Arbuscular Mycorrhizal Fungi Alleviate Salt Stress Damage by Coordinating Nitrogen Utilization in Leaves of Different Species
Abstract
1. Introduction
2. Materials and Methods
2.1. Materials and Experimental Design
2.2. Determination of Mycorrhizal Colonization Status
2.3. Determination of Plant Growth
2.4. Determination of Leaf Area and Assay of Chlorophyll Content
2.5. Determination of N Content and Photosynthetic N-Use Efficiency and Assay of Nitrate Reductase Activity
2.6. Statistical Analyses
3. Results
3.1. Mycorrhizal Colonization Rate and Dependency
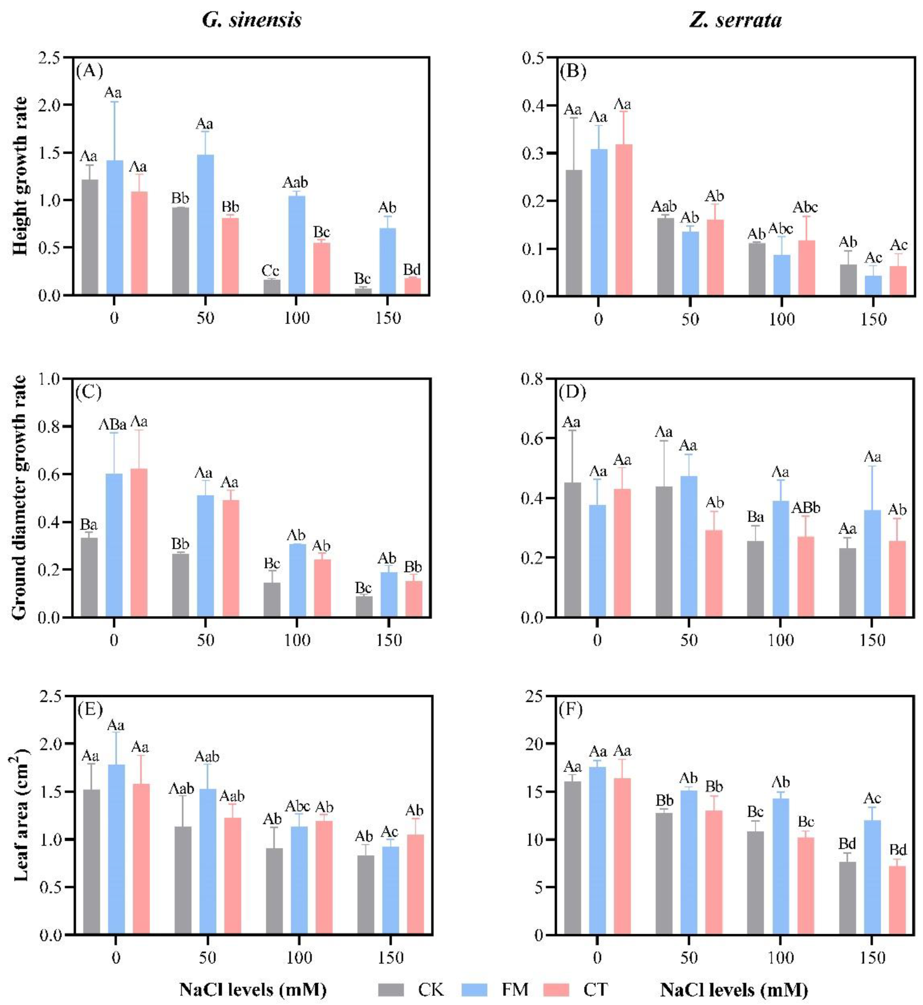
3.2. Plant Growth Rate and Leaf Area
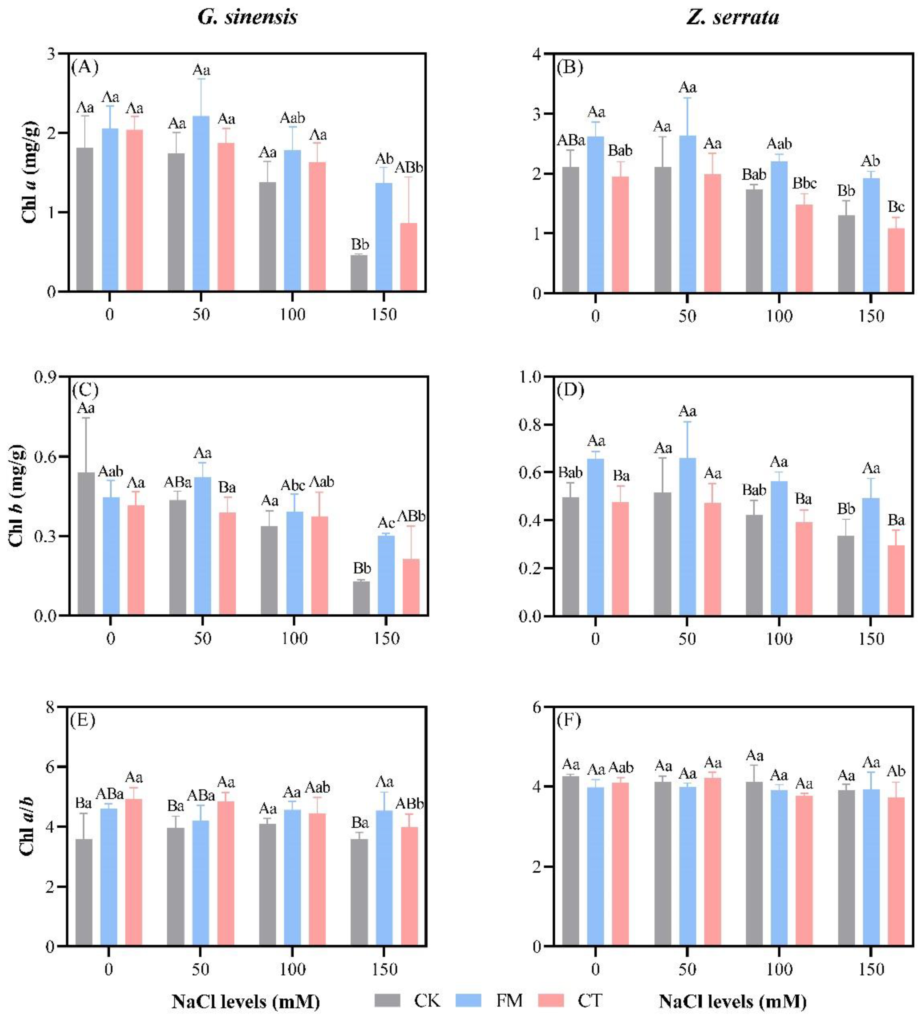
3.3. Leaf Chlorophyll Content
3.4. Leaf N Content, Nitrate Reductase Activity, and Photosynthetic N-Use Efficiency
3.5. Correlations between NaCl Levels, Mycorrhizal Colonization Status, Leaf Physiology, and Plant Growth
3.6. Primary Factors Affecting Plant Growth and Leaf Area
4. Discussion
4.1. Responses of Different Mycorrhizal Tree Species to Salt Stress
4.2. Effects of Chlorophyll Content on the Growth of Different Mycorrhizal Tree Species under Salt Stress
4.3. Effects of N Status on the Growth of Different Mycorrhizal Tree Species under Salt Stress
4.4. Variations between Tree Species in Response to AMF Inoculation and Salt Stress
5. Conclusion
Supplementary Materials
Author Contributions
Funding
Institutional Review Board Statement
Informed Consent Statement
Data Availability Statement
Acknowledgments
Conflicts of Interest
Abbreviations
References
- Wu, L.; He, D.; Ji, Z.; You, W.; Tan, Y.; Zhen, X.; Yang, J. Protection efficiency assessment and quality of coastal shelterbelt for dongshan island at the coastal section scale. J. Res. 2017, 28, 577–584. [Google Scholar] [CrossRef]
- Wang, J.; Fu, Z.; Ren, Q.; Zhu, L.; Lin, J.; Zhang, J.; Yue, J. Effects of arbuscular mycorrhizal fungi on growth, photosynthesis, and nutrient uptake of Zelkova serrata (thunb.) makino seedlings under salt stress. Forests 2019, 10, 186. [Google Scholar] [CrossRef]
- Wang, J.; Zhong, H.; Zhu, L.; Yuan, Y.; Xu, L.; Wang, G.; Zhang, J. Arbuscular mycorrhizal fungi effectively enhances the growth of Gleditsia sinensis lam. Seedlings under greenhouse conditions. Forests 2019, 10, 567. [Google Scholar] [CrossRef]
- Jankowski, K.L.; Törnqvist, T.E.; Fernandes, A.M. Vulnerability of louisiana’s coastal wetlands to present-day rates of relative sea-level rise. Nat. Commun. 2017, 8, 14792. [Google Scholar] [CrossRef] [PubMed]
