Talking with Strangers: Improving Serianthes Transplant Quality with Interspecific Companions
Abstract
:1. Introduction
2. Materials and Methods
2.1. Plant Material
2.2. Experimental Conditions
2.3. Native Sympatric Study
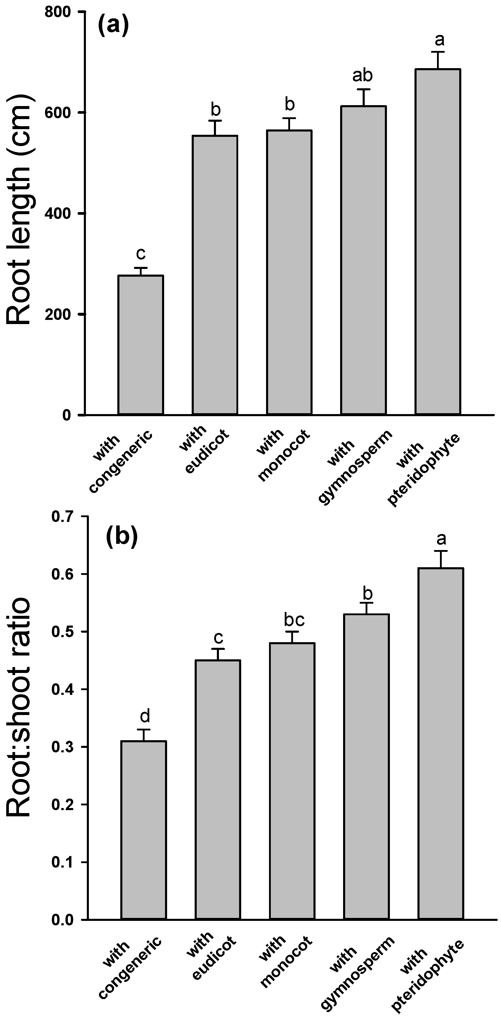
2.4. Phylogenetic Range Study
2.5. Statistics
3. Results
3.1. Native Sympatric Study
3.2. Phylogenetic Range Study
4. Discussion
4.1. Future Directions
4.2. Conservation Applications
Author Contributions
Funding
Data Availability Statement
Acknowledgments
Conflicts of Interest
References
- Smith, B.D. Documenting plant domestication: The consilience of biological and archaeological approaches. Proc. Natl. Acad. Sci. USA 2001, 98, 1324–1326. [Google Scholar] [CrossRef] [PubMed] [Green Version]
- Li, L.; Tilman, D.; Lambers, H.; Zhang, F. Plant diversity and overyielding: Insights from belowground facilitation of intercropping in agriculture. New Phytol. 2014, 203, 63–69. [Google Scholar] [CrossRef]
- Wright, A.J.; Wardle, D.A.; Callaway, R.; Gaxiola, A. The overlooked role of facilitation in biodiversity experiments. Trends Ecol. Evol. 2017, 32, 383–390. [Google Scholar] [CrossRef] [PubMed]
- Wright, A.J.; Barry, K.E.; Lortie, C.J.; Callaway, R.M. Biodiversity and ecosystem functioning: Have our experiments and indices been underestimating the role of facilitation? J. Ecol. 2021, 109, 1962–1968. [Google Scholar] [CrossRef]
- Li, B.; Li, Y.Y.; Wu, H.M.; Zhang, F.F.; Li, C.J.; Li, X.X.; Lambers, H.; Li, L. Root exudates drive interspecific facilitation by enhancing nodulation and N2 fixation. Proc. Natl. Acad. Sci. USA 2016, 113, 6496–6501. [Google Scholar] [CrossRef] [Green Version]
- Brooker, R.W.; George, T.S.; Homulle, Z.; Karley, A.J.; Newton, A.C.; Pakeman, R.J.; Schob, C. Facilitation and biodiversity–ecosystem function relationships in crop production systems and their role in sustainable farming. J. Ecol. 2021, 109, 2054–2067. [Google Scholar] [CrossRef]
- Cardinale, B.J.; Wright, J.P.; Cadotte, M.W.; Carroll, I.T.; Hector, A.; Srivastava, D.S.; Loreau, M.; Weis, J.J. Impacts of plant diversity on biomass production increase through time because of species complementarity. Proc. Natl. Acad. Sci. USA 2007, 104, 18123–18128. [Google Scholar] [CrossRef] [PubMed] [Green Version]
- Klimešová, J.; Martínková, J.; Ottaviani, G. Belowground plant functional ecology: Towards an integrated perspective. Funct. Ecol. 2018, 32, 2115–2126. [Google Scholar] [CrossRef] [Green Version]
- Bennett, T. Plant–plant interactions. Plant Cell Environ. 2021, 44, 995–996. [Google Scholar] [CrossRef]
- Peng, S.; Chen, H.Y.H. Global responses of fine root biomass and traits to plant species mixtures in terrestrial ecosystems. Global Ecol. Biogeogr. 2021, 30, 289–304. [Google Scholar] [CrossRef]
