. J. Environ. Res. Public Health 2019, 16, 4991. [Google Scholar] [CrossRef] [PubMed] [Green Version]
- Yeoh, E.; Othman, K.; Ahmad, H. Understanding medical tourists: Word-of-mouth and viral marketing as potent marketing tools. Tour. Manag. 2013, 34, 196–201. [Google Scholar] [CrossRef]
- Chen, K.-H.; Chang, F.-H.; Tung, K.-X. Measuring Wellness-Related Lifestyles for Local Tourists in Taiwan. Tour. Anal. 2014, 19, 369–376. [Google Scholar] [CrossRef]
- Global Wellness Institute. 2018 Global Wellness Tourism Economy. Available online: https://globalwellnessinstitute.org/industry-research/global-wellness-tourism-economy/ (accessed on 8 November 2021).
- Lee, J.; Cheng, M.; Syamsi, M.N.; Lee, K.H.; Aung, T.R.; Burns, R.C. Accelerating the Nature Deficit or Enhancing the Nature-Based Human Health during the Pandemic Era: An International Study in Cambodia, Indonesia, Japan, South Korea, and Myanmar, following the Start of the COVID-19 Pandemic. Forests 2022, 13, 57. [Google Scholar] [CrossRef]
- Tsao, T.-M.; Hwang, J.-S.; Lin, S.-T.; Wu, C.; Tsai, M.-J.; Su, T.-C. Forest Bathing is Better than Walking in Urban Park: Comparison of Cardiac and Vascular Function between Urban and Forest Parks. Int. J. Environ. Res. Public Health 2022, 19, 3451. [Google Scholar] [CrossRef]
- Song, C.; Ikei, H.; Miyazaki, Y. Sustained effects of a forest therapy program on the blood pressure of office workers. Urban For. Urban Green. 2017, 27, 246–252. [Google Scholar] [CrossRef]
- Sonntag-Öström, E.; Stenlund, T.; Nordin, M.; Lundell, Y.; Ahlgren, C.; Fjellman-Wiklund, A.; Järvholm, L.S.; Dolling, A. “Nature’s effect on my mind”–Patients’ qualitative experiences of a forest-based rehabilitation programme. Urban For. Urban Green. 2015, 14, 607–614. [Google Scholar] [CrossRef] [Green Version]
- Song, C.; Ikei, H.; Miyazaki, Y. Physiological effects of nature therapy: A review of the research in Japan. Int. J. Environ. Res. Public Health 2016, 13, 781. [Google Scholar] [CrossRef]
- Kim, T.; Song, B.; Cho, K.S.; Lee, I.-S. Therapeutic potential of volatile terpenes and terpenoids from forests for inflammatory diseases. Int. J. Mol. Sci. 2020, 21, 2187. [Google Scholar] [CrossRef] [PubMed] [Green Version]
- Kim, B.J.; Jeong, H.; Park, S.; Lee, S. Forest adjuvant anti-cancer therapy to enhance natural cytotoxicity in urban women with breast cancer: A preliminary prospective interventional study. Eur. J. Integr. Med. 2015, 7, 474–478. [Google Scholar] [CrossRef]
- Furuyashiki, A.; Tabuchi, K.; Norikoshi, K.; Kobayashi, T.; Oriyama, S. A comparative study of the physiological and psychological effects of forest bathing (Shinrin-yoku) on working age people with and without depressive tendencies. Environ. Health Prev. Med. 2019, 24, 46. [Google Scholar] [CrossRef] [PubMed]
- Takayama, N.; Korpela, K.; Lee, J.; Morikawa, T.; Tsunetsugu, Y.; Park, B.-J.; Li, Q.; Tyrväinen, L.; Miyazaki, Y.; Kagawa, T. Emotional, restorative and vitalizing effects of forest and urban environments at four sites in Japan. Int. J. Environ. Res. Public Health 2014, 11, 7207–7230. [Google Scholar] [CrossRef] [PubMed] [Green Version]
- Farrow, M.R.; Washburn, K. A review of field experiments on the effect of forest bathing on anxiety and heart rate variability. Glob. Adv. Health Med. 2019, 8, 2164956119848654. [Google Scholar] [CrossRef] [PubMed]
- Muro, A.; Feliu-Soler, A.; Canals, J.; Parrado, E.; Sanz, A. Psychological benefits of Forest Bathing during the COVID-19 pandemic: A pilot study in a Mediterranean forest close to urban areas. J. For. Res. 2022, 27, 71–75. [Google Scholar] [CrossRef]
