Salicylic Acid-Induced Morpho-Physiological and Biochemical Changes Triggered Water Deficit Tolerance in Syzygium cumini L. Saplings
Abstract
1. Introduction
2. Materials and Methods
2.1. Plant Material and Growth Condition
2.2. Water Deficit Treatments and Foliar Application of Salicylic Acid (SA)
2.3. Growth and Dry Weight Production
2.4. Chlorophyll a, b and Carotenoid Content Measurements
2.5. CO2 Assimilation Rate, Stomatal Conductance and Water-Use Efficiency Measurements
2.6. Proline, Soluble Sugar, Total Soluble Protein and Total Phenolic Contents Measurements
2.7. Malondialdehyde Contents and Electrolyte Leakage (EL%) Measurements
2.8. Hydrogen Peroxide (H2O2) and Superoxide Radical (O2−) Measurements
2.9. Antioxidants Enzyme, Superoxide Dismutase (SOD), Peroxidase (POD), Catalase (CAT) and Ascorbate Peroxidase (APX) Measurements
2.10. Data Analysis
3. Results
3.1. Effect of Water Deficit and SA on Growth and Biomass Attributes
3.2. Effect of Water Deficit and SA on Chlorophyll a,b and Carotenoid Content
3.3. Effect of Water Deficit and SA on Proline, Soluble Sugar, Total Phenolic Contents and Soluble Protein
3.4. Effect of Water Deficit and SA on CO2 Assimilation Rate, Stomatal Conductance and Intrinsic Water Use Efficiency
3.5. Effect of Water Deficit and SA on Lipid Peroxidation (Malondialdehyde, MDA), Hydrogen Peroxide (H2O2) Superoxide Radical (O2–) and Electrolyte Leakage (EL%)
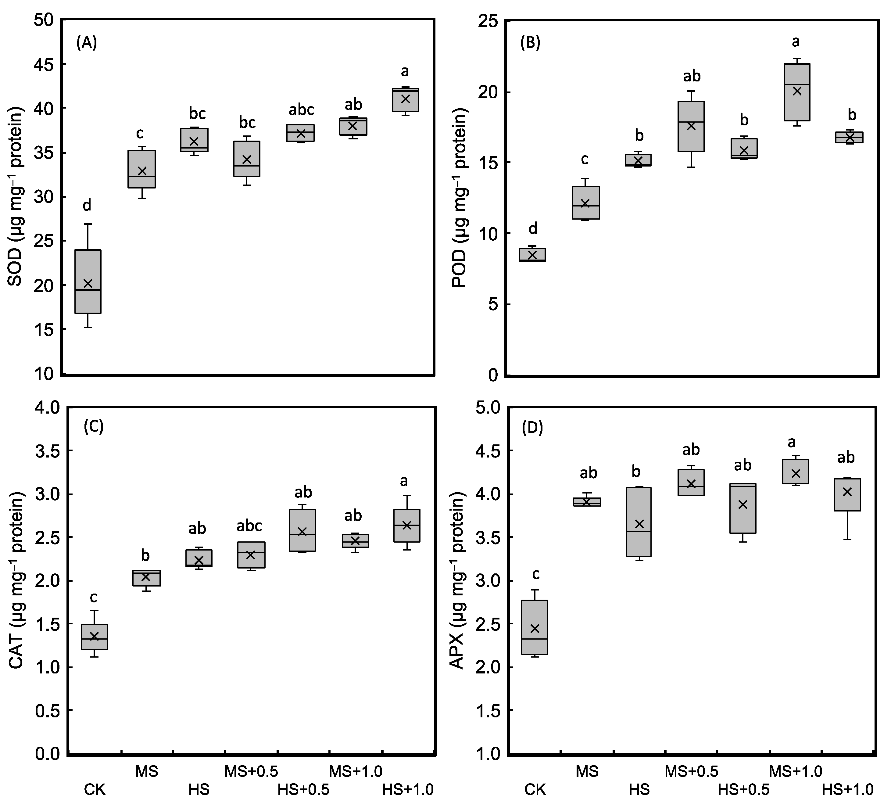
3.6. Effect of Water Deficit and SA on Antioxidant Enzymes (SOD, POD, CAT and APX)
4. Discussion
4.1. Effect of Water Deficit and SA on Growth and Biomass Attributes
4.2. Effect of Water Deficit and SA on Photosynthetic Pigments and Leaf Gas Exchange Parameters
4.3. Effect of Water Deficit and SA on Proline, Soluble Sugar, Total Phenolic Contents and Soluble Protein
4.4. Effect of Water Deficit and SA on Oxidants, MDA Contents, EL% and Antioxidants Enzyme
5. Conclusions
Author Contributions
Funding
Acknowledgments
Conflicts of Interest
References
- Trenberth, K. Changes in precipitation with climate change. Clim. Res. 2011, 47, 123–138. [Google Scholar] [CrossRef]
- Martorell, S.; Espejo, A.D.; Medrano, H.; Ball, M.C.; Choat, B. Rapid hydraulic recovery in Eucalyptus pauciflora after drought, linkage between stem hydraulics and leaf gas exchange. Plant Cell. Environ. 2014, 37, 617–626. [Google Scholar] [CrossRef] [PubMed]
- Allen, C.D.; Macalady, A.K.; Chenchouni, H.; Bachelet, D.; McDowell, N.; Vennetier, M.; Kitzberger, T.; Rigling, A.; Breshears, D.D.; Hogg, E.H.T.; et al. A global overview of drought and heat-induced tree mortality reveals emerging climate change risks for forests. For. Ecol. Manag. 2010, 259, 660–684. [Google Scholar] [CrossRef]
- Eswaran, H.; Reich, P.; Beinroth, F. Global desertification tension zones. In Proceedings of the 10th International Soil Conservation Organization Meeting, West Lafayette, IN, USA, 24–29 May 2001. [Google Scholar]
