Spatial Variability and Optimal Number of Rain Gauges for Sampling Throughfall under Single Oak Trees during the Leafless Period
Abstract
1. Introduction
2. Materials and Methods
2.1. Study Area
2.2. Field Measurements
2.3. Data Analysis
2.3.1. Spatial Variability of Throughfall
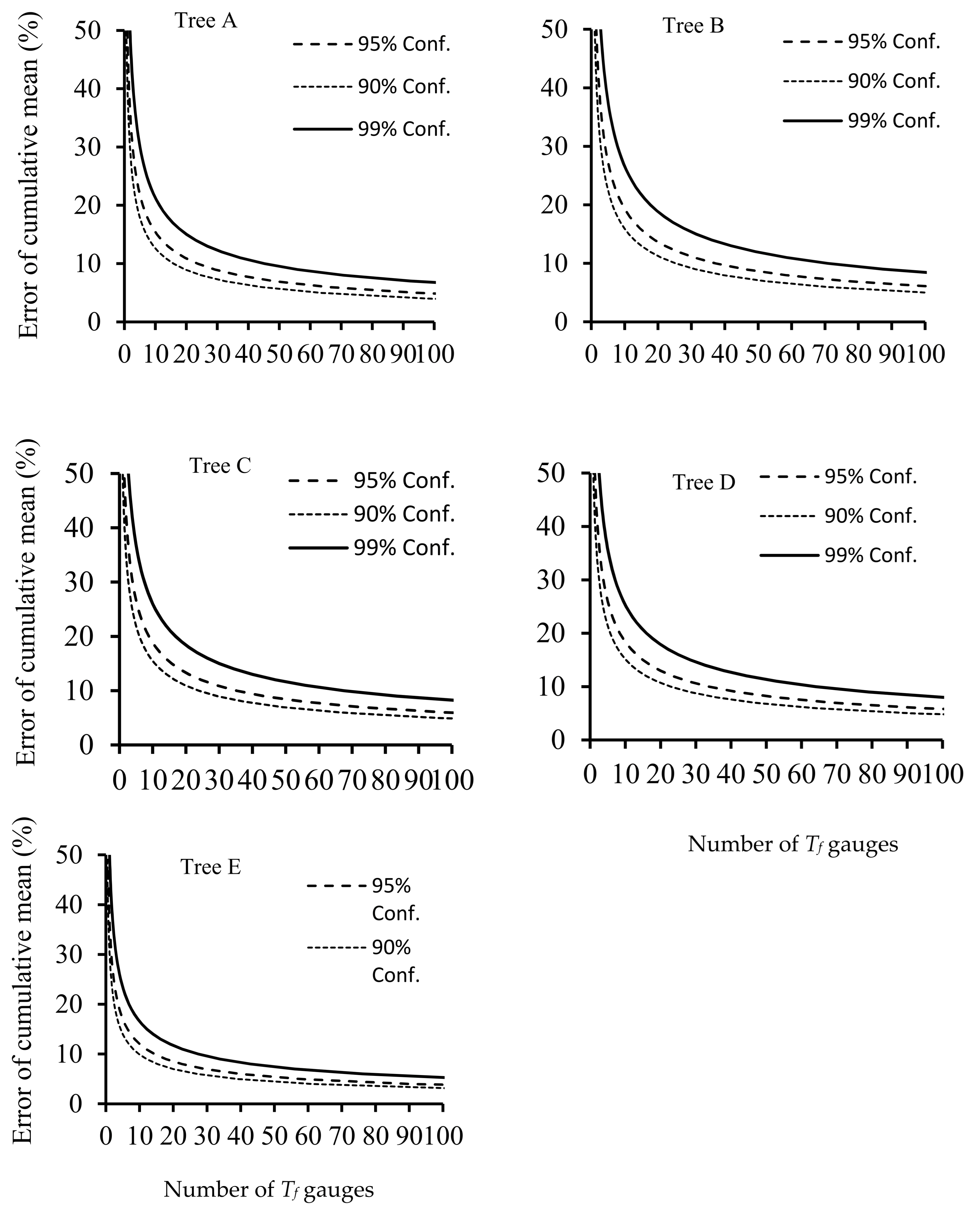
2.3.2. Minimum Number of Throughfall Collectors
2.3.3. Statistical Analysis
3. Results
3.1. Throughfall Characteristics
3.2. Throughfall Spatial Patterns
3.3. Minimum Number of Throughfall Collectors
4. Discussion
4.1. Throughfall Spatial Pattern
4.2. Minimum Number of Throughfall Collectors
5. Conclusions
Author Contributions
Funding
Data Availability Statement
Acknowledgments
Conflicts of Interest
References
- Llorens, P.; Domingo, F. Rainfall partitioning by vegetation under Mediterranean conditions: A review of studies in Europe. J. Hydrol. 2007, 335, 37–54. [Google Scholar] [CrossRef]
- Sadeghi, S.M.M.; Gordon, A.; Van Stan, J.T. A global synthesis of throughfall and stemflow hydrometeorology. In Precipitation Partitioning by Vegetation: A Global Synthesis; Gutmann, E., Friesen, J., Eds.; Springer: Cham, Switzerland, 2020; pp. 49–70. [Google Scholar]
- Fathizadeh, O.; Hosseini, S.M.; Keim, R.F.; Boloorani, A.D. A seasonal evaluation of the reformulated Gash interception model for semi-arid deciduous oak forest stands. For. Ecol. Manag. 2018, 409, 601–613. [Google Scholar] [CrossRef]
- Sadeghi, S.M.M.; Attarod, P.; Pypker, T.G.; Dunkerley, D. Is canopy interception increased in semiarid tree plantations? Evidence from a field investigation in Tehran, Iran. Turk. J. Agric. For. 2014, 38, 792–806. [Google Scholar] [CrossRef]
- Su, L.; Zhao, C.; Xu, W.; Xie, Z. Hydrochemical Fluxes in bulk precipitation, throughfall, and stemflow in a mixed evergreen and deciduous broadleaved forest. Forests 2019, 10, 507. [Google Scholar] [CrossRef]
- Zabret, K.; Šraj, M. Spatial variability of throughfall under single birch and pine tree canopies. Acta Hydrotech. 2018, 31, 1–20. [Google Scholar] [CrossRef]
- Fathizadeh, O.; Sadeghi, S.M.M.; Holder, C.D.; Su, L. Leaf phenology drives spatio-temporal patterns of throughfall under a single Quercus castaneifolia C.A. Mey. Forests 2020, 11, 688. [Google Scholar] [CrossRef]
- Zimmermann, A.; Wilcke, W.; Elsenbeer, H. Spatial and temporal patterns of throughfall quantity and quality in a tropical montane forest in Ecuador. J. Hydrol. 2007, 343, 80–96. [Google Scholar] [CrossRef]
- Coenders-Gerrits, A.M.J.; Hopp, L.; Savenije, H.H.G.; Pfister, L. The effect of spatial throughfall patterns on soil moisture patterns at the hillslope scale. Hydrol. Earth Syst. Sci. 2013, 17, 1749–1763. [Google Scholar] [CrossRef]
