Abstract
Mixtures of species in natural or agricultural systems can increase the performance of individuals or groups relative to monocultures, often through facilitative mechanisms. Mechanisms include root communication by which plants can interrogate the identity of adjacent plants and respond negatively or positively. Alternatively, mixtures of species can ameliorate the harmful effects of soil biota that are pronounced in monocultures, thereby improving plant productivity. Limited investments into roots by shade-grown Serianthes plants in nurseries have been correlated with reduced survival after transplantation to forested habitats. We used companion container cultures in two studies to determine if heterospecific neighbor, or “stranger” roots could experimentally increase the root growth of Serianthes grandiflora plants used as surrogates for the critically endangered Serianthes nelsonii. In one study, native sympatric eudicot and pteridophyte companions increased relative root growth and conspecific companions decreased root growth in comparison to control plants that were grown with no companions. In a second study, the phylogeny of companion plants elicited different root growth responses following the order of congeneric < eudicot = monocot < gymnosperm < pteridophyte. We propose the use of stranger roots that are experimentally maintained in production containers as a passive protocol to improve relative and absolute root growth, leading to improved post-transplant growth and survival of container-grown Serianthes plants.
1. Introduction
Anthropogenic use of polycultures to increase productivity above that of monocultures is rooted in ancient agricultural systems [1,2]. This increase in productivity derives from different facilitative mechanisms, including changes in microclimate and consumer resistance [3,4], and belowground root interactions and microbial processes. For example, Li et al. [5] found that root exudates from Zea mays L. promoted Vicia faba L. nodulation and increased N2-fixation to increase Z. mays productivity when the two species were intercropped. Such biodiversity effects in modern cropping systems are supported by ancient origins and contemporary ecological research [6]. Other experimental and observational studies have advanced our understanding of how such root behavior contributes to the over-yielding that often accompanies biodiversity [4,7,8,9,10,11]. Some of these studies indicate mechanisms other than nutrient enrichment. Mommer et al. [12] found that total root production increased more than 40% in polycultures, relative to monocultures, and attributed this to complex recognition processes, and partly to diversity-driven decreases in pathogens [13].
Direct and indirect root interactions contribute to the exceptional diversity of tropical plant communities [14,15], in part due to promoting coexistence of rare species that are susceptible to negative density-dependent processes such as plant-soil feedbacks [15,16]. The disproportional intensity of negative feedbacks for threatened species strongly indicates the importance of facilitative effects, through roots or shoots, for sustaining threatened species, and by extension, infers the importance of interspecific facilitation in recovery of threatened species. This is exemplified in the Janzen-Connell effect, where negative density-dependence is alleviated by diverse mixtures of other species [17,18,19]. However, we know of no studies in which belowground processes, such as those that sustain diversity and rarity, have been used as a conservation protocol in the restoration of threatened tropical species.
Serianthes nelsonii Merr. is a critically endangered legume tree species that is endemic to the islands of Guam and Rota [20]. Research on conservation of this species has been deficient, so knowledge of root growth and behavior is minimal. The slow progress on the 1994 national recovery plan [21] includes a long-term pattern of widespread mortality of saplings after they are removed from a conservation nursery setting and placed in natural, competitive closed forest habitats [22]. Experiments with surrogate genotypes are important for improving conservation knowledge for species which are critically threatened, and may involve substitution by congenerics or other closely related taxa for manipulative studies [23,24]. There are 10 accepted taxa in the genus (www.plantlist.org, accessed on 2 September 2021), and when S. nelsonii, Serianthes grandiflora Benth, and Serianthes kanehirae Fosberg were grown in homogeneous conditions the germination behaviors and seedling growth were similar among the species [25]. Moreover, past use of S. grandiflora and S. kanehirae as surrogates for S. nelsonii revealed that limited absolute and relative root growth in a container production nursery could be improved with repeated heading back stem pruning, and that the increased relative root growth improved post-transplant growth and survival [26].
Here we employ knowledge of how increased root growth in polycultures can lead to over-yielding in belowground productivity to address the need for improved protocols for producing S. nelsonii nursery transplants for continued species recovery. Informing how conservationists can improve relative root growth in container nurseries may improve post-transplant survival in restoration sites. Our objective was to determine if interspecific, or “stranger” roots nurtured to co-mingle with Serianthes plant roots triggers greater absolute and relative root growth in Serianthes plants. Because of the extreme limited abundance of S. nelsonii (i.e., there is one mature individual on the island of Guam), we used S. grandiflora as a surrogate for S. nelsonii.
2. Materials and Methods
2.1. Plant Material
Serianthes grandiflora seeds sourced from Bohol Island, Philippines were used to produce all target plants and conspecific companion plants. Serianthes kanehirae seeds sourced from Yap Island, Federated States of Micronesia were used for congeneric companion plants. Non-kin companion plants were developed from Morinda citrifolia L. and Tabernaemontana pandacaqui Lam. seeds collected from plants growing on the banks of the Sacobia River, and non-kin companion plants were developed from Nephrolepis hirsutula (G. Forst.) C. Presl., Pityrogramma calomelanos (L.) Link, and Pogonatherum crinitum (Thunb.) Kunth transplants collected from the banks of the Sacobia River. A gymnosperm companion was supplied as Cycas nitida K.D. Hill & A. Lindstrom seeds sourced from Samar Island, Philippines.
For the preparation of the S. grandiflora target seedlings, each seed was scarified with sandpaper, imbibed in municipal water for 2 h, then sown as described by Marler et al. [27]. The germination substrate was river sand from the nearby Sacobia River alluvial fan, and germination and early seedling growth occurred in 2.6-L containers (15.9-cm diameter at the top, 12.1-cm diameter at the bottom, and 16.8-cm height). This washed river sand was readily available as a local horticultural substrate and enabled the bare-rooting procedures required for our root measurements. All of the companion plants were growing in the nursery in the same container medium, as single plants in tubes that were 5 cm in diameter and 12 cm in depth.
2.2. Experimental Conditions
A nursery setting in Barangay Sapang Bato, Angeles City, Luzon, Philippines was used for this study. When the target seedlings were two months in age, they were bare-rooted and transplanted to the experimental containers with two companion plants. The containers were 7 L in capacity, 25 cm diameter at the top, 19 cm diameter at the bottom, and 20 cm height. The container medium was the same river sand.
