Hydraulic Properties of Forest Soils with Stagnic Conditions
Abstract
:1. Introduction
2. Materials and Methods
2.1. Site Description and Historical Silvicultural-Ecological Background
2.2. Infiltration Measurements
2.3. Water Retention and Pore Size Distribution
2.4. Statistical Analysis
3. Results
3.1. Basic Soil Properties
3.2. Infiltration Experiments
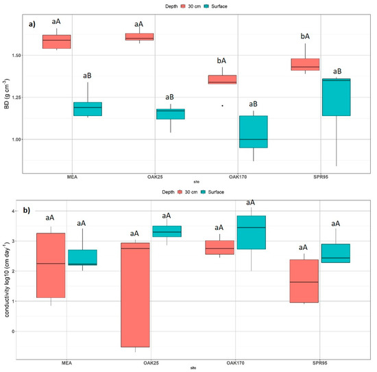
3.3. Properties Derived from Undisturbed Soil Sampling
3.4. Water Retention
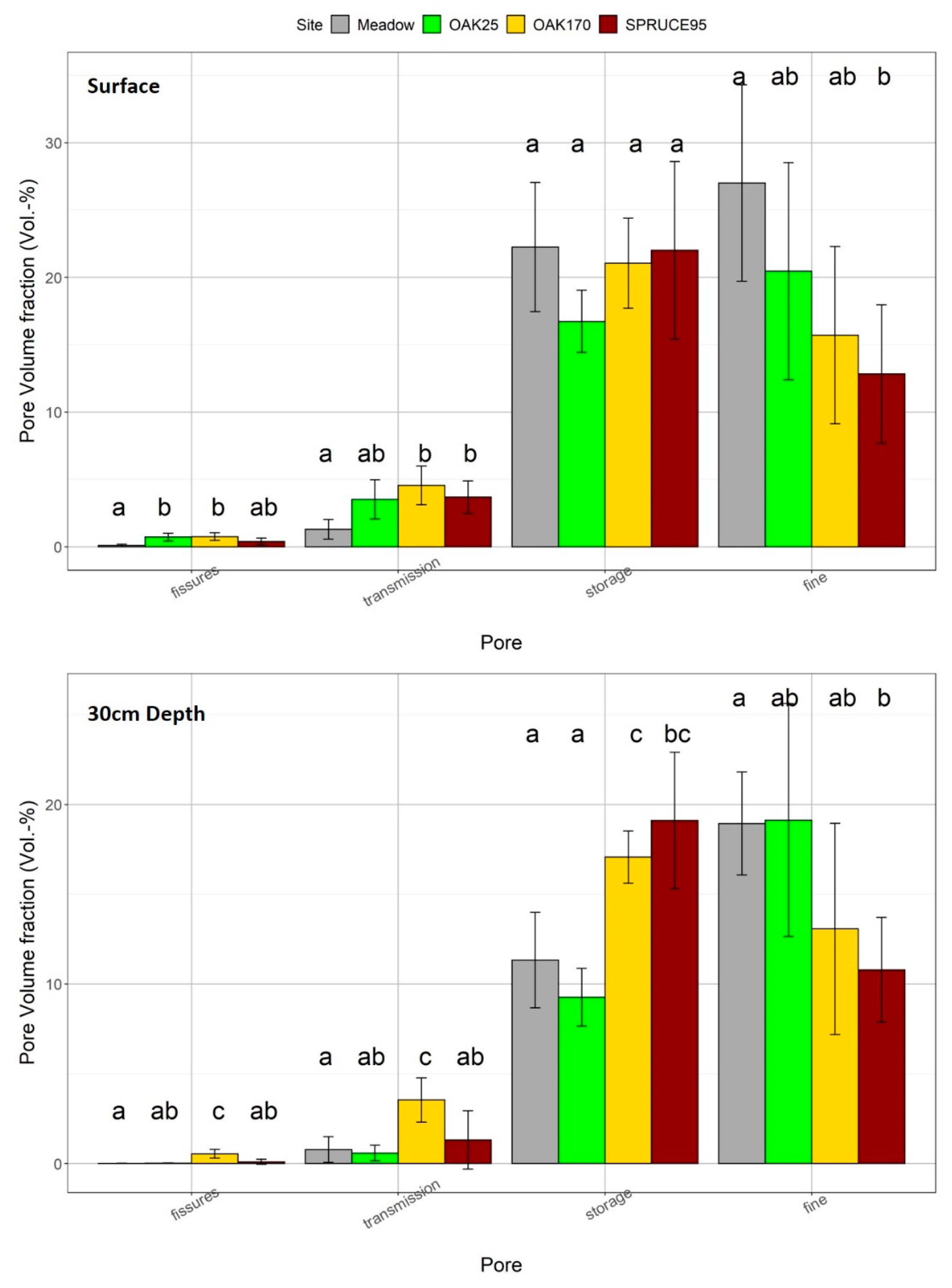
3.5. Pore Size Distribution
4. Discussion
Soil Hydraulic Properties of Forest Soils with Stagnant Conditions
5. Conclusions
Author Contributions
Funding
Data Availability Statement
Acknowledgments
Conflicts of Interest
References
- Archer, N.A.L.; Otten, W.; Schmidt, S.; Bengough, G.; Shah, N.; Bonell, M. Rainfall infiltration and soil hydrological characteristics below ancient forest, planted forest and grassland in a temperate northern climate. Ecohydrology 2015, 9, 585–600. [Google Scholar] [CrossRef] [Green Version]
- Bens, O.; Wahl, N.A.; Fischer, H.; Hüttl, R.F. Water infiltration and hydraulic conductivity in sandy cambisols: Impacts of forest transformation on soil hydrological properties. Eur. J. For. Res. 2006, 126, 101–109. [Google Scholar] [CrossRef]
- Bonnesoeur, V.; Locatelli, B.; Guariguata, M.R.; Ochoa-Tocachi, B.; Vanacker, V.; Mao, Z.; Stokes, A.; Mathez-Stiefel, S.-L. Impacts of forests and forestation on hydrological services in the Andes: A systematic review. For. Ecol. Manag. 2019, 433, 569–584. [Google Scholar] [CrossRef] [Green Version]
- Archer, N.; Bonell, M.; Coles, N.; MacDonald, A.; Auton, C.; Stevenson, R. Soil characteristics and landcover relationships on soil hydraulic conductivity at a hillslope scale: A view towards local flood management. J. Hydrol. 2013, 497, 208–222. [Google Scholar] [CrossRef] [Green Version]
- Price, K.; Jackson, C.R.; Parker, A.J. Variation of surficial soil hydraulic properties across land uses in the southern Blue Ridge Mountains, North Carolina, USA. J. Hydrol. 2010, 383, 256–268. [Google Scholar] [CrossRef]
- Chandler, K.; Stevens, C.; Binley, A.; Keith, A. Influence of tree species and forest land use on soil hydraulic conductivity and implications for surface runoff generation. Geoderma 2018, 310, 120–127. [Google Scholar] [CrossRef] [Green Version]
- Wahren, A.; Feger, K.-H.; Schwärzel, K.; Münch, A. Land-use effects on flood generation–considering soil hydraulic measurements in modelling. In Proceedings of the Advances in Geosciences, Göttingen, Germany, 12 August 2009; Volume 21, pp. 99–107. [Google Scholar]