- Feagin, R.A.; Sherman, D.J.; Grant, W.E. Coastal erosion, global sea-level rise, and the loss of sand dune plant habitats. Front. Ecol. Environ. 2005, 3, 359–364. [Google Scholar] [CrossRef]
- Li, X.; Zhang, C. Effect of natural and artificial afforestation reclamation on soil properties and vegetation in coastal saline silt soils. CATENA 2021, 198, 105066. [Google Scholar] [CrossRef]
- Abiala, M.A.; Abdelrahman, M.; Burritt, D.J.; Tran, L.S.P. Salt stress tolerance mechanisms and potential applications of legumes for sustainable reclamation of salt-degraded soils. Land Degrad. Dev. 2018, 29, 3812–3822. [Google Scholar] [CrossRef]
- Martinez-Rodriguez, M.M.; Estañ, M.T.; Moyano, E.; Garcia-Abellan, J.O.; Flores, F.B.; Campos, J.F.; Bolarín, M.C. The effectiveness of grafting to improve salt tolerance in tomato when an ‘excluder’ genotype is used as scion. Environ. Exp. Bot. 2008, 63, 392–401. [Google Scholar] [CrossRef]
- Yan, H.; Hu, X.; Li, F. Leaf photosynthesis, chlorophyll fluorescence, ion content and free amino acids in Caragana korshinskii kom exposed to nacl stress. Acta Physiol. Plant. 2012, 34, 2285–2295. [Google Scholar] [CrossRef]
- Takahashi, R.; Nishio, T.; Ichizen, N.; Takano, T. Salt-tolerant reed plants contain lower Na+ and higher K+ than salt-sensitive reed plants. Acta Physiol. Plant. 2007, 29, 431. [Google Scholar] [CrossRef]
- Akram, M.S.; Ashraf, M. Exogenous application of potassium dihydrogen phosphate can alleviate the adverse effects of salt stress on sunflower. J. Plant Nutr. 2011, 34, 1041–1057. [Google Scholar] [CrossRef]
- Mason, R.E.; Craine, J.M.; Lany, N.K.; Jonard, M.; Ollinger, S.V.; Groffman, P.M.; Elmore, A.J. Evidence, causes, and consequences of declining nitrogen availability in terrestrial ecosystems. Science 2022, 376, eabh3767. [Google Scholar] [CrossRef] [PubMed]
- Flores, P.; Botella, M.A.; Martinez, V.; Cerdá, A. Ionic and osmotic effects on nitrate reductase activity in tomato seedlings. J. Plant Physiol. 2000, 156, 552–557. [Google Scholar] [CrossRef]
- Ashraf, M.; Shahzad, S.M.; Imtiaz, M.; Rizwan, M.S. Salinity effects on nitrogen metabolism in plants—focusing on the activities of nitrogen metabolizing enzymes: A review. J. Plant Nutr. 2018, 41, 1065–1081. [Google Scholar] [CrossRef]
- Evans, J.R.; Clarke, V.C. Clarke. The nitrogen cost of photosynthesis. J. Exp. Bot. 2018, 70, 7–15. [Google Scholar] [CrossRef] [PubMed]
