Social and Economic Importance of Forest Companies in Asian Russia: Evidence from Corporate Financial Reporting
Abstract
1. Introduction
1.1. Micro-Level Analysis of the Russian Forest Industry: A Literature Review
1.2. Imperfect Competition and Spatial Heterogeneity in the Russian Timber Industry
1.3. Social Role of Forest Industry in Asian Russia under Sanctions
2. Materials and Methods
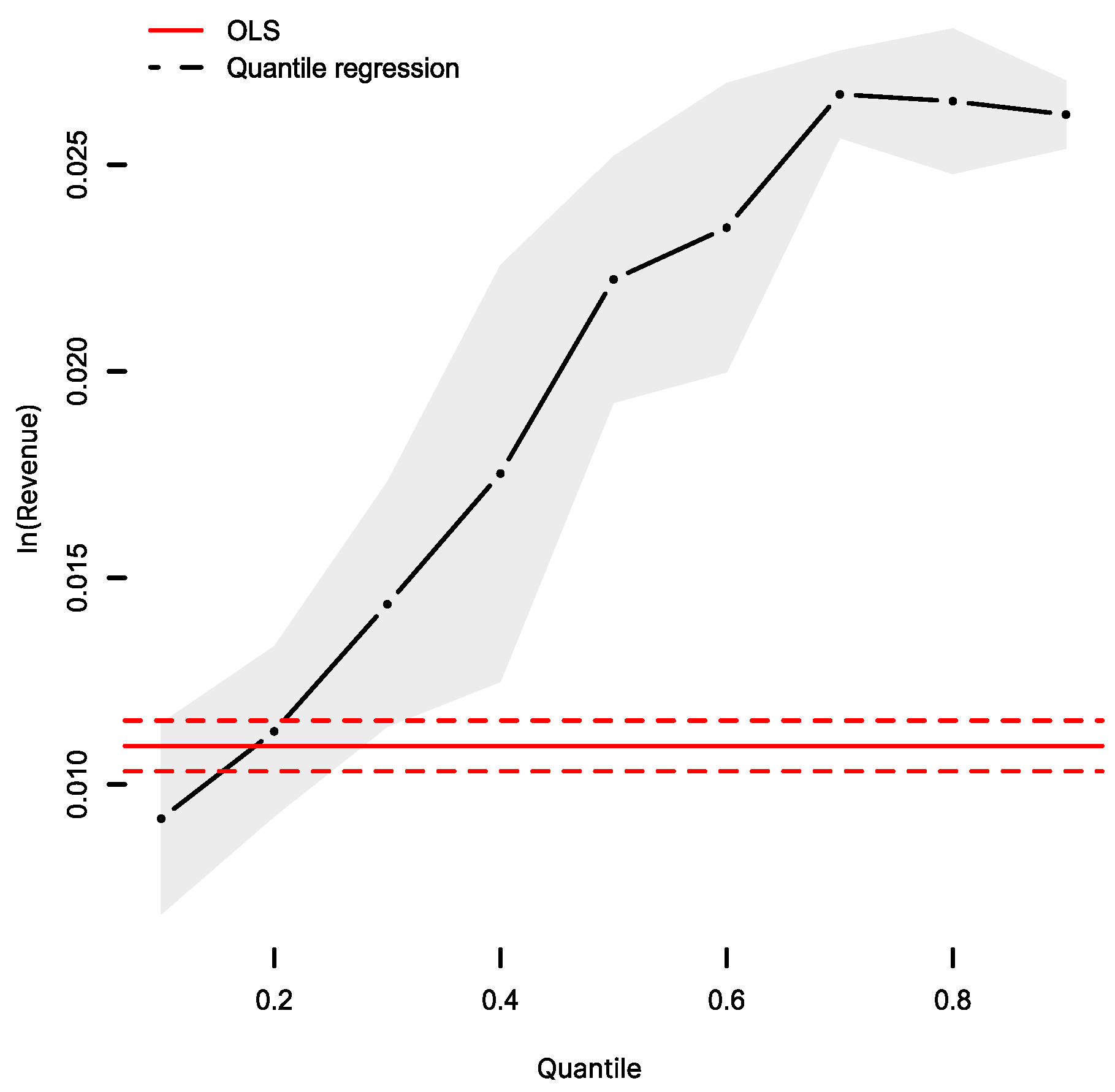
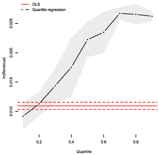
3. Results
4. Discussions and Conclusions
Author Contributions
Funding
Acknowledgments
Conflicts of Interest
References
- Stanturf, J.A.; Mansuy, N. COVID-19 and Forests in Canada and the United States: Initial Assessment and Beyond. Front. For. Glob. Change 2021, 4, 666960. [Google Scholar] [CrossRef]
- Wunder, S.; Kaimowitz, D.; Jensen, S.; Feder, S. Coronavirus, Macroeconomy, and Forests: What Likely Impacts? For. Policy Econ. 2021, 131, 102536. [Google Scholar] [CrossRef]
- van Kooten, G.C.; Schmitz, A. COVID-19 Impacts on U.S. Lumber Markets. For. Policy Econ. 2022, 135, 102665. [Google Scholar] [CrossRef]
- List of Instructions Based on the Results of the Meeting on the Development and Decriminalization of the Forestry Complex. Available online: http://www.kremlin.ru/acts/assignments/orders/64379 (accessed on 23 September 2021).
- FAO. The Russian Federation Forest Sector: Outlook Study to 2030; FAO: Rome, Italy, 2012; ISBN 978-92-5-107309-4. [Google Scholar]
- Stoilova, A.S. Impact of the Prospective Roundwood Export Ban on Russian Timber Production. J. Sib. Fed. Univ. Humanit. Soc. Sci. 2021, 14, 1080–1091. [Google Scholar] [CrossRef]
- Russian Forest Federal Agency: The Ban on Exporting Unprocessed Logs May Affect the Activity of 4000 Organizations. Available online: https://whatwood.ru/english/russian-forest-federal-agancy-the-ban-on-exporting-unprocessed-logs-may-affect-the-activity-of-4-000-organizations/ (accessed on 25 October 2022).
- Leskinen, P.; Lindner, M.; Verkerk, P.J.; Nabuurs, G.J.; Van Brusselen, J.; Kulikova, E.; Hassegawa, M.; Lerink, B. (Eds.) Russian Forests and Climate Change. What Science Can Tell Us; European Forest Institute: Joensuu, Finland, 2020. [Google Scholar]