- Van Stan, J.T.; Hildebrandt, A.; Friesen, J.; Metzger, J.C.; Yankine, S.A. Spatial Variability and Temporal Stability of Local Net Precipitation Patterns. In Precipitation Partitioning by Vegetation: A Global Synthesis; Gutmann, E., Friesen, J., Eds.; Springer: Cham, Switzerland, 2020; pp. 89–104. [Google Scholar]
- Herwitz, S.R. Raindrop impact and water flow on the vegetative surfaces of trees and the effects on stemflow and throughfall generation. Earth Surf. Proc. Land. 1987, 12, 425–432. [Google Scholar] [CrossRef]
- Sato, A.M.; Avelar, A.D.; Netto, A.L.C. Spatial variability and temporal stability of throughfall in a eucalyptus plantation in the hilly lowlands of southeastern Brazil. Hydrol. Process. 2011, 25, 1910–1923. [Google Scholar] [CrossRef]
- Johnson, R.C. The interception, throughfall and stemflow in a forest in highland Scotland and the comparison with other upland forests in the U.K. J. Hydrol. 1990, 118, 281–287. [Google Scholar] [CrossRef]
- Whelan, M.J.; Sanger, L.J.; Baker, M.; Anderson, J.M. Spatial patterns of throughfall and mineral ion deposition in a lowland Norway spruce (Picea abies) plantation at the plot scale. Atmos. Environ. 1998, 32, 3493–3501. [Google Scholar] [CrossRef]
- Keim, R.F.; Skaugset, A.E.; Weiler, M. Temporal persistence of spatial patterns in throughfall. J. Hydrol. 2005, 314, 263–274. [Google Scholar] [CrossRef]
- Fathizadeh, O.; Attarod, P.; Keim, R.F.; Zahedi Amiri, G.; Davishsefat, A.A. Spatial heterogeneity and temporal stability of throughfall under individual Quercus brantii trees. Hydrol. Process. 2014, 28, 1124–1136. [Google Scholar] [CrossRef]
- Nanko, K.; Onda, Y.; Ito, A.; Moriwaki, H. Spatial variability of throughfall under a single tree: Experimental study of rainfall amount, raindrops, and kinetic energy. Agric. For. Meteorol. 2011, 151, 1173–1182. [Google Scholar] [CrossRef]
- Carlyle-Moses, D.E.; Laureano, J.S.F.; Price, A.G. Throughfall and throughfall spatial variability in Madrean oak forest communities of northeastern Mexico. J. Hydrol. 2004, 297, 124–135. [Google Scholar] [CrossRef]
- Helvey, J.D.; Patric, J.H. Design criteria for interception studies. In Proceedings of the Symposium on Design of Hydrological Networks, Quebec, QC, Canada, 15–22 June 1965; pp. 131–137. [Google Scholar]
- Kimmins, J.P. Some statistical aspects of sampling throughfall precipitation in nutrient cycling studies in British Columbian coastal forests. Ecology 1973, 54, 1008–1019. [Google Scholar] [CrossRef]
- Holwerda, F.; Scatena, F.N.; Bruijnzeel, L.A. Throughfall in a Puerto Rican lower montane rain forest: A comparison of sampling strategies. J. Hydrol. 2006, 327, 592–602. [Google Scholar] [CrossRef]