Each polyculture container was comprised of a single target S. grandiflora seedling in the center of the container and two companion plants, each the same species. The companion plants were installed half way between the target plant and the container walls on opposite sides of the target plant.
The nursery was protected by 50% shade cloth. Containers were arranged in a 60-cm grid on raised nursery benches. Containers were irrigated manually on a daily basis. Plant nutrition was maintained with weekly drench of soluble fertilizer solution at 500 mL per container. The stock solution was comprised of water-soluble fertilizer (24% nitrogen,3.5% phosphorus, 13.2% potassium, 0.02% boron, 0.07% copper, 0.15% iron, 0.05% manganese, 0.0005% molybdenum, 0.06% zinc) at 1 g·L−1 and calcium nitrate at 0.5 g·L−1. The companion plants were experimentally constrained in size with repeated leaf removal to maintain two recently matured leaves per plant. The angiosperm companion plants were also constrained in size with stem pruning to maintain plant height of 10─15 cm. This approach ensured that companion plant roots co-mingled with target plant roots for the duration of the study, but the companion plant competitive capacity was partially constrained.
To terminate each study, the contents of each container were carefully removed from the container and the sand was gently washed from the roots. The companion plants were separated from the target plant roots and not included in further analysis. The target plants were separated into leaves, stems, and roots. Roots were refrigerated until root length was determined with the line intersect method [28,29]. These methods estimate the sum of the length of all individual roots. The tissues from each of the three organs were dried for 48 h in a forced draft oven at 75 °C before measuring dry weight.
Direct response variables were root dry weight, shoot dry weight (leaves + stems), total plant dry weight, and root length. Derived response variables were root:shoot ratio based on dry weights and specific root length as cm·g−1.
2.3. Native Sympatric Study
This study was conducted using conspecific and two non-kin native species as companion plants. The non-kin companion plants were M. citrifolia and N. hirsutula. These two species are naturally sympatric with both S. grandiflora and S. nelsonii. This study included a control treatment with S. grandiflora seedlings grown alone with no companion plants.
The S. grandiflora seeds for the target plants were planted on 13 August 2018, experimental containers were planted on 12 October 2018, and the study was terminated 15–17 June 2019. There were eight replications per species combination.
2.4. Phylogenetic Range Study
Five species of companion plants were employed to provide a phylogenetic approach to determining the influence of non-kin competition. A congeneric companion was supplied as S. kanehirae, a eudicotyledon companion was supplied as T. pandacaqui, a monocotyledon companion was supplied as P. crinitum, a gymnosperm companion was supplied as C. nitida, and a pteridophyte companion was supplied as the fern P. calomelanos.
The S. grandiflora seeds for the target plants were planted on 6 December 2018, experimental containers were planted on 5 February 2019, and the study was terminated 14–16 December 2019. There were six replications for each species combination.
2.5. Statistics
The data were subjected to analysis of variance with the General Linear Model (Proc GLM, SAS Institute, Cary, NC, USA). The specific root length data did not conform to parametric prerequisites. The nonparametric Kruskal-Wallis test was employed for analysis of this response variable for both studies. Means separation among levels of significant factors was conducted with Tukey’s honestly significant difference as pairwise comparisons.
3. Results
3.1. Native Sympatric Study
The root dry weight of target S. grandiflora plants was substantially increased, or facilitated, by companion plants (df = 3, 28; F = 23.17; p < 0.001). Both species of stranger companion plants increased root dry weight, but conspecific companion plants decreased root dry weight in comparison to control plants with no companions (Figure 1a). The shoot dry weight of target S. grandiflora plants was also influenced by stranger companions (df = 3, 28; F = 3.348; p = 0.033). Shoot dry weight of target plants with M. citrifolia companions was not different from that of control plants (Figure 1a). In contrast, N. hirsutula and S. grandiflora companion plants reduced the shoot dry weight of target plants when compared to control plants. Total plant dry weight also differed among the treatments (df = 3, 28; F = 5.694; p = 0.004). Thus, total plant dry weight of target plants with N. hirsutula companion plants was not different from that of control plants (Figure 1b). In contrast, total plant dry weight of target plants with M. citrifolia companion plants increased and that of target plants with S. grandiflora companion plants decreased relative to the control plants (Figure 1b).
Figure 1.
(a) Dry weight of roots (black bars) and shoots (white bars) and (b) Dry weight of total plant of Serianthes grandiflora seedlings grown with different species. Treatments were: Control, no companion; Morinda citrifolia; Nephrolepis hirsutula; Conspecific. Bars represent one SE (n = 8) and bars with the same letters are not significantly different.
The total root length of target S. grandiflora plants was affected by companion plant treatments (df = 3, 28; F = 19.677; p < 0.001). Root length of target plants with M. citrifolia or N. hirsutula companion plants was greater than that of control plants, but similar to each other (Figure 2a). In contrast, root length of target plants with S. grandiflora companion plants was less than that of control plants. The root:shoot ratio of target S. grandiflora plants was also influenced by companion plants (df = 3, 28; F = 80.097; p < 0.001). Root:shoot ratio of target plants with S. grandiflora companion plants did not differ from that of control plants (Figure 2b). In contrast, the two stranger companion plant treatments increased root:shoot ratio above that of the control plants.
Figure 2.
(a) Root length and (b) root:shoot ratios of Serianthes grandiflora seedlings grown with different species. Treatments were: Control, no companion; Morinda citrifolia; Nephrolepis hirsutula; Conspecific. Root:shoot ratios based on dry weight. Bars represent one SE (n = 8) and bars with the same letters are not significantly different.
In summary, the target plants with conspecific companion plants exhibited the lowest mean root dry weight, root length, shoot dry weight, total plant dry weight, and root:shoot ratio. The target plants with N. hirsutula companion plants exhibited the greatest root dry weight, root length, and root:shoot ratio.
The general appearance of the root systems was similar among the treatments. However, differences in root growth were apparent when comparing target plants exhibiting the greatest root growth due to pteridophyte companions and target plants exhibiting the least root growth due to conspecific companions (Figure 3). The full volume of the medium in the 7-L containers was occupied by the roots of every S. grandiflora target plant, so the container walls determined the total volume of occupied space. The appearance of individual roots was similar among the experimental units because the treatments did not affect specific root length (H = 3.753; p = 0.289; range from 51.4–56.6 cm·g−1). The only general characteristic that differed among the treatments was the density of roots within the container medium, which was a direct result of heterogeneous total root length and a fixed total rooting volume.