- Wambsganss, J.; Beyer, F.; Freschet, G.T.; Scherer-Lorenzen, M.; Bauhus, J. Tree species mixing reduces biomass but increases length of absorptive fine roots in European forests. J. Ecol. 2021, 109, 2678–2691. [Google Scholar] [CrossRef]
- Mommer, L.; van Ruijven, J.; de Caluwe, H.; Smit-Tiekstra, A.E.; Wagemaker, C.A.M.; Ouborg, J.; Bögemann, J.M.; van der Weerden, G.M.; Berendse, F.; de Kroon, H. Unveiling below-ground species abundance in a biodiversity experiment: A test of vertical niche differentiation among grassland species. J. Ecol. 2010, 98, 1117–1127. [Google Scholar] [CrossRef]
- De Kroon, H.; Hendriks, M.; van Ruijven, J.; Ravenek, J.; Padilla, F.M.; Jongejans, E.; Visser, E.J.W.; Mommer, L. Root responses to nutrients and soil biota: Drivers of species coexistence and ecosystem productivity. J. Ecol. 2012, 100, 1–15. [Google Scholar] [CrossRef]
- van Der Heijden, M.G.; Bardgett, R.D.; Van Straalen, N.M. The unseen majority: Soil microbes as drivers of plant diversity and productivity in terrestrial ecosystems. Ecol. Lett. 2008, 11, 296–310. [Google Scholar] [CrossRef]
- Mangan, S.A.; Schnitzer, S.A.; Herre, E.A.; Mack, K.M.; Valencia, M.C.; Sanchez, E.I.; Bever, J.D. Negative plant–soil feedback predicts tree-species relative abundance in a tropical forest. Nature 2010, 466, 752–755. [Google Scholar] [CrossRef]
- LaManna, J.A.; Mangan, S.A.; Alonso, A.; Bourg, N.A.; Brockelman, W.Y.; Bunyavejchewin, S.; Chang, L.W.; Chiang, J.M.; Chuyong, G.B.; Clay, K.; et al. Plant diversity increases with the strength of negative density dependence at the global scale. Science 2017, 356, 1389–1392. [Google Scholar] [CrossRef] [PubMed] [Green Version]
- Janzen, D.H. Herbivores and the number of tree species in tropical forests. Am. Nat. 1970, 104, 501–529. [Google Scholar] [CrossRef]
- Connell, J.H. On the role of natural enemies in preventing competitive exclusion in some marine animals and in rain forest trees. In Dynamics of Populations; den Boer, P.J., Gradwell, G.R., Eds.; Centre for Agricultural Publishing and Documentation: Wageningen, The Netherlands, 1971; pp. 298–312. [Google Scholar]
- Comita, L.S.; Queenborough, S.A.; Murphy, S.J.; Eck, J.L.; Xu, K.; Krishnadas, M.; Beckman, N.; Zhu, Y. Testing predictions of the Janzen–Connell hypothesis: A meta-analysis of experimental evidence for distance-and density-dependent seed and seedling survival. J. Ecol. 2014, 102, 845–856. [Google Scholar] [CrossRef] [PubMed]
- Wiles, G.; Williams, E. Serianthes nelsonii. IUCN Red List Threat. Species 2017. [Google Scholar] [CrossRef]
- United States Fish and Wildlife Service. Recovery Plan for Serianthes nelsonii; USFWS: Portland, OR, USA, 1994.
