Root Development in Cunninghamia lanceolata and Schima superba Seedlings Expresses Contrasting Preferences to Nitrogen Forms
Abstract
1. Introduction
2. Materials and Methods
2.1. Plant Materials
2.2. Experimental Setup
2.3. Plant Harvesting and Data Collection
2.4. Data Analysis
3. Results
3.1. Significance Test of the Effects of Tree Species and Different Ratios of N Forms on the Seedlings’ Growth and the Roots’ Morphological Parameters
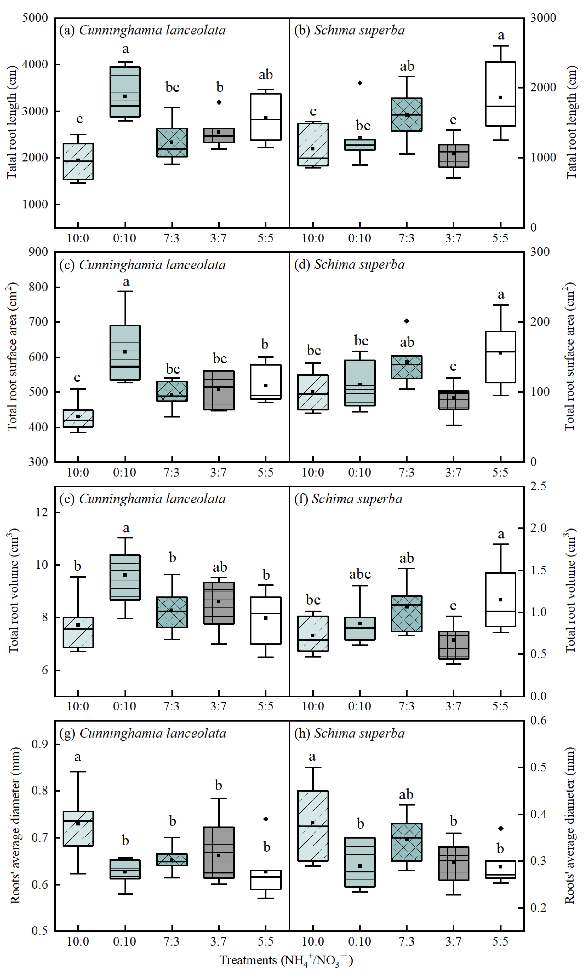
3.2. Effects of Different N Forms on Root Morphology in the Two Tree Species
3.3. Effects of Different N Forms on Biomass in the Two Tree Species
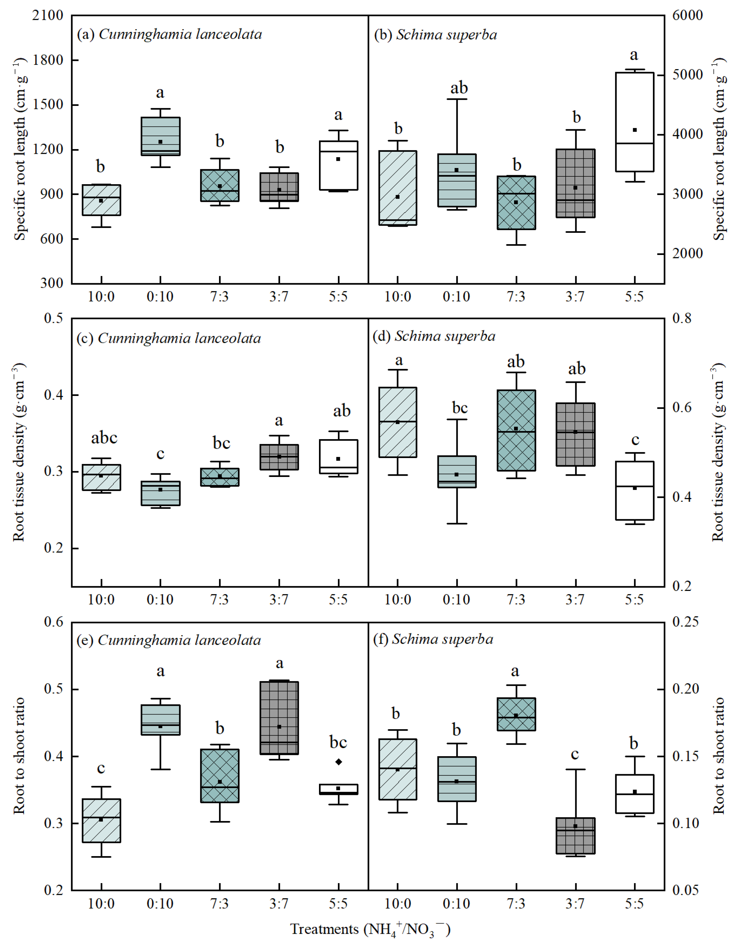
3.4. Effects of Different N Forms on Root Abundance in the Two Tree Species
3.5. Effects of Different N Forms on Aboveground Growth in the Two Tree Species
3.6. Redundancy Analysis of Ammonium and Nitrate N Concentrations with Root and Growth Parameters
4. Discussion
4.1. Effects of Different N Forms on Root Morphology in Different Tree Species
4.2. Effects of Different N Forms on Biomass and Root Abundance in Different Tree Species
4.3. Effects of Different N Forms on the Growth of Different Tree Species
5. Conclusions
Author Contributions
Funding
Institutional Review Board Statement
Informed Consent Statement
Data Availability Statement
Acknowledgments
Conflicts of Interest
References
- Zhou, X.; Fu, Y.; Zhou, L.; Li, B.; Luo, Y. An imperative need for global change research in tropical forests. Tree Physol. 2013, 33, 903–912. [Google Scholar] [CrossRef] [PubMed]
- Ma, Y.; Li, Y.; Nurbiye, A. Temporal and spatial distribution characteristics of soil ammonium and nitrate Nitrogen in different plant communities in the Ebinur Lake Wetland. Henan Sci. Tech. 2019, 26, 150–156. [Google Scholar]
- Ou, J.; Liu, Y.; Zhang, J.; Cui, N.; Zhang, J.; Song, X.; Deng, C. Early responses of soil ammonium and nitrate nitrogen to forest gap harvesting of a Pinus massoniana plantation in the upper reaches of Yangtze River. Chin. J. Appl. Envir. Biol. 2015, 21, 147–154. [Google Scholar]
- Sun, M.; Lu, X.; Cao, X.; Li, J.; Xiong, J.; Xie, S. Effect of different Nitrogen forms on root growth and dynamic kinetics characteristics for Citrus sinensis × Poncirus trifoliata. Scit. Silvae Sin. 2015, 51, 113–120. [Google Scholar]
- Wang, Y.; Yao, R. Effects of different nitrogen forms and ratios on growth of tissue cultured seedlings in Pinus massoniana. J. Cent. South Univ. For. Technol. 2021, 41, 18–24+71. [Google Scholar]
- Jia, L.; Chen, G.; Zhang, L.; Chen, T.; Jiang, Q.; Chen, Y.; Fan, A.; Wang, X. Plastic responses of fine root morphology and architecture traits to nitrogen addition in ectomycorrhizal and arbuscular mycorrhizal tree species in an evergreen broadleaved forest. Chin. J. Appl. Ecol. 2021, 32, 529–537. [Google Scholar]
