A Novel Environment-Friendly Adhesive Based on Recycling of Broussonetia papyrifera Leaf Forestry Waste Protein
Abstract
:1. Introduction
2. Materials and Methods
2.1. Materials
2.2. Preparation of Protein-Based Adhesive
2.3. Plywood Production with Protein-Based Adhesives and the Shearing Strength Test
2.4. Fourier Transform Infrared Spectroscopy (FT-IR)
2.5. Differential Scanning Calorimetry (DSC)
2.6. Contact Angle
2.7. Particle Size of Adhesive
2.8. X-ray Diffraction (XRD)
3. Results and Discussion
3.1. FT-IR Analysis
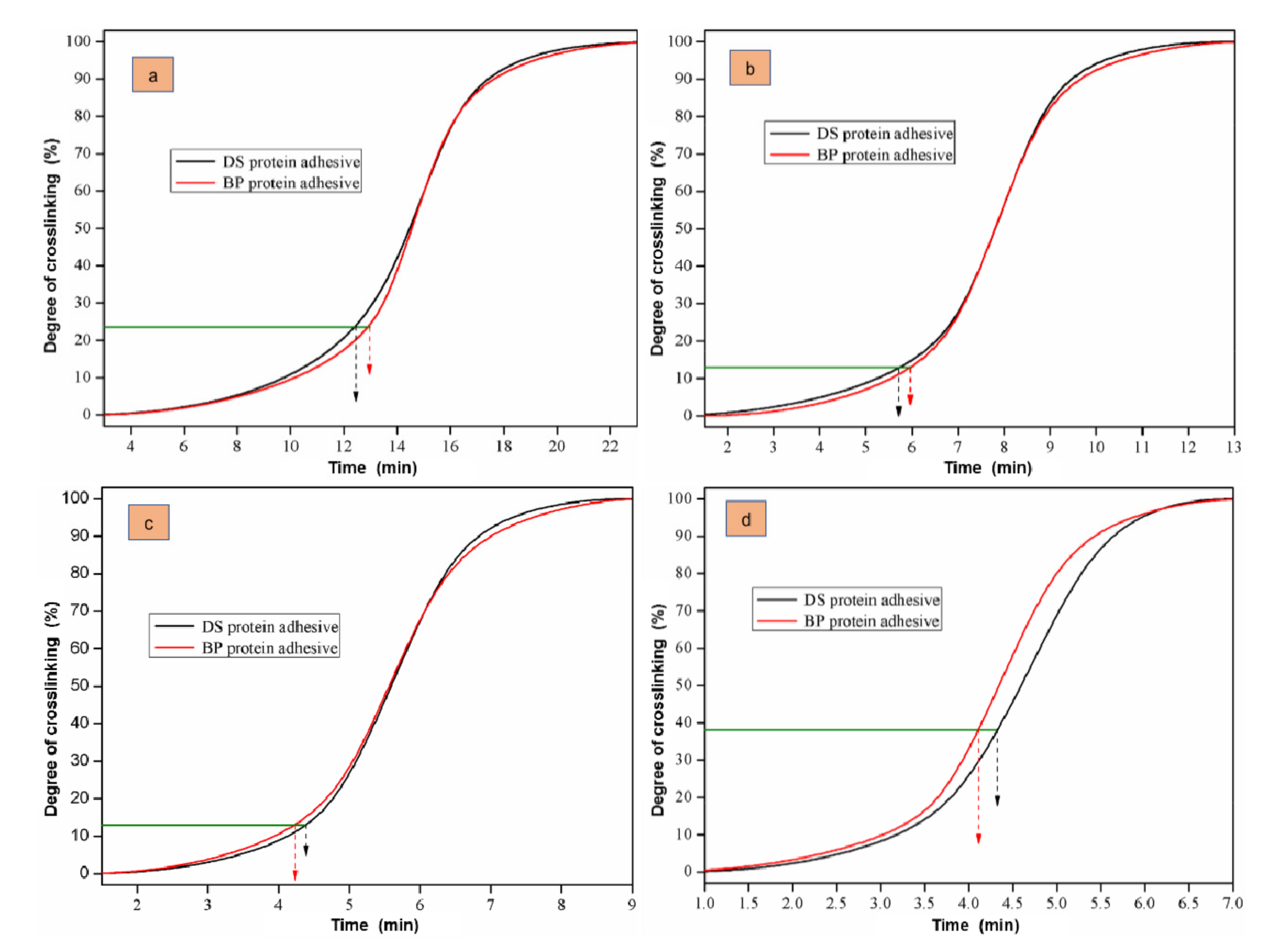
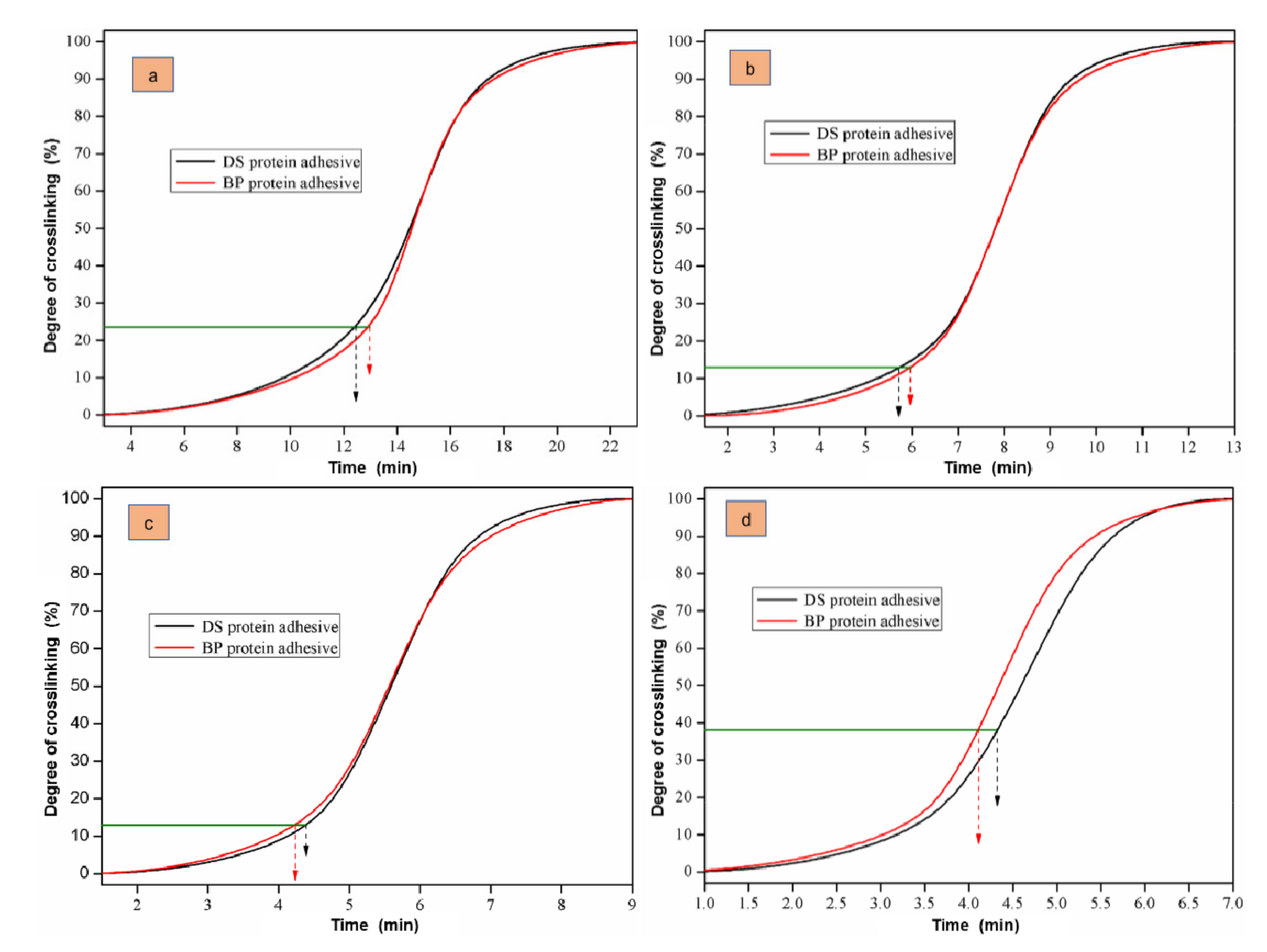
3.2. DSC Analysis
3.3. Contact Angle Analysis
3.4. Particle Size Analysis
3.5. XRD Analysis
3.6. Shearing Strength
4. Conclusions
Author Contributions
Funding
Data Availability Statement
Conflicts of Interest
References
- Pizzi, A. Recent developments in eco-efficient bio-based adhesives for wood bonding: Opportunities and issues. J. Adhes. Sci. Technol. 2006, 20, 829–846. [Google Scholar] [CrossRef]
- Pizzi, A.; Tondi, G.; Pasch, H.; Celzard, A. Matrix-assisted laser desorption/ionization time-of-flight structure determination of complex thermoset networks: Polyflavonoid tannin-furanic rigid foams. J. Appl. Polym. Sci. 2008, 110, 1451–1456. [Google Scholar] [CrossRef]
- Wu, Y.; Li, X.; Zuo, Y.; Li, X.; Qin, Y.; Zhang, X. Research status on the utilization of forest and agricultural biomass in inorganic wood-based panel. J. For. Eng. 2016, 1, 8–15. [Google Scholar] [CrossRef]
- Xi, X.; Wu, Z.; Pizzi, A.; Gerardin, C.; Lei, H.; Zhang, B.; Du, G. Non-isocyanate polyurethane adhesive from sucrose used for particleboard. Wood Sci. Technol. 2019, 53, 393–405. [Google Scholar] [CrossRef]
- Xu, F.; Dong, Y.; Zhang, W.; Zhang, S.; Li, L.; Li, J. Preparation of cross-linked soy protein isolate-based environmentally-friendly films enhanced by PTGE and PAM. Ind. Crops Prod. 2015, 67, 373–380. [Google Scholar] [CrossRef]
- Zhao, X.; Peng, L.; Wang, H.; Wang, Y.; Zhang, H. Environment-friendly urea-oxidized starch adhesive with zero formaldehyde-emission. Carbohydr. Polymer. 2018, 181, 1112–1118. [Google Scholar] [CrossRef]
