Hydrologic Restoration of the Lac des Allemands Swamp, Barataria, Louisiana
Abstract
:1. Introduction
2. Materials and Methods
2.1. Study Site
2.2. Forested Swamp Vegetation
2.3. Herbaceous Vegetation
2.4. Soil Strength
2.5. Data Analysis
3. Results and Discussion
3.1. Soil Strength
3.2. Forest Structure
3.3. Forest Function
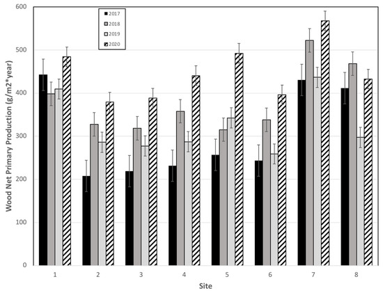
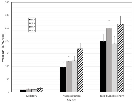
3.3.1. Aboveground Wood Net Primary Production
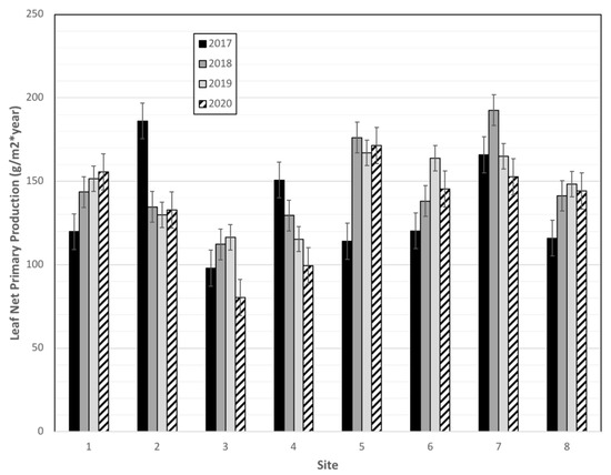
3.3.2. Leaf Net Primary Production
3.3.3. Total Aboveground Primary Production
3.4. Natural Regeneration
3.5. Herbaceous Cover
4. Conclusions
Author Contributions
Funding
Institutional Review Board Statement
Informed Consent Statement
Data Availability Statement
Acknowledgments
Conflicts of Interest
References
- Chambers, J.L.; Conner, W.H.; Day, J.W.; Faulkner, S.P.; Gardiner, E.S.; Hughes, M.S.; Keim, R.F.; King, S.L.; McLeod, K.W.; Miller, C.A.; et al. Conservation, Protection and Utilization of Louisiana’s Coastal Wetland Forests; Louisiana State University: Baton Rouge, LA, USA, 2005; 121p. [Google Scholar]
- Coast 2050: Toward a Sustainable Louisiana: Louisiana Coastal Wetlands Conservation and Restoration Task Force; Louisiana Department of Natural Resources: Baton Rouge, LA, USA, 1998; 161p.
- CPRA (Coastal Protection and Restoration Authority of Louisiana). Louisiana’s Comprehensive Master Plan for a Sustainable Coast—2017 Draft Plan Release; CPRA: Baton Rouge, LA, USA, 2017; 169p. [Google Scholar]
- Day, J.W.; Conner, W.H.; DeLaune, R.D.; Hopkinson, C.S.; Hunter, R.G.; Shaffer, G.P.; Kandalepas, D.; Keim, R.F.; Kemp, G.P.; Lane, R.R.; et al. A review of 50 years of study of hydrology, wetland dynamics, aquatic metabolism, water quality and trophic status, and nutrient biogeochemistry in the Barataria Basin, Mississippi Delta—System functioning, human impacts and restoration approaches. Water 2021, 13, 642. [Google Scholar] [CrossRef]
- Conner, W.H.; Day, J.W. Productivity and composition of a baldcypress—Water tupelo swamp site and a bottomland hardwood site in a Louisiana swamp. Am. J. Bot. 1976, 63, 1354–1364. [Google Scholar] [CrossRef]
- Conner, W.H.; Gosselink, J.G.; Parrondo, R.T. Comparison of the vegetation of three Louisiana swamp sites with different flooding regimes. Am. J. Bot. 1981, 68, 320–331. [Google Scholar] [CrossRef]
- Conner, W.H.; Day, J.W. Water level variability and litterfall productivity of forested freshwater wetlands in Louisiana. Am. Midl. Nat. 1992, 128, 237–245. [Google Scholar] [CrossRef]
- Conner, W.H.; Day, J.W. Rising water levels in coastal Louisiana: Implications for two coastal forested wetland areas in Louisiana. J. Coastal Res. 1988, 4, 589–596. [Google Scholar]
- DuBarry, A.P. Germination of bottomland tree seed while immersed in water. J. For. 1963, 61, 225–226. [Google Scholar]
- Harms, W.R. Some effects of soil type and water regime on growth of tupelo seedlings. Ecology 1973, 54, 188–193. [Google Scholar] [CrossRef]