- Beven, K.; Germann, P. Macropores and water flow in soils revisited. Water Resour. Res. 2013, 49, 3071–3092. [Google Scholar] [CrossRef] [Green Version]
- Lange, B.; Lüescher, P.; Germann, P.F. Significance of tree roots for preferential infiltration in stagnic soils. Hydrol. Earth Syst. Sci. 2009, 13, 1809–1821. [Google Scholar] [CrossRef] [Green Version]
- Alaoui, A.; Caduff, U.; Gerke, H.H.; Weingartner, R. Preferential Flow Effects on Infiltration and Runoff in Grassland and Forest Soils. Vadose Zone J. 2011, 10, 367–377. [Google Scholar] [CrossRef]
- Bodner, G.; Leitner, D.; Kaul, H.-P. Coarse and fine root plants affect pore size distributions differently. Plant Soil 2014, 380, 133–151. [Google Scholar] [CrossRef] [PubMed] [Green Version]
- Bosch, J.; Hewlett, J. A review of catchment experiments to determine the effect of vegetation changes on water yield and evapotranspiration. J. Hydrol. 1982, 55, 3–23. [Google Scholar] [CrossRef]
- Elsenbeer, H. Hydrologic flowpaths in tropical rainforest soilscapes—A review. Hydrol. Process. 2001, 15, 1751–1759. [Google Scholar] [CrossRef]
- Wahren, A.; Schwärzel, K.; Feger, K.-H. Potentials and limitations of natural flood retention by forested land in headwater catchments: Evidence from experimental and model studies. J. Flood Risk Manag. 2012, 5, 321–335. [Google Scholar] [CrossRef]
- Pilaš, I.; Feger, K.-H.; Vilhar, U.; Wahren, A. Multidimensionality of Scales and Approaches for Forest–Water Interactions. In Forest Management and the Water Cycle: An Ecosystem-Based Approach; Ecological Studies; Bredemeier, M., Cohen, S., Godbold, D.L., Lode, E., Pichler, V., Schleppi, P., Eds.; Springer: Dordrecht, The Netherlands, 2011; pp. 351–380. ISBN 978-90-481-9834-4. [Google Scholar]
- Chandrasekhar, P.; Kreiselmeier, J.; Schwen, A.; Weninger, T.; Julich, S.; Feger, K.-H.; Schwärzel, K. Why We Should Include Soil Structural Dynamics of Agricultural Soils in Hydrological Models. Water 2018, 10, 1862. [Google Scholar] [CrossRef] [Green Version]
- Robinson, D.A.; Hopmans, J.; Filipović, V.; Van Der Ploeg, M.; Lebron, I.; Jones, S.B.; Reinsch, S.; Jarvis, N.; Tuller, M. Global environmental changes impact soil hydraulic functions through biophysical feedbacks. Glob. Chang. Biol. 2019, 25, 1895–1904. [Google Scholar] [CrossRef] [Green Version]
- Schwärzel, K.; Carrick, S.; Wahren, A.; Feger, K.-H.; Bodner, G.; Buchan, G. Soil Hydraulic Properties of Recently Tilled Soil under Cropping Rotation Compared with Two-Year Pasture. Vadose Zone J. 2011, 10, 354–366. [Google Scholar] [CrossRef] [Green Version]
- Vereecken, H.; Huisman, J.A.; Hendricks-Franssen, H.-J.; Brüggemann, N.; Bogena, H.; Kollet, S.; Javaux, M.; Van Der Kruk, J.; Vanderborght, J. Soil hydrology: Recent methodological advances, challenges, and perspectives. Water Resour. Res. 2015, 51, 2616–2633. [Google Scholar] [CrossRef]
