Growth and Nitrogen Retranslocation of Nutrient-Loaded Clonal Betulaalnoides Transplanted with or without Fertilization
Abstract
1. Introduction
2. Materials and Methods
2.1. Nursery Culture Phase
2.2. Transplanting Phase
2.3. Plant Sampling and Measurement
2.4. Statistical Analyses and Calculations
3. Results
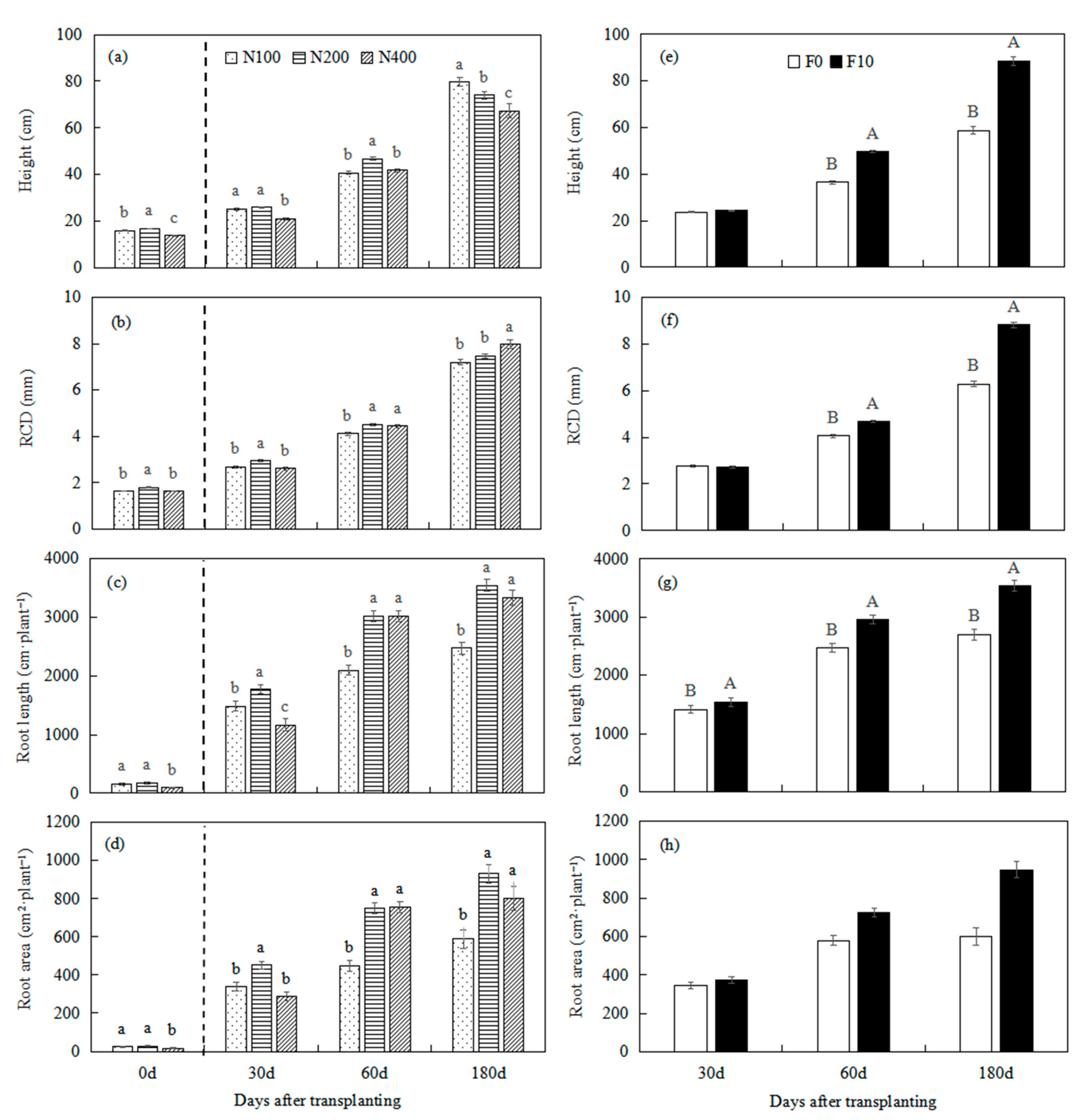
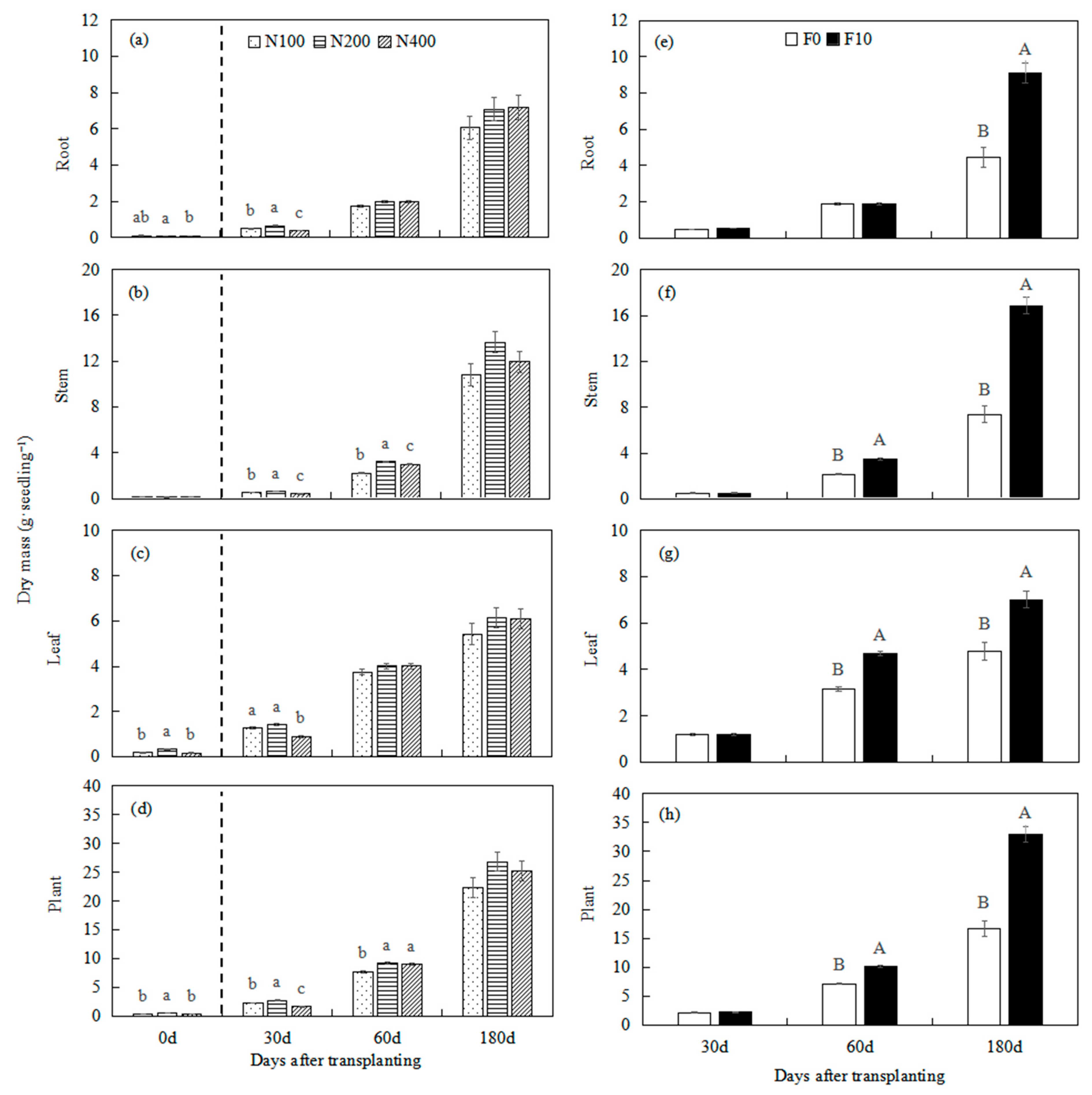
3.1. Growth Response
3.2. Nitrogen Concentration
3.3. 15N Retranslocation
4. Discussion
4.1. Nutrient Loading
4.2. Transplant Fertilization
5. Conclusions
Author Contributions
Funding
Data Availability Statement
Acknowledgments
Conflicts of Interest
Appendix A
| Sampling Time | Organs | F0 Treatment | F10 Treatment | ||||
|---|---|---|---|---|---|---|---|
| N100 | N200 | N400 | N100 | N200 | N400 | ||
| before transplanting | Root | 3.31 ± 0.11 | 3.85 ± 0.03 | 3.47 ± 0.20 | 3.31 ± 0.11 | 3.85 ± 0.03 | 3.47 ± 0.20 |
| Stem | 3.67 ± 0.08 | 3.72 ± 0.11 | 2.90 ± 0.09 | 3.67 ± 0.08 | 3.72 ± 0.11 | 2.90 ± 0.09 | |
| Leaf | 3.48 ± 0.03 | 3.27 ± 0.13 | 2.98 ± 0.12 | 3.48 ± 0.03 | 3.27 ± 0.13 | 2.98 ± 0.12 | |
| 30 days after transplanting | Rootnew | 1.46 ± 0.12 | 1.88 ± 0.19 | 3.78 ± 0.01 | 2.29 ± 0.04 | 3.36 ± 0.03 | 2.88 ± 0.07 |
| Stemnew | 1.48 ± 0.09 | 1.81 ± 0.05 | 4.00 ± 0.03 | 2.65 ± 0.08 | 3.50 ± 0.04 | 2.87 ± 0.03 | |
| Leafnew | 1.37 ± 0.08 | 1.60 ± 0.02 | 3.88 ± 0.10 | 2.64 ± 0.09 | 3.49 ± 0.02 | 2.75 ± 0.03 | |
| Rootold | 1.86 ± 0.04 | 2.09 ± 0.01 | 3.78 ± 0.07 | 2.58 ± 0.08 | 3.31 ± 0.16 | 3.01 ± 0.08 | |
| Stemold | 1.93 ± 0.08 | 2.12 ± 0.01 | 4.00 ± 0.06 | 2.85 ± 0.07 | 3.55 ± 0.05 | 3.12 ± 0.04 | |
| Leafold | 2.39 ± 0.07 | 2.61 ± 0.01 | 4.16 ± 0.02 | 3.17 ± 0.06 | 3.76 ± 0.02 | 3.48 ± 0.01 | |
| 60 days after transplanting | Rootnew | 1.93 ± 0.14 | 2.44 ± 0.05 | 3.01 ± 0.10 | 0.85 ± 0.07 | 1.16 ± 0.06 | 1.48 ± 0.09 |
| Stemnew | 2.03 ± 0.11 | 2.67 ± 0.04 | 3.19 ± 0.10 | 0.76 ± 0.01 | 1.02 ± 0.02 | 1.35 ± 0.08 | |
| Leafnew | 2.05 ± 0.09 | 2.65 ± 0.06 | 3.27 ± 0.11 | 0.73 ± 0.01 | 0.99 ± 0.02 | 1.28 ± 0.08 | |