- Park, S.; Kim, S.; Kim, G.; Choi, Y.; Kim, E.; Paek, D. Evidence-Based Status of Forest Healing Program in South Korea. Int. J. Environ. Res. Public Health 2021, 18, 10368. [Google Scholar] [CrossRef]
- Bang, K.-S.; Lee, I.; Kim, S.; Lim, C.S.; Joh, H.-K.; Park, B.-J.; Song, M.K. The Effects of a Campus Forest-Walking Program on Undergraduate and Graduate Students’ Physical and Psychological Health. Int. J. Environ. Res. Public Health 2017, 14, 728. [Google Scholar] [CrossRef] [Green Version]
- Ohe, Y.; Ikei, H.; Song, C.; Miyazaki, Y. Evaluating the relaxation effects of emerging forest-therapy tourism: A multidisciplinary approach. Tour. Manag. 2017, 62, 322–334. [Google Scholar] [CrossRef]
- Zhang, Z.; Wang, P.; Gao, Y.; Ye, B. Current Development Status of Forest Therapy in China. Healthcare 2020, 8, 61. [Google Scholar] [CrossRef] [PubMed] [Green Version]
- Cong, L.; Zhang, Y. Reflection on the scientific research of forest health tourism. Tour. Trib. 2016, 31, 6–8. [Google Scholar]
- National Forestry and Grassland Administration. The Forest Coverage Rate in China Reached 23.04%. 2020. Available online: http://www.forestry.gov.cn/main/65/20201218/105033996901192.html (accessed on 21 March 2022).
- National Forestry and Grassland Administration. China Forestry and Glassland Statistical Yearbook; China Forestry Publishing House: Beijing, China, 2019. (In Chinese) [Google Scholar]
- Zhu, L.; Li, Y.; Hu, J.; Zhou, B.; Jia, Y. Spatial differentiation pattern and influencing factors of China National Forest Park. Arid Land Geogr. 2022, 45, 389–400. [Google Scholar]
- Li, J.; Xu, D. Study on the Construction of Forest Health Tourism Evaluation Index System. For. Econ. 2018, 40, 28–34. [Google Scholar]
- Liu, C.; Xiao, W.; Li, J.; Pechacek, P. Attitude of tourists visiting nature reserves in China. Tour. Manag. Perspect. 2013, 5, 1–4. [Google Scholar] [CrossRef]
- Priem, R.L. A Consumer Perspective on Value Creation. Acad. Manag. Rev. 2007, 32, 219–235. [Google Scholar] [CrossRef]
- Yang, C.; Tu, J.-C.; Jiang, Q. The Influential Factors of Consumers’ Sustainable Consumption: A Case on Electric Vehicles in China. Sustainability 2020, 12, 3496. [Google Scholar] [CrossRef] [Green Version]
- Alipour, H.; Olya, H.G.T.; Maleki, P.; Dalir, S. Behavioral responses of 3S tourism visitors: Evidence from a Mediterranean Island destination. Tour. Manag. Perspect. 2020, 33, 100624. [Google Scholar] [CrossRef]
- Jiang, J. Natural soundscapes and tourist loyalty to nature-based tourism destinations: The mediating effect of tourist satisfaction. J. Travel Tour. Mark. 2018, 35, 218–230. [Google Scholar] [CrossRef]
- Rahman, M.S.; Zaman, M.H.; Hassan, H.; Wei, C.C. Tourist’s preferences in selection of local food: Perception and behavior embedded model. Tour. Rev. 2018, 73, 111–132. [Google Scholar] [CrossRef]
- Suhartanto, D. Tourist satisfaction with souvenir shopping: Evidence from Indonesian domestic tourists. Curr. Issues Tour. 2018, 21, 663–679. [Google Scholar] [CrossRef]
- Zhang, H.; Wu, Y.; Buhalis, D. A model of perceived image, memorable tourism experiences and revisit intention. J. Destin. Mark. Manag. 2018, 8, 326–336. [Google Scholar] [CrossRef]
- Hartmann, P.; Apaolaza-Ibáñez, V. Consumer attitude and purchase intention toward green energy brands: The roles of psychological benefits and environmental concern. J. Bus. Res. 2012, 65, 1254–1263. [Google Scholar] [CrossRef]