Figure 3.
Appearance of Serianthes grandiflora roots after growing 10 months with (a) Nephrolepis hirsutula or (b) Serianthes grandiflora companion plants. Bars = 10 cm.
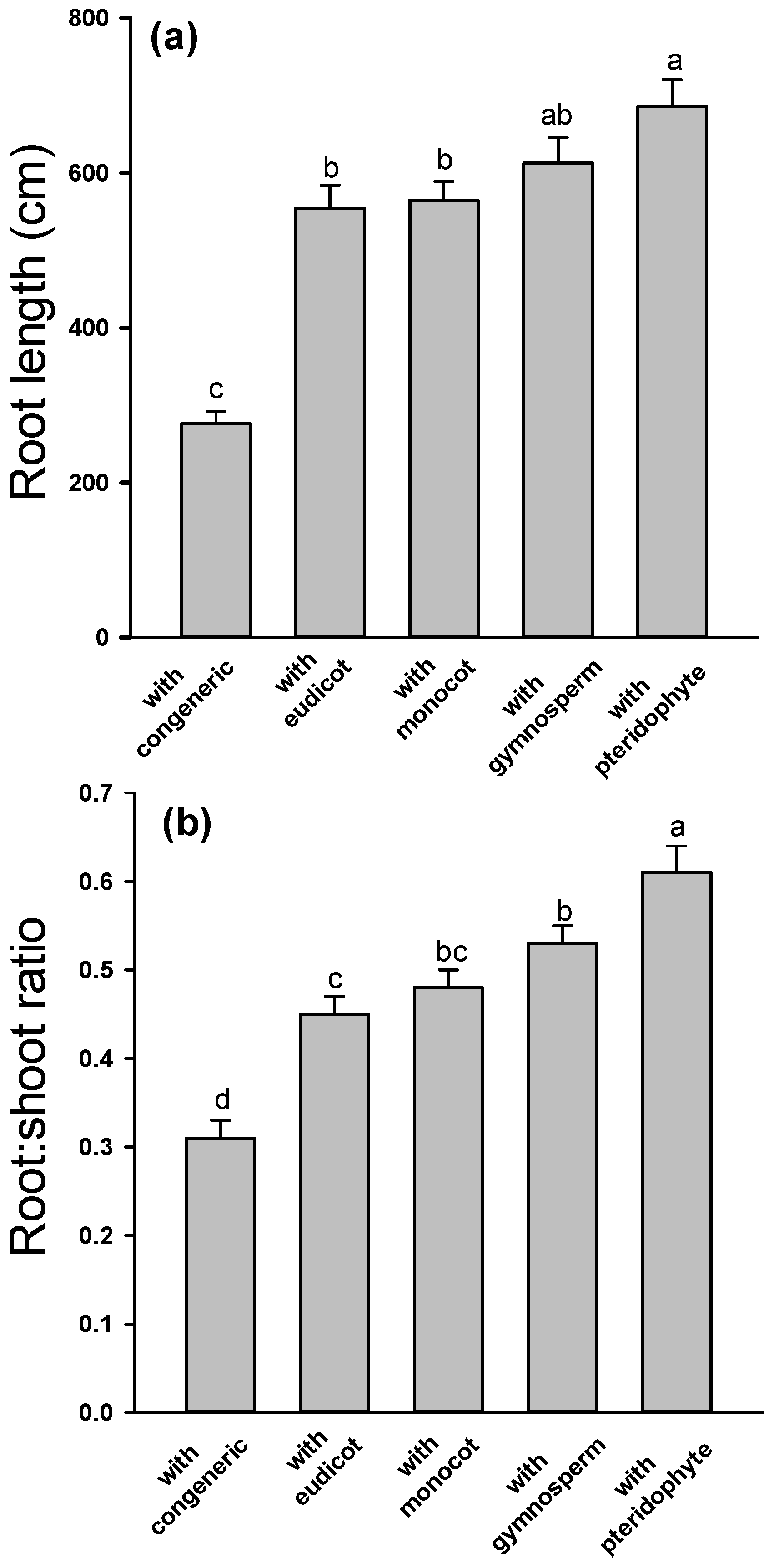
3.2. Phylogenetic Range Study
The mean root dry weight of target S. grandiflora plants was affected by companion plant identity (df = 4, 25; F = 46.351; p < 0.001). Root dry weight of target plants increased in the order of companion plant identity: congeneric (S. kanehirae) < eudicot = monocot < gymnosperm < pteridophyte (Figure 4a). The shoot dry weight of target plants was also affected by companion plant identity (df = 4, 25; F = 9.113; p < 0.001). Shoot dry weight of target plants with congeneric companions was less than that of all other treatments (Figure 4a). The pattern of root dry weight among the treatments generated a similar pattern for total plant dry weight (df = 4, 25; F = 30.057; p < 0.001). The gymnosperm and pteridophyte companion plants generated the greatest total plant dry weight of the target plants, and the congeneric companion plants generated the least (Figure 4b).
Figure 4.
(a) Dry weight of roots (black bars) and shoots (white bars) and (b) Dry weight of total plant of Serianthes grandiflora seedlings grown with different species. Treatments were: congeneric, Serianthes kanehirae; eudicot, Tabernaemontana pandacaqui; monocot, Pogonatherum crinitum; gymnosperm, Cycas nitida; pteridophyte, Pityrogramma calomelanos. Bars represent one SE (n = 6) and bars with the same letters are not significantly different.
The total root length of target S. grandiflora plants was greater for all heterospecific companion plants than for conspecific companions (df = 4, 25; F = 22.747; p < 0.001). Root length of target plants increased in the order of companion plant identity: congeneric<eudicot = monocot ≤ gymnosperm ≤ pteridophyte (Figure 5a). The root:shoot ratio of target S. grandiflora plants was also greater for all heterospecific companion plants than for conspecific companions (df = 4, 25; F = 19.426; p < 0.001). Root:shoot ratio of target plants increased in the order of companion plant identity: congeneric < eudicot ≤ monocot ≤ gymnosperm < pteridophyte (Figure 5b).