- Lin, S.; Shao, L.; Hui, C.; Sandhu, H.; Fan, T.; Zhang, L.; Li, F.; Ding, Y.; Shi, P. The effect of temperature on the developmental rates of seedling emergence and leaf-unfolding in two dwarf bamboo species. Trees 2018, 32, 757–763. [Google Scholar] [CrossRef]
- Yan, X.; Hu, W.; Ma, Y.; Huo, Y.; Wang, T.; Ma, X. Nitrogen Uptake Preference of Cunninghamia lanceolata, Pinus massoniana and Schima superba under Heterogeneous Nitrogen Supply Environment and their Root Foraging Strategies. Scit. Silvae Sin. 2020, 56, 1–11. [Google Scholar]
- Qiao, Y.; Miao, S.; Han, X. Effects of nitrogen form on soybean root morphological characters and H+ release. Soybean Sci. 2006, 25, 265–269. [Google Scholar]
- Liu, C.; Cui, X.; Guo, Y.; Zheng, H. Effects of different ratios of NH4+-N/NO3− -N on growth of Larix gmelinii seedlings. J. Northeast For. Univ. 2011, 39, 28–30. [Google Scholar]
- Ye, Y.; Luo, H.; Li, M.; Liu, X.; Cao, G.; Xu, S. Effects of nitrogen forms on lateral roots development and photosynthetic characteristics in leaves of Cunninghamia lanceoata seedlings. Acta Bot. Boreal. Occident. Sin. 2018, 38, 2036–2044. [Google Scholar]
- Domenicano, S.; Coll, L.; Messier, C.; Berninfer, F. Nitrogen forms affect root structure and water uptake in the hybrid poplar. New For. 2011, 42, 347–362. [Google Scholar] [CrossRef]
- Hilbert, D. Optimization of plant root: Shoot ratios and internal nitrogen concentration. Ann. Bot. 1990, 66, 91–99. [Google Scholar] [CrossRef]
- Gedroc, J.; McConnaughay, K.; Coleman, J. Plasticity in root/shoot partitioning: Optimal, ontogenetic, or both? Func. Ecol. 1996, 10, 44–50. [Google Scholar] [CrossRef]
- Hermans, C.; Hammond, J.; White, P.; Verbruggen, N. How do plants respond to nutrient shortage by biomass allocation? Trends Plant Sci. 2006, 11, 610–617. [Google Scholar] [CrossRef]
- McCarthy, M.; Enquist, B. Consistency between an allometric approach and optimal partitioning theory in global patterns of plant biomass allocation. Func. Ecol. 2007, 21, 713–720. [Google Scholar] [CrossRef]
- Kobe, R.; Iyer, M.; Walters, M. Optimal partitioning theory revisited: Nonstructural carbohydrates dominate root mass responses to nitrogen. Ecology 2010, 91, 166–179. [Google Scholar] [CrossRef]
- Wang, Z.; Cheng, L.; Wang, M.; Sun, J.; Zhong, Q.; Li, M.; Cheng, D. Fine root traits of woody plants in deciduous forest of the Wuyi Mountains. Acta Ecol. Sin. 2018, 38, 1–10. [Google Scholar]
- Zhang, X.; Xing, Y.; Yan, G.; Wang, Q. Response of fine roots to precipitation change: A meta-analysis. Chin. J. Plant Ecol. 2018, 42, 164–172. [Google Scholar]
- Tuan, D.; Shen, Y.; Kang, W.; Xiang, W.; Yan, W.; Deng, X. Characteristics of nutrient cycling in first and second rotations of Chinese fir plantations. Acta Ecol. Sin. 2011, 31, 5025–5032. [Google Scholar]