- Marler, T.E.; Musser, C.; Cascasan, A.N.J.; Cruz, G.N.; Deloso, B.E. Adaptive management lessons for Serianthes nelsonii conservation. Horticulturae 2021, 7, 43. [Google Scholar] [CrossRef]
- Caro, T.M.; O’Doherty, G. On the use of surrogate species in conservation biology. Cons. Biol. 1999, 13, 805–814. [Google Scholar] [CrossRef]
- Pritchard, H.W.; Moat, J.F.; Ferraz, J.B.S.; Marks, T.R.; Camargo, J.L.C.; Nadarajan, J.; Ferraz, I.D.K. Innovative approaches to the preservation of forest trees. For. Ecol. Manag. 2014, 333, 88–98. [Google Scholar] [CrossRef] [Green Version]
- Marler, T.E. Asexual reproduction to propel recovery efforts of the critically endangered Håyun Lågu tree (Serianthes nelsonii Merr.). Trop. Conserv. Sci. 2017, 10, 1–10. [Google Scholar] [CrossRef] [Green Version]
- Marler, T.E. Repetitive pruning of Serianthes nursery plants improves transplant quality and post-transplant survival. Plant Signal. Behav. 2019, 14, e1621246. [Google Scholar] [CrossRef]
- Marler, T.E.; Cascasan, A.N.; Lawrence, J.H. Threatened native trees in Guam: Short-term seed storage and shade conditions influence emergence and growth of seedlings. Hort. Sci. 2015, 50, 1049–1054. [Google Scholar] [CrossRef] [Green Version]
- Newman, E.I. A method of estimating the total length of root in a sample. J. Appl. Ecol. 1966, 3, 139–145. [Google Scholar] [CrossRef]
- Tennant, D. A test of a modified line intersect method of estimating root length. J. Ecol. 1975, 63, 995–1001. [Google Scholar] [CrossRef]
- Eshel, A.; Beeckman, T. Plant Roots: The Hidden Half, 4th ed.; CRC Press: Boca Raton, FL, USA, 2013; 848p. [Google Scholar]
- Evert, R.F. Esau’s Plant Anatomy: Meristems, Cells, and Tissues of the Plant Body: Their Structure, Function, and Development; John Wiley and Sons: Somerset, NJ, USA, 2006. [Google Scholar]
- Callaway, R.M.; Li, L. Decisions, decisions, decisions: Plant roots detect and respond to complex environmental cues. New Phytol. 2020, 226, 11–12. [Google Scholar] [CrossRef] [Green Version]
- Hierro, J.L.; Callaway, R.M. The ecological importance of allelopathy. Ann. Rev. Ecol. Evol. Syst. 2021, 52. [Google Scholar] [CrossRef]
- Sharifi, R.; Ryu, C.-M. Social networking in crop plants: Wired and wireless cross-plant communications. Plant Cell Environ. 2021, 44, 1095–1110. [Google Scholar] [CrossRef]
- Callaway, R.M. Positive interactions in plant communities and the individualistic-continuum concept. Oecologia 1997, 112, 143–149. [Google Scholar] [CrossRef] [PubMed]
- Callaway, R.M. Positive Interactions and Interdependence in Plant Communities; Springer: Dordrecht, The Netherlands, 2007; ISBN 978-1-4020-6223-0 (HB). [Google Scholar]
- Mahall, B.E.; Callaway, R.M. Root communication among desert shrubs. Proc. Nat. Acad. Sci. USA 1991, 88, 874–876. [Google Scholar] [CrossRef] [PubMed] [Green Version]
- Semchenko, M.; John, E.A.; Hutchings, M.J. Effects of physical connection and genetic identity of neighbouring ramets on root-placement patterns in two clonal species. New Phytol. 2007, 176, 644–654. [Google Scholar] [CrossRef] [PubMed]
- Tharayil, T. To survive or to slay. Plant Signal. Behav. 2009, 4, 580–583. [Google Scholar] [CrossRef] [Green Version]
- Bever, J.D.; Westover, K.M.; Antonovics, J. Incorporating the soil community into plant population dynamics: The utility of the feedback approach. J. Ecol. 1997, 85, 561–573. [Google Scholar] [CrossRef]