| Rootold | 2.06 ± 0.11 | 2.49 ± 0.11 | 3.12 ± 0.17 | 1.21 ± 0.13 | 1.40 ± 0.03 | 1.56 ± 0.06 | |
| Stemold | 2.26 ± 0.09 | 2.62 ± 0.09 | 3.20 ± 0.26 | 0.98 ± 0.03 | 1.30 ± 0.04 | 1.63 ± 0.08 | |
| Leafold | 2.50 ± 0.11 | 2.96 ± 0.01 | 3.50 ± 0.11 | 1.00 ± 0.03 | 1.24 ± 0.03 | 1.62 ± 0.05 | |
| 180 days after transplanting | Rootnew | 0.62 ± 0.07 | 0.61 ± 0.05 | 0.62 ± 0.02 | 0.48 ± 0.01 | 0.66 ± 0.05 | 0.60 ± 0.07 |
| Stemnew | 0.60 ± 0.07 | 0.61 ± 0.05 | 0.77 ± 0.06 | 0.52 ± 0.01 | 0.65 ± 0.02 | 0.77 ± 0.07 | |
| Leafnew | 0.59 ± 0.11 | 0.61 ± 0.04 | 0.74 ± 0.05 | 0.50 ± 0.01 | 0.66 ± 0.02 | 0.75 ± 0.09 | |
| Rootold | 1.04 ± 0.09 | 1.20 ± 0.15 | 1.54 ± 0.15 | 0.65 ± 0.02 | 0.82 ± 0.02 | 0.98 ± 0.11 | |
| Stemold | 0.90 ± 0.09 | 1.14 ± 0.13 | 1.42 ± 0.19 | 0.58 ± 0.00 | 0.78 ± 0.06 | 1.04 ± 0.07 | |
| Leafold | 0.63 ± 0.07 | 0.74 ± 0.06 | 0.91 ± 0.07 | 0.52 ± 0.01 | 0.67 ± 0.03 | 0.85 ± 0.09 | |
References
- Hu, Y.L.; Hu, Y.; Zeng, D.H.; Tan, X.; Chang, S.X. Exponential fertilization and plant competition effects on the growth and N nutrition of trembling aspen and white spruce seedlings. Can. J. For. Res. 2015, 45, 78–86. [Google Scholar] [CrossRef]
- Pokharel, P.; Kwak, J.H.; Chang, S.X. Growth and nitrogen uptake of jack pine seedlings in response to exponential fertilization and weed control in reclaimed soil. Biol. Fert. Soils 2017, 53, 701–713. [Google Scholar] [CrossRef]
- Salifu, K.F.; Timmer, V.R. Nitrogen retranslocation response of young Picea mariana to nitrogen-15 supply. Soil Sci. Soc. Am. J. 2003, 67, 309–317. [Google Scholar] [CrossRef]
- Oliet, J.A.; Tejada, M.; Salifu, K.F.; Collazos, A.; Jacobs, D.F. Performance and nutrient dynamics of holm oak (Quercus ilex L.) seedlings in relation to nursery nutrient loading and post-transplant fertility. Eur. J. For. Res. 2009, 128, 253–263. [Google Scholar] [CrossRef]
- Salifu, K.F.; Jacobs, D.F.; Birge, Z.K. Nursery nitrogen loading improves field performance of bareroot oak seedlings planted on abandoned mine lands. Restor. Ecol. 2009, 17, 339–349. [Google Scholar] [CrossRef]
