July Mean Temperature Reconstruction for the Southern Tibetan Plateau Based on Tree-Ring Width Data during 1763–2020
Abstract
1. Introduction
2. Materials and Methods
2.1. Study Area
2.2. Tree Ring Samples and TRW Chronology Development
2.3. Climatic Data
2.4. Tree Growth–Climate Relationships, Calibration, and Verification Method
2.5. Climatic Periodicity and Possible Driving Forces of July Temperature Variability
3. Results
3.1. Regional TRW Chronology
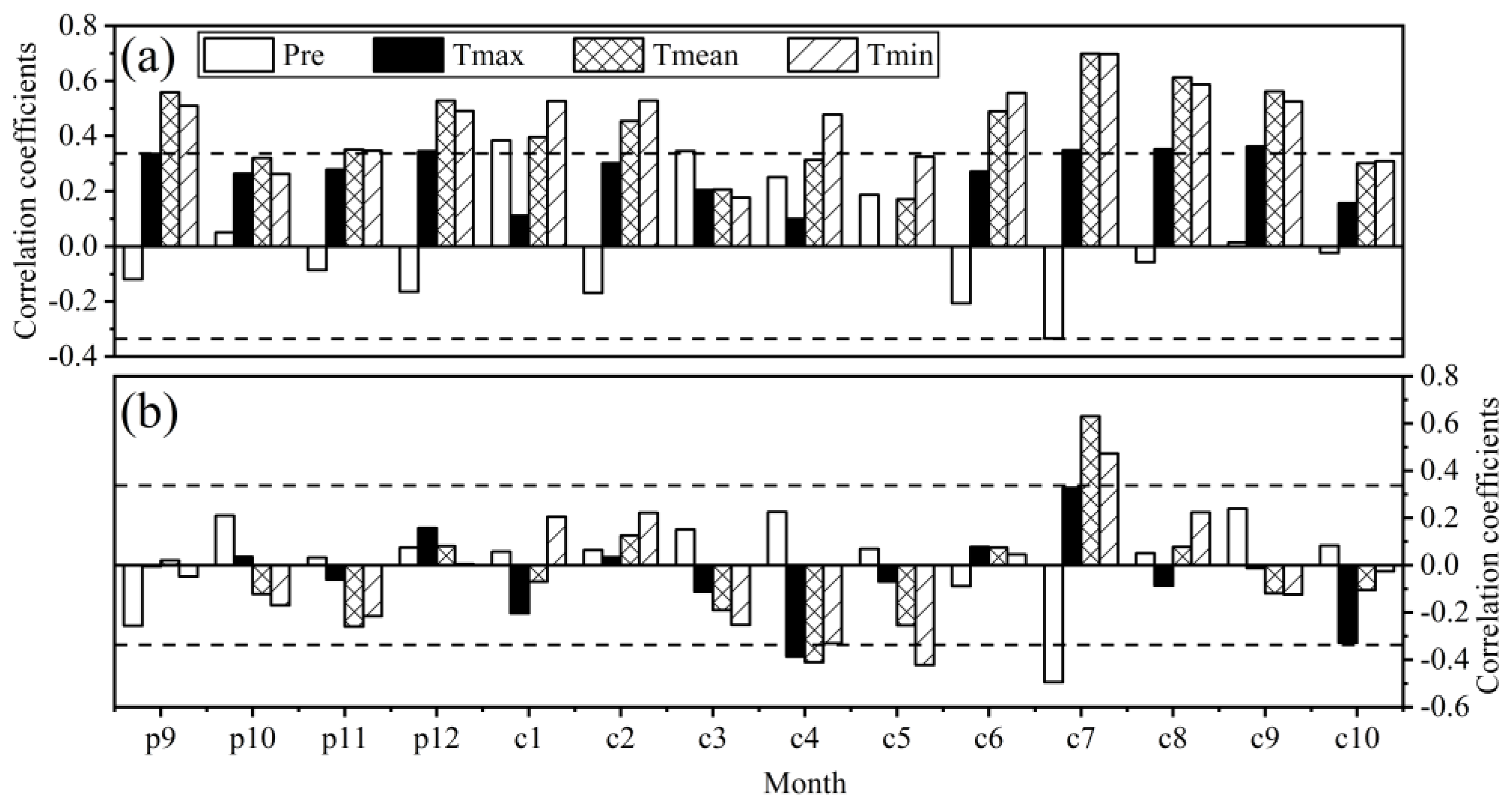
3.2. Tree Growth–Climate Relationships
3.3. July Mean Temperature Reconstruction
3.4. Temporal Variation in the Reconstructed Temperature and Climatic Cycle
4. Discussion
4.1. The Relationship between TRW and Climates
4.2. Temperature Variation and Comparison with other Temperature Reconstructions
4.3. Possible Driving Forces for Temperature Variability in Our Study Area
5. Conclusions
Author Contributions
Funding
Institutional Review Board Statement
Informed Consent Statement
Data Availability Statement
Conflicts of Interest
References
- Wang, B.; Bao, Q.; Hoskins, B.; Wu, G.; Liu, Y. Tibetan Plateau Warming and Precipitation Changes in East Asia. Geophys. Res. Lett. 2008, 35, L14702. [Google Scholar] [CrossRef]
- Yao, T.; Thompson, L.G.; Mosley-Thompson, E.; Zhihong, Y.; Xingping, Z.; Lin, P.-N. Climatological Significance of δ18O in North Tibetan Ice Cores. J. Geophys. Res. Atmos. 1996, 101, 29531–29537. [Google Scholar] [CrossRef]
- Zhou, T.; Zhang, W. Anthropogenic Warming of Tibetan Plateau and Constrained Future Projection. Environ. Res. Lett. 2021, 16, 044039. [Google Scholar] [CrossRef]
- Duan, J.; Zhang, Q. A 449 Year Warm Season Temperature Reconstruction in the Southeastern Tibetan Plateau and Its Relation to Solar Activity: Temperature Reconstruction in the Tibet. J. Geophys. Res. Atmos. 2014, 119, 578–592. [Google Scholar] [CrossRef]
- You, Q.; Min, J.; Kang, S. Rapid Warming in the Tibetan Plateau from Observations and CMIP5 Models in Recent Decades. Int. J. Climatol. 2016, 36, 2660–2670. [Google Scholar] [CrossRef]
- Shi, C.; Sun, C.; Wu, G.; Wu, X.; Chen, D.; Masson-Delmotte, V.; Li, J.; Xue, J.; Li, Z.; Ji, D.; et al. Summer Temperature over the Tibetan Plateau Modulated by Atlantic Multidecadal Variability. J. Clim. 2019, 32, 4055–4067. [Google Scholar] [CrossRef]