Figure 5.
(a) Root length and (b) root:shoot ratios of Serianthes grandiflora seedlings grown with different species. Treatments were: congeneric, Serianthes kanehirae; eudicot, Tabernaemontana pandacaqui; monocot, Pogonatherum crinitum; gymnosperm, Cycas nitida; pteridophyte, Pityrogramma calomelanos. Root:shoot ratios based on dry weight. Bars represent one SE (n = 6) and bars with the same letters are not significantly different.
In summary, the target plants with congeneric companion plants exhibited the minimum value of every measured response variable. The target plants with pteridophyte companion plants exhibited the greatest value of every measured response variable. As with the native sympatric study, the companion plant identity in this study did not influence specific root length (H = 4.916; p = 0.296; range from 51.2–55.4 cm·g−1).
4. Discussion
Our salient finding is the striking facilitative effects of “stranger” plants on the root biomass and length of S. grandiflora seedlings. Root growth increased with the use of stranger companion plants above that of S. grandiflora seedlings grown alone with no companion plants. If these same facilitative effects occur for the exceptionally threatened S. nelsonii, then companion planting with strangers, and concomitant facilitation, may prove to be a major advance in the restoration of the species. Our results also shed light on the “hidden half” [30]. Tree roots provide anchorage, absorption of water and nutrients, and storage of non-structural resources [30,31]. But, our results also illuminate elaborate root communication that forms adversarial or beneficial relationships with many other organisms in the pedosphere, and these relationships are crucial for sustaining health of the individuals and organizing communities; as well as the ecosystem as a whole [10,13,14,32,33,34]. Our study adds to the burgeoning body of evidence illustrating how knowledge of the hidden half can be exploited to improve plant growth and productivity in managed production systems e.g., [6].
Our results are unusual in they occurred in well-watered pots and the otherwise benign conditions of a shaded nursery setting. Facilitation tends to be the most intense and frequent in stressful abiotic conditions, in other words when there is some aspect of the environment that a neighbor can potentially ameliorate [35,36]. This suggests that companion plants might have even stronger effects in the field where conditions are more stressful. The controlled conditions also suggest likely mechanisms. If companion plants could not ameliorate the already shady and mesic conditions we provided, then belowground effects may have been key. These effects may have been manifest through root communication driving spatial partitioning of S. grandiflora roots in ways that improved overall growth [13,37,38]. Another possible mechanism is root-stimulated release of nutrients from soils, [2,39], caused by heterospecific companion species, but not by congeners. However, because space is highly constricted in pots, improved spatial partitioning may be an unlikely mechanism, and because plants were well-fertilized, nutrient release may be unlikely as a mechanism as well. We suggest that strangers were likely to impede the accumulation of harmful soil biota, as commonly occurs in plant-soil feedbacks e.g., [40,41,42]. Mixtures of different species or genotypes appear to slow the accumulation of deleterious soil biota by reducing homogeneous root substrates for plant species-specific microbes [43,44,45]. Notably, if the amelioration of plant-soil feedbacks is the mechanism, then it should function well in restoration practices in the field e.g., [46]. Importantly, microbially based mechanisms and root-root interactions are not mutually exclusive.
Another mechanism, again not mutually exclusive from others, could be shifts in root:shoot allocation in response to a “competitor”. For example, Goldberg and Fleetwood [47] measured root:shoot ratios in response to competition among four annual plant species. They found that proportional allocation to roots was dramatically affected by competition, with five out of 12 species combinations showing increased root:shoot ratios and four combinations showing decreased allocation to roots. However, in our case, some of our heterospecific neighbors increased the total biomass of S. grandiflora seedlings (Figure 1 and Figure 4), clearly a facilitative effect, in addition to increasing root:shoot ratios (Figure 2 and Figure 5), suggesting that the effect of strangers was more than simply promoting changes in biomass allocation.
Our study with native companion plants confirmed that the use of appropriate companion plants for container-grown S. grandiflora saplings provided a passive approach for increasing root growth when compared to single saplings growing alone in containers. To our knowledge, this is the first study to exploit stranger root stimulation of target root growth to improve the quality of container-grown nursery plants. Tropical tree species from wet forests invest into robust relative shoot growth and limited relative root growth, especially when compared to species from dry savanna habitats [48]. Therefore, our findings may be of value for improved management decisions for other tropical tree species. Our phylogenetic study showed that the continuum from close kin neighbors to phylogenetically distant neighbors may exert a direct influence on belowground behavior of S. grandiflora seedlings. This adds to the literature showing that phylogenetic diversity may influence root traits more so than species diversity [49,50,51] and that facilitation in general is more important among phylogenetically distant species [52]. This new knowledge indicates that microsite selection when out-planting Serianthes transplants may exploit selection of genetically distant immediate neighbors to improve establishment and early root growth. Our native sympatric study confirmed that conspecific neighbors were detrimental to root growth of target plants, so restoration sites should ensure considerable distance between adjacent Serianthes transplants to ensure no root-to-root contact is possible during the initial establishment phase.
The use of belowground solutions for globally relevant issues is of such importance that entire scientific conferences have been convened on the topic [53]. Manipulating neighbor identity in managed plant systems leads to the direct influence of resource depletion dynamics caused by competition, but also to adversarial or facilitative relationships mediated by secondary metabolite production and exudation which can mediate communication and coordination with other roots [54,55,56]. The evidence for chemical effects on root-to-root communication has been shown by the use of activated carbon or sodium orthovanadate in the rooting substrate to adsorb chemicals and turn off the communication [57,58], direct application of collected chemicals [55], flushing the root substrate with a solvent [59], or use of mesh dividers which allow chemical transmission but exclude root contact [60].
The identification of plants competing through root communication is not fully understood because the relationships are so nuanced. For example, species mixtures may improve growth of pioneer tree species but not late successional species [61]. The sex of conspecific competitors may influence plant response to biodiversity [62]. The rooting substrate in which polyculture studies are performed may directly influence the outcomes of biodiversity studies [59]. Low to medium inter-specific competition may stimulate root exudation synthesis of allelochemicals under conditions that greater inter-specific competition does not [59,63]. Root-to-root interactions may be mediated partly through indirect effects on soil communities [64,65]. The simplest form of polyculture where two genotypes coexist may rely on suppression of competitor growth but more complex forms of polyculture with multiple genotypes may rely on maintenance of growth under competition [66]. And finally, inter-specific competition among native species may elicit less root growth response than competition between native species and non-native species [67].