- Zong, Y.Z.; Zhang, H.Q.; Li, P.; Zhang, D.S.; Hao, X.Y.; Gao, Z.Q. Leaf nitrogen have a better relationship with photosynthesis performance across wheat species under elevated CO2 and drought. Plant Physiol. Biochem. 2021, 166, 964–973. [Google Scholar]
- Liu, M.; Liu, X.; Zhao, Y.; Korpelainen, H.; Li, C. Sex-specific nitrogen allocation tradeoffs in the leaves of Populus cathayana cuttings under salt and drought stress. Plant Physiol. Biochem. 2022, 172, 101–110. [Google Scholar] [CrossRef]
- Mu, X.; Chen, Q.; Chen, F.; Yuan, L.; Mi, G. Dynamic remobilization of leaf nitrogen components in relation to photosynthetic rate during grain filling in maize. Plant Physiol. Biochem. 2018, 129, 27–34. [Google Scholar] [CrossRef]
- Park, M.; Cho, S.; Park, J.; Lee, H.; Song, W.; Park, I.K.; Kim, H.S. Size-dependent variation in leaf functional traits and nitrogen allocation trade-offs in Robinia pseudoacacia and Cornus controversa. Tree Physiol. 2019, 39, 755–766. [Google Scholar] [CrossRef]
- Roy, S.; Müller, L.M. A Rulebook for Peptide Control of Legume–Microbe Endosymbioses; Trends in Plant Science: Amsterdam, The Netherlands, 2022. [Google Scholar]
- Marro, N.; Grilli, G.; Soteras, F.; Caccia, M.; Longo, S.; Cofré, N.; Borda, V.; Burni, M.; Janoušková, M.; Urcelay, C. The effects of arbuscular mycorrhizal fungal species and taxonomic groups on stressed and unstressed plants: A global meta-analysis. New Phytol. 2022, 235. [Google Scholar] [CrossRef]
- Smith, S.E.; Read, D.J. Mycorrhizal symbiosis. Q. Rev. Biol. 2008, 3, 273–281. [Google Scholar]
- Ruíz-Sánchez, M.; Armada, E.; Muñoz, Y.; de Salamone, I.E.G.; Aroca, R.; Ruíz-Lozano, J.M.; Azcón, R. Azospirillum and arbuscular mycorrhizal colonization enhance rice growth and physiological traits under well-watered and drought conditions. J. Plant Physiol. 2011, 168, 1031–1037. [Google Scholar] [CrossRef] [PubMed]
- Smith, S.E.; Smith, F.A. Fresh perspectives on the roles of arbuscular mycorrhizal fungi in plant nutrition and growth. Mycol. 2012, 104, 1–13. [Google Scholar] [CrossRef]
- Wang, J.P.; Zhai, L.; Ma, J.Y.; Zhang, J.C.; Wang, G.G.; Liu, X.; Zhang, S.F.; Song, J.; Wu, Y.K. Comparative physiological mechanisms of arbuscular mycorrhizal fungi in mitigating salt-induced adverse effects on leaves and roots of Zelkova serrata. Mycorrhiza 2020, 30, 341–355. [Google Scholar] [CrossRef]