- Ghahri, S.; Pizzi, A. Improving soy-based adhesives for wood particleboard by tannins addition. Wood Sci. Technol. 2018, 52, 261–279. [Google Scholar] [CrossRef]
- Stücker, A.; Schütt, F.; Saake, B.; Lehnen, R. Lignins from enzymatic hydrolysis and alkaline extraction of steam refined poplar wood: Utilization in lignin-phenol-formaldehyde resins. Ind. Crops Prod. 2016, 85, 300–308. [Google Scholar] [CrossRef]
- Bacigalupe, A.; Escobar, M.M. Soy protein adhesives for particleboard production—A review. J. Polym. Environ. 2021, 29, 2033–2045. [Google Scholar] [CrossRef]
- Lamaming, S.Z.; Lamaming, J.; Rawi, N.F.M.; Hashim, R.; Kassim, M.H.M.; Hussin, M.H.; Bustami, Y.; Sulaiman, O.; Amini, M.H.M.; Hiziroglu, S. Improvements and limitation of soy protein-based adhesive: A review. Polym. Eng. Sci. 2021, 61, 2393–2405. [Google Scholar] [CrossRef]
- Qi, G.; Sun, X.S. Soy protein adhesive blends with synthetic latex on wood veneer. J. Am. Oil Chem. Soc. 2010, 88, 271–281. [Google Scholar] [CrossRef]
- Qi, G.; Li, N.; Wang, D.; Sun, X.S. Physicochemical properties of soy protein adhesives obtained by in situ sodium bisulfite modification during acid precipitation. J. Am. Oil Chem. Soc. 2012, 89, 301–312. [Google Scholar] [CrossRef]
- Wu, Z.; Du, G.; Lei, H.; Xi, X.; Cao, M.; Guo, X. Preparation of eco-friendly urea-formaldehyde resin by urea-formaldehyde precondensate and soy protein. J. For. Eng. 2016, 1, 31–36. [Google Scholar] [CrossRef]
- Wu, Z.; Xi, X.; Lei, H.; Du, G. Soy-based adhesive cross-linked by phenol-formaldehyde-glutaraldehyde. Polymers 2017, 9, 169. [Google Scholar] [CrossRef] [PubMed] [Green Version]
- Lestari, D.; Mulder, W.; Sanders, J. Jatropha seed protein functional properties for technical applications. Biochem. Eng. J. 2011, 53, 297–304. [Google Scholar] [CrossRef]
- Roy, J.; Sun, L.; Ji, L. Microalgal proteins: A new source of raw material for production of plywood adhesive. J. Appl. Phycol. 2014, 26, 1415–1422. [Google Scholar] [CrossRef]
