The Linkage of Soil CO2 Emissions in a Moso Bamboo (Phyllostachysedulis (Carriere) J. Houzeau) Plantation with Aboveground and Belowground Stoichiometry
Abstract
:1. Introduction
2. Materials and Methods
2.1. Site Description
2.2. Experimental Design
2.3. Plant and Soil Chemical Analyses
2.4. Data Analysis
3. Results
3.1. Plant Nutrient Contentand Stoichiometry in Leaves and Litter
3.2. Soil Stoichiometry Differences among Bamboo Plantations
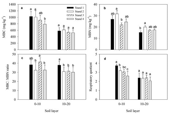
3.3. Differences in Soil Microbial Biomass C and N among Bamboo Stands
3.4. Soil Respiration Rates in Different Moso Bamboo Stands
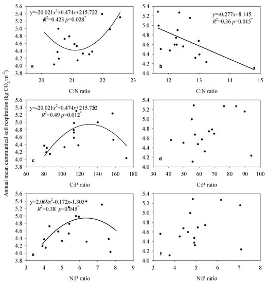
3.5. Relationships between Soil CO2 Emission and Plant as Well as Soil Stoichiometry
4. Discussion
4.1. Effects of Leaf and Litter Stoichiometry, and NRE, on Soil CO2 Emissions
4.2. Effect of Belowground Stoichiometry on Soil CO2 Emission
4.3. Drivers of Soil Microbial Biomass and Soil CO2 Emission
5. Conclusions
Author Contributions
Funding
Data Availability Statement
Acknowledgments
Conflicts of Interest
References
- Zechmeister-Boltenstern, S.; Keiblinger, K.M.; Mooshammer, M.; Peñuelas, J.; Richter, A.; Sardans, J.; Wanek, W. The application of ecological stoichiometry to plant-microbial-soil organic matter transformations. Ecol. Monogr. 2015, 85, 133–155. [Google Scholar] [CrossRef] [Green Version]
- Tian, D.; Yan, Z.B.; Niklas, K.J.; Han, J.K.W.X.; Reich, P.B.; Luo, Y.K.; Chen, Y.H.; Tang, Z.Y.; Hu, H.F.; Wright, L.J.; et al. Global leaf nitrogen and phosphorus stoichiometry and their scaling exponent. Natl. Sci. Rev. 2018, 5, 728–739. [Google Scholar] [CrossRef] [Green Version]
- Castellanos, A.E.; Lilano-Sotelo, J.M.; Machado-Encinas, L.I.; López-Piña, J.E.; Romo-Leon, J.R.; Sardans, J.; Peñuelas, J. Folia C, N, and P stoichiometry characterize successful plant ecological strategies in the Sonoran Desert. Plant Ecol. 2018, 219, 775–788. [Google Scholar] [CrossRef] [Green Version]
- Güsewell, S. N:P ratios in terrestrial plants: Variation and functional significance. New Phytol. 2004, 164, 243–266. [Google Scholar] [CrossRef]
- Li, H.L.; Crabbe, J.C.; Xu, F.L.; Wang, W.L.; Ma, L.H.; Niu, R.L.; Gao, X.; Li, X.X.; Zhang, P.; Ma, X.; et al. Seasonal variations in carbon, nitrogen and phosphorus concentrations and C:N:P stoichiometry in different organs of a Larixprincipis-rupprechtii Mayr. plantation in the Qinling Mountains, China. PLoS ONE 2017, 12, e185163. [Google Scholar]
- Ren, C.J.; Zhao, F.Z.; Kang, D.; Yang, G.H.; Han, X.H.; Tong, X.G.; Feng, Y.Z.; Ren, G.X. Linkages of C:N:P stoichiometry and bacterial community in soil following afforestation of former farmland. For. Ecol. Manag. 2016, 376, 59–66. [Google Scholar] [CrossRef]
- Müller, M.; Oelmann, Y.; Schickhoff, U.; Böhner, J.; Scholten, T. Himalayan Treeline soil and foliar C:N:P stoichiometry indicate nutrient shortage with elevation. Geoderma 2017, 291, 21–32. [Google Scholar] [CrossRef] [Green Version]
- Bell, C.; Carrillo, Y.; Boot, C.M.; Rocca, J.D.; Pendall, E.; Wallenstein, M.D. Rhizosphere stoichiometry: Are C:N:P ratios of plants, soils, and enzymes conserved at the plant species-level? New Phytol. 2014, 201, 505–517. [Google Scholar] [CrossRef] [PubMed]
- Fan, H.B.; Wu, J.P.; Liu, W.F.; Yuan, Y.H.; Hu, L.; Cai, Q.K. Linkages of plant and soil C:N:P stoichiometry and their relationships to forest growth in subtropical plantations. Plant Soil 2015, 392, 127–138. [Google Scholar] [CrossRef]