- Hong, Z.; Guo, J.; Zhang, N.; Yang, Z.J.; Liu, X.J.; Cui, Z.Y.; Xu, D.P. Polysaccharide, proline, and anti-oxidation enzyme activities of Thailand rosewood (Dalbergia cochinchinensis) seedlings exposed to exponential fertilization. J. For. Res. 2021, 1–13. [Google Scholar] [CrossRef]
- Xu, X.; Timmer, V.R. Growth and nitrogen nutrition of Chinese fir seedlings exposed to nutrient loading and fertilization. Plant Soil 1999, 216, 83–91. [Google Scholar] [CrossRef]
- Millard, P.; Grelet, G.-A. Nitrogen storage and remobilization by trees: Ecophysiological relevance in a changing world. Tree Physiol. 2010, 30, 1083–1095. [Google Scholar] [CrossRef] [PubMed]
- Wei, H.X.; Xu, C.Y.; Ma, L.Y.; Duan, J.; Jia, L.N.; Ren, J. Nitrogen retranslocation, allocation, and utilization in bare root Larix olgensis seedlings. J. For. Res. 2012, 23, 87–94. [Google Scholar] [CrossRef]
- Salifu, K.F.; Islam, M.A.; Jacobs, D.F. Retranslocation, plant, and soil recovery of Nitrogen-15 applied to bareroot black walnut seedlings. Commun. Soil Sci. Plan. 2009, 40, 1408–1417. [Google Scholar] [CrossRef]
- Jonsdottir, R.J.; Sigurdsson, B.D.; Lindström, A. Effects of nutrient loading and fertilization at planting on growth and nutrient status of Lutz spruce (Picea x lutzii) seedlings during the first growing season in Iceland. Scan. J. For. Res. 2013, 28, 631–641. [Google Scholar] [CrossRef]
- Saur, E.; Nambiar, E.; Fife, D.N. Foliar nutrient retranslocation in Eucalyptus globulus. Tree Physiol. 2000, 20, 1105–1112. [Google Scholar] [CrossRef] [PubMed]
- Villar-Salvador, P.; Uscola, M.; Jacobs, D.F. The role of stored carbohydrates and nitrogen in the growth and stress tolerance of planted forest trees. New For. 2015, 46, 813–839. [Google Scholar] [CrossRef]
- Chen, L.; Wang, C.S.; Dell, B.; Zhao, Z.G.; Guo, J.J.; Xu, D.P.; Zeng, J. Growth and nutrient dynamics of Betula alnoides seedlings under exponential fertilization. J. For. Res. 2018, 29, 111–119. [Google Scholar] [CrossRef]