- Myers, R.S.; Shaffer, G.P.; Llewellyn, D.W. Baldcypress (Taxodium distichum (L.) Rich.) restoration in southeast Louisiana: Relative effects of herbivory, flooding, competition, and macronutrients. Wetlands 1995, 15, 141–148. [Google Scholar] [CrossRef]
- Souther, R.F.; Shaffer, G.P. The effects of submergence and light on two age classes of baldcypress (Taxodium distichum (L.) Rich.) seedlings. Wetlands 2000, 20, 697–706. [Google Scholar] [CrossRef]
- Williston, H.L.; Shropshire, F.W.; Balmer, W.E. Cypress Management: A Forgotten Opportunity, Forestry Report SA-FR8; USFS-S&PF: Atlanta, GA, USA, 1980. [Google Scholar]
- Shaffer, G.P.; Wood, W.B.; Hoeppner, S.S.; Perkins, T.E.; Zoller, J.A.; Kandalepas, D. Degradation of baldcypress-water tupelo swamps to marsh and open water in southeastern Louisiana, U.S.A.: An irreversible trajectory. J. Coast. Res. 2009, 54, 152–165. [Google Scholar] [CrossRef]
- Shaffer, G.P.; Day, J.W.; Kandalepas, D.; Wood, W.B.; Hunter, R.G.; Lane, R.R.; Hillmann, E.R. Decline of the Maurepas Swamp, Pontchartrain Basin, Louisiana, and approaches to restoration. Water 2016, 8, 101. [Google Scholar] [CrossRef] [Green Version]
- Delaune, R.D.; Buresh, R.J.; Patrick, W.H., Jr. Relationship of soil properties to standing crop biomass of Spartina alterniflora in a Louisiana marsh. ECMS 1979, 8, 477–487. [Google Scholar] [CrossRef]
- Hatton, R.S. Aspects of Marsh Accretion and Geochemistry: Barataria Basin, Louisiana. Master’s Thesis, Louisiana State University, Baton Rouge, LA, USA, 1981; 116p. [Google Scholar]
- Messina, M.G.; Conner, W.H. (Eds.) Southern Forested Wetlands: Ecology and Management; Lewis Publishers: New York, NY, USA, 1998; 640p. [Google Scholar]
- Clark, A.; Phillips, D.R.; Frederick, D.J. Weight, Volume, and Physical Properties of Major Hardwood Species in the Gulf and Atlantic Coastal Plains. USDA Forest Service Research Paper SE-250; Southeastern Forest Experimental Station: Ashville, NC, USA, 1985. [Google Scholar]
- Muzika, R.M.; Gladden, J.B.; Haddock, J.D. Structural and functional aspects of succession in southeastern floodplain forests following a major disturbance. Am. Midl. Nat. 1987, 117, 1–9. [Google Scholar] [CrossRef]
- Scott, M.L.; Sharitz, R.R.; Lee, L.C. Disturbance in a cypress-tupelo wetland: An interaction between thermal loading and hydrology. Wetlands 1985, 5, 53–68. [Google Scholar] [CrossRef]
- Nienhuis, J.H.; Tornqvist, T.E.; Jankowski, K.L.; Fernandes, A.M.; Keogh, M.E. A new subsidence map for coastal Louisiana. GSA Today 1998, 27, 58–70. [Google Scholar]
- Day, J.W., Jr.; Shaffer, G.P.; Britsch, D.; Reed, D.; Hawes, S.; Cahoon, D. Pattern and process of land loss in the Louisiana coastal zone: An analysis of spatial and temporal patterns of wetlands habitat change. Estuaries 2000, 23, 425–438. [Google Scholar] [CrossRef]
- Day, J.W.; Hunter, R.; Keim, R.; DeLaune, R.; Shaffer, G.P.; Evers, E.; Reed, D.; Brantley, C.; Kemp, G.P.; Day, R.; et al. Ecological response of forested wetlands with and without large-scale Mississippi River input: Implications for management. Ecol. Eng. 2012, 46, 57–67. [Google Scholar] [CrossRef]