- Chen, D.; Baiqing, X.; Tandong, Y.; ZhengTang, G.U.O.; Peng, C.U.I.; FaHu, C.; Zhang, R.; ZHANG, X.; ZHANG, Y.; Jie, F.A.N. Assessment of Past, Present and Future Environmental Changes on the Tibetan Plateau. Chin. Sci. Bull. 2015, 60, 3025–3035. [Google Scholar]
- Yao, T.; Thompson, L.; Yang, W.; Yu, W.; Gao, Y.; Guo, X.; Yang, X.; Duan, K.; Zhao, H.; Xu, B. Different Glacier Status with Atmospheric Circulations in Tibetan Plateau and Surroundings. Nat. Clim. Change 2012, 2, 663–667. [Google Scholar] [CrossRef]
- Xing, P.; Zhang, Q.-B.; Lv, L.-X. Absence of Late-Summer Warming Trend over the Past Two and Half Centuries on the Eastern Tibetan Plateau. Glob. Planet. Change 2014, 123, 27–35. [Google Scholar] [CrossRef]
- Duan, J.; Li, L.; Ma, Z.; Chen, L. Post-industrial Late Summer Warming Recorded in Tree-ring Density in the Eastern Tibetan Plateau. Int. J. Climatol. 2020, 40, 795–804. [Google Scholar] [CrossRef]
- Briffa, K.R.; Osborn, T.J.; Schweingruber, F.H.; Harris, I.C.; Jones, P.D.; Shiyatov, S.G.; Vaganov, E.A. Low-Frequency Tem-perature Variations from a Northern Tree Ring Density Network. J. Geophys. Res. 2001, 106, 2929–2941. [Google Scholar] [CrossRef]
- Büntgen, U.; Allen, K.; Anchukaitis, K.J.; Arseneault, D.; Boucher, É.; Bräuning, A.; Chatterjee, S.; Cherubini, P.; Churakova, O.V.; Corona, C.; et al. The Influence of Decision-Making in Tree Ring-Based Climate Reconstructions. Nat. Commun. 2021, 12, 3411. [Google Scholar] [CrossRef] [PubMed]
- Cook, E.R.; Krusic, P.J.; Anchukaitis, K.J.; Buckley, B.M.; Nakatsuka, T.; Sano, M. Tree-Ring Reconstructed Summer Temperature Anomalies for Temperate East Asia since 800 CE. Clim. Dyn. 2013, 41, 2957–2972. [Google Scholar] [CrossRef]
- Zhu, H.-F.; Shao, X.-M.; Yin, Z.-Y.; Xu, P.; Xu, Y.; Tian, H. August Temperature Variability in the Southeastern Tibetan Plateau since AD 1385 Inferred from Tree Rings. Palaeogeogr. Palaeoclimatol. Palaeoecol. 2011, 305, 84–92. [Google Scholar] [CrossRef]
- Duan, J.; Esper, J.; Büntgen, U.; Li, L.; Xoplaki, E.; Zhang, H.; Wang, L.; Fang, Y.; Luterbacher, J. Weakening of Annual Temperature Cycle over the Tibetan Plateau since the 1870s. Nat. Commun. 2017, 8, 14008. [Google Scholar] [CrossRef]
- Liang, E.; Wang, Y.; Xu, Y.; Liu, B.; Shao, X. Growth Variation in Abies Georgei Var. Smithii along Altitudinal Gradients in the Sygera Mountains, Southeastern Tibetan Plateau. Trees 2010, 24, 363–373. [Google Scholar] [CrossRef]