- Ren, C.J.; Chen, J.; Deng, J.; Zhao, F.Z.; Han, X.H.; Yang, G.H.; Tong, X.G.; Feng, Y.Z.; Shelton, S.; Ren, G.X. Response of microbial diversity to C:N:P stoichiometry in fine root and microbial biomass following afforestation. Biol. Fertil. Soils 2017, 53, 457–468. [Google Scholar] [CrossRef]
- Ferlian, O.; Wirth, C.; Eisenhauer, N. Leaf and root C-to-N ratios are poor predictors of soil microbial biomass C and respiration across 32 tree species. Pedobiologia 2017, 65, 16–23. [Google Scholar] [CrossRef] [Green Version]
- Sistla, S.A.; Schimel, J.P. Stoichiometric flexibility as a regulator of carbon and nutrient cycling in terrestrial ecosystems under change. New Phytol. 2012, 196, 68–78. [Google Scholar] [CrossRef]
- Zhao, F.Z.; Wang, J.Y.; Zhang, L.; Ren, C.J.; Han, X.H.; Yang, G.H.; Doughty, R.; Jian Deng, J. Understory plants regulate soil respiration through changes in soil enzyme activity and microbial C, N, and P stoichiometry following afforestation. Forests 2018, 9, 436. [Google Scholar] [CrossRef] [Green Version]
- Heuck, C.; Weig, A.; Spohn, M. Soil microbial biomass C:N:P stoichiometry and microbial use of organic phosphorus. Soil Biol. Biochem. 2015, 85, 119–129. [Google Scholar] [CrossRef]
- Spohn, M.; Chodak, M. Microbial respiration per unit biomass increases with carbon-to-nutrient ratios in forest soils. Soil Biol. Biochem. 2015, 81, 128–133. [Google Scholar] [CrossRef]
- Sinsabaugh, R.; Hill, B.H.; Shah, J.J.F. Ecoenzymatic stoichiometry of microbial organic nutrient acquisition in soil and sediment. Nature 2009, 462, 795–798. [Google Scholar] [CrossRef]
- FAO. Global Forest Resources Assessment 2015: How are the World’s Forests Changing? Food and Agricultural organization of the United Nations: Rome, Italy, 2016. [Google Scholar]
- Kuo, S. Phosphorus. In Methods of Soil Analysis. Part 3. Chemical Methods; Sparks, D.L., Ed.; Soil Science Society of America and American Society of Agronomy: Madison, WI, USA, 1996; pp. 869–920. [Google Scholar]
- Bao, S.D. Soil and Agricultural Chemistry Analysis; China Agriculture Press: Beijing, China, 2000. (In Chinese) [Google Scholar]
- Vance, E.D.; Brookes, P.C.; Jenkinson, D.S. An extraction method for measuring soil microbial biomass C. Soil Biol. Biochem. 1987, 19, 703–707. [Google Scholar] [CrossRef]
- Chen, J.H.; Sun, X.; Zheng, J.F.; Zhang, X.H.; Liu, X.Y.; Bian, R.J.; Li, L.Q.; Cheng, K.; Zheng, J.W.; Pan, G.X. Biochar amendment changes temperature sensitivity of soil respiration and composition of microbial communities 3 years after incorporation in an organic carbon-poor dry cropland soil. Biol. Fertil. Soils 2018, 54, 175–188. [Google Scholar] [CrossRef]
- Aerts, R. Nutrient resorption from senescing leaves of perennials: Are there general patterns? J. Ecol. 1996, 84, 597–608. [Google Scholar] [CrossRef]
- Ge, X.G.; Cao, Y.H.; Zhou, B.Z.; Wang, X.M.; Yang, Z.Y.; Li, M.H. Biochar addition increases subsurface soil microbial biomass but has limited effects on soil CO2 emissions in subtropical moso bamboo plantations. Appl. Soil Ecol. 2019, 142, 155–165. [Google Scholar] [CrossRef]
- Elser, J.J.; Fagan, W.F.; Kerkhoff, A.J.; Swenson, N.G.; Enquist, B.J. Biological stoichiometry of plant production: Metabolosm, scaling and ecological response to global change. New Phtol. 2010, 186, 593–608. [Google Scholar] [CrossRef] [PubMed] [Green Version]