- Choat, B.; Badel, E.; Burlett, R.; Delzon, S.; Cochard, H.; Jansen, S. Non-invasive measurement of vulnerability to drought-induced embolism by X-Ray microtomography. Plant Physiol. 2016, 170, 273–282. [Google Scholar] [CrossRef]
- Anjum, S.; Saleem, M.; Cheema, M.; Bilal, M.; Khaliq, T. An assessment to vulnerability, extent, characteristics and severity of drought hazard in Pakistan. Pak. J. Sci. 2012, 64, 85–96. [Google Scholar]
- Centritto, M.; Brilli, M.; Fodale, R.; Loreto, F. Different sensitivity of isoprene emission, respiration and photosynthesis to high growth temperature coupled with drought stress in black poplar (Populus nigra) saplings. Tree Physiol. 2011, 31, 275–286. [Google Scholar] [CrossRef]
- He, F.; Sheng, M.; Tang, M. Effects of Rhizophagus irregularis on photosynthesis and antioxidative enzymatic system in Robinia pseudoacacia L. under drought stress. Front. Plant Sci. 2017, 8, 183. [Google Scholar] [CrossRef] [PubMed]
- Rasheed, F.; Delagrange, S. Acclimation of Betula alleghaniensis Britton to moderate soil water deficit: Small morphological changes make for important consequences in crown display. Tree Physiol. 2016, 36, 1320–1329. [Google Scholar] [PubMed]
- Ozkur, O.; Ozdemir, F.; Bor, M.; Turkan, I. Physiochemical and antioxidant responses of the perennial xerophyte Capparis ovata Desf to drought. Environ. Exp. Bot. 2009, 66, 487–492. [Google Scholar] [CrossRef]
- Bacelar, E.A.; Santos, D.L.; Moutinho-Pereira, J.M.; Lopes, J.I.; Goncalves, B.C.; Ferreira, T.C.; Correia, C.M. Physiological behaviour, oxidative damage and antioxidative protection of olive trees grown under different irrigation regimes. Plant Soil. 2007, 292, 1–12. [Google Scholar] [CrossRef]
- Noctor, G.; Reichheld, J.P.; Foyer, C.H. ROS related redox regulation and signaling in plants. Semin. Cell. Dev. Biol. 2018, 80, 3–12. [Google Scholar] [CrossRef]
- Hussain, H.A.; Hussain, S.; Khaliq, A.; Ashraf, U.; Anjum, S.A.; Men, S.; Wang, L. Chilling and drought stresses in crop plants Implications, cross talk, and potential management opportunities. Front. Plant Sci. 2018, 9, 393. [Google Scholar] [CrossRef]
- Khan, M.I.R.; Fatma, M.; Per, T.S.; Anjum, N.A.; Khan, N.A. Salicylic acid-induced abiotic stress tolerance and underlying mechanisms in plants. Front. Plant Sci. 2015, 6, 462. [Google Scholar] [CrossRef] [PubMed]
- Hayat, S.; Hasan, S.A.; Fariduddin, Q.; Ahmad, A. Growth of tomato (Lycopersicon esculentum) in response to salicylic acid under water stress. J. Plant Interact. 2008, 3, 297–304. [Google Scholar] [CrossRef]
- Horvath, E.; Szalai, G.; Janda, T. Induction of abiotic stress tolerance by salicylic acid signaling. J. Plant Growth. Regul. 2007, 26, 290–300. [Google Scholar] [CrossRef]