- He, M.; Yang, B.; Bräuning, A.; Wang, J.; Wang, Z. Tree-Ring Derived Millennial Precipitation Record for the South-Central Tibetan Plateau and Its Possible Driving Mechanism. Holocene 2013, 23, 36–45. [Google Scholar] [CrossRef]
- Liang, E.Y.; Shao, X.M.; Xu, Y. Tree-Ring Evidence of Recent Abnormal Warming on the Southeast Tibetan Plateau. Theor. Appl. Climatol. 2009, 98, 9–18. [Google Scholar] [CrossRef]
- Shao, X. Reconstruction of Precipitation Variation from Tree Rings in Recent 1000 Years in Delingha, Qinghai. Sci. China Ser. d-Earth Sci. 2005, 48, 939. [Google Scholar] [CrossRef]
- Li, M.; Huang, L.; Yin, Z.-Y.; Shao, X.M. Temperature Reconstruction and Volcanic Eruption Signal from Tree-Ring Width and Maximum Latewood Density over the Past 304 Years in the Southeastern Tibetan Plateau. Int. J. Biometeorol. 2017, 12, 2021–2032. [Google Scholar] [CrossRef]
- Briffa, K.R.; Osborn, T.J.; Schweingruber, F.H.; Jones, P.D.; Shiyatov, S.G.; Vaganov, E.A. Tree-Ring Width and Density Data around the Northern Hemisphere: Part 1, Local and Regional Climate Signals. Holocene 2002, 12, 737–757. [Google Scholar] [CrossRef]
- Hughes, M.K.; Schweingruber, F.H.; Cartwright, D.; Kelly, P.M. July–August Temperature at Edinburgh between 1721 and 1975 from Tree-Ring Density and Width Data. Nature 1984, 308, 341–344. [Google Scholar] [CrossRef]
- Wilson, R.; Anchukaitis, K.; Briffa, K.R.; Büntgen, U.; Cook, E.; D’Arrigo, R.; Davi, N.; Esper, J.; Frank, D.; Gunnarson, B.; et al. Last Millennium Northern Hemisphere Summer Temperatures from Tree Rings: Part I: The Long Term Context. Quat. Sci. Rev. 2016, 134, 1–18. [Google Scholar] [CrossRef]
- Liang, H.; Lyu, L.; Wahab, M. A 382-Year Reconstruction of August Mean Minimum Temperature from Tree-Ring Maximum Latewood Density on the Southeastern Tibetan Plateau, China. Dendrochronologia 2016, 37, 1–8. [Google Scholar] [CrossRef]
- Panthi, S.; Bräuning, A.; Zhou, Z.-K.; Fan, Z.-X. Growth Response of Abies Georgei to Climate Increases with Elevation in the Central Hengduan Mountains, Southwestern China. Dendrochronologia 2018, 47, 1–9. [Google Scholar] [CrossRef]
- Liu, B.; Wang, Y.; Zhu, H.; Liang, E.; Camarero, J.J. Topography and Age Mediate the Growth Responses of Smith Fir to Climate Warming in the Southeastern Tibetan Plateau. Int. J. Biometeorol. 2016, 60, 1577–1587. [Google Scholar] [CrossRef]
- Holmes, R.L. Computer-Assisted Quality Control in Tree-Ring Dating and Measurement. Tree Ring Bull. 1983, 43, 69–78. [Google Scholar]