- Kwak, W.J.; Moon, T.C.; Lin, C.X.; Rhyn, H.G.; Jung, H.; Lee, E.; Kwon, D.Y.; Son, K.H.; Kim, H.P.; Kang, S.S.; et al. Papyriflavonol A from Broussonetia papyrifera inhibits the passive cutaneous anaphylaxis reaction and has a secretory phospholipase A2-inhibitory activity. Biol. Pharm. Bull. 2003, 26, 299–302. [Google Scholar] [CrossRef] [Green Version]
- Ryu, H.W.; Lee, B.W.; Curtis-Long, M.J.; Jung, S.; Ryu, Y.B.; Lee, W.S.; Park, K.H. Polyphenols from Broussonetia papyrifera displaying potent alpha-glucosidase inhibition. J. Agric. Food Chem. 2010, 58, 202–208. [Google Scholar] [CrossRef]
- GB/T 9846.3. Test Methods of Evaluating the Properties of Wood-Based Panels; Standardization Administration of China: Beijing, China, 2004. [Google Scholar]
- Kissinger, H.E. Reaction kinetics in differential thermal analysis. Anal. Chem. 1957, 29, 1702–1706. [Google Scholar] [CrossRef]
- Wu, Z.; Lei, H.; Du, G. Disruption of soy-based adhesive treated by Ca(OH)2 and NaOH. J. Adhes. Sci. Technol. 2013, 27, 2226–2232. [Google Scholar] [CrossRef]
- Wu, Z.; Lei, H.; Cao, M.; Xi, X.; Liang, J.; Du, G. Soy-based adhesive cross-linked by melamine-glyoxal and epoxy resin. J. Adhes. Sci. Technol. 2016, 30, 2120–2129. [Google Scholar] [CrossRef]
- Tian, H.; Guo, G.; Fu, X.; Yao, Y.; Yuan, L.; Xiang, A. Fabrication, properties and applications of soy-protein-based materials: A review. Int. J. Biol. Macromol. 2018, 120, 475–490. [Google Scholar] [CrossRef]
- Zeng, Y.; Xu, P.; Yang, W.; Chu, H.; Wang, W.; Dong, W.; Chen, M.; Bai, H.; Ma, P. Soy protein-based adhesive with superior bonding strength and water resistance by designing densely crosslinking networks. Eur. Polym. J. 2021, 142, 110128. [Google Scholar] [CrossRef]
- Yue, L.; Shi, R.; Yi, Z.; Shi, S.Q.; Gao, Q.; Li, J. A high-performance soybean meal-based plywood adhesive prepared via an ultrasonic process and using significantly lower amounts of chemical additives. J. Clean. Prod. 2020, 274, 123017. [Google Scholar] [CrossRef]