- Belkadhi, A.; De Haro, A.; Obregon, S.; Chaıbi, W.; Djebali, W. Positive effects of salicylic acid pretreatment on the composition of flax plastidial membrane lipids under cadmium stress. Environ. Sci. Pollut. Res. Int. 2015, 22, 1457–1467. [Google Scholar] [CrossRef] [PubMed]
- Janda, T.; Gondor, O.K.; Yordanova, R.; Szalai, G.; Pál, M. Salicylic acid and photosynthesis: Signalling and effects. Acta. Physiol. Plant. 2014, 36, 2537–2546. [Google Scholar] [CrossRef]
- Jesus, C.; Meijón, M.; Monteiro, P.; Correia, B.; Amaral, J.; Escandón, M.; Cañal, J.M.; Pinto, G. Salicylic acid application modulates physiological and hormonal changes in Eucalyptus globulus under water deficit. Environ. Exp. Bot. 2015, 118, 56–66. [Google Scholar] [CrossRef]
- Hayat, Q.; Hayat, S.; Irfan, M.; Ahmad, A. Effect of exogenous salicylic acid under changing environment: A review. Environ. Exp. Bot. 2010, 68, 14–25. [Google Scholar] [CrossRef]
- Motooka, P.; Castro, D.; Nelson, G.N.; Ching, L. Syzygium cumini. In Weeds of Hawaii’s Pastures and Natural Areas: An Identification and Management Guide; University of Hawaii at Manoa: Honolulu, HI, USA, 2003. [Google Scholar]
- Invasive Species Specialist Group. Species profile: Syzygium cumini. In Global Invasive Species Database; ISSG: Treviso, Italy, 2018. [Google Scholar]
- Nadkarni, K.M. Indian Materia Medica; Popular Book Depot: Bombay, India, 1954. [Google Scholar]
- Rasheed, F.; Dreyer, E.; Richard, B.; Brignolas, F.; Brendel, O.; Thiec, D.L. Vapour pressure deficit during growth has little impact on genotypic differences of transpiration efficiency at leaf and whole-plant level: An example from Populus nigra L. Plant Cell. Environ. 2015, 38, 670–684. [Google Scholar] [CrossRef]
- Zafar, Z.; Rasheed, F.; Delagrange, S.; Abdullah, M.; Ruffner, C. Acclimatization of Terminalia Arjuna saplings to salt stress: Characterization of growth, biomass and photosynthetic parameters. J. Sustain. Forest. 2020, 39, 76–91. [Google Scholar] [CrossRef]
- Arnon, D.I. Copper enzymes in isolated chloroplasts. Polyphenoloxidase in Beta vulgaris. Plant Physiol. 1949, 24, 1–15. [Google Scholar] [CrossRef] [PubMed]
- Ainsworth, E.A.; Gillespie, K.M. Estimation of total phenolic content and other oxidation substrates in plant tissues using Folin–Ciocalteu reagent. Nat. Protoc. 2007, 2, 875–877. [Google Scholar] [CrossRef] [PubMed]
- Bates, L.S.; Waldren, R.P.; Teare, I.D. Rapid determination of free proline for water-stress studies. Plant Soil. 1973, 39, 205–207. [Google Scholar] [CrossRef]
- Bradford, M. A rapid and sensitive method for the quantitation of microgram quantities of protein utilizing the principle of protein dye binding. Anal. Biochem. 1976, 72, 248–254. [Google Scholar] [CrossRef]
- Yemm, E.W.; Willis, A.J. The estimation of carbohydrates in plant extracts by anthrone. Biochem. J. 1954, 57, 508–514. [Google Scholar] [CrossRef]