- Melvin, T.M.; Briffa, K.R. A “Signal-Free” Approach to Dendroclimatic Standardisation. Dendrochronologia 2008, 26, 71–86. [Google Scholar] [CrossRef]
- Cook, E.; Kairiukstis, L. Methods of Dendrochronology. Applications in the Environmental; Springer: Berlin/Heidelberg, Germany, 1990. [Google Scholar]
- Wigley, T.M.; Briffa, K.R.; Jones, P.D. On the Average Value of Correlated Time Series, with Applications in Dendroclimatology and Hydrometeorology. J. Appl. Meteorol. Climatol. 1984, 23, 201–213. [Google Scholar] [CrossRef]
- Fritts, H.C. Tree Rings and Climate; Academic Press: London, UK; New York, NY, USA, 1976; ISBN 978-0-12-268450-0. [Google Scholar]
- Michaelsen, J. Cross-Validation in Statistical Climate Forecast Models. J. Appl. Meteorol. Climatol. 1987, 26, 1589–1600. [Google Scholar] [CrossRef]
- Cook, E.R.; Briffa, K.R.; Jones, P.D. Spatial Regression Methods in Dendroclimatology: A Review and Comparison of Two Techniques. Int. J. Climatol. 1994, 14, 379–402. [Google Scholar] [CrossRef]
- Mann, M.E.; Zhang, Z.; Rutherford, S.; Bradley, R.S.; Hughes, M.K.; Shindell, D.; Ammann, C.; Faluvegi, G.; Ni, F. Global Signatures and Dynamical Origins of the Little Ice Age and Medieval Climate Anomaly. Science 2009, 326, 1256–1260. [Google Scholar] [CrossRef] [PubMed]
- Wang, J.; Yang, B.; Ljungqvist, F.C.; Luterbacher, J.; Osborn, T.J.; Briffa, K.R.; Zorita, E. Internal and External Forcing of Multidecadal Atlantic Climate Variability over the Past 1200 Years. Nat. Geosci. 2017, 10, 512–517. [Google Scholar] [CrossRef]
- Gruber, A.; Wieser, G.; Oberhuber, W. Intra-Annual Dynamics of Stem CO2 Efflux in Relation to Cambial Activity and Xylem Development in Pinus Cembra. Tree Physiol. 2009, 29, 641–649. [Google Scholar] [CrossRef] [PubMed]
- Fan, Z.-X.; Bräuning, A.; Cao, K.-F. Annual Temperature Reconstruction in the Central Hengduan Mountains, China, as Deduced from Tree Rings. Dendrochronologia 2008, 26, 97–107. [Google Scholar] [CrossRef]
- Liang, E.; Dawadi, B.; Pederson, N.; Eckstein, D. Is the Growth of Birch at the Upper Timberline in the Himalayas Limited by Moisture or by Temperature? Ecology 2014, 95, 2453–2465. [Google Scholar] [CrossRef]
- Duan, J.; Ma, Z.; Li, L.; Zheng, Z. August-September Temperature Variability on the Tibetan Plateau: Past, Present, and Future. J. Geophys. Res. Atmos. 2019, 124, 6057–6068. [Google Scholar] [CrossRef]