- Gu, W.; Liu, X.; Ye, Q.; Gao, Q.; Gong, S.; Li, J.; Shi, S.Q. Bio-inspired co-deposition strategy of aramid fibers to improve performance of soy protein isolate-based adhesive. Ind. Crops Prod. 2020, 150, 112424. [Google Scholar] [CrossRef]
- Li, H.; Li, C.; Gao, Q.; Zhang, S.; Li, J. Properties of soybean-flour-based adhesives enhanced by attapulgite and glycerol polyglycidyl ether. Ind. Crops Prod. 2014, 59, 35–40. [Google Scholar] [CrossRef]
- Vnučec, D.; Goršek, A.; Kutnar, A.; Mikuljan, M. Thermal modification of soy proteins in the vacuum chamber and wood adhesion. Wood Sci. Technol. 2015, 49, 225–239. [Google Scholar] [CrossRef]
- Wu, Z.; Zhang, B.; Zhou, X.; Li, L.; Yu, L.; Liao, J.; Du, G. Influence of single/collective use of curing agents on the curing behavior and bond strength of soy protein-melamine-urea-formaldehyde (SMUF) resin for plywood assembly. Polymers 2019, 11, 1995. [Google Scholar] [CrossRef] [Green Version]
- Xu, H.; Shen, Q.; Ouyang, X.; Yang, L. Wetting of soy protein adhesives modified by urea on wood surfaces. Eur. J. Wood Wood Prod. 2012, 70, 11–16. [Google Scholar] [CrossRef]
- Wu, Z.; Xi, X.; Pizza, A.; Xia, Y.; Zhao, Q.; Lei, H.; Liang, J. Effects of Broussonetiapapyrifera leaf cutting modes on bonding performance of its protein-based adhesives. Eur. J. Wood Wood Prod. 2020, 78, 461–470. [Google Scholar] [CrossRef]
- Zhang, Y.; Shi, R.; Xu, Y.; Chen, M.; Zhang, J.; Gao, Q.; Li, J. Developing a stable high-performance soybean meal-based adhesive using a simple high-pressure homogenization technology. J. Clean. Prod. 2020, 256, 120336. [Google Scholar] [CrossRef]
- Liang, J.; Li, Q.; Wu, Z.; Du, G.; Li, T.; Lei, H.; Li, L. Competitive polycondensation of model compound melamine-urea-formaldehyed (MUF) resin system by 13C NMR. J. Bioresour. Bioprod. 2020, 5, 60–66. [Google Scholar] [CrossRef]
- Hao, X.; Fan, D. Preparation and characterization of epoxy-crosslinked soy protein adhesive. J. Adhes. Sci. Technol. 2018, 32, 2682–2692. [Google Scholar] [CrossRef]
- Xia, Z.; Li, J.; Zhang, J.; Zhang, X.; Zheng, X.; Zhang, J. Processing and valorization of cellulose, lignin and lignocellulose using ionic liquids. J. Bioresour. Bioprod. 2020, 5, 79–95. [Google Scholar] [CrossRef]