- Suki, N.M. Green product purchase intention: Impact of green brands, attitude, and knowledge. Br. Food J. 2016, 118, 2893–2910. [Google Scholar] [CrossRef]
- Kazeminia, A.; Hultman, M.; Mostaghel, R. Why pay more for sustainable services? The case of ecotourism. J. Bus. Res. 2016, 69, 4992–4997. [Google Scholar] [CrossRef]
- Meleddu, M.; Pulina, M. Evaluation of individuals’ intention to pay a premium price for ecotourism: An exploratory study. J. Behav. Exp. Econ. 2016, 65, 67–78. [Google Scholar] [CrossRef]
- Pedroso, R.; Biu Kung’u, J. Tourists’ willingness to pay for upstream restoration and conservation measures. J. Sustain. Tour. 2019, 27, 1107–1124. [Google Scholar] [CrossRef]
- Schuhmann, P.W.; Skeete, R.; Waite, R.; Lorde, T.; Bangwayo-Skeete, P.; Oxenford, H.A.; Gill, D.; Moore, W.; Spencer, F. Visitors’ willingness to pay marine conservation fees in Barbados. Tour. Manag. 2019, 71, 315–326. [Google Scholar] [CrossRef]
- Kellert, S.R. Knowledge, Affection, and Basic Attitudes Toward Animals in American Society: Phase III; US Department of the Interior, Fish and Wildlife Service: Washington, DC, USA, 1980. [Google Scholar]
- Kellert, S.R. Public Attitudes Toward Critical Wildlife and Natural Habitat Issues; US Department of the Interior, Fish and Wildlife Service: Washington, DC, USA, 1982. [Google Scholar]
- Kellert, S.R. Trends in Animal Use and Perception in 20th Century America; US Department of the Interior, Fish and Wildlife Service: Washington, DC, USA, 1981. [Google Scholar]
- Kellert, S.R.; Wilson, E.O. The Biophilia Hypothesis; Island Press: Washington, DC, USA, 1993. [Google Scholar]
- Joshi, Y.; Rahman, Z. Consumers’ sustainable purchase behaviour: Modeling the impact of psychological factors. Ecol. Econ. 2019, 159, 235–243. [Google Scholar] [CrossRef]
- Kaiser, F.G.; Wölfing, S.; Fuhrer, U. Environmental attitude and ecological behaviour. J. Environ. Psychol. 1999, 19, 1–19. [Google Scholar] [CrossRef] [Green Version]
- Paço, A.; Lavrador, T. Environmental knowledge and attitudes and behaviours towards energy consumption. J. Environ. Manag. 2017, 197, 384–392. [Google Scholar] [CrossRef]
- Kaiser, F.G.; Hartig, T.; Brügger, A.; Duvier, C. Environmental protection and nature as distinct attitudinal objects: An application of the Campbell paradigm. Environ. Behav. 2013, 45, 369–398. [Google Scholar] [CrossRef]
- Milfont, T.L.; Duckitt, J. The structure of environmental attitudes: A first-and second-order confirmatory factor analysis. J. Environ. Psychol. 2004, 24, 289–303. [Google Scholar] [CrossRef]
- Wiseman, M.; Bogner, F.X. A higher-order model of ecological values and its relationship to personality. Personal. Individ. Differ. 2003, 34, 783–794. [Google Scholar] [CrossRef]
- Baldi, L.; Trentinaglia, M.T.; Mancuso, T.; Peri, M. Attitude toward environmental protection and toward nature: How do they shape consumer behaviour for a sustainable tomato? Food Qual. Prefer. 2021, 90, 104175. [Google Scholar] [CrossRef]
- Mehrabian, A.; Russell, J.A. An Approach to Environmental Psychology; The MIT Press: Cambridge, MA, USA, 1974. [Google Scholar]
- Chen, C.-C.; Yao, J.-Y. What drives impulse buying behaviors in a mobile auction? The perspective of the Stimulus-Organism-Response model. Telemat. Inform. 2018, 35, 1249–1262. [Google Scholar] [CrossRef]