- Wang, C.; Zhao, Z.; Zeng, J.; Guo, J.; Sha, E.; Guo, W.; Zeng, J.; Zheng, H. Relationship between planting density and tree growth process of Betula alnoides mid-young plantations in Pingxiang, Guangxi. For. Res. 2013, 26, 257–262. (In Chinese) [Google Scholar]
- Tang, C.; Wang, C.S.; Pang, S.J.; Wang, H.; Zeng, J. Assessing soil nutrient status and its relationship with site productivity of Betula alnoides plantations in Daqingshan Mountains, Guangxi. For. Res. 2018, 31, 164–169. (In Chinese) [Google Scholar]
- Wang, H.; Zeng, J.X.; Luo, B.G.; Guo, J.J.; Wang, C.S.; Zhao, Z.G.; Zeng, J. Multiple-trait combined selection of superior Betula alnoides clones in eastern Guangdong. J. Cent. South Univ. For. Technol. 2017, 37, 72–75, 84. (In Chinese) [Google Scholar]
- Chen, H.H.; Cai, D.X.; Jia, H.H.; Wang, X.N.; Guo, W.F.; Liu, Z.L.; Nong, S.X.; Meng, C.L.; Ma, Y. Technical Regulation for Betula alnoides Clones Propagation via Tissue Culture. LY/T 2620-2016; Chinese Academy of Forestry: Beijing, China, 2016; pp. 2–3. (In Chinese) [Google Scholar]
- Birge, Z.K.D.; Salifu, F.; Jacobs, D.F. Modified exponential nitrogen loading to promote morphological quality and nutrient storage of bareroot-cultured Quercus rubra and Quercus alba seedlings. Scan. J. For. Res. 2006, 21, 306–316. [Google Scholar] [CrossRef]
- Pokharel, P.; Chang, S.X. Exponential fertilization promotes seedling growth by increasing nitrogen retranslocation in trembling aspen planted for oil sands reclamation. For. Ecol. Manag. 2016, 372, 35–43. [Google Scholar] [CrossRef]
- Luoranen, J.; Rikala, R. Nutrient loading of Norway spruce seedlings hastens bud burst and enhances root growth after outplanting. Silva Fenn. 2011, 45, 319–329. [Google Scholar] [CrossRef]
- Everett, K.T.; Hawkins, B.J.; Kiiskila, S. Growth and nutrient dynamics of Douglas-fir seedlings raised with exponential or conventional fertilization and planted with or without fertilizer. Can. J. For. Res. 2007, 37, 2552–2562. [Google Scholar] [CrossRef]