- Klironomos, J.N. Feedback with soil biota contributes to plant rarity and invasiveness in communities. Nature 2002, 417, 67–70. [Google Scholar] [CrossRef] [PubMed]
- Lekberg, Y.; Bever, J.; Bunn, R.; Callaway, R.M.; Hart, M.; Kivlin, S.; Klironomos, J.; Larkin, B.; Maron, J.; Reinhart, K.O.; et al. Relative importance of competition and plant soil feedbacks, their synergy, context dependency and implications for coexistence. Ecol. Lett. 2018, 21, 1268–1281. [Google Scholar] [CrossRef] [Green Version]
- Maron, J.L.; Marler, M.; Klironomos, J.N.; Cleveland, C.C. Soil fungal pathogens and the relationship between plant diversity and productivity. Ecol. Lett. 2011, 14, 36–41. [Google Scholar] [CrossRef]
- Schnitzer, S.A.; Klironomos, J.N.; Hille Ris Lambers, J.; Kinkel, L.L.; Reich, P.B.; Xiao, K.; Rillig, M.C.; Sikes, B.A.; Callaway, R.M.; Mangan, S.A.; et al. Soil microbes drive the classic plant diversity–productivity pattern. Ecology 2011, 92, 296–303. [Google Scholar] [CrossRef] [PubMed]
- Luo, W.; Callaway, R.M.; Atwater, D.Z. Intraspecific diversity buffers the inhibitory effects of soil biota. Ecology 2016, 97, 1913–1918. [Google Scholar] [CrossRef] [Green Version]
- Middleton, E.L.; Bever, J.D. Inoculation with a native soil community advances succession in a grassland restoration. Restor. Ecol. 2012, 20, 218–226. [Google Scholar] [CrossRef]
- Goldberg, D.; Fleetwood, L. Competitive effect and response in four annual plants. J. Ecol. 1987, 75, 1131–1143. [Google Scholar] [CrossRef]
- Boonman, C.C.F.; van Langevelde, F.; Oliveras, I.; Couédon, J.; Luijken, N.; Martini, D.; Veenendaal, E.M. On the importance of root traits in seedlings of tropical tree species. New Phytol. 2020, 227, 156–167. [Google Scholar] [CrossRef] [PubMed] [Green Version]
- Valverde-Barrantes, O.J.; Smemo, K.A.; Feinstein, L.M.; Kershner, M.W.; Blackwood, C.B. Aggregated and complementary: Symmetric proliferation, overyielding, and mass effects explain fine-root biomass in soil patches in a diverse temperate deciduous forest landscape. New Phytol. 2015, 205, 731–742. [Google Scholar] [CrossRef] [Green Version]
- Valverde-Barrantes, O.J.; Freschet, G.T.; Roumet, C.; Blackwood, C.B. A worldview of root traits: The influence of ancestry, growth form, climate and mycorrhizal association on the functional trait variation of fine-root tissues in seed plants. New Phytol. 2017, 215, 1562–1573. [Google Scholar] [CrossRef] [PubMed] [Green Version]
- Kong, D.; Wang, J.; Wu, H.; Valverde-Barrantes, O.J.; Wang, R.; Zeng, H.; Feng, Y. Nonlinearity of root trait relationships and the root economics spectrum. Nat. Commun. 2019, 10, 2203. [Google Scholar] [CrossRef] [Green Version]
- Duarte, M.; Verdú, M.; Cavieres, L.A.; Bustamante, R.O. Plant–plant facilitation increases with reduced phylogenetic relatedness along an elevation gradient. Oikos 2021, 130, 248–259. [Google Scholar] [CrossRef]
- Ryan, M.H.; Liao, H.; Simpson, R.J. Belowground solutions to global challenges: Special issue from the 9th Symposium of the International Society of Root Research. Plant Soil 2017, 412, 1–5. [Google Scholar] [CrossRef]
- Schmid, C.; Bauer, S.; Müller, B.; Bartelheimer, M. Belowground neighbor perception in Arabidopsis thaliana studied by transcriptome analysis: Roots of Hieracium pilosella cause biotic stress. Front. Plant Sci. 2013, 4, 296. [Google Scholar] [CrossRef] [Green Version]