- Kumar, S.; Murphy, M.; Talwar, S.; Kaur, P.; Dhir, A. What drives brand love and purchase intentions toward the local food distribution system? A study of social media-based REKO (fair consumption) groups. J. Retail. Consum. Serv. 2021, 60, 102444. [Google Scholar] [CrossRef]
- Pandita, S.; Mishra, H.G.; Chib, S. Psychological impact of covid-19 crises on students through the lens of Stimulus-Organism-Response (SOR) model. Child. Youth Serv. Rev. 2021, 120, 105783. [Google Scholar] [CrossRef]
- Ma, L.; Cao, J. How perceptions mediate the effects of the built environment on travel behavior? Transportation 2019, 46, 175–197. [Google Scholar] [CrossRef]
- Su, L.; Swanson, S.R. The effect of destination social responsibility on tourist environmentally responsible behavior: Compared analysis of first-time and repeat tourists. Tour. Manag. 2017, 60, 308–321. [Google Scholar] [CrossRef]
- Zeithaml, V.A. Consumer perceptions of price, quality, and value: A means-end model and synthesis of evidence. J. Mark. 1988, 52, 2–22. [Google Scholar] [CrossRef]
- Huang, S.; Pearce, J.; Wen, J.; Dowling, R.K.; Smith, A.J. Segmenting Western Australian national park visitors by perceived benefits: A factor-item mixed approach. Int. J. Tour. Res. 2020, 22, 814–824. [Google Scholar] [CrossRef]
- Agapito, D.; Mendes, J.; Valle, P. Exploring the conceptualization of the sensory dimension of tourist experiences. J. Destin. Mark. Manag. 2013, 2, 62–73. [Google Scholar] [CrossRef]
- Chen, B.; Nakama, Y. Thirty years of forest tourism in China. J. For. Res. 2013, 18, 285–292. [Google Scholar] [CrossRef]
- Lee, C.-F.; Huang, H.-I.; Yeh, H.-R. Developing an evaluation model for destination attractiveness: Sustainable forest recreation tourism in Taiwan. J. Sustain. Tour. 2010, 18, 811–828. [Google Scholar] [CrossRef]
- Almers, E.; Askerlund, P.; Kjellström, S. Why forest gardening for children? Swedish forest garden educators’ ideas, purposes, and experiences. J. Environ. Educ. 2018, 49, 242–259. [Google Scholar] [CrossRef]
- Bratman, G.N.; Hamilton, J.P.; Hahn, K.S.; Daily, G.C.; Gross, J.J. Nature experience reduces rumination and subgenual prefrontal cortex activation. Proc. Natl. Acad. Sci. USA 2015, 112, 8567–8572. [Google Scholar] [CrossRef] [Green Version]
- Konu, H. Developing a forest-based wellbeing tourism product together with customers—An ethnographic approach. Tour. Manag. 2015, 49, 1–16. [Google Scholar] [CrossRef]
- Yu, C.-P.S.; Hsieh, H. Beyond restorative benefits: Evaluating the effect of forest therapy on creativity. Urban For. Urban Green. 2020, 51, 126670. [Google Scholar] [CrossRef]
- Hall, C.M. Adventure, Sport and Health Tourism. In Special Interest Tourism; Hall, C.M., Weiler, B., Eds.; Pluto Press: London, UK, 1992; pp. 141–158. [Google Scholar]
- Cho, K.S.; Lim, Y.; Lee, K.; Lee, J.; Lee, J.H.; Lee, I.-S. Terpenes from forests and human health. Toxicol. Res. 2017, 33, 97–106. [Google Scholar] [CrossRef]
- Rajoo, K.S.; Karam, D.S.; Abdullah, M.Z. The physiological and psychosocial effects of forest therapy: A systematic review. Urban For. Urban Green. 2020, 54, 126744. [Google Scholar] [CrossRef]
- Jang, S.C.; Morrison, A.M.; T O’Leary, J. Benefit segmentation of Japanese pleasure travelers to the USA and Canada: Selecting target markets based on the profitability and risk of individual market segments. Tour. Manag. 2002, 23, 367–378. [Google Scholar] [CrossRef]
- Liu, X.; Huang, D.; Li, Z. Examining relationships among perceived benefit, tourist experience and satisfaction: The context of intelligent sharing bicycle. Asia Pac. J. Tour. Res. 2018, 23, 437–449. [Google Scholar] [CrossRef]