- Wang, J.; Yuan, J.; Ren, Q.; Zhang, B.; Zhang, J.; Huang, R.; Wang, G.G. Arbuscular mycorrhizal fungi enhanced salt tolerance of Gleditsia sinensis by modulating antioxidant activity, ion balance and P/N ratio. Plant Growth Regul. 2022, 97, 33–49. [Google Scholar] [CrossRef]
- Zhang, Z.; Zhang, J.; Xu, G.; Zhou, L.; Li, Y. Arbuscular mycorrhizal fungi improve the growth and drought tolerance of Zenia insignis seedlings under drought stress. New For. 2019, 50, 593–604. [Google Scholar] [CrossRef]
- Jiang, J.; Moore, J.A.; Priyadarshi, A.; Classen, A.T. Plant-mycorrhizal interactions mediate plant community coexistence by altering resource demand. Ecol. 2017, 98, 187–197. [Google Scholar] [CrossRef] [PubMed]
- Ma, S.L.; Zhu, L.J.; Wang, J.P.; Liu, X.; Jia, Z.H.; Li, C.; Liu, J.; Zeng, J.Y.; Zhang, J.C. Arbuscular mycorrhizal fungi promote Gleditsia sinensis Lam. root growth under salt stress by regulating nutrient uptake and physiology. Forests 2022, 13, 688. [Google Scholar] [CrossRef]
- Toth, R.; Toth, D. Quantifying vesicular-arbuscular mycorrhizae using a morphometric technique. Mycologia 1982, 74, 182–187. [Google Scholar] [CrossRef]
- Zhang, Q.; Zhang, M.; Ding, Y.; Zhou, P.; Fang, Y. Composition of photosynthetic pigments and photosynthetic characteristics in green and yellow sectors of the variegated Aucuba japonica ‘variegata’ leaves. Flora 2018, 240, 25–33. [Google Scholar] [CrossRef]
- Hussain, S.J.; Khan, N.A.; Anjum, N.A.; Masood, A.; Khan, M.I.R. Mechanistic elucidation of salicylic acid and sulphur-induced defence systems, nitrogen metabolism, photosynthetic, and growth potential of mungbean (Vigna radiata) under salt stress. J. Plant Growth Regul. 2021, 40, 1000–1016. [Google Scholar] [CrossRef]
- Debouba, M.; Maâroufi-Dghimi, H.; Suzuki, A.; Ghorbel, M.H.; Gouia, H. Changes in growth and activity of enzymes involved in nitrate reduction and ammonium assimilation in tomato seedlings in response to Nacl stress. Ann. Bot. 2007, 99, 1143–1151. [Google Scholar] [CrossRef] [PubMed]
- Jia, Z.H.; Meng, M.J.; Li, C.; Zhang, B.; Zhai, L.; Liu, X.; Ma, S.L.; Cheng, X.F.; Zhang, J.C. Rock-solubilizing microbial inoculums have enormous potential as ecological remediation agents to promote plant growth. Forests 2021, 12, 357. [Google Scholar] [CrossRef]
- Estrada, B.; Aroca, R.; Maathuis, F.J.; Barea, J.M.; Ruiz-Lozano, J.M. Arbuscular mycorrhizal fungi native from a mediterranean saline area enhance maize tolerance to salinity through improved ion homeostasis. Plant Cell Environ. 2013, 36, 1771–1782. [Google Scholar] [CrossRef]