4.1. Future Directions
This study was conducted with ample water and nutrient resources and used bench spacing such that competition for above-ground resources was minimized. Resource limitations are important traits of many biodiversity studies that reveal increased productivity during genotype mixtures [68,69,70]. Indeed, context dependency is an important concept in biodiversity research [11,71]. More research is needed under resource-limited conditions to determine if the improvement in Serianthes root growth by stranger root contact is greater than in our study, for example in natural field conditions e.g., [72].
We used native companion plants that are sympatric with S. grandiflora and S. nelsonii. The use of alien companion plants in a Serianthes container nursery may lead to greater improvements of root growth than native companion plants in our study. Some non-native species show exceptionally strong competitive abilities [73,74].
Polycultures with three or more competitors may produce outcomes that differ from two-way plant interactions [64,75]. More research is needed to determine if use of more than one stranger companion species may improve root growth of container-grown Serianthes target plants to a greater extent than companions from a single stranger species.
4.2. Conservation Applications
The national recovery plan for S. nelsonii [21] called for goals that have not been adequately addressed [22]. More research directed toward the reasons for the inadequate progress is urgent. The use of our two native stranger companion species as nursery competitors, followed by killing the companion plants prior to out-planting, could be used in future trials to determine if initial growth and survival of S. nelsonii transplants is improved by the nursery methods. Such non-destructive approaches would not damage container-grown S. nelsonii plants, and would not risk introduction of non-native organisms from the nursery to the in situ field site.
Our results reveal a production system in which the conservationist asks the stranger plants to passively build a stronger foundation for Serianthes transplants by increasing absolute and relative root growth. Based on previous studies, these allometric shifts will lead to greater post-transplant survival and performance of a container-grown Serianthes plants [26]. Using stranger root systems to promote Serianthes root growth is an approach that unskilled nursery workers can manage.
The inclusion of conspecific competitors as one of our treatments provided results that have two applications for conservationists. First, in order to avoid kin neighbors from reducing root growth in conservation nurseries, S. nelsonii seedlings should be grown in solo containers rather than grown together. Second, close proximity of transplants should be avoided when designing the layout for transplantation of S. nelsonii plants from a conservation nursery into a forested restoration site. This will ensure that the developing root systems will not encounter roots from adjacent S. nelsonii plants.
The order of arrival of competing species may exert a direct influence on how biodiversity influences productivity [76,77]. When conservationists transplant container-grown saplings in established forest communities, the later arrival of transplants and their container-constrained root systems place the transplants at a competitive disadvantage. A more robust Serianthes root system that is nurtured by the use of stranger companion plant root communication may mitigate some of those disadvantages.
The endangered Cycas micronesica K.D. Hill is sympatric with S. nelsonii and also expresses kin recognition by increasing root growth when grown in contact with non-kin neighbors [78]. These two highly threatened Guam trees reveal behaviors that indicate root growth improvements in the presence of stranger roots may be widespread for this island’s native flora.
Author Contributions
Conceptualization, T.E.M.; methodology, T.E.M.; formal analysis, T.E.M.; investigation, T.E.M.; writing—original draft preparation, T.E.M. and R.M.C. Both authors have read and agreed to the published version of the manuscript.
Funding
RMC thanks the National Science Foundation EPSCoR Cooperative Agreement OIA-1757351 for support.
Data Availability Statement
Data available upon request.
Acknowledgments
TEM thanks the Western Pacific Tropical Research Center for support.
Conflicts of Interest
The authors declare no conflict of interest.
References
- Smith, B.D. Documenting plant domestication: The consilience of biological and archaeological approaches. Proc. Natl. Acad. Sci. USA 2001, 98, 1324–1326. [Google Scholar] [CrossRef] [PubMed] [Green Version]
- Li, L.; Tilman, D.; Lambers, H.; Zhang, F. Plant diversity and overyielding: Insights from belowground facilitation of intercropping in agriculture. New Phytol. 2014, 203, 63–69. [Google Scholar] [CrossRef]
- Wright, A.J.; Wardle, D.A.; Callaway, R.; Gaxiola, A. The overlooked role of facilitation in biodiversity experiments. Trends Ecol. Evol. 2017, 32, 383–390. [Google Scholar] [CrossRef] [PubMed]
- Wright, A.J.; Barry, K.E.; Lortie, C.J.; Callaway, R.M. Biodiversity and ecosystem functioning: Have our experiments and indices been underestimating the role of facilitation? J. Ecol. 2021, 109, 1962–1968. [Google Scholar] [CrossRef]