- Wu, S.-I. The relationship between consumer characteristics and attitude toward online shopping. Mark. Intell. Plan. 2003, 21, 37–44. [Google Scholar] [CrossRef] [Green Version]
- Liu, T.; Brock, M.T.; Shi, J.L.; Chu, G.; Tseng, T.H. Perceived benefits, perceived risk, and trust: Influences on consumers’ group buying behavior. Asia Pac. J. Mark. Logist. 2013, 25, 225–248. [Google Scholar]
- Henderson-Wilson, C.; Sia, K.-L.; Veitch, J.; Staiger, P.; Davidson, P.; Nicholls, P. Perceived Health Benefits and Willingness to Pay for Parks by Park Users: Quantitative and Qualitative Research. Int. J. Environ. Res. Public Health 2017, 14, 529. [Google Scholar] [CrossRef] [PubMed] [Green Version]
- Park, C.; Song, H. Visitors’ perceived place value and the willingness to pay in an urban lake park. Int. J. Environ. Res. Public Health 2018, 15, 2518. [Google Scholar] [CrossRef] [PubMed] [Green Version]
- Ballantyne, R.; Packer, J.; Falk, J. Visitors’ learning for environmental sustainability: Testing short-and long-term impacts of wildlife tourism experiences using structural equation modelling. Tour. Manag. 2011, 32, 1243–1252. [Google Scholar] [CrossRef] [Green Version]
- Powell, R.; Ham, S. Can Ecotourism Interpretation Really Lead to Pro-Conservation Knowledge, Attitudes and Behaviour? Evidence from the Galapagos Islands. J. Sustain. Tour. 2008, 16, 467–489. [Google Scholar] [CrossRef]
- Deng, F.; Liu, L.; Tian, Q. Effects of ecotourism experience on value and environmental attitude. J. Environ. Prot. Ecol. 2020, 21, 135–141. [Google Scholar]
- Chiu, Y.-T.H.; Lee, W.-I.; Chen, T.-H. Environmentally responsible behavior in ecotourism: Antecedents and implications. Tour. Manag. 2014, 40, 321–329. [Google Scholar] [CrossRef]
- Hartig, T.; Kaiser, F.G.; Strumse, E. Psychological restoration in nature as a source of motivation for ecological behaviour. Environ. Conserv. 2007, 34, 291–299. [Google Scholar] [CrossRef]
- Russell, D.W.; Russell, C.A. Experiential reciprocity: The role of direct experience in value perceptions. J. Travel Tour. Mark. 2010, 27, 624–634. [Google Scholar] [CrossRef]
- Millar, M.; Mayer, K.J.; Baloglu, S. Importance of green hotel attributes to business and leisure travelers. J. Hosp. Mark. Manag. 2012, 21, 395–413. [Google Scholar] [CrossRef]
- Lissner, I.; Mayer, M. Tourists’ willingness to pay for Blue Flag’s new ecolabel for sustainable boating: The case of whale-watching in Iceland. Scand. J. Hosp. Tour. 2020, 20, 352–375. [Google Scholar] [CrossRef]
- Chen, M.-F.; Tung, P.-J. Developing an extended Theory of Planned Behavior model to predict consumers’ intention to visit green hotels. Int. J. Hosp. Manag. 2014, 36, 221–230. [Google Scholar] [CrossRef]
- Wang, J.; Wang, S.; Wang, Y.; Li, J.; Zhao, D. Extending the theory of planned behavior to understand consumers’ intentions to visit green hotels in the Chinese context. Int. J. Contemp. Hosp. Manag. 2018, 30, 2810–2825. [Google Scholar] [CrossRef]
- Gautam, V. Examining environmental friendly behaviors of tourists towards sustainable development. J. Environ. Manag. 2020, 276, 111292. [Google Scholar] [CrossRef]
- Cheung, L.T.; Fok, L.; Fang, W. Understanding geopark visitors’ preferences and willingness to pay for global geopark management and conservation. J. Ecotourism 2014, 13, 35–51. [Google Scholar] [CrossRef]
- Lee, T.H.; Jan, F.-H. The Effects of Recreation Experience, Environmental Attitude, and Biospheric Value on the Environmentally Responsible Behavior of Nature-Based Tourists. Environ. Manag. 2015, 56, 193–208. [Google Scholar] [CrossRef]