- Ritter, A.; Regalado, C.M. Roving revisited, towards an optimum throughfall sampling design. Hydrol. Process. 2014, 28, 123–133. [Google Scholar] [CrossRef]
- Fathizadeh, O.; Attarod, P.; Pypker, T.G.; Darvishsefat, A.A.; Amiri, G.Z. Seasonal variability of rainfall interception and canopy storage capacity measured under individual oak (Quercus brantii) trees in Western Iran. J. Agric. Sci. Tech. 2013, 15, 175–188. [Google Scholar]
- Abbasian, P.; Attarod, P.; Sadeghi, S.M.M.; Van Stan, J.T.; Hojjati, S.M. Throughfall nutrients in a degraded indigenous Fagus orientalis forest and a Picea abies plantation in the North of Iran. For. Syst. 2015, 24, 1–15. [Google Scholar] [CrossRef]
- Attarod, P.; Sadeghi, S.M.M.; Pypker, T.G.; Bagheri, H.; Bagheri, M.; Bayramzadeh, V. Needle-leaved trees impacts on rainfall interception and canopy storage capacity in an arid environment. New For. 2015, 46, 339–355. [Google Scholar] [CrossRef]
- Attarod, P.; Rostami, F.; Dolatshahi, A.; Sadeghi, S.M.M.; Amiri, G.Z.; Bayramzadeh, V. Do changes in meteorological parameters and evapotranspiration affect declining oak forests of Iran? J. For. Sci. 2016, 62, 553–561. [Google Scholar] [CrossRef]
- Attarod, P.; Sadeghi, S.M.M.; Pypker, T.G.; Bayramzadeh, V. Oak trees decline; a sign of climate variability impacts in the west of Iran. Casp. J. Environ. Sci. 2017, 15, 373–384. [Google Scholar]
- Gordon, D.A.R.; Coenders-Gerrits, M.; Sellers, B.A.; Sadeghi, S.M.M.; Van Stan, J.T. Rainfall interception and redistribution by a common North American understory and pasture forb, Eupatorium capillifolium (Lam. dogfennel). Hydrol. Earth Syst. Sci. 2020, 24, 4587–4599. [Google Scholar] [CrossRef]
- Fathizadeh, O.; Hosseini, S.M.; Zimmermann, A.; Keim, R.F.; Boloorani, A.D. Estimating linkages between forest structural variables and rainfall interception parameters in semi-arid deciduous oak forest stands. Sci. Total Environ. 2017, 601, 1824–1837. [Google Scholar] [CrossRef]
- Hakimi, L.; Sadeghi, S.M.M.; Van Stan, J.T.; Pypker, T.G.; Khosropour, E. Management of pomegranate (Punica granatum) orchards alters the supply and pathway of rain water reaching soils in an arid agricultural landscape. Agric. Ecosyst. Environ. 2018, 259, 77–85. [Google Scholar] [CrossRef]
- Sadeghi, S.M.M.; Van Stan, J.T.; Pypker, T.G.; Friesen, J. Canopy hydrometeorological dynamics across a chronosequence of a globally invasive species, Ailanthus altissima (Mill., tree of heaven). Agric. For. Meteorol. 2017, 240, 10–17. [Google Scholar] [CrossRef]