- Li, B.; Li, Y.Y.; Wu, H.M.; Zhang, F.F.; Li, C.J.; Li, X.X.; Lambers, H.; Li, L. Root exudates drive interspecific facilitation by enhancing nodulation and N2 fixation. Proc. Natl. Acad. Sci. USA 2016, 113, 6496–6501. [Google Scholar] [CrossRef] [Green Version]
- Brooker, R.W.; George, T.S.; Homulle, Z.; Karley, A.J.; Newton, A.C.; Pakeman, R.J.; Schob, C. Facilitation and biodiversity–ecosystem function relationships in crop production systems and their role in sustainable farming. J. Ecol. 2021, 109, 2054–2067. [Google Scholar] [CrossRef]
- Cardinale, B.J.; Wright, J.P.; Cadotte, M.W.; Carroll, I.T.; Hector, A.; Srivastava, D.S.; Loreau, M.; Weis, J.J. Impacts of plant diversity on biomass production increase through time because of species complementarity. Proc. Natl. Acad. Sci. USA 2007, 104, 18123–18128. [Google Scholar] [CrossRef] [PubMed] [Green Version]
- Klimešová, J.; Martínková, J.; Ottaviani, G. Belowground plant functional ecology: Towards an integrated perspective. Funct. Ecol. 2018, 32, 2115–2126. [Google Scholar] [CrossRef] [Green Version]
- Bennett, T. Plant–plant interactions. Plant Cell Environ. 2021, 44, 995–996. [Google Scholar] [CrossRef]
- Peng, S.; Chen, H.Y.H. Global responses of fine root biomass and traits to plant species mixtures in terrestrial ecosystems. Global Ecol. Biogeogr. 2021, 30, 289–304. [Google Scholar] [CrossRef]
- Wambsganss, J.; Beyer, F.; Freschet, G.T.; Scherer-Lorenzen, M.; Bauhus, J. Tree species mixing reduces biomass but increases length of absorptive fine roots in European forests. J. Ecol. 2021, 109, 2678–2691. [Google Scholar] [CrossRef]
- Mommer, L.; van Ruijven, J.; de Caluwe, H.; Smit-Tiekstra, A.E.; Wagemaker, C.A.M.; Ouborg, J.; Bögemann, J.M.; van der Weerden, G.M.; Berendse, F.; de Kroon, H. Unveiling below-ground species abundance in a biodiversity experiment: A test of vertical niche differentiation among grassland species. J. Ecol. 2010, 98, 1117–1127. [Google Scholar] [CrossRef]
- De Kroon, H.; Hendriks, M.; van Ruijven, J.; Ravenek, J.; Padilla, F.M.; Jongejans, E.; Visser, E.J.W.; Mommer, L. Root responses to nutrients and soil biota: Drivers of species coexistence and ecosystem productivity. J. Ecol. 2012, 100, 1–15. [Google Scholar] [CrossRef]
- van Der Heijden, M.G.; Bardgett, R.D.; Van Straalen, N.M. The unseen majority: Soil microbes as drivers of plant diversity and productivity in terrestrial ecosystems. Ecol. Lett. 2008, 11, 296–310. [Google Scholar] [CrossRef]
- Mangan, S.A.; Schnitzer, S.A.; Herre, E.A.; Mack, K.M.; Valencia, M.C.; Sanchez, E.I.; Bever, J.D. Negative plant–soil feedback predicts tree-species relative abundance in a tropical forest. Nature 2010, 466, 752–755. [Google Scholar] [CrossRef]
- LaManna, J.A.; Mangan, S.A.; Alonso, A.; Bourg, N.A.; Brockelman, W.Y.; Bunyavejchewin, S.; Chang, L.W.; Chiang, J.M.; Chuyong, G.B.; Clay, K.; et al. Plant diversity increases with the strength of negative density dependence at the global scale. Science 2017, 356, 1389–1392. [Google Scholar] [CrossRef] [PubMed] [Green Version]
- Janzen, D.H. Herbivores and the number of tree species in tropical forests. Am. Nat. 1970, 104, 501–529. [Google Scholar] [CrossRef]
- Connell, J.H. On the role of natural enemies in preventing competitive exclusion in some marine animals and in rain forest trees. In Dynamics of Populations; den Boer, P.J., Gradwell, G.R., Eds.; Centre for Agricultural Publishing and Documentation: Wageningen, The Netherlands, 1971; pp. 298–312. [Google Scholar]
- Comita, L.S.; Queenborough, S.A.; Murphy, S.J.; Eck, J.L.; Xu, K.; Krishnadas, M.; Beckman, N.; Zhu, Y. Testing predictions of the Janzen–Connell hypothesis: A meta-analysis of experimental evidence for distance-and density-dependent seed and seedling survival. J. Ecol. 2014, 102, 845–856. [Google Scholar] [CrossRef] [PubMed]
- Wiles, G.; Williams, E. Serianthes nelsonii. IUCN Red List Threat. Species 2017. [Google Scholar] [CrossRef]
- United States Fish and Wildlife Service. Recovery Plan for Serianthes nelsonii; USFWS: Portland, OR, USA, 1994.
- Marler, T.E.; Musser, C.; Cascasan, A.N.J.; Cruz, G.N.; Deloso, B.E. Adaptive management lessons for Serianthes nelsonii conservation. Horticulturae 2021, 7, 43. [Google Scholar] [CrossRef]
- Caro, T.M.; O’Doherty, G. On the use of surrogate species in conservation biology. Cons. Biol. 1999, 13, 805–814. [Google Scholar] [CrossRef]
- Pritchard, H.W.; Moat, J.F.; Ferraz, J.B.S.; Marks, T.R.; Camargo, J.L.C.; Nadarajan, J.; Ferraz, I.D.K. Innovative approaches to the preservation of forest trees. For. Ecol. Manag. 2014, 333, 88–98. [Google Scholar] [CrossRef] [Green Version]
- Marler, T.E. Asexual reproduction to propel recovery efforts of the critically endangered Håyun Lågu tree (Serianthes nelsonii Merr.). Trop. Conserv. Sci. 2017, 10, 1–10. [Google Scholar] [CrossRef] [Green Version]
- Marler, T.E. Repetitive pruning of Serianthes nursery plants improves transplant quality and post-transplant survival. Plant Signal. Behav. 2019, 14, e1621246. [Google Scholar] [CrossRef]
- Marler, T.E.; Cascasan, A.N.; Lawrence, J.H. Threatened native trees in Guam: Short-term seed storage and shade conditions influence emergence and growth of seedlings. Hort. Sci. 2015, 50, 1049–1054. [Google Scholar] [CrossRef] [Green Version]
- Newman, E.I. A method of estimating the total length of root in a sample. J. Appl. Ecol. 1966, 3, 139–145. [Google Scholar] [CrossRef]
- Tennant, D. A test of a modified line intersect method of estimating root length. J. Ecol. 1975, 63, 995–1001. [Google Scholar] [CrossRef]