- Assouline, S.; Or, D. Conceptual and Parametric Representation of Soil Hydraulic Properties: A Review. Vadose Zone J. 2013, 12. [Google Scholar] [CrossRef]
- Kreiselmeier, J.; Chandrasekhar, P.; Weninger, T.; Schwen, A.; Julich, S.; Feger, K.-H.; Schwärzel, K. Quantification of soil pore dynamics during a winter wheat cropping cycle under different tillage regimes. Soil Tillage Res. 2019, 192, 222–232. [Google Scholar] [CrossRef]
- Weninger, T.; Bodner, G.; Kreiselmeier, J.; Chandrasekhar, P.; Julich, S.; Feger, K.-H.; Schwärzel, K.; Schwen, A. Combination of Measurement Methods for a Wide-Range Description of Hydraulic Soil Properties. Water 2018, 10, 1021. [Google Scholar] [CrossRef] [Green Version]
- Yu, M.; Zhang, L.; Xu, X.; Feger, K.-H.; Wang, Y.; Liu, W.; Schwärzel, K. Impact of land-use changes on soil hydraulic properties of Calcaric Regosols on the Loess Plateau, NW China. J. Plant Nutr. Soil Sci. 2015, 178, 486–498. [Google Scholar] [CrossRef]
- Cambi, M.; Certini, G.; Neri, F.; Marchi, E. The impact of heavy traffic on forest soils: A review. For. Ecol. Manag. 2015, 338, 124–138. [Google Scholar] [CrossRef]
- Di Prima, S.; Bagarello, V.; Angulo-Jaramillo, R.; Bautista, I.; Cerdà, A.; del Campo, A.; González-Sanchis, M.; Iovino, M.; Lassabatere, L.; Maetzke, F. Impacts of thinning of a Mediterranean oak forest on soil properties influencing water infiltration. J. Hydrol. Hydromech. 2017, 65, 276–286. [Google Scholar] [CrossRef] [Green Version]
- Startsev, A.D.; McNabb, D.H. Effects of skidding on forest soil infiltration in west-central Alberta. Can. J. Soil Sci. 2000, 80, 617–624. [Google Scholar] [CrossRef]
- Hayashi, Y.; Ken’Ichirou, K.; Mizuyama, T. Changes in pore size distribution and hydraulic properties of forest soil resulting from structural development. J. Hydrol. 2006, 331, 85–102. [Google Scholar] [CrossRef]
- Toriyama, J.; Ohta, S.; Araki, M.; Kosugi, K.; Nobuhiro, T.; Kabeya, N.; Shimizu, A.; Tamai, K.; Kanzaki, M.; Chann, S. Soil pore characteristics of evergreen and deciduous forests of the tropical monsoon region in Cambodia. Hydrol. Process. 2010, 25, 714–726. [Google Scholar] [CrossRef]
- Perkins, K.S.; Nimmo, J.R.; Medeiros, A.C. Effects of native forest restoration on soil hydraulic properties, Auwahi, Maui, Hawaiian Islands. Geophys. Res. Lett. 2012, 39. [Google Scholar] [CrossRef] [Green Version]
- Krauss, G.A. Die Sogenannten Bodenerkrankungen (Mit Vorweisung Natürlicher Waldbodenprofile). Jahresber. Dtsch. Forstvereins. 1928, 328, 121–156. [Google Scholar]