- Sadeghi, S.M.M.; Attarod, P.; Van Stan, J.T.; Pypker, T.G. The importance of considering rainfall partitioning in afforestation initiatives in semiarid climates: A comparison of common planted tree species in Tehran, Iran. Sci. Total Environ. 2016, 568, 845–855. [Google Scholar] [CrossRef] [PubMed]
- Sadeghi, S.M.M.; Van Stan, J.T.; Pypker, T.G.; Tamjidi, J.; Friesen, J.; Farahnaklangroudi, M. Importance of transitional leaf states in canopy rainfall partitioning dynamics. Eur. J. For. Res. 2018, 137, 121–130. [Google Scholar] [CrossRef]
- Nazari, M.; Sadeghi, S.M.M.; Van Stan, J.T.; Chaichi, M.R. Rainfall interception and redistribution by maize farmland in central Iran. J. Hydrol. Reg. Stud. 2020, 27, 100656. [Google Scholar] [CrossRef]
- Lloyd, C.R.; de Marques, F. Spatial variability of throughfall and stemflow measurements in Amazonian Rainforest. Agric. For. Meteorol. 1988, 42, 63–73. [Google Scholar] [CrossRef]
- Link, T.E.; Unsworth, M.; Marks, D. The dynamics of rainfall interception by a seasonal temperate rainforest. Agric. For. Meteorol. 2004, 124, 171–191. [Google Scholar] [CrossRef]
- Ziegler, A.D.; Giambelluca, T.W.; Nullet, M.A.; Sutherland, R.A.; Tantasarin, C.; Vogler, J.B.; Negishi, J.N. Throughfall in an evergreen-dominated forest stand in northern Thailand: Comparison of mobile and stationary methods. Agric. For. Meteorol. 2009, 149, 373–384. [Google Scholar] [CrossRef]
- Dolatshahi, A. Sensitivity of Evapotranspiration to Climate Change in the Northern Zagros Region, West of Iran. Master’s Thesis, University of Tehran, Tehran, Iran, 2015. [Google Scholar]
- Zimmermann, A.; Zimmermann, B.; Elsenbeer, H. Rainfall redistribution in a tropical forest: Spatial and temporal patterns. Water Resour. Res. 2009, 45, W11413. [Google Scholar] [CrossRef]
- Sterk, G.; Stein, A. Mapping wind-blown mass transport by modeling variability in space and time. Soil Sci. Soc. Am. J. 1997, 61, 232–239. [Google Scholar] [CrossRef]
- Gomez, J.A.; Vanderlinden, K.; Giraldez, J.V.; Fereres, E. Rainfall concentration under olive trees. Agric. Water Manag. 2002, 55, 53–70. [Google Scholar] [CrossRef]
- Webster, R.; Oliver, M.A. Sample adequately to estimate variograms of soil properties. J. Soil Sci. 1992, 43, 177–192. [Google Scholar] [CrossRef]
- Staelens, J.; Schrijver, A.D.; Verheyen, K.; Verhoest, N.E.C. Spatial variability and temporal stability of throughfall water under a dominant beech (Fagus sylvatica L.) tree in relationship to canopy cover. J. Hydrol. 2006, 330, 651–662. [Google Scholar] [CrossRef]
- Gerrits, A.M.J.; Pfister, L.; Savenije, H.H.G. Spatial and temporal variability of canopy and forest floor interception in a beech forest. Hydrol. Process. 2010, 24, 3011–3025. [Google Scholar] [CrossRef]