- Suo, P.; Du, D.; Wang, Y.; Hu, Y.; Liu, X. Effects of successive rotation Chinese fir plantations on soil nitrogen content and soil enzyme activities related to nitrogen transformation. J. For. Envir. 2019, 39, 113–119. [Google Scholar]
- Wan, X.; Huang, Z.; He, Z.; Hu, Z.; Yang, J.; Yu, Z.; Wang, M. Effects of broadleaf plantation and Chinese fir (Cunninghamia lanceolata) plantation on soil carbon and nitrogen pools. Chin. J. Appl. Ecol. 2013, 24, 345–350. [Google Scholar]
- Hao, F.; Liu, X.; Fan, J. Study on key enzyme activity in nitrogen metabolism and the content of molybdenum and iron in alfalfa under different NO3−-N/NH4+-N ratio. Agric. Res. Arid. Areas 2017, 35, 190–197. [Google Scholar]
- Wu, P.; Ma, X.; Tigabu, M.; Wang, C.; Liu, A.; Odén, P. Root morphological plasticity and biomass production of two Chinese fir clones with high phosphorus efficiency under low phosphorus stress. Can. J. For. Res. 2011, 41, 228–234. [Google Scholar] [CrossRef]
- Zhang, J.; Sheng, W.; Xiong, Y.; Wan, X. Effects of fertilization on soil nutrient content of potted Chinese Fir seedling. Sci. Silv. Sin. 2006, 42, 44–50. [Google Scholar]
- Meng, S. Nitrogen Dynamic Uptake and Genetic Expression of Translocator of Tree Species in Fine Roots. Ph.D. Thesis, Northwest Agricultural and Forestry University, Yangling, China, 2016. [Google Scholar]
- Liu, Z.; Lin, W.; Yang, Z.; Lin, T.; Liu, X.; Chen, Y.; Yang, Y. Effects of soil warming and nitrogen deposition on available nitrogen in a young Cunninghamia lanceolata stand in mid-subtropical China. Acta Ecol. Sin. 2017, 37, 44–53. [Google Scholar]
- Ma, X. Research on Adaptability and Foraging Behavior of Different Afforestation Species to Soil Nutrient Heterogeneity. Master’s Thesis, Chinese Academy of Forestry, Beijing, China, 2009. [Google Scholar]
- Yao, J.; Chu, X.; Zhou, Z.; Tong, J.; Wang, H.; Yu, J. Effects of neighbor competition on growth, fine root morphology and distribution of Schima superba and Cunninghamia lanceolata in different nutrient environments. Chin. J. Appl. Ecol. 2017, 28, 1441–1447. [Google Scholar]
- Zheng, C. Study on nutrient characteristics of soil in the forest and rhizosphere of Schima Schima and Chinese fir mixed forest. Wuyi Sci. J. 2006, 22, 123–126. [Google Scholar]
- Xu, X.; Li, Q.; Wang, J.; Zhang, L.; Tian, S.; Zhi, L.; Li, Q.; Sun, Y. Inorganic and organic nitrogen acquisition by a fern Dicranopteris dichotoma in a subtropical forest in South China. PLoS ONE 2014, 9, e90075. [Google Scholar] [CrossRef]
- Giehl, R.; Von Wirén, N. Root nutrient foraging. Plant Physiol. 2014, 166, 509–517. [Google Scholar] [CrossRef]
- Wang, Y.; Hsu, P.; Tsay, Y. Uptake, allocation and signaling of nitrate. Trends Plant Sci. 2012, 17, 458–467. [Google Scholar] [CrossRef]
- Li, S.; Zhou, L.; Wu, S.; Sun, M.; Ding, G.; Lin, S. Effects of different nitrogen forms on nutrient uptake and distribution of Cunninghamia lanceolata plantlets under drought stress. J. Plant Nut. Fert. 2020, 26, 152–162. [Google Scholar]