- Kubiena, W.L. The Soils of Europe: Illustrated Diagnosis and Systematics, with Keys and Descriptions for Easy Identification of the Most Important Soil Formations of Europe with Consideration of the Most Frequent Synonyms; T. Murby & Co: London, UK, 1953. [Google Scholar]
- Krauss, G.A.; Müller, K.; Gärtner, K. Standortsgemäße Durchführung der Abkehr von der Fichtenwirtschaft im Nordwestsächsischen Niederland (Mit grundsätzlichen Bemerkungen über “gleiartige” Bodenbildungen. Thar. Forstl J. 1939, 90, 481–715. [Google Scholar]
- Schwärzel, K.; Punzel, J. Hood Infiltrometer-A New Type of Tension Infiltrometer. Soil Sci. Soc. Am. J. 2007, 71, 1438–1447. [Google Scholar] [CrossRef]
- Reynolds, W.D.; Elrick, D.E. Determination of Hydraulic Conductivity Using a Tension Infiltrometer. Soil Sci. Soc. Am. J. 1991, 55, 633–639. [Google Scholar] [CrossRef]
- Ankeny, M.D.; Ahmed, M.; Kaspar, T.C.; Horton, R. Simple Field Method for Determining Unsaturated Hydraulic Conductivity. Soil Sci. Soc. Am. J. 1991, 55, 467–470. [Google Scholar] [CrossRef]
- Reynolds, W.D.; Bowman, B.T.; Brunke, R.R.; Drury, C.F.; Tan, C.S. Comparison of Tension Infiltrometer, Pressure Infiltrometer, and Soil Core Estimates of Saturated Hydraulic Conductivity. Soil Sci. Soc. Am. J. 2000, 64, 478–484. [Google Scholar] [CrossRef]
- Bagarello, V.; Baiamonte, G.; Castellini, M.; Di Prima, S.; Iovino, M. A comparison between the single ring pressure infiltrometer and simplified falling head techniques. Hydrol. Process. 2014, 28, 4843–4853. [Google Scholar] [CrossRef]
- Kosugi, K. Lognormal Distribution Model for Unsaturated Soil Hydraulic Properties. Water Resour. Res. 1996, 32, 2697–2703. [Google Scholar] [CrossRef]
- Greenland, D.J. Soil Management and Soil Degradation. Eur. J. Soil Sci. 1981, 32, 301–322. [Google Scholar] [CrossRef]
- Lenth, R.; Singmann, H.; Love, J.; Buerkner, P.; Herve, M. Emmeans: Estimated Marginal Means, Aka Least-Squares Means. R Packag. Version 2018, 1, 3. [Google Scholar]
- Agnese, C.; Bagarello, V.; Baiamonte, G.; Iovino, M. Comparing Physical Quality of Forest and Pasture Soils in a Sicilian Watershed. Soil Sci. Soc. Am. J. 2011, 75, 1958–1970. [Google Scholar] [CrossRef]
- Noguchi, S.; Tsuboyama, Y.; Sidle, R.C.; Hosoda, I. Morphological Characteristics of Macropores and the Distribution of Preferential Flow Pathways in a Forested Slope Segment. Soil Sci. Soc. Am. J. 1999, 63, 1413–1423. [Google Scholar] [CrossRef]
- Hagedorn, F.; Bundt, M. The age of preferential flow paths. Geoderma 2002, 108, 119–132. [Google Scholar] [CrossRef]
- Withington, J.M.; Reich, P.; Oleksyn, J.; Eissenstat, D.M. Comparisons of structure and life span in roots and leaves among temperate trees. Ecol. Monogr. 2006, 76, 381–397. [Google Scholar] [CrossRef]