- Chugunkova, A.V.; Pyzhev, A.I. Impacts of Global Climate Change on Duration of Logging Season in Siberian Boreal Forests. Forests 2020, 11, 756. [Google Scholar] [CrossRef]
- Vaganov, E.A.; Porfiryev, B.N.; Shirov, A.A.; Kolpakov, A.Y.; Pyzhev, A.I. Assessment of the Contribution of Russian Forests to Climate Change Mitigation. Ekon. Reg. 2021, 17, 1096–1109. [Google Scholar] [CrossRef]
- Dobrynin, D.; Jarlebring, N.Y.; Mustalahti, I.; Sotirov, M.; Kulikova, E.; Lopatin, E. The Forest Environmental Frontier in Russia: Between Sustainable Forest Management Discourses and “Wood Mining” Practice. Ambio 2021, 50, 2138–2152. [Google Scholar] [CrossRef]
- Pyzhev, A.I. Impact of the Ownership Regime on Forest Use Efficiency: Cross-Country Analysis. J. Inst. Stud. 2019, 11, 182–193. (In Russian) [Google Scholar] [CrossRef]
- Trishkin, M.; Lopatin, E.; Shmatkov, N.; Karjalainen, T. Assessment of Sustainability of Forest Management Practices on the Operational Level in Northwestern Russia—A Case Study from the Republic of Karelia. Scand. J. For. Res. 2017, 32, 620–632. [Google Scholar] [CrossRef]
- Trishkin, M.; Karjalainen, T.; Kangas, J. An Analysis of the Non-Conformities of Certified Companies Operating in Northwestern Russia. Forests 2019, 10, 1061. [Google Scholar] [CrossRef]
- Petrov, V.; Katkova, T.; Karvinen, S. Comparative Analysis of Forestry Economic Indicators of Russia and Finland. HSE Econ. J. 2018, 22, 294–319. [Google Scholar] [CrossRef]
- Gordeev, R. Comparative Advantages of Russian Forest Products on the Global Market. For. Policy Econ. 2020, 119, 102286. [Google Scholar] [CrossRef]
- Gordeev, R.V.; Pyzhev, A.I.; Yagolnitser, M.A. Drivers of Spatial Heterogeneity in the Russian Forest Sector: A Multiple Factor Analysis. Forests 2021, 12, 1635. [Google Scholar] [CrossRef]
- Glazyrina, I.; Zabelina, I.; Faleychik, L. Spatial Heterogeneity of «Green» Economy and Transaction Costs in Forestry. IOP Conf. Ser. Mater. Sci. Eng. 2020, 753, 082020. [Google Scholar] [CrossRef]
- Antonova, N. Forest Complex of the Far East: Is There Groundwork for Future Development? ECO 2019, 5, 27–47. (In Russian) [Google Scholar] [CrossRef]