- Way, D.A.; Seegobin, S.D.; Sage, R.F. The effect of carbon and nutrient loading during nursery culture on the growth of black spruce seedlings: A six-year field study. New For. 2007, 34, 307–312. [Google Scholar] [CrossRef]
- Heiskanen, J.; Lahti, M.; Luoranen, J.; Rikala, R. Nutrient loading has a transitory effect on the nitrogen status and growth of outplanted Norway spruce seedlings. Silva Fenn. 2009, 43, 249–260. [Google Scholar] [CrossRef]
- Close, D.C.; Bail, I.; Hunter, S.; Beadle, C.L. Effects of exponential nutrient-loading on morphological and nitrogen characteristics and on after-planting performance of Eucalyptus globulus seedlings. For. Ecol. Manag. 2005, 205, 397–403. [Google Scholar] [CrossRef]
- Hawkins, B.J.; Burgess, D.; Mitchell, A.K. Growth and nutrient dynamics of western hemlock with conventional or exponential greenhouse fertilization and planting in different fertility conditions. Can. J. For. Res. 2005, 35, 1002–1016. [Google Scholar] [CrossRef]
- Salifu, K.F.; Timmer, V.R. Nutrient retranslocation response of seedlings to nitrogen supply. Soil Sci. Soc. Am. J. 2001, 65, 905–913. [Google Scholar] [CrossRef]
- Salifu, K.F.; Apostol, K.G.; Jacobs, D.F.; Islam, M.A. Growth, physiology, and nutrient retranslocation in 15N fertilized Quercus rubra seedlings. Ann. For. Sci. 2008, 65, 101. [Google Scholar] [CrossRef][Green Version]




| Treatment | 1st Week | 2nd Week | 3rd Week | 4th Week | 5th Week | 6th Week | 7th Week | 8th Week |
|---|---|---|---|---|---|---|---|---|
| N100 | 0.18 | 0.28 | 0.42 | 0.65 | 0.99 | 1.51 | 2.32 | 3.55 |
| N200 | 0.21 | 0.34 | 0.55 | 0.89 | 1.45 | 2.35 | 3.81 | 6.18 |
| N400 | 0.24 | 0.42 | 0.72 | 1.23 | 2.11 | 3.62 | 6.22 | 10.69 |
| Treatment | 9th Week | 10th Week | 11th Week | 12th Week | 13th Week | 14th Week | 15th Week | 16th Week |
| N100 | 5.43 | 8.31 | 12.73 | 12.73 | 12.73 | 12.73 | 12.73 | 12.73 |
| N200 | 10.02 | 16.24 | 26.33 | 26.33 | 26.33 | 26.33 | 26.33 | 26.33 |
| N400 | 18.36 | 31.53 | 54.14 | 54.14 | 54.14 | 54.14 | 54.14 | 54.14 |