- Aravind, P.; Prasad, M.N.V. Zinc alleviates cadmium-induced oxidative stress in Ceratophyllum demersum L. a free floating freshwater macrophyte. Plant Physiol. Biochem. 2003, 41, 391–397. [Google Scholar] [CrossRef]
- Nayyar, H. Accumulation of osmolytes and osmotic adjustment in water-stressed wheat (Triticum aestivum) and maize (Zea mays) as affected by calcium and its antagonists. Environ. Exp. Bot. 2003, 50, 253–264. [Google Scholar] [CrossRef]
- Velikova, V.; Yordanov, I.; Edreva, A. Oxidative stress and some antioxidant systems in acid rain-treated bean plants: Protective role of exogenous polyamines. Plant Sci. 2000, 151, 59–66. [Google Scholar] [CrossRef]
- Bai, T.; Li, C.; Ma, F.; Feng, F.; Shu, H. Responses of growth and antioxidant system to root-zone hypoxia stress in two Malus species. Plant Soil. 2010, 327, 95–105. [Google Scholar] [CrossRef]
- Bayer, W.F.; Fridovich, I. Assaying for superoxide dismutase activity: Some large consequences of minor changes in conditions. Anal. Biochem. 1987, 161, 559–566. [Google Scholar] [CrossRef]
- Maehly, A.C.; Chance, B. The assay of catalases and peroxidases. Methods Enzymol. 1955, 2, 764–775. [Google Scholar]
- Knörzer, O.C.; Burner, J.; Boger, P. Alterations in the antioxidative system of suspension-cultured soybean cells (Glycine max) induced by oxidative stress. Physiol. Plantarum. 1996, 97, 388–396. [Google Scholar] [CrossRef]
- Nakano, Y.; Asada, K. Hydrogen peroxide is scavenged by ascorbate specific peroxidase in spinach chloroplasts. Plant Cell. Physiol. 1981, 22, 867–880. [Google Scholar]
- Zafar, Z.; Rasheed, F.; Abdullah, M.; Salam, M.M.A.; Mohsin, M. Effects of water deficit on growth and physiology of Young Conocarpus erectus L. and Ficus benjamina L. saplings. Bangladesh J. Bot. 2019, 48, 1215–1221. [Google Scholar] [CrossRef]
- Petrík, P.; Petek, A.; Konôpková, A.; Bosela, M.; Fleischer, P.; Frýdl, J.; Kurjak, D. Stomatal and leaf morphology response of European Beech (Fagus sylvatica L.) provenances transferred to contrasting climatic conditions. Forests 2020, 11, 1359. [Google Scholar] [CrossRef]
- Umami, M.; Parker, L.M.; Arndt, S.K. The impacts of drought stress and Phytophthora cinnamomi infection on short-term water relations in two year-old Eucalyptus obliqua. Forests 2021, 12, 109. [Google Scholar] [CrossRef]
- Muller, B.; Pantin, F.; Genard, M.; Turc, O.; Freixes, S.; Piques, M.; Gibon, Y. Water deficits uncouple growth from photosynthesis, increase C content, and modify the relationships between C and growth in sink organs. J. Exp. Bot. 2011, 62, 1715–1729. [Google Scholar] [CrossRef]
- Arndt, S.; Clifford, S.; Wanek, W.; Jones, H.; Popp, M. Physiological and morphological adaptations of the fruit tree Ziziphus rotundifolia in response to progressive drought stress. Tree Physiol. 2010, 21, 705–715. [Google Scholar] [CrossRef] [PubMed]