- Zhang, N.; Li, Z.; Xiao, Y.; Pang, Z.; Jia, P.; Feng, G.; Bao, C.; Zhou, Y.; Hua, L. Lignin-based Phenolic Resin Modified with Whisker Silicon and Its Application. J. Bioresour. Bioprod. 2020, 5, 67–77. [Google Scholar] [CrossRef]







| Adhesives | Heating Rate (°C/min) | Ti (°C) | Tp (°C) | Tf (°C) | Ea (kJ/mol) |
|---|---|---|---|---|---|
| BP protein adhesive | 5 | 97.2 | 108.1 | 121.0 | 115.41 |
| 10 | 96.9 | 113.5 | 131.2 | ||
| 15 | 99.2 | 118.3 | 138.7 | ||
| 20 | 100.1 | 122.3 | 144.1 | ||
| DS protein adhesive | 5 | 94.1 | 109.6 | 124.1 | 84.26 |
| 10 | 97.3 | 114.5 | 132.1 | ||
| 15 | 98.3 | 119.5 | 140.5 | ||
| 20 | 100.4 | 128.4 | 153.9 |
Publisher’s Note: MDPI stays neutral with regard to jurisdictional claims in published maps and institutional affiliations. |
© 2022 by the authors. Licensee MDPI, Basel, Switzerland. This article is an open access article distributed under the terms and conditions of the Creative Commons Attribution (CC BY) license (https://creativecommons.org/licenses/by/4.0/).
Share and Cite
Li, C.; Tang, Y.; Wang, Y.; Yuan, X.; Zhang, B.; Wu, Z.; Tian, H. A Novel Environment-Friendly Adhesive Based on Recycling of Broussonetia papyrifera Leaf Forestry Waste Protein. Forests 2022, 13, 291. https://doi.org/10.3390/f13020291
Li C, Tang Y, Wang Y, Yuan X, Zhang B, Wu Z, Tian H. A Novel Environment-Friendly Adhesive Based on Recycling of Broussonetia papyrifera Leaf Forestry Waste Protein. Forests. 2022; 13(2):291. https://doi.org/10.3390/f13020291
Chicago/Turabian StyleLi, Cheng, Yang Tang, Yujie Wang, Xiaoyu Yuan, Bengang Zhang, Zhigang Wu, and Huafeng Tian. 2022. "A Novel Environment-Friendly Adhesive Based on Recycling of Broussonetia papyrifera Leaf Forestry Waste Protein" Forests 13, no. 2: 291. https://doi.org/10.3390/f13020291
APA StyleLi, C., Tang, Y., Wang, Y., Yuan, X., Zhang, B., Wu, Z., & Tian, H. (2022). A Novel Environment-Friendly Adhesive Based on Recycling of Broussonetia papyrifera Leaf Forestry Waste Protein. Forests, 13(2), 291. https://doi.org/10.3390/f13020291