- Hessen, D.O.; Ǻgren, G.I.; Anderson, T.R.; Elser, J.J.; De Ruiter, P.C. Carbon sequestration in ecosystems: The role of stoichiometry. Ecology 2004, 85, 1179–1192. [Google Scholar] [CrossRef]
- Fanin, N.; Hättenschwiler, S.; Barantal, S.; Schimann, H.; Fromin, N. Does variability in litter quality determine soil microbial respiration in an Amazonian rainforest? Soil Biol. Biochem. 2011, 43, 1014–1022. [Google Scholar] [CrossRef]
- Suo, Y.Y.; Yuan, Z.Q.; Lin, F.; Wang, X.G.; Ye, J.; Bai, E.; Hao, Z.Q. Local-scale determinants of elemental stoichiometry of soil in an old-growth temperate forest. Plant Soil 2016, 408, 401–414. [Google Scholar] [CrossRef]
- Uriarte, M.; Turner, B.L.; Thompson, J.; Zimmerman, J.K. linking spatial patterns of leaf litter fall and soil nutrients in a tropical forest: A neighborhood approach. Ecol. Appl. 2015, 25, 2022–2034. [Google Scholar] [CrossRef] [Green Version]
- Billings, S.A.; Zitzer, S.F.; Weatherly, H.; Schaeffer, S.M.; Charlet, T.; Arnone III, J.A.; Evans, R.D. Effects of elevated carbon dioxide on green leaf tissue and leaf litter quality in an intact Mojave Desert ecosystem. Glob. Chang. Biol. 2003, 9, 729–735. [Google Scholar] [CrossRef] [Green Version]
- Lu, J.Y.; Liu, M.G.; Yang, M.; Xie, J.H.; Yang, H.M.; Li, L.L. Leaf resorption and stoichiometry of N and P of 1, 2 and 3 year-old lucerne under one-time P fertilization. Soil Till. Res. 2020, 197, 104481. [Google Scholar] [CrossRef]
- Tong, R.; Zhou, B.Z.; Jiang, L.N.; Ge, X.G.; Cao, Y.H. The growth of Chinese fir is limited by nitrogen: Evidences from N:P ratio, N or P variability and NuRE based on a regional investigation. For. Ecol. Manag. 2020, 460, 117950. [Google Scholar] [CrossRef]
- Xu, M.P.; Zhong, Z.K.; Sun, Z.Y.; Han, X.H.; Ren, C.J.; Yang, G. Soil available phosphorus and moisture drive nutrient resorption patterns in plantations on the Loess Plateau. For. Ecol. Manag. 2020, 461, 117910. [Google Scholar] [CrossRef]
- Yu, Q.; Elser, J.J.; He, N.P.; Wu, H.H.; Chen, Q.S.; Zhang, G.M.; Han, X.G. Stoichiometric homeostasis of vascular plants in the Inner Mongolia grassland. Oecologia 2011, 166, 1–10. [Google Scholar] [CrossRef] [PubMed]
- He, X.J.; Hou, E.Q.; Liu, Y.; Wen, D.Z. Altitudinal patterns and controls of plant and soil nutrient concentrations and stoichiometry in subtropical China. Sci. Rep. 2016, 6, 24261. [Google Scholar] [CrossRef] [Green Version]
- Wu, X.; Xu, H.; Tuo, D.F.; Wang, C.; Fu, B.J.; Lv, Y.H.; Liu, G.H. Land use change and stand age regulate soil respiration by influencing soil substrate supply and microbial community. Geodema 2020, 359, 113991. [Google Scholar] [CrossRef]
- He, H.; Xia, G.T.; Yang, W.J.; Zhu, Y.P.; Wang, G.D.; Shen, W.B. Response of soil C:N:P stoichiometry, organic carbon stock, and release to wetland grasslandification in Mu Us Desert. J. Soil Sediment 2019, 19, 3954–3968. [Google Scholar] [CrossRef]
- Shi, W.Y.; Yan, M.J.; Zhang, J.G.; Guan, J.H.; Du, S. Soil CO2 emissions from five different types of land use on the semiarid Loess Plateau of China, with emphasis on the contribution of winter soil respiration. Atmos. Environ. 2014, 88, 74–82. [Google Scholar] [CrossRef]
- Nguyen, T.T.; Cavagnaro, T.R.; Ngo, H.T.N.; Petra Marschner, P. Soil respiration, microbial biomass and nutrient availability in soil amended with high and low C/N residue-influence of interval between residue additions. Soil Biol. Biochem. 2016, 95, 189–197. [Google Scholar] [CrossRef]