- Glazyrina, I.P.; Yakovleva, K.A.; Zhadina, K.A. Social and Economic Effectiveness of the Forest Use in the Russian Regions. Regionalistica 2015, 2, 18–33. (In Russian) [Google Scholar] [CrossRef]
- Antonova, N. Transformation of the Forest Complex during the Years of Russian Reforms: The Far Eastern Viewpoint. Spat. Econ. 2017, 3, 83–106. [Google Scholar] [CrossRef]
- Pyzhev, A.I.; Gordeev, R.V.; Vaganov, E.A. Reliability and Integrity of Forest Sector Statistics—A Major Constraint to Effective Forest Policy in Russia. Sustainability 2020, 13, 86. [Google Scholar] [CrossRef]
- Lapo, V.F. Efficiency of Investment Stimulation Methods in a Timber Industry Complex: An Econometric Research. Appl. Econom. 2014, 1, 30–50. (In Russian) [Google Scholar]
- Lapo, V.F. Regions’ Competition for Investment Projects in Forest Development. Spat. Econ. 2014, 2, 75–92. (In Russian) [Google Scholar] [CrossRef][Green Version]
- Kolesnikova, A. The Effect of Prior Investment Projects Mechanism on the Development of Forest-industry Complex in the Siberian and the Far East Federal Districts. ECO 2015, 8, 81–102. [Google Scholar] [CrossRef]
- Glazyrina, I.P.; Zabelina, I.A.; Klevakina, E.A. An Environmental Component of Economic Development: The Border Regions of Russia and China. EKO 2014, 6, 5–24. (In Russian) [Google Scholar] [CrossRef]
- Ivantsova, E.D.; Pyzhev, A.I. Factors of success of priority investment projects in the sphere of forest exploitation in Russia: Econometric analysis. Russ. J. Econ. Law 2022, 16, 315–330. [Google Scholar] [CrossRef]
- Matilainen, A.-M. Forest Companies, Corporate Social Responsibility, and Company Stakeholders in the Russian Forest Sector. For. Policy Econ. 2013, 31, 44–49. [Google Scholar] [CrossRef]
- Labunets, I.E.; Mayburov, I.A. The Impact of the Size of Enterprises on Tax Evasion in the Forestry Industry of Russia. J. Tax Reform 2022, 8, 88–101. [Google Scholar] [CrossRef]
- Labunets, I.E.; Mayburov, I.A. Tax control of vat refund in Russia and in the Scandinavian countries on the example of timber industries. Tyumen State Univ. Herald. Soc. Econ. Law Res. 2020, 6, 168–192. [Google Scholar] [CrossRef]
- Roslesinforg. Roslesinforg Identified Leaders among Forestry Companies. Available online: https://roslesinforg.ru/news/all/3892/ (accessed on 27 October 2022).