- Stothers, R.B. The Great Tambora Eruption in 1815 and Its Aftermath. Science 1984, 224, 1191–1198. [Google Scholar] [CrossRef]
- Briffa, K.R.; Jones, P.D.; Schweingruber, F.H.; Osborn, T.J. Influence of Volcanic Eruptions on Northern Hemisphere Summer Temperature over the Past 600 Years. Nature 1998, 393, 450–455. [Google Scholar] [CrossRef]
- Liang, E.; Shao, X.; Qin, N. Tree-Ring Based Summer Temperature Reconstruction for the Source Region of the Yangtze River on the Tibetan Plateau. Glob. Planet. Change 2008, 8, 313–320. [Google Scholar] [CrossRef]
- Fan, Z.-X.; Bräuning, A.; Yang, B.; Cao, K.-F. Tree Ring Density-Based Summer Temperature Reconstruction for the Central Hengduan Mountains in Southern China. Glob. Planet. Change 2009, 65, 1–11. [Google Scholar] [CrossRef]
- Ahmed, M.; Anchukaitis, K.J.; Asrat, A.; Borgaonkar, H.P.; Braida, M.; Buckley, B.M.; Büntgen, U.; Chase, B.M.; Christie, D.A.; Cook, E.R.; et al. Continental-Scale Temperature Variability during the Past Two Millennia. Nat. Geosci. 2013, 6, 339–346. [Google Scholar] [CrossRef]
- D’Arrigo, R.D.; Jacoby, G.C. Northern North American Tree-Ring Evidence for Regional Temperature Changes after Major Volcanic Events. Clim. Change 1999, 41, 1–15. [Google Scholar] [CrossRef]
- Wang, S.; Wang, R. Variations of Seasonal and Annual Temperatures during 1470–1979 AD in Eastern China. Acta Meteorol. Sin. 1990, 48, 26–35. [Google Scholar]
- Cook, E.R.; Krusic, P.J.; Jones, P.D. Dendroclimatic Signals in Long Tree-Ring Chronologies from the Himalayas of Nepal. Int. J. Climatol. A J. R. Meteorol. Soc. 2003, 23, 707–732. [Google Scholar] [CrossRef]
- Wang, S.-W.; Ye, J.L.; Gong, D.Y.; Zhu, J.H.; Yao, T.D. Construction of Mean Annual Temperature Series for the Last One Hundred Years in China. Q. J. Appl. Meteorol. 1998, 9, 392–401. [Google Scholar]
- Ge, Q.; Zheng, J.; Fang, X.; Man, Z.; Zhang, X.; Zhang, P.; Wang, W.-C. Winter Half-Year Temperature Reconstruction for the Middle and Lower Reaches of the Yellow River and Yangtze River, China, during the Past 2000 Years. Holocene 2003, 13, 933–940. [Google Scholar]
- Yin, H.; Li, M.-Y.; Huang, L. Summer Mean Temperature Reconstruction Based on Tree-Ring Density over the Past 440 Years on the Eastern Tibetan Plateau. Quat. Int. 2021, 571, 81–88. [Google Scholar] [CrossRef]
- Bräuning, A. Summer Temperature and Summer Monsoon History on the Tibetan Plateau during the Last 400 Years Recorded by Tree Rings. Geophys. Res. Lett. 2004, 31, L24205. [Google Scholar] [CrossRef]