- Sabir, M.A.; Rasheed, F.; Zafar, Z.; Khan, I.; Nawaz, M.F.; Haq, I.U.; Bilal, M. A consistent CO2 assimilation rate and an enhanced root development drives the tolerance mechanism in Ziziphus jujuba under soil water deficit. Arid. Land. Res. Manag. 2020, 34, 392–404. [Google Scholar] [CrossRef]
- Zhang, Y.; Xu, S.; Yang, S.; Chen, Y. Salicylic acid alleviates cadmium-induced inhibition of growth and photosynthesis through upregulating antioxidant defense system in two melon cultivars (Cucumis melo L.). Protoplasma 2015, 252, 911–924. [Google Scholar] [CrossRef]
- Abbaszadeh, B.; Layeghhaghighi, M.; Azimi, R.; Hadi, N. Improving water use efficiency through drought stress and using salicylic acid for proper production of Rosmarinus officinalis L. Ind. Crop. Prod. 2020, 144, 111893. [Google Scholar] [CrossRef]
- Saheri, F.; Barzin, G.; Pishkar, L.; Boojar, M.M.A.; Babaeekhou, L. Foliar spray of salicylic acid induces physiological and biochemical changes in purslane (Portulaca oleracea L.) under drought stress. Biologia 2020, 75, 2189–2200. [Google Scholar] [CrossRef]
- Shen, C.; Hu, Y.; Du, X.; Li, T.; Tang, H.; Wu, J. Salicylic acid induces physiological and biochemical changes in Torreya grandis cv. Merrillii seedlings under drought stress. Trees 2014, 28, 961–970. [Google Scholar] [CrossRef]
- Sakhabutdinova, A.R.; Fatkhutdinova, D.R.; Bezrukova, M.V.; Shakiova, F.M. Salicylic acid prevents the damaging action of stress factors on wheat plants. Bulg. J. Plant Physiol. 2003, 29, 314–319. [Google Scholar]
- Bogeat-Triboulot, M.B.; Mikael, B.; Jenny, R.; Laurent, J.; Didier, L.T.; Payam, F.; Basia, V.; Erwin, W.; Kris, L.; Thomas, T.; et al. Gradual soil water depletion results in reversible changes of gene expression, protein profiles ecophysiology and growth performance in Populus euphratica, a poplar growing in arid regions. Plant Physiol 2007, 143, 876–892. [Google Scholar] [CrossRef] [PubMed]
- Farquhar, G.D.; Sharkey, T.K. Stomatal conductance and photosynthesis. Ann. Rev. Plant Physiol. 1982, 33, 317–345. [Google Scholar] [CrossRef]
- Blum, A. Plant water relations, plant stress and plant production. In Plant Breeding for Water-Limited Environments; Springer: New York, NY, USA, 2011; pp. 11–52. [Google Scholar]
- Tahjib-Ul-Arif, M.; Siddiqui, M.N.; Sohag, A.A.M.; Sakil, M.A.; Rahman, M.M.; Polash, M.A.S.; Mostofa, M.G.; Tran, L.S.P. Salicylic acidmediated enhancement of photosynthesis attributes and antioxidant capacity contributes to yield improvement of maize plants under salt stress. J. Plant Growth Regul. 2018, 37, 1318–1330. [Google Scholar] [CrossRef]
- White, D.A.; Turner, N.C.; Galbraith, J.H. Leaf water relations and stomatal behavior of four allopatric Eucalyptus species planted in Mediterranean southwestern Australia. Tree Physiol. 2000, 20, 1157–1165. [Google Scholar] [CrossRef]