- Federal State Statistics Service of Russia. Edinaya Mezhvedomstvennaya Informatsionno—Spravochnaya Systema—EMISS. (Unified Interagency Information and Statistical System. State Statistics). Available online: https://www.fedstat.ru/ (accessed on 23 September 2021).
- Loupian, E.A.; Bartalev, S.A.; Balashov, I.V.; Egorov, V.A.; Ershov, D.V.; Kobets, D.A.; Senko, K.S.; Stytsenko, F.V.; Sychugov, I.G. Satellite Monitoring of Forest Fires in the 21st Century in the Territory of the Russian Federation (Facts and Figures Based on Active Fires Detection). Sovrem. Probl. Distantsionnogo Zondirovaniya Zemli Kosm. 2017, 14, 158–175. [Google Scholar] [CrossRef]
- Loupian, E.; Balashov, I.V.; Bartalev, S.A.; Burtsev, M.A.; Dmitriev, V.V.; Senko, K.S.; Krasheninnikova, Y.S. Forest Fires in Russia: Specifics of the 2019 Fire Season. Sovrem. Probl. Distantsionnogo Zondirovaniya Zemli Kosm. 2019, 16, 356–363. (In Russian) [Google Scholar] [CrossRef]
- Li, Y.; Mei, B.; Linhares-Juvenal, T. The Economic Contribution of the World’s Forest Sector. For. Policy Econ. 2019, 100, 236–253. [Google Scholar] [CrossRef]
- Lippe, R.S.; Schweinle, J.; Cui, S.; Gurbuzer, Y.; Katajamäki, W.; Villarreal-Fuentes, M.; Walter, S. Contribution of the Forest Sector to Total Employment in National Economies: Estimating the Number of People Employed in the Forest Sector; FAO: Rome, Italy; ILO: Geneva, Switzerland, 2022; ISBN 978-92-5-136996-8. [Google Scholar]
- The World’s Largest Plywood Producer Reported Underutilization of up to 80%. Available online: https://www.rbc.ru/business/23/06/2022/62b4284d9a7947015ef6a86a (accessed on 31 October 2022).
- Transparent Business. Available online: https://pb.nalog.ru/index.html (accessed on 31 October 2022).
- The Federal Law № 209-FZ On the Development of Small and Medium Entrepreneurship in the Russian Federation. Available online: http://kremlin.ru/acts/bank/25971 (accessed on 31 October 2022).
- Maire, C.; Boscovich, R.G. De Litteraria Expeditione per Pontificiam Ditionem ad Dimetiendos duos Meridiani Gradus et Corrigendam Mappam Geographicam, Iussu et Auspiciis Benedicti XIV Pont. Max; In Typographio Palladis excudebant N. et M. Palearini: Rome, Italy, 1755. [Google Scholar]
- Barrodale, I.; Roberts, F.D.K. An Improved Algorithm for Discrete l1 Linear Approximation. SIAM J. Numer. Anal. 1973, 10, 839–848. [Google Scholar] [CrossRef]
- Wesolowsky, G.O. A New Descent Algorithm for the Least Absolute Value Regression Problem: A New Descent Algorithm for the Least Absolute Value. Commun. Stat. Simul. Comput. 1981, 10, 479–491. [Google Scholar] [CrossRef]
- Koenker, R. Quantile Regression; Cambridge University Press: Cambridge, UK, 2005; ISBN 978-0-521-60827-5. [Google Scholar]
- Koenker, R.; Chernozhukov, V.; He, X.; Peng, L. (Eds.) Handbook of Quantile Regression; Chapman and Hall/CRC: New York, NY, USA, 2017; ISBN 978-1-315-12025-6. [Google Scholar]
- Quantreg: Quantile Regression. 2022. Available online: https://cran.r-project.org/package=quantreg (accessed on 11 December 2022).