- Day, J.W.; Lane, R.R.; D’Elia, C.F.; Wiegman, A.R.H.; Rutherford, J.S.; Shaffer, G.P.; Brantley, C.G.; Kemp, G.P. Large infrequently operated river diversions for Mississippi Delta restoration. ECSS 2000, 183, 292–303. [Google Scholar]
- Rutherford, J.S.; Day, J.W.; D’Elia, C.F.; Wiegman, A.R.H.; Willson, C.S.; Caffey, R.H.; Shaffer, G.P.; Lane, R.R.; Batker, D. Evaluating trade-offs of a large infrequent sediment diversion for restoration of a forested wetland in the Mississippi Delta. Coast. Shelf Sci. 2018, 203, 80–89. [Google Scholar] [CrossRef]
- Shaffer, G.P.; Day, J.W.; Hunter, R.G.; Lane, R.R.; Lundberg, C.J.; Wood, W.B.; Hillmann, E.R.; Day, J.N.; Strickland, E.; Kandalepas, D. System response, nutria herbivory, and vegetation recovery of an assimilation wetland in coastal Louisiana. Ecol. Engin. 2015, 79, 120–131. [Google Scholar] [CrossRef]
- Hunter, R.G.; Day, J.W.; Lane, R.R.; Shaffer, G.P.; Day, J.N.; Conner, W.H.; Rybczyk, J.M.; Mistich, J.A.; Ko, J.Y. Using natural wetlands for municipal effluent assimilation: A half century of experience for the Mississippi River Delta and surrounding environs. In Multifunctional Wetlands: Pollution Abatement and Other Ecological Services from Natural and Constructed Wetlands; Nagabhatla, N.N., Metcalfe, C.D., Eds.; Springer: Basel, Switzerland, 2018; pp. 15–81. [Google Scholar]
















| Site | Station | Bulk Density (g/cm3) | Percent Organic (%) |
|---|---|---|---|
| 1 | A | 0.082 | 56.47 |
| B | 0.075 | 62.98 | |
| 2 | A | 0.083 | 30.57 |
| B | 0.095 | 38.17 | |
| 3 | A | 0.079 | 72.78 |
| B | 0.052 | 76.83 | |
| 4 | A | 0.094 | 69.22 |
| B | 0.132 | 49.78 | |
| 5 | A | 0.087 | 58.25 |
| B | 0.142 | 37.01 | |
| 6 | A | 0.073 | 79.10 |
| B | 0.078 | 67.80 | |
| 7 | A | 0.105 | 51.76 |
| B | 0.113 | 54.84 | |
| 8 | A | 0.058 | 92.70 |
| B | 0.065 | 91.74 |
Publisher’s Note: MDPI stays neutral with regard to jurisdictional claims in published maps and institutional affiliations. |
© 2021 by the authors. Licensee MDPI, Basel, Switzerland. This article is an open access article distributed under the terms and conditions of the Creative Commons Attribution (CC BY) license (https://creativecommons.org/licenses/by/4.0/).
Share and Cite
Shaffer, G.P.; Kandalepas, D.; Stevens, N.; Crockett, T.; Curole, G. Hydrologic Restoration of the Lac des Allemands Swamp, Barataria, Louisiana. Forests 2021, 12, 1074. https://doi.org/10.3390/f12081074
Shaffer GP, Kandalepas D, Stevens N, Crockett T, Curole G. Hydrologic Restoration of the Lac des Allemands Swamp, Barataria, Louisiana. Forests. 2021; 12(8):1074. https://doi.org/10.3390/f12081074
Chicago/Turabian StyleShaffer, Gary P., Demetra Kandalepas, Nicholas Stevens, Tessera Crockett, and Glen Curole. 2021. "Hydrologic Restoration of the Lac des Allemands Swamp, Barataria, Louisiana" Forests 12, no. 8: 1074. https://doi.org/10.3390/f12081074
APA StyleShaffer, G. P., Kandalepas, D., Stevens, N., Crockett, T., & Curole, G. (2021). Hydrologic Restoration of the Lac des Allemands Swamp, Barataria, Louisiana. Forests, 12(8), 1074. https://doi.org/10.3390/f12081074