- Chaves, M.M.; Maroco, J.P.; Pereira, J.S. Understanding plant responses to drought from genes to the whole plant. Funct. Plant Biol. 2003, 30, 239–264. [Google Scholar] [CrossRef]
- Cotrozzi, L.; Remorini, D.; Pellegrini, E.; Landi, M.; Massai, R.; Nali, C.; Guidi, L.; Lorenzini, G. Variations in physiological and biochemical traits of oak seedlings grown under drought and ozone stress. Physiol. Plantarum. 2016, 157, 69–84. [Google Scholar] [CrossRef]
- Ben Ahmed, C.; Ben Rouina, B.; Sensoy, S.; Boukhris, M.; Ben Abdallah, F. Changes in gas exchange, proline accumulation and antioxidative enzyme activities in three olive cultivars under contrasting water availability regimes. Environ. Exp. Bot. 2009, 67, 345–352. [Google Scholar] [CrossRef]
- Regier, N.; Streb, S.; Cocozza, C.; Schaub, M.; Cherubini, P.; Zeeman, S.C.; Rrey, B. Drought tolerance of two black poplar (Populus nigra L.) clones: Contribution of carbohydrates and oxidative stress defence. Plant Cell. Environ. 2009, 32, 1724–1736. [Google Scholar] [CrossRef] [PubMed]
- Szabados, L.; Savoure, A. Proline: A multifunctional amino acid. Trends. Plant Sci. 2010, 15, 89–97. [Google Scholar] [CrossRef]
- Arbona, V.; Manzi, M.; Cd, O.; Gómez-Cadenas, A. Metabolomics as a tool to investigate abiotic stress tolerance in plants. Int. J. Mol. Sci. 2013, 14, 4885–4911. [Google Scholar] [CrossRef] [PubMed]
- Idrees, M.; Khan, M.M.A.; Aftab, T.; Naeem, M.; Hashmi, N. Salicylic acid-induced physiological and biochemical changes in lemongrass varieties under water stress. J. Plant Interact. 2010, 5, 293–303. [Google Scholar] [CrossRef]
- Ghorbani, A.; Razavi, S.M.; Omran, V.O.G.; Pirdashti, H. Piriformospora indica alleviates salinity by boosting redox poise and antioxidative potential of tomato. Russ. J. Plant Physiol. 2018, 65, 898–907. [Google Scholar] [CrossRef]
- Jafarnia, S.; Akbarinia, M.; Hosseinpour, B.; Modarres, S.A.M.; Salami, S.A. Effect of drought stress on some growth, morphological, physiological, and biochemical parameters of two different populations of Quercus brantii. iForest 2018, 11, 212–220. [Google Scholar] [CrossRef]
- Gondor, O.K.; Janda, T.; Soós, V.; Pál, M.; Majláth, I.; Adak, M.K.; Balázs, E.; Szalai, G. Salicylic acid induction of flavonoid biosynthesis pathways in wheat varies by treatment. Front. Plant Sci. 2016, 7, 1447. [Google Scholar] [CrossRef] [PubMed]
- Baxter, A.; Mittler, R.; Suzuki, N. ROS as key players in plant stress signalling. J. Exp. Bot. 2014, 65, 1229–1240. [Google Scholar] [CrossRef]
- Dianat, M.; Saharkhiz, M.J.; Tavassolian, I. Salicylic acid mitigates drought stress in Lippia citriodora L. effects on biochemical traits and essential oil yield. Biocatal. Agric. Biotechnol. 2016, 8, 286–293. [Google Scholar] [CrossRef]