| Week of Fertilization | Type of Fertilizer Applied | Dose of Fertilizer Applied |
|---|---|---|
| 1–10th week | All plants received a water-soluble nutrient solution (Plant Products 20:20:20 (N:P2O5:K2O) plus micro-nutrients, Co. Ltd., Brampton, Ontario, Canada). | The weekly amount of fertilizer applied per plant was calculated according to the weekly nitrogen applied amount (Table 1) and nitrogen proportion (20%) of the fertilizer. The concentration of fertilizer ranged from 0.01% to 0.25% as the plants grew. |
| 11–16th week | Half of the plants (540 plants) were supplied with a solution of 0.50% 15N-urea (atom 5.17%, Shanghai Stable Isotope Engineering Technology Research Center) and 0.44% KH2PO4 (52% P2O5). The remaining unlabeled plants (540 plants) were given the same amount and concentration of normal urea and KH2PO4 as the labeled plants. | The weekly amounts of 15N-urea and urea applied per plant were calculated according to the amount of nitrogen applied weekly (Table 1) and the nitrogen proportion (46.4%) of the fertilizer. The weekly potassium dihydrogen phosphate applied per plant was calculated based on the amount of nitrogen applied weekly (Table 1), N:P2O5 ratio (20:20), and P2O5 proportion (52%) of the fertilizer. |
| Source | Height | RCD | Root Length | Root Area | Dry Mass | Nitrogen Concentration | 15N Retranslocated | |||||||
|---|---|---|---|---|---|---|---|---|---|---|---|---|---|---|
| Root | Stem | Leaf | Plant | Root | Stem | Leaf | New Root | New Stem | New Leaf | |||||
| Nursery culture phase | ||||||||||||||
| N | <0.001 | <0.001 | 0.002 | 0.020 | 0.023 | 0.054 | <0.001 | 0.001 | <0.001 | <0.001 | <0.001 | - | - | - |
| Transplanting phase | ||||||||||||||
| 30 days | ||||||||||||||
| N | <0.001 | <0.001 | <0.001 | <0.001 | <0.001 | 0.001 | <0.001 | <0.001 | <0.001 | 0.010 | <0.001 | <0.001 | <0.001 | <0.001 |
| F | 0.170 | 0.498 | 0.338 | 0.985 | 0.133 | 0.911 | 0.891 | 0.773 | 0.050 | 0.030 | 0.058 | 0.024 | 0.013 | 0.027 |