- Thomas, F.M. Vertical rooting patterns of mature Quercus trees growing on different soil types in northern Germany. Plant Ecol. 2000, 147, 95–103. [Google Scholar] [CrossRef]
- Thomas, F.M.; Hartmann, G. Tree rooting patterns and soil water relations of healthy and damaged stands of mature oak (Quercus robur L. and Quercus petraea [Matt.] Liebl.). Plant Soil 1998, 203, 145–158. [Google Scholar] [CrossRef]
- Schmid, I.; Kazda, M. Root distribution of Norway spruce in monospecific and mixed stands on different soils. For. Ecol. Manag. 2002, 159, 37–47. [Google Scholar] [CrossRef]




| Site-Horizon | Depth (cm) | Sand/Silt/Clay (Mass-%) | Bulk Density (g cm−3) (n = 5) | C (Mass%) | N (Mass%) |
|---|---|---|---|---|---|
| MEA-Ah | 0–25 | 13/70/17 | 1.19 (0.09) | 1.98 | 0.14 |
| MEA-Bg | 25–45 | 13/73/14 | 1.53 (0.09) | 0.16 | 0.03 |
| MEA-2Bg | 45–76 | 45/38/17 | 1.52 (0.04) | 0.12 | 0.02 |
| OAK25-Ah | 0–18 | 12/68/20 | 1.25 (0.01) | 2.33 | 0.17 |
| OAK25-AhBg | 18–32 | 13/67/20 | 1.48 (0.07) | 1.14 | 0.08 |
| OAK25-Bg | 32–50 | 43/35/21 | 1.75 (0.02) | 0.18 | 0.02 |
| OAK25-Btg | 50–90 | 42/24 /35 | 1.70 (0.06) | 0.08 | 0.02 |
| OAK170-Oa/Ah | 0–10 | 12/66/22 | 0.87 (0.15) | 11.5 | 0.67 |
| OAK170-Bw | 10–31 | 7/78/15 | 1.48 (0.11) | 0.77 | 0.05 |
| OAK170-Bg | 31–60 | 6/72/22 | 1.48 (0.03) | 0.47 | 0.05 |
| OAK170-Btg | 60–90 | 42/20/38 | 1.75 (0.06) | 0.13 | 0.02 |
| SPR95-Oa/Ah | 0–3 | 18/64/19 | n.d. | 10.6 | 0.51 |
| SPR95-EBg | 3–38 | 25/65/10 | 1.53 (0.07) | 0.61 | 0.04 |
| SPR95-Bg | 38–90 | 44/31/25 | 1.57 (0.07) | 0.17 | 0.03 |
| Θr | Θs | hm1 | hm2 | rm1 | rm2 | σ1 | σ2 | w1 | Ks | RMSE th | RMSE K | ||
|---|---|---|---|---|---|---|---|---|---|---|---|---|---|
| cm3 cm−3 | cm | µm | (-) | cm day−1 | cm3 cm−3 | Log10 (cm day−1) | |||||||
| Surface | MEA | 0.0274 (0.0523) | 0.541 (0.0293) | 708.2 (786.9) | 1962.4 (1437.4) | 10.5 (17.3) | 1.6 (1.6) | 1.02 (0.87) | 1.84 (0.76) | 0.66 (0.31) | 2.51 (0.56) | 0.0019 (0.001) | 0.1257 (0.1854) |
| OAK25 | 0.0506 (0.0704) | 0.492 (0.034) | 1158.2 (1558.0) | 1961.0 (1681.9) | 4.9 (6.5) | 27.8 (60.2) | 1.82 (1.35) | 2.18 (1.47) | 0.55 (0.29) | 3.31 (0.34) | 0.0016 (0.0005) | 0.0815 (0.0181) | |
| OAK170 | 0.050 (0.037) | 0.490 (0.019) | 446.4 (278.8) | 2764.0 (4223.2) | 4.7 (3.3) | 3.7 (3.1) | 1.72 (1.05) | 2.40 (1.53) | 0.52 (0.31) | 3.23 (0.86) | 0.0017 (0.0007) | 0.0679 (0.0309) | |
| SPR95 | 0.074 (0.052) | 0.471 (0.080) | 253.6 (243.0) | 597.4 (508.8) | 47.9 (92.3) | 18.1 (33.8) | 0.91 (0.33) | 2.22 (0.82) | 0.67 (0.30) | 2.66 (0.5) | 0.0020 (0.0010) | 0.0669 (0.0330) | |