- Hsueh, Y.H.; Allen, S.T.; Keim, R.F. Fine-scale spatial variability of throughfall amount and isotopic composition under a hardwood forest canopy. Hydrol. Process. 2016, 30, 1796–1803. [Google Scholar] [CrossRef]
- Zimmermann, A.; Zimmermann, B. Requirements for throughfall monitoring: The roles of temporal scale and canopy complexity. Agric. For. Meteorol. 2014, 189, 125–139. [Google Scholar] [CrossRef]
- Liu, J.; Liu, W.; Li, W.; Jiang, X.; Wu, J. Effects of rainfall on the spatial distribution of the throughfall kinetic energy on a small scale in a rubber plantation. Hydrol. Sci. J. 2018, 63, 1078–1090. [Google Scholar] [CrossRef]
- Loescher, H.W.; Powers, J.S.; Oberbauer, S.F. Spatial variation of throughfall volume in an old-growth tropical wet forest, Costa Rica. J. Trop. Ecol. 2002, 18, 397–407. [Google Scholar] [CrossRef]
- Cisneros Vaca, C.; Ghimire, C.P.; Van der Tol, C. Spatial patterns and temporal stability of throughfall in a mature Douglas-fir Forest. Water 2018, 10, 317. [Google Scholar] [CrossRef]
- Bellot, J.; Escarre, A. Stemflow and throughfall determination in a resprouted Mediterranean holm-oak forest. Ann. For. Sci. 1998, 55, 847–865. [Google Scholar] [CrossRef]
- Wilcke, W.; Yasin, S.; Valarezo, C.; Zech, W. Change in water quality during the passage through a tropical montane rain forest in Ecuador. Biogeochemistry 2001, 55, 45–72. [Google Scholar] [CrossRef]
- Fleischbein, K.; Wilcke, W.; Goller, R.; Boy, J.; Valarezo, C.; Zech, W.; Knoblich, K. Rainfall interception in a lower montane forest in Ecuador: Effects of canopy properties. Hydrol. Process. 2005, 19, 1355–1371. [Google Scholar] [CrossRef]
- Herwitz, S.R.; Slye, R.E. 3-Dimensional modeling of canopy tree interception of wind-driven rainfall. J. Hydrol. 1995, 168, 205–226. [Google Scholar] [CrossRef]
- Sun, X.; Onda, Y.; Chiara, S.; Kato, H.; Gomi, T. The effect of strip thinning on spatial and temporal variability of throughfall in a Japanese cypress plantation. Hydrol. Process. 2015, 29, 5058–5070. [Google Scholar] [CrossRef]
- Su, L.; Xie, Z.; Xu, W.; Zhao, C. Variability of throughfall quantity in a mixed evergreen-deciduous broadleaved forest in central China. J. Hydrol. Hydromech. 2019, 67, 225–231. [Google Scholar] [CrossRef]
- Sadeghi, S.M.M.; Attarod, P.; Pypker, T.G. Differences in rainfall interception during the growing and non-growing seasons in a Fraxinus rotundifolia Mill. plantation located in a semiarid climate. J. Agric. Sci. Tech. 2015, 17, 145–156. [Google Scholar]
- Sadeghi, S.M.M.; Attarod, P.; Van Stan, J.T.; Pypker, T.G.; Dunkerley, D. Efficiency of the reformulated Gash’s interception model in semiarid afforestations. Agric. For. Meteorol. 2015, 201, 76–85. [Google Scholar] [CrossRef]