- Lee, T.H.; Jan, F.-H. The influence of recreation experience and environmental attitude on the environmentally responsible behavior of community-based tourists in Taiwan. J. Sustain. Tour. 2015, 23, 1063–1094. [Google Scholar] [CrossRef]
- Reitsamer, B.F.; Brunner-Sperdin, A.; Stokburger-Sauer, N.E. Destination attractiveness and destination attachment: The mediating role of tourists’ attitude. Tour. Manag. Perspect. 2016, 19, 93–101. [Google Scholar] [CrossRef]
- Zhang, X.; Chen, T. Influence mechanism of tourism development on intangible cultural heritages (ICH) based on the perception of tourists: A case study of traditional handicraft Suzhou Embroidery. Geogr. Res. 2016, 35, 590–604. [Google Scholar]
- Zhao, J.; An, Y. Behavioural intention of forest therapy tourism in China: Based on health belief model and the theory of planned behaviour. Curr. Issues Tour. 2021, 24, 3425–3432. [Google Scholar] [CrossRef]
- Cerda, C.; Fuentes, J.P.; Mancilla, G. Can conservation in protected areas and visitor preferences converge? An empirical study in Central Chile. Biodivers. Conserv. 2018, 27, 1431–1451. [Google Scholar] [CrossRef]
- Xu, L.; Ao, C.; Mao, B.; Cheng, Y.; Sun, B.; Wang, J.; Liu, B.; Ma, J. Which is more Important, Ecological Conservation or Recreational Service? Evidence from a Choice Experiment in Wetland Nature Reserve Management. Wetlands 2020, 40, 2381–2396. [Google Scholar] [CrossRef]
- Arbolino, R.; Boffardi, R.; Simone, L.D.; Ioppolo, G. The evaluation of sustainable tourism policymaking: A comparison between multicriteria and multi-objective optimisation techniques. J. Sustain. Tour. 2021, 29, 1000–1019. [Google Scholar] [CrossRef]
- Chen, B.; Nakama, Y.; Zhang, Y. Traditional village forest landscapes: Tourists’ attitudes and preferences for conservation. Tour. Manag. 2017, 59, 652–662. [Google Scholar] [CrossRef]
- Lee, J.; Graefe, A.R.; Burns, R.C. Service quality, satisfaction, and behavioral intention among forest visitors. J. Travel Tour. Mark. 2004, 17, 73–82. [Google Scholar] [CrossRef]
- Bogner, F.X.; Wiseman, M. Environmental Perception: Factor Profiles of Extreme Groups. Eur. Psychol. 2002, 7, 225–237. [Google Scholar] [CrossRef]
- Yadav, R.; Pathak, G.S. Young consumers’ intention towards buying green products in a developing nation: Extending the theory of planned behavior. J. Clean. Prod. 2016, 135, 732–739. [Google Scholar] [CrossRef]
- Grilli, G.; Sacchelli, S. Health Benefits Derived from Forest: A Review. Int. J. Environ. Res. Public Health 2020, 17, 6125. [Google Scholar] [CrossRef] [PubMed]
- Ardoin, N.M.; Wheaton, M.; Bowers, A.W.; Hunt, C.A.; Durham, W.H. Nature-based tourism’s impact on environmental knowledge, attitudes, and behavior: A review and analysis of the literature and potential future research. J. Sustain. Tour. 2015, 23, 838–858. [Google Scholar] [CrossRef]
- Park, E.; Lee, S.; Peters, D.J. Iowa wetlands outdoor recreation visitors’ decision-making process: An extended model of goal-directed behavior. J. Outdoor Recreat. Tour. 2017, 17, 64–76. [Google Scholar] [CrossRef]
- Ribeiro, M.A.; Pinto, P.; Silva, J.A.; Woosnam, K.M. Residents’ attitudes and the adoption of pro-tourism behaviours: The case of developing island countries. Tour. Manag. 2017, 61, 523–537. [Google Scholar] [CrossRef]