- Semchenko, M.; Saar, S.; Lepik, A. Intraspecific genetic diversity modulates plant–soil feedback and nutrient cycling. New Phytol. 2017, 216, 90–98. [Google Scholar] [CrossRef] [PubMed] [Green Version]
- Kong, C.-H.; Zhang, S.-Z.; Li, Y.-H.; Xia, Z.-C.; Yang, X.-F.; Meiners, S.J.; Wang, P. Plant neighbor detection and allelochemical response are driven by root-secreted signaling chemicals. Nat. Commun. 2018, 9, 3867. [Google Scholar] [CrossRef] [Green Version]
- Mahall, B.E.; Callaway, R.M. Root Communication mechanisms and intracommunity distributions of two Mojave Desert shrubs. Ecology 1992, 73, 2145–2151. [Google Scholar] [CrossRef]
- Biedrzycki, M.L.; Jilany, T.A.; Dudley, S.A.; Harsh, P.; Bais, H.P. Root exudates mediate kin recognition in plants. Commun. Integr. Biol. 2010, 3, 28–35. [Google Scholar] [CrossRef] [Green Version]
- Hazrati, H.; Fomsgaard, I.S.; Kudsk, P. Targeted metabolomics unveil alteration in accumulation and root exudation of flavonoids as a response to interspecific competition. J. Plant Interact. 2021, 16, 53–63. [Google Scholar] [CrossRef]
- Chen, B.J.W.; Huang, L.; During, H.J.; Wang, X.; Wei, J.; Anten, N.P.R. No neighbour-induced increase in root growth of soybean and sunflower in mesh-divider experiments after controlling for nutrient concentration and soil volume. AoB Plants 2021, 13, plab020. [Google Scholar] [CrossRef] [PubMed]
- Yang, J.; Lei, P.; Xiang, W.; Ouyang, S.; Hui, X. Growth variations of tree saplings in relation to species diversity and functional traits in a tree diversity pot experiment. Forests 2018, 9, 380. [Google Scholar] [CrossRef] [Green Version]
- Zhang, C.; Zhu, J.; Liu, G.; Huang, Y.; Huang, G.; Xu, X. The sexual dimorphism displayed by the roots of mulberry (Morus alba) saplings depends on the sex of the neighboring plants. J. Plant Ecol. 2021, 14, rtab043. [Google Scholar] [CrossRef]
- Rivoal, A.; Fernandez, C.; Greff, S.; Montes, N.; Vila, B. Does competition stress decrease allelopathic potential? Biochem. Syst. Ecol. 2011, 39, 401–407. [Google Scholar] [CrossRef] [Green Version]
- Aschehoug, E.T.; Callaway, R.M. Diversity increases indirect interactions, attenuates the intensity of competition and promotes coexistence. Am. Nat. 2015, 186, 452–459. [Google Scholar] [CrossRef] [Green Version]
- Aschehoug, E.T.; Brooker, R.; Atwater, D.Z.; Maron, J.L.; Callaway, R.M. The mechanisms and consequences of interspecific competition among plants. Ann. Rev. Ecol. Evo. Syst. 2016, 47, 263–281. [Google Scholar] [CrossRef] [Green Version]
- Atwater, D.Z.; Callaway, R.M.; Xiao, S. Competition as a demolition derby: Why tolerating competitors is more important than suppressing them. Oikos 2021, 130, 143–155. [Google Scholar] [CrossRef]
- Kawaletz, H.; Mölder, I.; Annighöfer, P.; Terwei, A.; Zerbe, S.; Ammer, C. Back to the roots: How do seedlings of native tree species react to the competition by exotic species? Ann. For. Sci. 2014, 71, 337–347. [Google Scholar] [CrossRef] [Green Version]
- Hooper, D.U.; Vitousek, P.M. The effects of plant composition and diversity on ecosystem processes. Science 1997, 277, 1302–1305. [Google Scholar] [CrossRef] [Green Version]