- Deguchi, A.; Hattori, S.; Park, H.T. The influence of seasonal changes in canopy structure on interception loss: Application of the revised Gash model. J. Hydrol. 2006, 318, 80–102. [Google Scholar] [CrossRef]
- Fang, S.; Zhao, C.; Jian, S. Spatial variability of throughfall in a Pinus tabulaeformis plantation forest in Loess Plateau, China. Scand. J. For. Res. 2016, 31, 467–476. [Google Scholar] [CrossRef]
- Wullaert, H.; Pohlert, T.; Boy, J.; Valarezo, C.; Wilcke, W. Spatial throughfall heterogeneity in a montane rain forest in Ecuador: Extent, temporal stability and drivers. J. Hydrol. 2009, 377, 71–79. [Google Scholar] [CrossRef]
- Puckett, L.J. Estimates of ion sources in deciduous and coniferous throughfall. Atmos. Environ. 1990, 24, 545–555. [Google Scholar] [CrossRef]
- Lawrence, G.B.; Fernandez, I.J. A reassessment of areal variability of throughfall deposition measurements. Ecol. Appl. 1993, 3, 473–480. [Google Scholar] [CrossRef]
- He, Z.B.; Yang, J.J.; Du, J.; Zhao, W.Z.; Liu, H.; Chang, X.X. Spatial variability of canopy interception in a spruce forest of the semiarid mountain regions of China. Agric. For. Meteorol. 2014, 188, 58–63. [Google Scholar] [CrossRef]
- Friesen, J.; Lundquist, J.; Van Stan, J.T. Evolution of forest precipitation water storage measurement methods. Hydrol. Process. 2015, 29, 2504–2520. [Google Scholar] [CrossRef]






| Tree No. | DBH (cm) | Height (m) | Basal Area (m2) | CPA (m2) |
|---|---|---|---|---|
| A | 58 | 10.0 | 0.26 | 52.8 |
| B | 66 | 5.5 | 0.34 | 58.1 |
| C | 67 | 11.0 | 0.35 | 78.5 |
| D | 75 | 10.7 | 0.44 | 45.3 |
| E | 63 | 8.4 | 0.31 | 66.4 |
| Mean | 66 | 9.1 | 0.34 | 60.2 |
| Tree | Theoretical Model | r2 | RSS | A0 | A1 | A2 | C/(C0 + C) |
|---|---|---|---|---|---|---|---|
| A | * Spherical | 0.77 | 0.009 | 2.32 | ~1 | ||
| B | * Spherical | 0.93 | 0.00069 | 3.48 | 0.79 | ||
| C | ** Linear | 0.33 | 0.672 | 26.35 | 9.06 | 0.97 | |
| D | ** Linear | 0.12 | 1170 | 557.7 | 348.1 | 0.64 | |
| E | * Exponential | 0.84 | 0.003 | 1.03 | 0.67 |
| Rainstorm Event | Pg (mm) | Tree A | Tree B | Tree C | Tree D | Tree E | |||||||||||
|---|---|---|---|---|---|---|---|---|---|---|---|---|---|---|---|---|---|
| Tf (mm) | MAE(mm) | RMAE(%) | Skewness | Tf (mm) | MAE(mm) | RMAE(%) | Skewness | Tf (mm) | Skewness | Tf (mm) | Skewness | Tf (mm) | MAE(mm) | RMAE(%) | Skewness | ||
| 1 | 16.4 | 13.2 | 3.1 | 23.6 | 0.52 | 13.1 | 4.8 | 36.9 | 1.1log | 8.2 | −0.06 | 12 | 0.05 | 10.3 | 2.8 | 27.1 | 0.79 |
| 2 | 39.1 | 38.4 | 7 | 18.2 | 0.81 | 38.3 | 5.9 | 15.5 | 0.81log | 32.6 | 0.25 | 38.2 | −1.22 | 37.8 | 8.7 | 23 | 1.06log |
| 3 | 5.2 | 4.3 | 1.1 | 24.6 | 0.17 | 4.2 | 0.9 | 21.5 | 0.83 | 3.4 | 0.33 | 4 | −0.54 | 3.7 | 0.9 | 24.8 | 0.56 |