- Garg, N.; Pandey, R. Effectiveness of native and exotic arbuscular mycorrhizal fungi on nutrient uptake and ion homeostasis in salt-stressed Cajanus cajan l.(millsp.) genotypes. Mycorrhiza 2015, 25, 165–180. [Google Scholar] [CrossRef]
- Giri, B.; Kapoor, R.; Mukerji, K.G. Influence of arbuscular mycorrhizal fungi and salinity on growth, biomass, and mineral nutrition of Acacia auriculiformis. Biol. Fertil. Soils 2003, 28, 170–175. [Google Scholar] [CrossRef]
- Navarro, J.M.; Pérez-Tornero, O.; Morte, A. Alleviation of salt stress in citrus seedlings inoculated with arbuscular mycorrhizal fungi depends on the rootstock salt tolerance. J. Plant Physiol. 2014, 171, 76–85. [Google Scholar] [CrossRef]
- Chen, J.; Zhang, H.; Zhang, X.; Tang, M. Arbuscular mycorrhizal symbiosis alleviates salt stress in black locust through improved photosynthesis, water status, and K+/Na+ homeostasis. Front. Plant Sci. 2017, 8, 1739. [Google Scholar] [CrossRef]
- Jahromi, F.; Aroca, R.; Porcel, R.; Ruiz-Lozano, J.M. Influence of salinity on the in vitro development of glomus intraradices and on the in vivo physiological and molecular responses of mycorrhizal lettuce plants. Microb. Ecol. 2008, 55, 45–53. [Google Scholar] [CrossRef]
- Yang, H.; Zhang, Q.; Dai, Y.; Liu, Q.; Tang, J.; Bian, X.; Chen, X. Effects of arbuscular mycorrhizal fungi on plant growth depend on root system: A meta-analysis. Plant Soil 2015, 389, 361–374. [Google Scholar] [CrossRef]
- Zhang, Z.; Zhang, J.; Huang, Y. Effects of arbuscular mycorrhizal fungi on the drought tolerance of Cyclobalanopsis glauca seedlings under greenhouse conditions. New For. 2014, 45, 545–556. [Google Scholar] [CrossRef]
- Pollastri, S.; Savvides, A.; Pesando, M.; Lumini, E.; Volpe, M.G.; Ozudogru, E.A.; Faccio, A.; De Cunzo, F.; Michelozzi, M.; Lambardi, M.; et al. Impact of two arbuscular mycorrhizal fungi on Arundo donax l. response to salt stress. Planta 2018, 247, 573–585. [Google Scholar] [CrossRef] [PubMed]
- Zeng, Y.; Guo, L.P.; Chen, B.D.; Hao, Z.P.; Wang, J.Y.; Huang, L.Q.; Yang, G.; Cui, X.M.; Yang, L.; Wu, Z.X.; et al. Arbuscular mycorrhizal symbiosis and active ingredients of medicinal plants: Current research status and prospectives. Mycorrhiza 2013, 23, 253–265. [Google Scholar] [CrossRef] [PubMed]