- Rasheed, F.; Gondal, A.; Kudus, K.A.; Zafar, Z.; Nawaz, M.F.; Khan, W.R.; Abdullah, M.; Ibrahim, F.H.; Depardieu, C.; Pazi, A.M.M.; et al. Effects of soil water deficit on three tree species of the arid environment: Variations in growth, physiology, and antioxidant enzyme activities. Sustainability 2021, 13, 3336. [Google Scholar] [CrossRef]
- Kocheva, K.; Lambrev, P.; Georgiev, G.; Goltsev, V.; Karabaliev, M. Evaluation of chlorophyll fluorescence and membrane injury in the leaves of barley cultivars under osmotic stress. Bioelectrochemistry 2004, 63, 121–124. [Google Scholar] [CrossRef]
- Lima, A.L.S.; DaMatta, F.M.; Pinheiro, H.A.; Totola, M.R.; Loureiro, M.E. Photochemical responses and oxidative stress in two clones of Coffea canephora under water deficit conditions. Environ. Exp. Bot. 2002, 47, 239–247. [Google Scholar] [CrossRef]
- Liu, C.; Liu, Y.; Guo, K.; Fan, D.; Li, G.; Zheng, Y.; Yu, L.; Yang, R. Effect of drought on pigments, osmotic adjustment and antioxidant enzymes in six woody plant species in karst habitats of southwestern China. Environ. Exp. Bot. 2011, 71, 174–183. [Google Scholar] [CrossRef]
- Santos, C.; Fragoeiro, S.; Phillips, A. Physiological response of grapevine cultivars and a rootstock to infection with Phaeoacremonium and Phaeomoniella isolates: An in vitro approach using plants and calluses. Sci. Horticult. 2005, 103, 187–198. [Google Scholar] [CrossRef]
- Yin, C.; Peng, Y.; Zang, R.; Zhua, Y.; Li, C. Adaptive responses of Populus kangdingensis to drought stress. Physiol. Plant. 2005, 123, 445–451. [Google Scholar] [CrossRef]
- Zhu, J.J.; Zhang, J.L.; Liu, H.C.; Cao, K.F. Photosynthesis, non-photochemical pathways and activities of antioxidant enzymes in a resilient evergreen oak under different climatic conditions from a valley-savanna in Southwest China. Physiol. Plant 2009, 135, 62–72. [Google Scholar] [CrossRef]
- Mittler, R. Oxidative stress, antioxidants and stress tolerance. Trends. Plant Sci. 2002, 7, 405–410. [Google Scholar] [CrossRef]
- Chavoushi, M.; Najafi, F.; Salimi, A.; Angaji, S.A. Improvement in drought stress tolerance of safflower during vegetative growth by exogenous application of salicylic acid and sodium nitroprusside. Ind. Crop. Prod. 2019, 134, 168–176. [Google Scholar] [CrossRef]




| Traits | Plant Height (cm) | Stem Diameter (mm) | Number of Leaves | R:S Ratio |
|---|---|---|---|---|
| CK | 50.54 ± 0.61 abc | 5.87 ± 0.17 a | 29.80 ± 1.96 a | 0.50 ± 0.00 d |
| MS | 47.75 ± 0.85 bc | 5.24 ± 0.23 ab | 23.6 ± 1.6 ab | 0.80 ± 0.01 ab |
| HS | 45.4 ± 1.66 c | 3.91 ± 0.16 c | 15.8 ± 1.2 c | 0.90 ± 0.06 a |
| MS + 0.5 | 56.8 ± 1.20 abc | 5.50 ± 0.16 ab | 26.6 ± 1.88 a | 0.71 ± 0.01 bc |
| HS + 0.5 | 51.8 ± 1.06 abc | 4.61 ± 0.27 bc | 16.0 ± 0.79 c | 0.80 ± 0.01 ab |
| MS + 1.0 | 60.4 ± 0.91 a | 6.02 ± 0.15 a | 28.8 ± 1.59 a | 0.59 ± 0.01 cd |