- Eshel, A.; Beeckman, T. Plant Roots: The Hidden Half, 4th ed.; CRC Press: Boca Raton, FL, USA, 2013; 848p. [Google Scholar]
- Evert, R.F. Esau’s Plant Anatomy: Meristems, Cells, and Tissues of the Plant Body: Their Structure, Function, and Development; John Wiley and Sons: Somerset, NJ, USA, 2006. [Google Scholar]
- Callaway, R.M.; Li, L. Decisions, decisions, decisions: Plant roots detect and respond to complex environmental cues. New Phytol. 2020, 226, 11–12. [Google Scholar] [CrossRef] [Green Version]
- Hierro, J.L.; Callaway, R.M. The ecological importance of allelopathy. Ann. Rev. Ecol. Evol. Syst. 2021, 52. [Google Scholar] [CrossRef]
- Sharifi, R.; Ryu, C.-M. Social networking in crop plants: Wired and wireless cross-plant communications. Plant Cell Environ. 2021, 44, 1095–1110. [Google Scholar] [CrossRef]
- Callaway, R.M. Positive interactions in plant communities and the individualistic-continuum concept. Oecologia 1997, 112, 143–149. [Google Scholar] [CrossRef] [PubMed]
- Callaway, R.M. Positive Interactions and Interdependence in Plant Communities; Springer: Dordrecht, The Netherlands, 2007; ISBN 978-1-4020-6223-0 (HB). [Google Scholar]
- Mahall, B.E.; Callaway, R.M. Root communication among desert shrubs. Proc. Nat. Acad. Sci. USA 1991, 88, 874–876. [Google Scholar] [CrossRef] [PubMed] [Green Version]
- Semchenko, M.; John, E.A.; Hutchings, M.J. Effects of physical connection and genetic identity of neighbouring ramets on root-placement patterns in two clonal species. New Phytol. 2007, 176, 644–654. [Google Scholar] [CrossRef] [PubMed]
- Tharayil, T. To survive or to slay. Plant Signal. Behav. 2009, 4, 580–583. [Google Scholar] [CrossRef] [Green Version]
- Bever, J.D.; Westover, K.M.; Antonovics, J. Incorporating the soil community into plant population dynamics: The utility of the feedback approach. J. Ecol. 1997, 85, 561–573. [Google Scholar] [CrossRef]
- Klironomos, J.N. Feedback with soil biota contributes to plant rarity and invasiveness in communities. Nature 2002, 417, 67–70. [Google Scholar] [CrossRef] [PubMed]
- Lekberg, Y.; Bever, J.; Bunn, R.; Callaway, R.M.; Hart, M.; Kivlin, S.; Klironomos, J.; Larkin, B.; Maron, J.; Reinhart, K.O.; et al. Relative importance of competition and plant soil feedbacks, their synergy, context dependency and implications for coexistence. Ecol. Lett. 2018, 21, 1268–1281. [Google Scholar] [CrossRef] [Green Version]
- Maron, J.L.; Marler, M.; Klironomos, J.N.; Cleveland, C.C. Soil fungal pathogens and the relationship between plant diversity and productivity. Ecol. Lett. 2011, 14, 36–41. [Google Scholar] [CrossRef]
- Schnitzer, S.A.; Klironomos, J.N.; Hille Ris Lambers, J.; Kinkel, L.L.; Reich, P.B.; Xiao, K.; Rillig, M.C.; Sikes, B.A.; Callaway, R.M.; Mangan, S.A.; et al. Soil microbes drive the classic plant diversity–productivity pattern. Ecology 2011, 92, 296–303. [Google Scholar] [CrossRef] [PubMed]
- Luo, W.; Callaway, R.M.; Atwater, D.Z. Intraspecific diversity buffers the inhibitory effects of soil biota. Ecology 2016, 97, 1913–1918. [Google Scholar] [CrossRef] [Green Version]
- Middleton, E.L.; Bever, J.D. Inoculation with a native soil community advances succession in a grassland restoration. Restor. Ecol. 2012, 20, 218–226. [Google Scholar] [CrossRef]
- Goldberg, D.; Fleetwood, L. Competitive effect and response in four annual plants. J. Ecol. 1987, 75, 1131–1143. [Google Scholar] [CrossRef]
- Boonman, C.C.F.; van Langevelde, F.; Oliveras, I.; Couédon, J.; Luijken, N.; Martini, D.; Veenendaal, E.M. On the importance of root traits in seedlings of tropical tree species. New Phytol. 2020, 227, 156–167. [Google Scholar] [CrossRef] [PubMed] [Green Version]
- Valverde-Barrantes, O.J.; Smemo, K.A.; Feinstein, L.M.; Kershner, M.W.; Blackwood, C.B. Aggregated and complementary: Symmetric proliferation, overyielding, and mass effects explain fine-root biomass in soil patches in a diverse temperate deciduous forest landscape. New Phytol. 2015, 205, 731–742. [Google Scholar] [CrossRef] [Green Version]
- Valverde-Barrantes, O.J.; Freschet, G.T.; Roumet, C.; Blackwood, C.B. A worldview of root traits: The influence of ancestry, growth form, climate and mycorrhizal association on the functional trait variation of fine-root tissues in seed plants. New Phytol. 2017, 215, 1562–1573. [Google Scholar] [CrossRef] [PubMed] [Green Version]
- Kong, D.; Wang, J.; Wu, H.; Valverde-Barrantes, O.J.; Wang, R.; Zeng, H.; Feng, Y. Nonlinearity of root trait relationships and the root economics spectrum. Nat. Commun. 2019, 10, 2203. [Google Scholar] [CrossRef] [Green Version]
- Duarte, M.; Verdú, M.; Cavieres, L.A.; Bustamante, R.O. Plant–plant facilitation increases with reduced phylogenetic relatedness along an elevation gradient. Oikos 2021, 130, 248–259. [Google Scholar] [CrossRef]
- Ryan, M.H.; Liao, H.; Simpson, R.J. Belowground solutions to global challenges: Special issue from the 9th Symposium of the International Society of Root Research. Plant Soil 2017, 412, 1–5. [Google Scholar] [CrossRef]
- Schmid, C.; Bauer, S.; Müller, B.; Bartelheimer, M. Belowground neighbor perception in Arabidopsis thaliana studied by transcriptome analysis: Roots of Hieracium pilosella cause biotic stress. Front. Plant Sci. 2013, 4, 296. [Google Scholar] [CrossRef] [Green Version]
- Semchenko, M.; Saar, S.; Lepik, A. Intraspecific genetic diversity modulates plant–soil feedback and nutrient cycling. New Phytol. 2017, 216, 90–98. [Google Scholar] [CrossRef] [PubMed] [Green Version]