| 4 | 24.9 | 20 | 3.7 | 18.6 | −0.35 | 18.8 | 4.5 | 23.9 | 0.12 | 22.1 | 1.34log | 18.4 | −0.88 | 19.1 | 5.7 | 30 | 0.36 |
| 5 | 2.3 | 1.5 | 0.47 | 31.3 | 0.64 | 1.4 | 0.17 | 12.3 | 0.7 | 1.1 | 1.64log | 1.4 | 0.24 | 1.2 | 0.3 | 22.8 | 0.22 |
| 6 | 2 | 1.3 | 0.43 | 31.8 | 0.01 | 1.2 | 0.37 | 32.8 | 0.55 | 1.1 | −0.09 | 1.2 | −0.49 | 1.2 | 0.3 | 23.7 | 0.4 |
| 7 | 3.3 | 2.6 | 0.61 | 23.7 | −0.4 | 2.5 | 0.47 | 18.8 | 0.13 | 1.9 | −0.16 | 2.4 | −1.13 | 2.7 | 0.4 | 16.2 | 0.43 |
| 8 | 47.3 | 41.1 | 10.1 | 24.6 | 0.03log | 39 | 9.4 | 24 | −0.16 | 39.3 | 1.77log | 38.4 | 0 | 38.8 | 7.8 | 20.1 | 0.79 |
| 9 | 24.9 | 24.3 | 5.2 | 21.2 | 0.78 | 23.4 | 5.3 | 22.5 | 1.21log | 24 | 1.20log | 23.6 | −0.23 | 23.6 | 7.2 | 30.6 | 0.75log |
| 10 | 28.5 | 27.7 | 4.8 | 17.3 | 0.03 | 26.7 | 5.8 | 21.8 | 0.19 | 26.6 | 1.38log | 27.4 | 0.53 | 27.6 | 8.3 | 30.1 | 0.53 |
| 11 | 25.1 | 23.7 | 3.5 | 14.9 | −0.29 | 24.2 | 7.5 | 31.1 | 1.59log | 21.6 | 0.45log | 23.7 | −1.1 | 22.5 | 7.4 | 32.7 | −0.17 |
| 12 | 1.9 | 1.4 | 0.3 | 21.4 | −0.46 | 1.4 | 0.25 | 18.1 | 0.11 | 1 | 0.39 | 1.3 | −0.04 | 1.2 | 0.26 | 21.7 | 0.05 |
| 13 | 6.4 | 6.1 | 1.4 | 22 | 0.24 | 5.7 | 2.6 | 46.8 | 1.09log | 4.9 | −0.71 | 5.4 | −0.71 | 5.1 | 1.6 | 30.7 | −0.03 |
| 14 | 0.81 | 0.55 | 0.19 | 34.3 | −0.16 | 0.34 | 0.13 | 37.6 | 0.43 | 0.2 | −0.88 | 0.43 | −0.06 | 0.3 | 0.12 | 39.6 | 0.7 |
| 15 | 2.1 | 1.5 | 0.6 | 40.6 | 0.43log | 1.4 | 0.86 | 61.5 | 0.83 | 1.1 | 0.05 | 1.3 | 0.29log | 1.4 | 0.85 | 60.6 | 0.83 |
| 16 | 13.3 | 12.5 | 1.5 | 11.7 | −1.32 | 12.1 | 3.1 | 25.3 | 1.42log | 11.3 | 1.14log | 12 | 0.14 | 11.7 | 3.9 | 33 | 0.46 |
| 17 | 1.6 | 0.97 | 0.18 | 18.7 | −0.67 | 1.1 | 0.36 | 34.7 | 0.86 | 0.8 | 0.42log | 1.1 | −0.46 | 1 | 0.24 | 25.2 | 0.47 |
| 18 | 2.4 | 2.1 | 0.52 | 24.4 | −1.31 | 1.8 | 0.49 | 27.2 | 0 | 1.4 | −0.2 | 1.9 | −0.97 | 1.5 | 0.58 | 37.9 | −0.23 |
| 19 | 16 | 14.1 | 2.5 | 17.9 | −0.46 | 13.5 | 3.5 | 26 | 0.23 | 12.8 | 0.86 | 14.1 | −1.19 | 13.6 | 2.7 | 20 | −0.44 |
| 20 | 3.9 | 3.7 | 0.78 | 21.2 | −1.27 | 3.3 | 0.63 | 19.5 | −0.01 | 3.1 | −0.29 | 3.6 | −0.86 | 3.3 | 1 | 31 | −0.07 |
| 21 | 0.66 | 0.43 | 0.17 | 38.9 | 0.33 | 0.44 | 0.18 | 41 | 0.64 | 0.3 | 0.63 | 0.47 | 0.08log | 0.4 | 0.1 | 17.4 | 0 |
| 22 | 3.7 | 3.2 | 0.78 | 24.3 | −1.27 | 2.8 | 0.61 | 21.8 | 0.25 | 2.7 | 0.32log | 3.1 | −0.61 | 2.9 | 1 | 34.8 | −0.01 |
| 23 | 5.9 | 5.1 | 1.3 | 25.8 | 0.36 | 4.6 | 2.1 | 44.6 | 1.03log | 4.4 | 0.75log | 4.9 | −0.52 | 4.5 | 1.5 | 34.5 | 0.14 |
| 24 | 24.5 | 22.7 | 5.1 | 22.7 | 0.78 | 22.3 | 5 | 22 | 0.78 | 21.9 | 0.93 | 22.8 | −0.23 | 22.5 | 7.2 | 32.1 | 0.71log |
| Cumulative | 302.2 | 272.5 | 263.6 | 247.8 | 263.1 | 257.9 | |||||||||||