| HS + 1.0 | 58.4 ± 0.68 ab | 5.31 ± 0.20 ab | 19.8 ± 0.2 bc | 0.72 ± 0.03 bc |
| p-values | p = 0.001 | p = 0.001 | p = 0.001 | p < 0.001 |
| Traits | Chlorophyll a (mg g−1 FW) | Chlorophyll b (mg g−1 FW) | Carotenoids (mg g−1 FW) | Proline (μ mol g−1 FW) | Soluble Sugar (mg g−1 FW) | Total Phenolic Content (mg g−1 FW) | Soluble Protein (mg g−1 FW) |
|---|---|---|---|---|---|---|---|
| CK | 1.55 ± 0.06 a | 1.41 ± 0.10 a | 0.78 ± 0.03 a | 12.5 ± 0.75 d | 74.3 ± 2.05 c | 1.55 ± 0.05 e | 21.3 ± 0.54 e |
| MS | 1.14 ± 0.02 c | 1.11 ± 0.00 b | 0.63 ± 0.02 b | 16.8 ± 0.32 c | 83.0 ± 0.58 b | 2.10 ± 0.02 d | 25.5 ± 0.30 cd |
| HS | 0.86 ± 0.02 d | 0.84 ± 0.02 c | 0.48 ± 0.01 c | 20.7 ± 0.74 b | 84.3 ± 0.27 b | 2.76 ± 0.03 ab | 27.8 ± 0.29 b |
| MS + 0.5 | 1.29 ± 0.01 b | 1.21 ± 0.00 b | 0.76 ± 0.02 a | 20.7 ± 0.36 b | 85.1 ± 0.58 ab | 2.29 ± 0.07 b | 24.9 ± 0.17 d |
| HS + 0.5 | 1.12 ± 0.02 c | 1.19 ± 0.02 b | 0.60 ± 0.02 b | 25.2 ± 0.46 a | 87.0 ± 0.60 ab | 2.85 ± 0.06 a | 28.2 ± 0.28 ab |
| MS + 1.0 | 1.34 ± 0.01 b | 1.29 ± 0.00 ab | 0.80 ± 0.00 a | 25.6 ± 0.52 a | 86.9 ± 0.65 ab | 2.38 ± 0.01 c | 26.6 ± 0.45 bc |
| HS + 1.0 | 1.20 ± 0.00 bc | 1.21 ± 0.02 b | 0.66 ± 0.01 b | 27.6 ± 0.51 a | 88.6 ± 0.53 a | 2.92 ± 0.02 a | 29.5 ± 0.37 a |
| p-value | p < 0.001 | p < 0.001 | p < 0.001 | p < 0.001 | p < 0.001 | p < 0.001 | p < 0.001 |
Publisher’s Note: MDPI stays neutral with regard to jurisdictional claims in published maps and institutional affiliations. |
© 2021 by the authors. Licensee MDPI, Basel, Switzerland. This article is an open access article distributed under the terms and conditions of the Creative Commons Attribution (CC BY) license (https://creativecommons.org/licenses/by/4.0/).
Share and Cite
Zafar, Z.; Rasheed, F.; Atif, R.M.; Maqsood, M.; Gailing, O. Salicylic Acid-Induced Morpho-Physiological and Biochemical Changes Triggered Water Deficit Tolerance in Syzygium cumini L. Saplings. Forests 2021, 12, 491. https://doi.org/10.3390/f12040491
Zafar Z, Rasheed F, Atif RM, Maqsood M, Gailing O. Salicylic Acid-Induced Morpho-Physiological and Biochemical Changes Triggered Water Deficit Tolerance in Syzygium cumini L. Saplings. Forests. 2021; 12(4):491. https://doi.org/10.3390/f12040491
Chicago/Turabian StyleZafar, Zikria, Fahad Rasheed, Rana Muhammad Atif, Muhammad Maqsood, and Oliver Gailing. 2021. "Salicylic Acid-Induced Morpho-Physiological and Biochemical Changes Triggered Water Deficit Tolerance in Syzygium cumini L. Saplings" Forests 12, no. 4: 491. https://doi.org/10.3390/f12040491
APA StyleZafar, Z., Rasheed, F., Atif, R. M., Maqsood, M., & Gailing, O. (2021). Salicylic Acid-Induced Morpho-Physiological and Biochemical Changes Triggered Water Deficit Tolerance in Syzygium cumini L. Saplings. Forests, 12(4), 491. https://doi.org/10.3390/f12040491