- Li, L.; Zheng, S.; Xu, J.; Wu, P. Research Advance in Influence Mechanism of Tree Root Biomass Allocation. World For. Res. 2022, 35, 15–20. [Google Scholar]
- Zhang, X.; Xing, Y.; Wang, Q.; Yan, G.; Wang, M.; Liu, G.; Wang, H.; Huang, B.; Zhang, J. Effects of long-term nitrogen addition and decreased precipitation on the fine root morphology and anatomy of the main tree species in a temperate forest. Forest Ecol. Mana. 2020, 455, 117664. [Google Scholar] [CrossRef]
- Yan, G.; Chen, F.; Zhang, X.; Wang, J.; Han, S.; Xing, Y.; Wang, Q. Spatial and temporal effects of nitrogen addition on root morphology and growth in a boreal forest. Geoderma 2017, 303, 178–187. [Google Scholar] [CrossRef]
- Gan, H. The Molecular and Physiological Basis Underlying Acquisition of Nitrogen and Phosphorus in Fine Roots of Poplars. Ph.D. Thesis, Northwest Agricultural and Forestry University, Yangling, China, 2016. [Google Scholar]
- Wang, J. Root Competition and Allelopathic Effects of Cunninghamia lanceolata and Phoebe chekiangensis under the Simulated Nitrogen Deposition. Master’s Thesis, Zhejiang Agriculture and Forestry University, Lin’an, China, 2021. [Google Scholar]
- Zhang, R.; Wang, Y.; Zhou, Z.; Feng, Z. Nitrogen addition affects root growth, phosphorus and nitrogen efficiency of three provenances of Schima superba in barren soil. Acta Ecol. Sin. 2013, 33, 3611–3621. [Google Scholar] [CrossRef]
- Li, B.; Zhu, Q.; Pan, Y.; Jin, A.; Gao, Y.; Pan, Y.; Wang, Z. Research progress on plant growth strategies based on biomass allocation patterns. J. Green Sci. Tech. 2022, 24, 29–32+41. [Google Scholar]
- Wang, J.; Guan, X.; Zhang, W.; Huang, K.; Zhu, M.; Yang, Q. Responses of biomass allocation patterns to nitrogen addition of Cunninghamia lanceolata seedlings. Chin. J. Plant Ecol. 2021, 45, 1231–1240. [Google Scholar] [CrossRef]
- Shi, Z.; Xiong, D.; Feng, J.; Xu, C.; Zhong, B.; Deng, F.; Chen, Y.; Chen, G.; Yang, Y. Ecophysiological effects of simulated nitrogen deposition on fine roots of Chinese fir (Cunninghamia lanceolata) seedlings. Acta Ecol. Sin. 2017, 37, 74–83. [Google Scholar]
- Wang, J.; Yu, S.; Hao, Q.; Cao, Y.; Ge, Z.; Mao, L. Distribution differences of fine root biomass and morphology in subtropical secondary forest at different forest ages. J. Northwest Agric. For. Univ. 2021, 49, 38–46. [Google Scholar]
- Yao, J.; Zhou, Z.; Chu, X.; Xu, H.; Tong, J. Effect of neighborhood competition on dry matter accumulation, nitrogen and phosphorus efficiency of three provenances of Schima superba in a heterogeneous nutrient environment. Acta Ecol. Sin. 2018, 38, 1780–1788. [Google Scholar]
- Dhiman, I.; Bilheux, H.; DeCarlo, K.; Painter, S.L.; Santodonato, L.; Warren, J.M. Quantifying root water extraction after drought recovery using sub-mm in situ empirical data. Plant Soil 2018, 424, 73–89. [Google Scholar] [CrossRef]