- Kang, S.K.; Lee, J. Support of marijuana tourism in Colorado: A residents’ perspective using social exchange theory. J. Destin. Mark. Manag. 2018, 9, 310–319. [Google Scholar] [CrossRef]
- Adongo, C.A.; Taale, F.; Adam, I. Tourists’ values and empathic attitude toward sustainable development in tourism. Ecol. Econ. 2018, 150, 251–263. [Google Scholar] [CrossRef]
- Juvan, E.; Dolnicar, S. The attitude–behaviour gap in sustainable tourism. Ann. Tour. Res. 2014, 48, 76–95. [Google Scholar] [CrossRef]
- Nguyen, Q.D. Complementarity between humans and nature: Adaptive local knowledge in a protected area of northern Thailand. Environ. Dev. 2019, 30, 89–102. [Google Scholar] [CrossRef]
- Alcon, F.; Albaladejo-Garcia, J.A.; Zabala, J.A.; Marin-Minano, C.; Martinez-Paz, J.M. Understanding social demand for sustainable nature conservation. The case of a protected natural space in South-Eastern Spain. J. Nat. Conserv. 2019, 51, 125722. [Google Scholar] [CrossRef]
- Cerda, C.; Ponce, A.; Zappi, M. Using choice experiments to understand public demand for the conservation of nature: A case study in a protected area of Chile. J. Nat. Conserv. 2013, 21, 143–153. [Google Scholar] [CrossRef]



| Variable/Construct | MEAN | SFL EFA | SD | Cronbach’ α | SFL CFA | CR (AVE) |
|---|---|---|---|---|---|---|
| Perceived benefit of forest tourist | ||||||
| Perceived functional benefit | ||||||
| The forest tourism of Siming Mountain have recreational value | 5.600 | 0.690 | 0.911 | 0.805 | 0.680 | 0.807 (0.511) |
| The forest tourism of Siming Mountain have health preservation value | 5.500 | 0.772 | 0.896 | 0.742 | ||
| The forest tourism of Siming Mountain have medical value | 5.530 | 0.715 | 0.856 | 0.720 | ||
| The forest tourism of Siming Mountain have cultural value | 5.610 | 0.765 | 0.987 | 0.716 | ||
| Perceived value benefit | ||||||
| Siming Mountain forest tourism has a distinct theme | 4.230 | 0.806 | 1.113 | 0.808 | 0.788 | 0.814 (0.524) |
| Siming Mountain forest tourism has a reasonable consumption level | 4.610 | 0.715 | 1.116 | 0.654 | ||
| The price of Siming Mountain forest tourism is moderate | 4.850 | 0.611 | 1.117 | 0.648 | ||
| Siming Mountain forest tourism provides professional services | 4.130 | 0.792 | 1.081 | 0.792 | ||
| Perceived health benefit | ||||||
| Siming Mountain forest tourism can relieve pressure | 5.270 | 0.726 | 1.051 | 0.828 | 0.715 | 0.830 (0.550) |
| Siming Mountain forest tourism makes people happy | 5.130 | 0.726 | 0.974 | 0.778 | ||
| Siming Mountain forest tourism can keep healthy | 5.220 | 0.799 | 1.091 | 0.759 | ||
| Siming Mountain forest tourism can enhance physical fitness | 5.030 | 0.710 | 1.116 | 0.713 | ||
| Environmental protection attitude | ||||||
| I think it’s very important to protect the forest tourism resources and environment in Siming Mountain | 5.450 | 0.714 | 1.102 | 0.771 | 0.739 | 0.772 (0.530) |
| I’d like to participate in the forest tourism resources and environment protection in Siming Mountain | 5.280 | 0.769 | 1.045 | 0.700 | ||
| I’d like to prevent the destruction of forest tourism resources and the environment in Siming Mountain | 5.330 | 0.767 | 1.143 | 0.745 | ||
| Tourism resources utilization attitude | ||||||
| It is necessary to develop forest tourism in Siming Mountain | 5.280 | 0.701 | 0.984 | 0.869 | 0.772 | 0.870 (0.572) |
| The development of forest tourism in Siming Mountain should reflect local characteristics | 5.240 | 0.703 | 0.999 | 0.780 | ||
| The development of forest tourism in Siming Mountain should reflect the health-preserving culture | 5.260 | 0.735 | 0.980 | 0.738 | ||