- Martin, J.G.; Bolstad, P.V.; Ryu, S.R.; Chen, J.Q. Modeling soil respiration based on carbon, nitrogen, and root mass across diverse Great Lake forests. Agric. For. Meteorol. 2009, 149, 1722–1729. [Google Scholar] [CrossRef]
- Nguyen, T.T.; Marschner, P. Soil respiration, microbial biomass and nutrient availability in soil after addition of residues with adjusted N and P concentrations. Pedosphere 2017, 27, 76–85. [Google Scholar] [CrossRef]
- Wei, X.M.; Zhu, Z.K.; Liu, Y.; Luo, Y.; Deng, Y.W.; Xu, X.L.; Liu, S.L.; Richter, A.; Shibistova, O.; Guggenberger, G.; et al. C:N:P stoichiometry regulates soil organic carbon mineralization and concomitant shifts in microbial community composition in paddy soil. Biol. Fertil. Soils 2020, 56, 1093–1107. [Google Scholar] [CrossRef]
- Sushko, S.; Ananyeva, N.; Ivashchenko, K.; Vasenev, V.; Kudeyarov, V. Soil CO2 emission, microbial biomass, and microbial respiration of woody and grassy areas in Moscow (Russia). J. Soil Sediment 2019, 19, 3217–3225. [Google Scholar] [CrossRef]
- Fujita, Y.K.; Witte, J.P.M.; Van Bodegom, P.M. Incorporating microbial ecology concepts into global soil mineralization models to improve predictions of carbon and nitrogen fluxes. Glob. Biogeochem. Cycles 2014, 28, 223–238. [Google Scholar] [CrossRef]
- Fierer, N.; Strickland, M.S.; Liptzin, D.; Bradford, M.A.; Cleveland, C.C. Global patterns in belowground communities. Ecol. Lett. 2009, 12, 1238–1249. [Google Scholar] [CrossRef]
- Yang, Y.; Liu, B.R.; An, S.S. Ecological stoichiometry in leaves, roots, litters and soil among different plant communities in a desertified region of northern China. Catena 2018, 166, 328–338. [Google Scholar] [CrossRef]
- Yuan, X.B.; Niu, D.C.; Gherardi, L.A.; Liu, Y.B.; Wang, Y.; Elser, J.J.; Fu, H. Linages of stoichiometric imbalance to soil microbial respiration with increasing nitrogen addition: Evidence from a long-term grassland experiment. Soil Biol. Biochem. 2019, 138, 107580. [Google Scholar] [CrossRef]
- Patterson, A.E.; Arkebauer, R.; Quallo, C.; Heskel, M.A.; Li, X.M.; Boelman, N.; Griffin, K.L. Temperature response of respiration and respiratory quotients of 16 co-occurring temperate tree species. Tree Physiol. 2017, 38, 1319–1332. [Google Scholar] [CrossRef]
- Araújo, A.S.F.; Santos, V.B.; Monteiro, R.T.R. Responses of soil microbial biomass and activity for practices of organic and conventional farming systems in Piauí state, Brazil. Eur. J. Soil Biol. 2008, 44, 225–230. [Google Scholar] [CrossRef]
- Wong, V.N.L.; Dalal, R.C.; Greene, R.S.B. Salinity and sodicity effects on respiration and microbial biomass of soil. Biol. Fertil. Soils 2008, 44, 943–953. [Google Scholar] [CrossRef]
- Roohi, M.; Riaz, M.; Arif, M.S.; Shahzad, S.M.; Yasmeen, T.; Riaz, M.A.; Tahir, S.; Mahmood, K. Varied effects of untreated textile wastewater onto soil carbon mineralization and associated biochemical properties of a dryland agricultural soil. J. Environ. Manag. 2016, 183, 530–540. [Google Scholar] [CrossRef]
- Rui, Y.C.; Murphy, D.V.; Wang, X.L.; Hoyle, F.C. Microbial respiration, but not biomass, responded linearly to increasing light fraction organic matter input: Consequences for carbon sequestration. Sci. Rep. 2016, 6, 35496. [Google Scholar] [CrossRef] [Green Version]