- R Core Team. R: A Language and Environment for Statistical Computing. Available online: https://www.r-project.org/ (accessed on 23 September 2021).
- John, O. Robustness of Quantile Regression to Outliers. Am. J. Appl. Math. Stat. 2015, 3, 86–88. [Google Scholar] [CrossRef]
- Federal State Statistics Service of Russia. Labor Force, Employment, and Unemployment in Russia; Rosstat: Mocow, Russia, 2022.
- Informal Employment in the Logging Industry in the Region Decreased by 40%. Available online: http://gorodkirov.ru/news/neformalnaya-zanyatost-v-lesozagotovke-po-regionu-snizilas-na-40-20191129-2145/ (accessed on 9 November 2022).
- Council Regulation (EU) 2022/576 of 8 April 2022 Amending Regulation (EU) No 833/2014 Concerning Restrictive Measures in View of Russia’s Actions Destabilising the Situation in Ukraine, Volume 111. 2022. Available online: https://eur-lex.europa.eu/eli/reg/2022/576/oj (accessed on 11 December 2022).
- Downtime is Such Forest. Available online: https://www.kommersant.ru/doc/5284003 (accessed on 11 November 2022).
- The Sveza Ural Plant Resumed Production. Available online: https://www.kommersant.ru/doc/5422503 (accessed on 11 November 2022).
- Reuters. IKEA Lets around 10,000 Staff Go in Russia—AFP. Reuters 2022. Available online: https://www.reuters.com/business/retail-consumer/ikea-lets-around-10000-staff-go-russia-afp-2022-10-13/ (accessed on 11 December 2022).
- Lumberjack Will Be Sent Home. Available online: https://vedomosti-spb.ru/economics/articles/2022/09/15/941050-lesopererabotku-otpravyat-domoi (accessed on 11 November 2022).
- There Will Be No Mass Layoffs in the Timber Industry in the Leningrad Oblast. Available online: https://newprospect.ru/news/aktualno-segodnya/massovykh-sokrashcheniy-v-lesopromyshlennom-komplekse-lenoblasti-ne-budet/ (accessed on 11 November 2022).
- Pyzheva, Y.I. Sustainable Development of Single-Industry Towns in Siberia and the Russian Far East: What Is the Price of Regional Economic Growth? J. Sib. Fed. Univ. Humanit. Soc. Sci. 2020, 13, 582–590. [Google Scholar] [CrossRef]
- Center for Strategic Research City-Forming Enterprises of Single-Industry Towns: Mechanisms of Adaptation to the Risks of the First Half of 2022. Available online: https://www.csr.ru/ru/publications/gradoobrazuyushchie-predpriyatiya-monogorodov-mekhanizmy-adaptatsii-k-riskam-pervoy-poloviny-2022-goda/ (accessed on 10 November 2022).
- A Strong Ruble Broke the Business of Timber Producers. Available online: https://konkurent.ru/article/51234 (accessed on 11 November 2022).
- The Timber Industry in the Far East Has Begun to Lay Off Workers. Available online: https://forestcomplex.ru/forestry/v-lesnoj-otrasli-dalnego-vostoka-nachalis-sokrashheniya/ (accessed on 11 November 2022).
- Center for Strategic Research. Regional Labor Markets in the New Economic Conditions. Available online: https://www.csr.ru/ru/publications/regionalnye-rynki-truda-v-novykh-ekonomicheskikh-usloviyakh/ (accessed on 10 November 2022).