- Kong, C.-H.; Zhang, S.-Z.; Li, Y.-H.; Xia, Z.-C.; Yang, X.-F.; Meiners, S.J.; Wang, P. Plant neighbor detection and allelochemical response are driven by root-secreted signaling chemicals. Nat. Commun. 2018, 9, 3867. [Google Scholar] [CrossRef] [Green Version]
- Mahall, B.E.; Callaway, R.M. Root Communication mechanisms and intracommunity distributions of two Mojave Desert shrubs. Ecology 1992, 73, 2145–2151. [Google Scholar] [CrossRef]
- Biedrzycki, M.L.; Jilany, T.A.; Dudley, S.A.; Harsh, P.; Bais, H.P. Root exudates mediate kin recognition in plants. Commun. Integr. Biol. 2010, 3, 28–35. [Google Scholar] [CrossRef] [Green Version]
- Hazrati, H.; Fomsgaard, I.S.; Kudsk, P. Targeted metabolomics unveil alteration in accumulation and root exudation of flavonoids as a response to interspecific competition. J. Plant Interact. 2021, 16, 53–63. [Google Scholar] [CrossRef]
- Chen, B.J.W.; Huang, L.; During, H.J.; Wang, X.; Wei, J.; Anten, N.P.R. No neighbour-induced increase in root growth of soybean and sunflower in mesh-divider experiments after controlling for nutrient concentration and soil volume. AoB Plants 2021, 13, plab020. [Google Scholar] [CrossRef] [PubMed]
- Yang, J.; Lei, P.; Xiang, W.; Ouyang, S.; Hui, X. Growth variations of tree saplings in relation to species diversity and functional traits in a tree diversity pot experiment. Forests 2018, 9, 380. [Google Scholar] [CrossRef] [Green Version]
- Zhang, C.; Zhu, J.; Liu, G.; Huang, Y.; Huang, G.; Xu, X. The sexual dimorphism displayed by the roots of mulberry (Morus alba) saplings depends on the sex of the neighboring plants. J. Plant Ecol. 2021, 14, rtab043. [Google Scholar] [CrossRef]
- Rivoal, A.; Fernandez, C.; Greff, S.; Montes, N.; Vila, B. Does competition stress decrease allelopathic potential? Biochem. Syst. Ecol. 2011, 39, 401–407. [Google Scholar] [CrossRef] [Green Version]
- Aschehoug, E.T.; Callaway, R.M. Diversity increases indirect interactions, attenuates the intensity of competition and promotes coexistence. Am. Nat. 2015, 186, 452–459. [Google Scholar] [CrossRef] [Green Version]
- Aschehoug, E.T.; Brooker, R.; Atwater, D.Z.; Maron, J.L.; Callaway, R.M. The mechanisms and consequences of interspecific competition among plants. Ann. Rev. Ecol. Evo. Syst. 2016, 47, 263–281. [Google Scholar] [CrossRef] [Green Version]
- Atwater, D.Z.; Callaway, R.M.; Xiao, S. Competition as a demolition derby: Why tolerating competitors is more important than suppressing them. Oikos 2021, 130, 143–155. [Google Scholar] [CrossRef]
- Kawaletz, H.; Mölder, I.; Annighöfer, P.; Terwei, A.; Zerbe, S.; Ammer, C. Back to the roots: How do seedlings of native tree species react to the competition by exotic species? Ann. For. Sci. 2014, 71, 337–347. [Google Scholar] [CrossRef] [Green Version]
- Hooper, D.U.; Vitousek, P.M. The effects of plant composition and diversity on ecosystem processes. Science 1997, 277, 1302–1305. [Google Scholar] [CrossRef] [Green Version]
- Hooper, D.U.; Chapin, F.S.; Ewel, J.J.; Hector, A.; Inchausti, P.; Lavorel, S.; Lawton, J.H.; Lodge, D.M.; Loreau, M.; Naeem, S.; et al. Effects of biodiversity on ecosystem functioning: A consensus of current knowledge. Ecol. Monogr. 2005, 75, 3–35. [Google Scholar] [CrossRef]
- Reiss, E.R.; Drinkwater, R.L. Cultivar mixtures: A metaanalysis of the effect of intraspecific diversity on crop yield. Ecol. Appl. 2018, 28, 62–77. [Google Scholar] [CrossRef]
- Rehling, F.; Sandner, T.M.; Matthies, D. Biomass partitioning in response to intraspecific competition depends on nutrients and species characteristics: A study of 43 plant species. J. Ecol. 2021, 109, 2219–2233. [Google Scholar] [CrossRef]
- Bertness, M.; Callaway, R.M. Positive interactions in communities. Trends Ecol. Evol. 1994, 9, 191–193. [Google Scholar] [CrossRef]
- Graebner, R.C.; Callaway, R.M.; Montesinos, D. Invasive species grows faster, compete better, and shows greater evolution toward increased seed size and growth exotic non-invasive congeners. Plant Ecol. 2012, 213, 545–553. [Google Scholar] [CrossRef] [Green Version]
- Pearse, I.S.; Sofaer, H.R.; Zaya, D.N.; Spyreas, G. Non-native plants have greater impacts because of differing per-capita effects and nonlinear abundance–impact curves. Ecol. Lett. 2019, 22, 1214–1220. [Google Scholar] [CrossRef]
- del Río, M.; Schütze, D.; Pretzsch, H. Temporal variation of competition and facilitation in mixed species forests in Central Europe. Plant Biol. 2014, 16, 166–176. [Google Scholar] [CrossRef]
- Weidlich, E.W.A.; Temperton, V.M.; Faget, M. Neighbourhood stories: Role of neighbour identity, spatial location and order of arrival in legume and non-legume initial interactions. Plant Soil 2018, 424, 171–182. [Google Scholar] [CrossRef]
- Weidlich, E.W.A.; Nelson, C.R.; Maron, J.L.; Callaway, R.M.; Delory, B.M.; Temperton, V.M. Priority effects and ecological restoration. Restor. Ecol. 2021, 29, e13317. [Google Scholar] [CrossRef]
- Marler, T.E.; Dongol, N.; Cruz, G.N. Plastic responses mediated by identity recognition in below-ground competition in Cycas micronesica K.D. Hill. Trop. Conserv. Sci. 2016, 9, 648–657. [Google Scholar] [CrossRef] [Green Version]
Publisher’s Note: MDPI stays neutral with regard to jurisdictional claims in published maps and institutional affiliations. |
© 2021 by the authors. Licensee MDPI, Basel, Switzerland. This article is an open access article distributed under the terms and conditions of the Creative Commons Attribution (CC BY) license (https://creativecommons.org/licenses/by/4.0/).