| Mean | 12.59 | 11.35 | 2.31 | 23.9 | −0.12 | 10.98 | 2.71 | 28.63 | 0.61 | 10.33 | 0.48 | 10.96 | −0.41 | 10.75 | 2.95 | 29.15 | 0.35 |
| Coefficient of variation (%) | 22.8 | 28.8 | 27.9 | 27.4 | 17.9 | ||||||||||||
| Distance from Trunk | Trees | |||||||||
|---|---|---|---|---|---|---|---|---|---|---|
| A | B | C | D | E | ||||||
| mm | % | mm | % | mm | % | mm | % | mm | % | |
| Close to the crown edge | 301.9 | 99.8 | 303.6 | 100.4 | 305.7 | 101.1 | 277.7 | 91.8 | 254.4 | 84.1 |
| Near the tree trunk | 242.5 | 80.2 | 235.5 | 73.9 | 189.7 | 62.7 | 248.4 | 82.2 | 260.9 | 86.3 |
| Error of Cumulative Tf Mean (%) | Trees | ||||||||||||||
|---|---|---|---|---|---|---|---|---|---|---|---|---|---|---|---|
| A | B | C | D | E | |||||||||||
| Confidence Interval (%) | |||||||||||||||
| 90 | 95 | 99 | 90 | 95 | 99 | 90 | 95 | 99 | 90 | 95 | 99 | 90 | 95 | 99 | |
| 5 | 64 | 95 | 181 | 102 | 150 | 284 | 96 | 142 | 271 | 92 | 135 | 256 | 40 | 58 | 110 |
| 10 | 16 | 24 | 46 | 26 | 38 | 71 | 24 | 36 | 68 | 23 | 34 | 64 | 10 | 15 | 28 |
| 15 | 8 | 11 | 21 | 12 | 17 | 32 | 11 | 16 | 31 | 11 | 15 | 29 | 5 | 7 | 13 |
| 20 | 4 | 6 | 12 | 7 | 10 | 18 | 6 | 9 | 17 | 6 | 9 | 16 | 3 | 4 | 7 |
Publisher’s Note: MDPI stays neutral with regard to jurisdictional claims in published maps and institutional affiliations. |
© 2021 by the authors. Licensee MDPI, Basel, Switzerland. This article is an open access article distributed under the terms and conditions of the Creative Commons Attribution (CC BY) license (https://creativecommons.org/licenses/by/4.0/).
Share and Cite
Fathizadeh, O.; Sadeghi, S.M.M.; Pazhouhan, I.; Ghanbari, S.; Attarod, P.; Su, L. Spatial Variability and Optimal Number of Rain Gauges for Sampling Throughfall under Single Oak Trees during the Leafless Period. Forests 2021, 12, 585. https://doi.org/10.3390/f12050585
Fathizadeh O, Sadeghi SMM, Pazhouhan I, Ghanbari S, Attarod P, Su L. Spatial Variability and Optimal Number of Rain Gauges for Sampling Throughfall under Single Oak Trees during the Leafless Period. Forests. 2021; 12(5):585. https://doi.org/10.3390/f12050585
Chicago/Turabian StyleFathizadeh, Omid, Seyed Mohammad Moein Sadeghi, Iman Pazhouhan, Sajad Ghanbari, Pedram Attarod, and Lei Su. 2021. "Spatial Variability and Optimal Number of Rain Gauges for Sampling Throughfall under Single Oak Trees during the Leafless Period" Forests 12, no. 5: 585. https://doi.org/10.3390/f12050585
APA StyleFathizadeh, O., Sadeghi, S. M. M., Pazhouhan, I., Ghanbari, S., Attarod, P., & Su, L. (2021). Spatial Variability and Optimal Number of Rain Gauges for Sampling Throughfall under Single Oak Trees during the Leafless Period. Forests, 12(5), 585. https://doi.org/10.3390/f12050585