- Gimpelson, V.E. Wages and labor market flows in times of the corona crisis. Vopr. Èkon. 2022, 2, 69–94. [Google Scholar] [CrossRef]
- Kapeliushnikov, R.I. The anatomy of the corona crisis through the lens of the labor market adjustment. Vopr. Èkon. 2022, 2, 33–68. [Google Scholar] [CrossRef]
- Horak, J. Sanctions as a Catalyst for Russia’s and China’s Balance of Trade: Business Opportunity. J. Risk Financ. Manag. 2021, 14, 36. [Google Scholar] [CrossRef]
- Li, Z.; Li, T. Economic Sanctions and Regional Differences: Evidence from Sanctions on Russia. Sustainability 2022, 14, 6112. [Google Scholar] [CrossRef]
- Ministry of Environment, Forest and Climate Change of India. Ban on Single Use Plastic in India: Step towards Clean India, Green India; Ministry of Environment, Forest and Climate Change of India: New Delhi, India, 2022; 6p.
- Salama, M.; Hana, A. Sustainable Construction, Green Building Strategic Model. In Principles of Sustainable Project Management; Salama, M., Ed.; Goodfellow Publishers: Oxford, UK, 2018; ISBN 978-1-911396-85-7. [Google Scholar]
- Varin, S. Comparing the Predictive Performance of OLS and 7 Robust Linear Regression Estimators on a Real and Simulated Datasets. Int. J. Eng. Appl. Sci. Technol. 2021, 5, 9–23. [Google Scholar] [CrossRef]
- Abdullahi, I.; Yahaya, A. Analysis of Quantile Regression as Alternative to Ordinary Least Squares. Int. J. Adv. Stat. Probab. 2015, 3, 138. [Google Scholar] [CrossRef]
- Zhilnikova, I. Supply and Demand in the Forest Industry Labor Market in 2019. Available online: https://hh.ru/article/26118 (accessed on 7 September 2021).
- Ivantsova, E.D.; Pyzhev, A.I.; Zander, E.V. Economic Consequences of Insect Pests Outbreaks in Boreal Forests: A Literature Review. J. Sib. Fed. Univ. Humanit. Soc. Sci. 2019, 12, 627–642. [Google Scholar] [CrossRef]
- Soukhovolsky, V.; Kovalev, A.; Tarasova, O.; Modlinger, R.; Křenová, Z.; Mezei, P.; Škvarenina, J.; Rožnovský, J.; Korolyova, N.; Majdák, A.; et al. Wind Damage and Temperature Effect on Tree Mortality Caused by Ips Typographus L.: Phase Transition Model. Forests 2022, 13, 180. [Google Scholar] [CrossRef]
- Ministry of Economic Development of the Russian Federation Forecast of Socio-Economic Development of the Russian Federation for 2023 and for the Planning Period 2024 and 2025. Available online: https://www.economy.gov.ru/material/directions/makroec/prognozy_socialno_ekonomicheskogo_razvitiya/prognoz_socialno_ekonomicheskogo_razvitiya_rossiyskoy_federacii_na_2023_god_i_na_planovyy_period_2024_i_2025_godov.html (accessed on 10 November 2022).
- Export of the Vologda Region’s Timber Industry Products Is Planned to Be Restored in 2023. Available online: https://tass.ru/ekonomika/16295197 (accessed on 11 November 2022).
- Six Months into War, Russian Goods Still Flowing to US. AP News 2022. Available online: https://apnews.com/article/russia-ukraine-putin-biden-baltimore-only-on-ap-81a34ce2eecebe491f52ace380ce87fb (accessed on 25 October 2022).
- How Russian Timber Bypasses U.S. Sanctions by Way of Vietnam. Washington Post 2022. Available online: https://www.washingtonpost.com/world/2022/10/01/russia-sanctions-birch-wood-vietnam-china/ (accessed on 25 October 2022).