| Willing to see more Siming Mountain forest health project | 5.400 | 0.775 | 0.908 | 0.749 | ||
| Willing to experience the new Siming Mountain forest tourism project | 5.320 | 0.714 | 0.924 | 0.740 | ||
| Consumption intention | ||||||
| I would like to consume the forest tourism in Siming Mountain | 5.360 | 0.756 | 1.278 | 0.885 | 0.679 | 0.887 (0.666) |
| I would like to consume the forest tourism products in Siming Mountain | 5.120 | 0.773 | 1.356 | 0.842 | ||
| I would like to experience the forest culture of Siming Mountain | 5.100 | 0.755 | 1.310 | 0.840 | ||
| I would like to consume receiving a forest education in Siming Mountain | 5.230 | 0.800 | 1.328 | 0.887 | ||
| Latent Variables | 1 | 2 | 3 | 4 | 5 | 6 |
|---|---|---|---|---|---|---|
| PB1-Perceived functional benefit | 0.715 | |||||
| PB2-Perceived value benefit | 0.424 ** | 0.724 | ||||
| PB3-Perceived health benefit | 0.457 ** | 0.503 ** | 0.742 | |||
| Environmental protection attitude | 0.325 ** | 0.361 ** | 0.427 ** | 0.728 | ||
| Tourism resources utilization attitude | 0.466 ** | 0.438 ** | 0.452 ** | 0.558 ** | 0.756 | |
| Consumption intention | 0.464 ** | 0.423 ** | 0.456 ** | 0.471 ** | 0.585 ** | 0.816 |
| Effect | Path | Standardized Coefficient | 95% CI |
|---|---|---|---|
| Specific indirect effect | Ind 1: Perceived benefit → Environmental protection attitude → Consumption Intention | 0.077 | [−0.008, 0.161] |
| Ind 2: Perceived benefit → Resource utilization attitude → Consumption Intention | 0.127 | [0.056, 0.221] | |
| Ind 3: Perceived benefit → Environmental protection attitude → tourism resources utilization attitude → Consumption Intention | 0.066 | [0.024, 0.132] | |
| Total indirect effect | Perceived benefit → Consumption Intention | 0.271 | [0.155, 0.386] |
| Direct effect | Perceived benefit → Consumption Intention | 0.427 | [0.256, 0.606] |
| Total effect | Perceived benefit → Consumption Intention | 0.698 | [0.606, 0.775] |
| Specific indirect effect comparison | Diff 1 = Ind 3–Ind 2 | −0.061 | [−0.144, −0.010] |
Publisher’s Note: MDPI stays neutral with regard to jurisdictional claims in published maps and institutional affiliations. |
© 2022 by the authors. Licensee MDPI, Basel, Switzerland. This article is an open access article distributed under the terms and conditions of the Creative Commons Attribution (CC BY) license (https://creativecommons.org/licenses/by/4.0/).
Share and Cite
Zhou, B.; Liu, S.; Yu, H.; Zhu, D.; Xiong, Q. Perceived Benefits and Forest Tourists Consumption Intention: Environmental Protection Attitude and Resource Utilization Attitude as Mediators. Forests 2022, 13, 812. https://doi.org/10.3390/f13050812
Zhou B, Liu S, Yu H, Zhu D, Xiong Q. Perceived Benefits and Forest Tourists Consumption Intention: Environmental Protection Attitude and Resource Utilization Attitude as Mediators. Forests. 2022; 13(5):812. https://doi.org/10.3390/f13050812
Chicago/Turabian StyleZhou, Bin, Siyi Liu, Hu Yu, Dongfang Zhu, and Qihao Xiong. 2022. "Perceived Benefits and Forest Tourists Consumption Intention: Environmental Protection Attitude and Resource Utilization Attitude as Mediators" Forests 13, no. 5: 812. https://doi.org/10.3390/f13050812
APA StyleZhou, B., Liu, S., Yu, H., Zhu, D., & Xiong, Q. (2022). Perceived Benefits and Forest Tourists Consumption Intention: Environmental Protection Attitude and Resource Utilization Attitude as Mediators. Forests, 13(5), 812. https://doi.org/10.3390/f13050812