- Hooper, D.U.; Chapin, F.S.; Ewel, J.J.; Hector, A.; Inchausti, P.; Lavorel, S.; Lawton, J.H.; Lodge, D.M.; Loreau, M.; Naeem, S.; et al. Effects of biodiversity on ecosystem functioning: A consensus of current knowledge. Ecol. Monogr. 2005, 75, 3–35. [Google Scholar] [CrossRef]
- Reiss, E.R.; Drinkwater, R.L. Cultivar mixtures: A metaanalysis of the effect of intraspecific diversity on crop yield. Ecol. Appl. 2018, 28, 62–77. [Google Scholar] [CrossRef]
- Rehling, F.; Sandner, T.M.; Matthies, D. Biomass partitioning in response to intraspecific competition depends on nutrients and species characteristics: A study of 43 plant species. J. Ecol. 2021, 109, 2219–2233. [Google Scholar] [CrossRef]
- Bertness, M.; Callaway, R.M. Positive interactions in communities. Trends Ecol. Evol. 1994, 9, 191–193. [Google Scholar] [CrossRef]
- Graebner, R.C.; Callaway, R.M.; Montesinos, D. Invasive species grows faster, compete better, and shows greater evolution toward increased seed size and growth exotic non-invasive congeners. Plant Ecol. 2012, 213, 545–553. [Google Scholar] [CrossRef] [Green Version]
- Pearse, I.S.; Sofaer, H.R.; Zaya, D.N.; Spyreas, G. Non-native plants have greater impacts because of differing per-capita effects and nonlinear abundance–impact curves. Ecol. Lett. 2019, 22, 1214–1220. [Google Scholar] [CrossRef]
- del Río, M.; Schütze, D.; Pretzsch, H. Temporal variation of competition and facilitation in mixed species forests in Central Europe. Plant Biol. 2014, 16, 166–176. [Google Scholar] [CrossRef]
- Weidlich, E.W.A.; Temperton, V.M.; Faget, M. Neighbourhood stories: Role of neighbour identity, spatial location and order of arrival in legume and non-legume initial interactions. Plant Soil 2018, 424, 171–182. [Google Scholar] [CrossRef]
- Weidlich, E.W.A.; Nelson, C.R.; Maron, J.L.; Callaway, R.M.; Delory, B.M.; Temperton, V.M. Priority effects and ecological restoration. Restor. Ecol. 2021, 29, e13317. [Google Scholar] [CrossRef]
- Marler, T.E.; Dongol, N.; Cruz, G.N. Plastic responses mediated by identity recognition in below-ground competition in Cycas micronesica K.D. Hill. Trop. Conserv. Sci. 2016, 9, 648–657. [Google Scholar] [CrossRef] [Green Version]





Publisher’s Note: MDPI stays neutral with regard to jurisdictional claims in published maps and institutional affiliations. |
© 2021 by the authors. Licensee MDPI, Basel, Switzerland. This article is an open access article distributed under the terms and conditions of the Creative Commons Attribution (CC BY) license (https://creativecommons.org/licenses/by/4.0/).
Share and Cite
Marler, T.E.; Callaway, R.M. Talking with Strangers: Improving Serianthes Transplant Quality with Interspecific Companions. Forests 2021, 12, 1192. https://doi.org/10.3390/f12091192
Marler TE, Callaway RM. Talking with Strangers: Improving Serianthes Transplant Quality with Interspecific Companions. Forests. 2021; 12(9):1192. https://doi.org/10.3390/f12091192
Chicago/Turabian StyleMarler, Thomas E., and Ragan M. Callaway. 2021. "Talking with Strangers: Improving Serianthes Transplant Quality with Interspecific Companions" Forests 12, no. 9: 1192. https://doi.org/10.3390/f12091192
APA StyleMarler, T. E., & Callaway, R. M. (2021). Talking with Strangers: Improving Serianthes Transplant Quality with Interspecific Companions. Forests, 12(9), 1192. https://doi.org/10.3390/f12091192