| Company | Regions of Logging | Logging Volume, mln Cubic Meters (cbm) | Share in National Logging, % |
|---|---|---|---|
| Ilim Group | Irkutsk Oblast, Krasnoyarsk Krai, Arkhangelsk Oblast, Komi Republic, Vologda Oblast | 12.0 | 5.6% |
| Segezha Group | Kirov Oblast, Krasnoyarsk Krai, Arkhangelsk Oblast, Karelia Republic, Vologda Oblast | 6.1 | 2.8% |
| Titan Group | Arkhangelsk Oblast, Komi Republic, Vologda Oblast | 4.0 | 1.8% |
| Ustyanskiy Timber Industry Complex LLC | Arkhangelsk Oblast, Novgorod Oblast, Vologda Oblast | 3.2 | 1.5% |
| Mondi Syktyvkar | Komi Republic, Arkhangelsk Oblast | 3.2 | 1.5% |
| Total | 28.6 | 13.2% |
| Region | Forest Growing Stock | Cuts | ||
|---|---|---|---|---|
| Volume, mln cbm | Share | Volume, mln cbm | Share | |
| Asian Russia | 61,569 | 74.7% | 104.7 | 46.5% |
| European Russia | 20,854 | 25.3% | 120.3 | 53.5% |
| Product | Measurement Units | Production Volumes | Share in All-Russian Volumes, % |
|---|---|---|---|
| Wood in the rough | mln cbm | 81.0 | 41% |
| Sawnwood | mln cbm | 17.2 | 53% |
| Plywood | thousands of cbm | 676.4 | 15% |
| Particle board | thousands of cbm | 953.9 | 9% |
| Fibreboard | mln squared meters | 99.9 | 19% |
| Pulp | mln tons | 2.5 | 28% |
| Paper and paperboard | mln tons | 0.6 | 6% |
| Furniture | billions rubles | 28.6 | 13% |
| OKVED2 Code | Activity | Total Number | Number of Firms by Size of Business (Classification by Revenue, mln Rubles) | |||
|---|---|---|---|---|---|---|
| Micro (<120) | Small (120–800) | Medium (800–2000) | Large (>2000) | |||
| 02.1 | Forestry | 307 | 287 | 19 | 1 | 0 |
| 02.2 | Logging | 1024 | 859 | 140 | 17 | 8 |
| 16.1 | Sawing and planing of wood | 1182 | 1036 | 113 | 18 | 15 |
| 16.2 | Manufacture of wood products | 728 | 662 | 55 | 6 | 5 |
| 17 | Manufacture of pulp, paper and paper products | 302 | 231 | 51 | 13 | 7 |
| 31.0 | Manufacture of furniture | 1132 | 1079 | 47 | 5 | 1 |
| All companies | 4675 | 4154 | 425 | 60 | 36 | |
| Activity | All Firms | Forestry | Logging | Manufacture | |||
|---|---|---|---|---|---|---|---|
| Sawnwood | Wood Products | Pulp, Paper, Paper Products | Furniture | ||||
| OKVED2 code | — | 02.1 | 02.2 | 16.1 | 16.2 | 17 | 31.0 |
| Model number | (1) | (2) | (3) | (4) | (5) | (6) | (7) |
| Intercepts | |||||||
| OLS | 9.0 *** | 2.18 *** | 2.429 *** | 2.191 *** | 1.725 *** | 2.984 *** | 1.473 *** |
| (0.030) | (0.120) | (0.070) | (0.070) | (0.085) | (0.128) | (0.069) | |
| Q1 | 7.86 *** | 1.358 *** | 1.326 *** | 1.009 *** | 0.434 *** | 1.806 *** | 0.494 *** |
| (0.048) | (0.204) | (0.101) | (0.087) | (0.128) | (0.186) | (0.119) | |
| Q2 | 9.08 *** | 2.301 *** | 2.624 *** | 2.308 *** | 1.785 *** | 3.095 *** | 1.519 *** |
| (0.037) | (0.126) | (0.071) | (0.079) | (0.099) | (0.155) | (0.058) | |
| Q3 | 10.079 *** | 3.263 *** | 3.587 *** | 3.334 *** | 2.842 *** | 4.147 *** | 2.404 *** |