- Zheng, Y.; Wen, Z.; Song, G.; Ding, M. The influence of environment and phylogenic background on variation in leaf and fine root traits in the Yanhe River catchment, Shaanxi, China. Acta Ecol. Sin. 2014, 34, 2682–2692. [Google Scholar]
- Zhang, L. Plastic Responses of Fine Root Traits to N and Pin Ectomycorrhizal and Arbuscular Mycorrhizal Tree Species in an Evergreen Broadleaved Forest. Master’s Thesis, Fujian Normal University, Fuzhou, China, 2019. [Google Scholar]
- Jia, L.; Chen, G.; Zhang, L.; Chen, T.; Jiang, Q.; Chen, Y.; Fan, A.; Wang, X. Plastic responses of fine root morphological traits of Castanopsis fabri and Castanopsis carlesii to short-term nitrogen addition. Chin. J. Appl. Ecol. 2019, 30, 4003–4011. [Google Scholar]
- Xie, Y. Morphological and Chemometrics of Schima superb Seeding Fine Root in Response of Nitrogen Deposition. Master’s Thesis, Fujian Normal University, Fuzhou, China, 2016. [Google Scholar]
- Xue, Z.; Wang, S.; Ding, J.; Li, C.; Ma, B.; Rebieguri, Y. Effects of different nitrogen forms on root morphology and nitrogen uptake of walnut seedlings. J. Shandong Agri. Univ. 2021, 52, 759–763. [Google Scholar]
- Gao, G.; Li, Z.; Ge, X.; Huang, R.; Li, A. Effects of nitrogen addition on biomass and root morphology of Phyllostachys edulis seedlings under drought stress. Chin. J. Ecol. 2022, 41, 858–864. [Google Scholar]
- Zhai, D. Effects of Drought on Root Respiration and the Mechanisms. Ph.D. Thesis, East China Normal University, Shanghai, China, 2021. [Google Scholar]
- Wang, Y.; Xu, T.; Zhu, W.; Wang, Q.; Liu, M.; Wang, H.; Li, C.; Dong, Y. Seasonal dynamics of quantitative and morphological traits of poplar fine roots and their differences between successive rotation plantations. Chin. J. Appl. Ecol. 2016, 27, 395–402. [Google Scholar]
- Tao, S.; Hua, X.; Wang, Y.; Guo, N.; Yan, X.; Lin, J. Research advance in effects of different nitrogen forms on growth and physiology of plants. Guizhou Agri. Sci. 2017, 45, 64–68. [Google Scholar]
- Borgognone, D.; Colla, G.; Rouphael, Y.; Cardarelli, M.; Rea, E.; Schwarz, D. Effect of nitrogen form and nutrient solution pH on growth and mineral composition of self-grafted and grafted tomatoes. Sci. Hortic. 2013, 149, 61–69. [Google Scholar] [CrossRef]
- Sui, L.; Yi, J.; Wang, K.; Li, Y. Effects of different forms and ratios of nitrogen on physiological characteristics of Perilla frutescens (L.) Britt under salt stress. Chin. J. Ecol. 2018, 37, 3277–3283. [Google Scholar]
- Uscola, M.; Oliet, J.; Villar-Salvador, P.; Dıáz-Pine´s, E.; Jacobs, D. Nitrogen form and concentration interact to affect the performance of two ecologically distinct Mediterranean forest trees. Eur. J. For. Res. 2014, 133, 235–246. [Google Scholar] [CrossRef]