- Spohn, M. Microbial respiration per unit microbial biomass depends on litter layer carbon-to-nitrogen ratio. Biogeosciences 2015, 12, 817–823. [Google Scholar] [CrossRef] [Green Version]
- Li, W.H.; Zhang, C.B.; Gao, G.J.; Zan, Q.J.; Yang, Z.Y. Relationship between Mikania micrantha invasion and soil microbial biomass, respiration and functional diversity. Plant Soil 2007, 296, 197–207. [Google Scholar] [CrossRef]
- Rivas-Ubach, A.; Sardans, J.; Pérez-Trujillo, M.; Estiarte, M.; JosepPeñuelas, J. Strong relationship between elemental stoichiometry and metabolome in plants. Proc. Natl. Acad. Sci. USA 2012, 109, 4181–4186. [Google Scholar] [CrossRef] [PubMed] [Green Version]
- Chen, Z.H.; Li, Y.C.; Chang, S.X.; Xu, Q.F.; Li, Y.F.; Ma, Z.L.; Qin, H.; Cai, Y. Linking enhanced soil nitrogen mineralization to increased fungal decomposition capacity with Moso bamboo invasion of broadleaf forests. Sci. Total Environ. 2021, 771, 144779. [Google Scholar] [CrossRef] [PubMed]
- Tian, X.K.; Wang, M.Y.; Meng, P.; Zhang, J.S.; Zhou, B.Z.; Ge, X.G.; Yu, F.H.; Li, M.H. Native bamboo invasions into subtropical forests alter microbial communities in litter and soil. Forests 2020, 11, 314. [Google Scholar] [CrossRef] [Green Version]









| Stands | Elevation (m) | Height (m) | DBH (cm) | Slope (°) | Canopy Density | Litter Layer Depth (cm) | 1–2 Year–Old (Plants/ha) | 3–4 Year–Old (Plants/ha) | 5–6 Year–Old (Plants/ha) | Above 7 Year–Old (Plants/ha) | Total (Plants/ha) |
|---|---|---|---|---|---|---|---|---|---|---|---|
| 1 | 141 | 12.8 ± 1.1 | 11.9 ± 1.8 | 10 | 0.8 | 2.04 ± 0.56 | 875 ± 50 | 1000 ± 175 | 725 ± 40 | 100 ± 15 | 2700 ± 150 |
| 2 | 115 | 13.0 ± 0.9 | 12.7 ± 2.2 | 15 | 0.95 | 2.22 ± 0.49 | 550 ± 85 | 800 ± 125 | 1025 ± 100 | 750 ± 75 | 3125 ± 385 |
| 3 | 86 | 13.3 ± 1.5 | 13.6 ± 2.6 | 20 | 0.9 | 2.47 ± 0.67 | 725 ± 170 | 1050 ± 75 | 1100 ± 125 | 975 ± 80 | 3850 ± 140 |
| 4 | 157 | 12.2 ± 1.8 | 12.1 ± 1.9 | 20 | 0.8 | 2.60 ± 0.71 | 900 ± 45 | 775 ± 120 | 625 ± 130 | 200 ± 15 | 2500 ± 190 |
Publisher’s Note: MDPI stays neutral with regard to jurisdictional claims in published maps and institutional affiliations. |
© 2021 by the authors. Licensee MDPI, Basel, Switzerland. This article is an open access article distributed under the terms and conditions of the Creative Commons Attribution (CC BY) license (https://creativecommons.org/licenses/by/4.0/).
Share and Cite
Tian, X.; Ge, X.; Zhou, B.; Li, M. The Linkage of Soil CO2 Emissions in a Moso Bamboo (Phyllostachysedulis (Carriere) J. Houzeau) Plantation with Aboveground and Belowground Stoichiometry. Forests 2021, 12, 1052. https://doi.org/10.3390/f12081052
Tian X, Ge X, Zhou B, Li M. The Linkage of Soil CO2 Emissions in a Moso Bamboo (Phyllostachysedulis (Carriere) J. Houzeau) Plantation with Aboveground and Belowground Stoichiometry. Forests. 2021; 12(8):1052. https://doi.org/10.3390/f12081052
Chicago/Turabian StyleTian, Xiaokun, Xiaogai Ge, Benzhi Zhou, and Maihe Li. 2021. "The Linkage of Soil CO2 Emissions in a Moso Bamboo (Phyllostachysedulis (Carriere) J. Houzeau) Plantation with Aboveground and Belowground Stoichiometry" Forests 12, no. 8: 1052. https://doi.org/10.3390/f12081052
APA StyleTian, X., Ge, X., Zhou, B., & Li, M. (2021). The Linkage of Soil CO2 Emissions in a Moso Bamboo (Phyllostachysedulis (Carriere) J. Houzeau) Plantation with Aboveground and Belowground Stoichiometry. Forests, 12(8), 1052. https://doi.org/10.3390/f12081052