| (0.031) | (0.113) | (0.077) | (0.067) | (0.085) | (0.103) | (0.055) | |
| Slope coefficients | |||||||
| OLS | 0.011 *** | 0.0189 *** | 0.014 *** | 0.009 *** | 0.0078 *** | 0.0106 *** | 0.0348 *** |
| (0.0004) | (0.006) | (0.0018) | (0.002) | (0.0026) | (0.002) | (0.0064) | |
| Q1 | 0.012 *** | 0.0258 | 0.014 *** | 0.0103 *** | 0.008 | 0.0097 *** | 0.046 *** |
| (0.002) | (0.0158) | (0.0017) | (0.003) | (0.005) | (0.003) | (0.016) | |
| Q2 | 0.022 *** | 0.0269 *** | 0.019 *** | 0.014 *** | 0.018 *** | 0.013 ** | 0.059 *** |
| (0.001) | (0.006) | (0.002) | (0.004) | (0.005) | (0.005) | (0.001) | |
| Q3 | 0.027 *** | 0.0288 *** | 0.023 *** | 0.0194 *** | 0.0266 *** | 0.019 *** | 0.061 *** |
| (0.0003) | (0.007) | (0.0019) | (0.0004) | (0.003) | (0.0005) | (0.001) | |
| Adjusted R2 (OLS) | 0.15 | 0.14 | 0.20 | 0.17 | 0.12 | 0.22 | 0.20 |
| Observations | 4675 | 307 | 1024 | 1182 | 728 | 302 | 1132 |
| Forestry and Logging Sector | Woodworking Sector | Pulp and Paper Sector | Furniture Sector | Total | |
|---|---|---|---|---|---|
| Russian Federation | 413.7 | 604.0 | 165.8 | 372.6 | 1556.2 |
| Asian Russia | 184.1 | 158.1 | 24.0 | 71.3 | 437.5 |
| Ural F.D. | 37.9 | 46.9 | 6.6 | 32.3 | 123.6 |
| Siberian F.D. | 93.6 | 88.7 | 14.0 | 30.6 | 226.9 |
| Far Eastern F.D. | 52.6 | 22.6 | 3.4 | 8.4 | 87.0 |
| Share of Asian Russia in national total | 44% | 26% | 14% | 19% | 28% |
| Potential Losses, Average Number of Employees | ||||
|---|---|---|---|---|
| 1 | 2 | 3 | ||
| Potential losses, revenue share | Q1 | 1.2% | 2.4% | 3.6% |
| Q2 | 2.2% | 4.4% | 6.6% | |
| Q3 | 2.7% | 5.4% | 8.1% | |
Publisher’s Note: MDPI stays neutral with regard to jurisdictional claims in published maps and institutional affiliations. |
© 2022 by the authors. Licensee MDPI, Basel, Switzerland. This article is an open access article distributed under the terms and conditions of the Creative Commons Attribution (CC BY) license (https://creativecommons.org/licenses/by/4.0/).
Share and Cite
Gordeev, R.V.; Pyzhev, A.I. Social and Economic Importance of Forest Companies in Asian Russia: Evidence from Corporate Financial Reporting. Forests 2022, 13, 2151. https://doi.org/10.3390/f13122151
Gordeev RV, Pyzhev AI. Social and Economic Importance of Forest Companies in Asian Russia: Evidence from Corporate Financial Reporting. Forests. 2022; 13(12):2151. https://doi.org/10.3390/f13122151
Chicago/Turabian StyleGordeev, Roman V., and Anton I. Pyzhev. 2022. "Social and Economic Importance of Forest Companies in Asian Russia: Evidence from Corporate Financial Reporting" Forests 13, no. 12: 2151. https://doi.org/10.3390/f13122151
APA StyleGordeev, R. V., & Pyzhev, A. I. (2022). Social and Economic Importance of Forest Companies in Asian Russia: Evidence from Corporate Financial Reporting. Forests, 13(12), 2151. https://doi.org/10.3390/f13122151