- Wang, X. Effects of Different Nitrogen Forms and Ratios on Growth Characteristics of Phyllostachys edulis and Evergreen Broad-leaved Forest Species Seedlings. Master’s Thesis, Zhejiang A&F University, Hangzhou, China, 2018. [Google Scholar]
- Chang, Y.; Li, B.; Zhong, Q.; Wang, G.; Shen, Q.; Xu, C.; Zhang, S. Biomass allocation strategies of three functional forest seedlings and their relation with fine root and leaf nutrient. Chin. J. Ecol. 2022, 25, 1–10. [Google Scholar]





| Treatment (NH4+/NO3−) | Total N (mmol·L−1) | Different N Forms (mmol·L−1) | |
|---|---|---|---|
| NH4+ | NO3− | ||
| 10:0 | 2 | 2.0 | 0 |
| 0:10 | 2 | 0 | 2.0 |
| 7:3 | 2 | 1.4 | 0.6 |
| 3:7 | 2 | 0.6 | 1.4 |
| 5:5 | 2 | 1.0 | 1.0 |
| Factor | p-Value and Significance Level | ||
|---|---|---|---|
| Tree Species (a) | NH4+/NO3− (b) | a × b | |
| df | 1 | 4 | 4 |
| Seedling height increment (ΔH) | <0.001 | <0.001 | <0.001 |
| Ground diameter increment (ΔGD) | <0.001 | <0.001 | <0.001 |
| Total root length (TRL) | <0.001 | <0.001 | <0.01 |
| Total root surface area (TRSA) | <0.001 | <0.001 | <0.01 |
| Total root volume (TRV) | <0.001 | <0.05 | <0.05 |
| Roots’ average diameter (RAD) | <0.001 | <0.001 | 0.835 |
| Total root biomass (TRB) | <0.001 | <0.01 | <0.001 |
| Total seedling biomass (TSB) | <0.001 | <0.01 | 0.08 |
| Specific root length (SRL) | <0.001 | <0.01 | 0.113 |
| Root tissue density (RTD) | <0.001 | <0.01 | <0.05 |
| Root-to-shoot ratio (RSR) | <0.001 | <0.001 | <0.001 |
Publisher’s Note: MDPI stays neutral with regard to jurisdictional claims in published maps and institutional affiliations. |
© 2022 by the authors. Licensee MDPI, Basel, Switzerland. This article is an open access article distributed under the terms and conditions of the Creative Commons Attribution (CC BY) license (https://creativecommons.org/licenses/by/4.0/).
Share and Cite
Liang, H.; Wang, L.; Wang, Y.; Quan, X.; Li, X.; Xiao, Y.; Yan, X. Root Development in Cunninghamia lanceolata and Schima superba Seedlings Expresses Contrasting Preferences to Nitrogen Forms. Forests 2022, 13, 2085. https://doi.org/10.3390/f13122085
Liang H, Wang L, Wang Y, Quan X, Li X, Xiao Y, Yan X. Root Development in Cunninghamia lanceolata and Schima superba Seedlings Expresses Contrasting Preferences to Nitrogen Forms. Forests. 2022; 13(12):2085. https://doi.org/10.3390/f13122085
Chicago/Turabian StyleLiang, Haiyan, Lidong Wang, Yanru Wang, Xiaoqiang Quan, Xiaoyu Li, Yaning Xiao, and Xiaoli Yan. 2022. "Root Development in Cunninghamia lanceolata and Schima superba Seedlings Expresses Contrasting Preferences to Nitrogen Forms" Forests 13, no. 12: 2085. https://doi.org/10.3390/f13122085
APA StyleLiang, H., Wang, L., Wang, Y., Quan, X., Li, X., Xiao, Y., & Yan, X. (2022). Root Development in Cunninghamia lanceolata and Schima superba Seedlings Expresses Contrasting Preferences to Nitrogen Forms. Forests, 13(12), 2085. https://doi.org/10.3390/f13122085