| 30 cm | MEA | 0.063 (0.029) | 0.378 (0.027) | 2044.4 (2140.4) | 1081.0 (917.6) | 15.0 (31.3) | 8.3 (15.2) | 1.36 (0.84) | 1.09 (0.72) | 0.44 (0.42) | 2.19 (1.20) | 0.0014 (0.0005) | 0.1611 (0.0630) |
| OAK25 | 0.080 (0.062) | 0.375 (0.009) | 2367.8 (4276.9) | 4095.4 (4133.2) | 19.2 (38.3) | 1.0 (1.0) | 0.80 (0.64) | 1.69 (0.92) | 0.75 (0.23) | 1.5 (1.93) | 0.0021 (0.0012) | 0.1154 (0.0221) | |
| OAK170 | 0.059 (0.062) | 0.412 (0.031) | 575.8 (416.6) | 772.6 (1077.3) | 11.8 (21.2) | 35.4 (46.3) | 1.10 (0.82) | 1.93 (1.15) | 0.55 (0.33) | 2.80 (0.32) | 0.0024 (0.0019) | 0.0736 (0.0492) | |
| SPR95 | 0.080 (0.030) | 0.398 (0.028) | 362.4 (301.3) | 504.6 (428.5) | 27.0 (45.1) | 8.9 (9.5) | 0.83 (0.53) | 1.13 (0.97) | 0.58 (0.40) | 1.69 (0.78) | 0.0036 (0.0027) | 0.1089 (0.0435) | |
| AC (Vol.-%) | FC (Vol.-%) | AWC (Vol.-%) | PWP (Vol.-%) | ||||||
|---|---|---|---|---|---|---|---|---|---|
| Depth | Site | Mean | Sd | Mean | Sd | Mean | Sd | Mean | Sd |
| Surface | MEA | a2.7 | 1.2 | a51.4 | 2.4 | a40.8 | 2.8 | a10.6 | 2.0 |
| OAK25 | ab6.0 | 2.2 | b42.6 | 5.4 | b28.8 | 4.0 | a13.8 | 1.7 | |
| OAK170 | b8.1 | 2.4 | b40.3 | 3.7 | b29.1 | 2.8 | a11.2 | 2.1 | |
| SPR95 | b7.0 | 2.8 | b39.9 | 5.2 | b29.6 | 4.1 | a10.3 | 2.6 | |
| 30 cm | MEA | a1.5 | 0.9 | a36.1 | 2.2 | a25.5 | 2.2 | a10.9 | 0.9 |
| OAK25 | a1.3 | 0.6 | a36.3 | 1.1 | a23.1 | 7.3 | a13.1 | 7.4 | |
| OAK170 | b5.7 | 1.7 | a35.2 | 1.7 | a26.5 | 4.9 | a8.7 | 5.0 | |
| SPR95 | a3.0 | 1.9 | a36.8 | 4.7 | a27.7 | 3.8 | a9.1 | 1.1 | |
Publisher’s Note: MDPI stays neutral with regard to jurisdictional claims in published maps and institutional affiliations. |
© 2021 by the authors. Licensee MDPI, Basel, Switzerland. This article is an open access article distributed under the terms and conditions of the Creative Commons Attribution (CC BY) license (https://creativecommons.org/licenses/by/4.0/).
Share and Cite
Julich, S.; Kreiselmeier, J.; Scheibler, S.; Petzold, R.; Schwärzel, K.; Feger, K.-H. Hydraulic Properties of Forest Soils with Stagnic Conditions. Forests 2021, 12, 1113. https://doi.org/10.3390/f12081113
Julich S, Kreiselmeier J, Scheibler S, Petzold R, Schwärzel K, Feger K-H. Hydraulic Properties of Forest Soils with Stagnic Conditions. Forests. 2021; 12(8):1113. https://doi.org/10.3390/f12081113
Chicago/Turabian StyleJulich, Stefan, Janis Kreiselmeier, Simon Scheibler, Rainer Petzold, Kai Schwärzel, and Karl-Heinz Feger. 2021. "Hydraulic Properties of Forest Soils with Stagnic Conditions" Forests 12, no. 8: 1113. https://doi.org/10.3390/f12081113
APA StyleJulich, S., Kreiselmeier, J., Scheibler, S., Petzold, R., Schwärzel, K., & Feger, K.-H. (2021). Hydraulic Properties of Forest Soils with Stagnic Conditions. Forests, 12(8), 1113. https://doi.org/10.3390/f12081113