- Fan, Z.-X.; Bräuning, A.; Tian, Q.-H.; Yang, B.; Cao, K.-F. Tree Ring Recorded May–August Temperature Variations since A.D. 1585 in the Gaoligong Mountains, Southeastern Tibetan Plateau. Palaeogeogr. Palaeoclimatol. Palaeoecol. 2010, 296, 94–102. [Google Scholar] [CrossRef]
- Yin, H.; Liu, H.; Linderholm, H.W.; Sun, Y. Tree Ring Density-Based Warm-Season Temperature Reconstruction since A.D. 1610 in the Eastern Tibetan Plateau. Palaeogeogr. Palaeoclimatol. Palaeoecol. 2015, 426, 112–120. [Google Scholar] [CrossRef]
- Hu, S.; Wu, B.; Zhou, T.; Yu, Y. Dominant Anomalous Circulation Patterns of Tibetan Plateau Summer Climate Generated by ENSO-Forced and ENSO-Independent Teleconnections. J. Clim. 2022, 35, 1679–1694. [Google Scholar] [CrossRef]
- Hu, S.; Zhou, T.; Wu, B. Impact of Developing ENSO on Tibetan Plateau Summer Rainfall. J. Clim. 2021, 34, 3385–3400. [Google Scholar] [CrossRef]








| Calibration | Leave-One-Out Verification | |||||||||
|---|---|---|---|---|---|---|---|---|---|---|
| Period | R2 | Radj2 | F | SE | r | ST | ST1 | PMT | RE | |
| 1979–2020 | 50.1% | 49.8% | 41.2 | 0.5 | 0.81 | 32+/10− ** | 29+/12− * | 4.5 | 0.47 | |
Publisher’s Note: MDPI stays neutral with regard to jurisdictional claims in published maps and institutional affiliations. |
© 2022 by the authors. Licensee MDPI, Basel, Switzerland. This article is an open access article distributed under the terms and conditions of the Creative Commons Attribution (CC BY) license (https://creativecommons.org/licenses/by/4.0/).
Share and Cite
Nie, W.; Li, M. July Mean Temperature Reconstruction for the Southern Tibetan Plateau Based on Tree-Ring Width Data during 1763–2020. Forests 2022, 13, 1911. https://doi.org/10.3390/f13111911
Nie W, Li M. July Mean Temperature Reconstruction for the Southern Tibetan Plateau Based on Tree-Ring Width Data during 1763–2020. Forests. 2022; 13(11):1911. https://doi.org/10.3390/f13111911
Chicago/Turabian StyleNie, Wenzheng, and Mingqi Li. 2022. "July Mean Temperature Reconstruction for the Southern Tibetan Plateau Based on Tree-Ring Width Data during 1763–2020" Forests 13, no. 11: 1911. https://doi.org/10.3390/f13111911
APA StyleNie, W., & Li, M. (2022). July Mean Temperature Reconstruction for the Southern Tibetan Plateau Based on Tree-Ring Width Data during 1763–2020. Forests, 13(11), 1911. https://doi.org/10.3390/f13111911