- Ma, S.L.; Liu, X.; Jia, Z.H.; Meng, M.J.; Li, C.; Ren, Q.; Zhai, L.; Zhang, B.; Zhang, Y.L.; Zhang, J.C. Response of Quercus acutissima foliage to different types of simulated acid rain. Atmos. Pollut. Res. 2021, 12, 101112. [Google Scholar] [CrossRef]
- Takai, T.; Kondo, M.; Yano, M.; Yamamoto, T. A quantitative trait locus for chlorophyll content and its association with leaf photosynthesis in rice. Rice 2010, 3, 172–180. [Google Scholar] [CrossRef]
- Yang, Y.L.; Xu, J.; Huang, L.C.; Leng, Y.J.; Dai, L.P.; Rao, Y.C.; Chen, L.; Wang, Y.Q.; Tu, Z.J.; Hu, J.; et al. PGL, encoding chlorophyllide a oxygenase 1, impacts leaf senescence and indirectly affects grain yield and quality in rice. J. Exp. Bot. 2015, 67, 1297–1310. [Google Scholar] [CrossRef]
- Rüdiger, W. Biosynthesis of chlorophyll b and the chlorophyll cycle. Photosynth. Res. 2002, 74, 187–193. [Google Scholar] [CrossRef]
- Munns, R.; Tester, M. Mechanisms of salinity tolerance. Annu. Rev. Plant Biol. 2008, 59, 651–681. [Google Scholar] [CrossRef]
- Dong, N.; Prentice, I.C.; Wright, I.J.; Evans, B.J.; Togashi, H.F.; Caddy-Retalic, S.; McInerney, F.A.; Sparrow, B.; Leitch, E.; Lowe, A.J. Components of leaf-trait variation along environmental gradients. New Phytol. 2020, 228, 82–94. [Google Scholar] [CrossRef]
- Taub, D.R.; Wang, X. Why are nitrogen concentrations in plant tissues lower under elevated CO2? A critical examination of the hypotheses. J. Integr. Plant Biol. 2008, 50, 1365–1374. [Google Scholar] [CrossRef]
- Dong, N.; Prentice, I.C.; Evans, B.J.; Caddy-Retalic, S.; Lowe, A.J.; Wright, I.J. Leaf nitrogen from first principles: Field evidence for adaptive variation with climate. Biogeosciences 2017, 14, 481–495. [Google Scholar] [CrossRef]
- Onoda, Y.; Wright, I.J.; Evans, J.R.; Hikosaka, K.; Kitajima, K.; Niinemets, Ü.; Poorter, H.; Tosens, T.; Westoby, M. Physiological and structural tradeoffs underlying the leaf economics spectrum. New Phytol. 2017, 214, 1447–1463. [Google Scholar] [CrossRef] [PubMed]
- Hajiboland, R.; Dashtebani, F.; Aliasgharzad, N. Physiological responses of halophytic C4 grass Aeluropus littoralis to salinity and arbuscular mycorrhizal fungi colonization. Photosynth. 2015, 53, 572–584. [Google Scholar] [CrossRef]
- Sun, Y.H.; Gu, C.X.; Li, G.Z.; Han, A.H.; Hao, L. Arbuscular mycorrhizal fungus-mediated amelioration of NO2-induced phytotoxicity in tomato. Ecotoxicol. Environ. Saf. 2020, 205, 111350. [Google Scholar] [CrossRef]
- Yoon, S.K.; Park, E.J.; Choi, Y.I.; Bae, E.K.; Kim, J.H.; Park, S.Y.; Kang, K.S.; Lee, H. Response to drought and salt stress in leaves of Poplar (Populus alba × Populus glandulosa): Expression profiling by oligonucleotide microarray analysis. Plant Physiol. Biochem. 2014, 84, 158–168. [Google Scholar] [CrossRef]
- Zhong, C.; Jian, S.F.; Huang, J.; Jin, Q.Y.; Cao, X.C. Trade-off of within-leaf nitrogen allocation between photosynthetic nitrogen-use efficiency and water deficit stress acclimation in rice (Oryza sativa l.). Plant Physiol. Biochem. 2019, 135, 41–50. [Google Scholar] [CrossRef]
- Trouwborst, G.; Hogewoning, S.W.; Harbinson, J.; van Ieperen, W. Photosynthetic acclimation in relation to nitrogen allocation in cucumber leaves in response to changes in irradiance. Physiol. Plant. 2011, 142, 157–169. [Google Scholar] [CrossRef]
- Wang, J.; Ma, S.L.; Wang, G.G.; Xu, L.; Fu, Z.; Song, J.; Zhang, J. Arbuscular mycorrhizal fungi communities associated with wild plants in a coastal ecosystem. J. For. Res. 2020, 32, 683–695. [Google Scholar] [CrossRef]







Publisher’s Note: MDPI stays neutral with regard to jurisdictional claims in published maps and institutional affiliations. |
© 2022 by the authors. Licensee MDPI, Basel, Switzerland. This article is an open access article distributed under the terms and conditions of the Creative Commons Attribution (CC BY) license (https://creativecommons.org/licenses/by/4.0/).
Share and Cite
Ma, S.; Yue, J.; Wang, J.; Jia, Z.; Li, C.; Zeng, J.; Liu, X.; Zhang, J. Arbuscular Mycorrhizal Fungi Alleviate Salt Stress Damage by Coordinating Nitrogen Utilization in Leaves of Different Species. Forests 2022, 13, 1568. https://doi.org/10.3390/f13101568
Ma S, Yue J, Wang J, Jia Z, Li C, Zeng J, Liu X, Zhang J. Arbuscular Mycorrhizal Fungi Alleviate Salt Stress Damage by Coordinating Nitrogen Utilization in Leaves of Different Species. Forests. 2022; 13(10):1568. https://doi.org/10.3390/f13101568
Chicago/Turabian StyleMa, Shilin, Jianmin Yue, Jinping Wang, Zhaohui Jia, Chong Li, Jingyi Zeng, Xin Liu, and Jinchi Zhang. 2022. "Arbuscular Mycorrhizal Fungi Alleviate Salt Stress Damage by Coordinating Nitrogen Utilization in Leaves of Different Species" Forests 13, no. 10: 1568. https://doi.org/10.3390/f13101568
APA StyleMa, S., Yue, J., Wang, J., Jia, Z., Li, C., Zeng, J., Liu, X., & Zhang, J. (2022). Arbuscular Mycorrhizal Fungi Alleviate Salt Stress Damage by Coordinating Nitrogen Utilization in Leaves of Different Species. Forests, 13(10), 1568. https://doi.org/10.3390/f13101568