| N × F | 0.218 | 0.774 | 0.523 | 0.498 | 0.004 | 0.765 | 0.499 | 0.361 | <0.001 | <0.001 | <0.001 | <0.001 | <0.001 | <0.001 |
| 60 days | ||||||||||||||
| N | <0.001 | <0.001 | <0.001 | <0.001 | 0.070 | <0.001 | 0.249 | 0.003 | <0.001 | 0.185 | <0.001 | <0.001 | <0.001 | <0.001 |
| F | <0.001 | <0.001 | 0.003 | 0.124 | 0.815 | 0.017 | 0.016 | 0.031 | <0.001 | 0.007 | 0.002 | 0.002 | 0.002 | 0.002 |
| N × F | 0.039 | 0.138 | 0.011 | 0.012 | 0.273 | 0.460 | 0.672 | 0.927 | 0.541 | 0.009 | <0.001 | 0.043 | 0.009 | 0.006 |
| 180 days | ||||||||||||||
| N | 0.001 | 0.004 | <0.001 | <0.001 | 0.449 | 0.161 | 0.474 | 0.219 | 0.051 | 0.530 | 0.244 | 0.376 | 0.005 | 0.005 |
| F | <0.001 | <0.001 | 0.042 | 0.077 | 0.010 | 0.013 | 0.044 | 0.015 | 0.500 | 0.632 | 0.142 | 0.819 | 0.756 | 0.554 |
| N × F | 0.093 | 0.193 | <0.001 | 0.012 | 0.490 | 0.141 | 0.796 | 0.256 | 0.978 | 0.888 | 0.422 | 0.436 | 0.584 | 0.480 |
| Treatment | F0 | F10 | F0 | F10 | F0 | F10 |
|---|---|---|---|---|---|---|
| 30d root dry mass (g·plant−1) | 60d root length (cm·plant−1) | 60d root area (cm2·plant−1) | ||||
| N100 | 0.43 ± 0.00 b | 0.55 ± 0.03 b | 2147 ± 92 b | 2043 ± 72 b | 427 ± 19 b | 471 ± 19 b |
| N200 | 0.55 ± 0.05 a | 0.74 ± 0.02 a | 2689 ± 114 a | 3339 ± 175 a | 692 ± 43 a | 802 ± 50 a |
| N400 | 0.42 ± 0.01 b | 0.33 ± 0.04 c | 2562 ± 145 a | 3475 ± 139 a | 617 ± 46 a | 896 ± 48 a |
| 60d height (cm) | 180d root length (cm·plant−1) | 180d root area (cm2·plant−1) | ||||
| N100 | 34.7 ± 0.7 b | 46.6 ± 0.9 b | 2437 ± 97 b | 2502 ± 193 b | 516 ± 31 | 662 ± 63 b |
| N200 | 38.6 ± 0.7 a | 54.8 ± 1.2 a | 2999 ± 120 a | 4079 ± 181 a | 664 ± 55 | 1198 ± 126 a |
| N400 | 35.8 ± 1.1 b | 47.5 ± 1.7 b | 2654 ± 165 ab | 4007 ± 131 a | 620 ± 44 | 982 ± 54 a |
| 30d root N concentration (mg·g−1) | 30d stem N concentration (mg·g−1) | 30d leaf N concentration (mg·g−1) | ||||
| N100 | 17.74 ± 0.37 | 12.79 ± 0.46 c | 15.35 ± 0.35 | 8.97 ± 0.47 c | 27.30 ± 0.15 a | 18.80 ± 0.29 b |
| N200 | 16.07 ± 0.44 | 15.74 ± 0.37 b | 14.38 ± 0.66 | 12.36 ± 0.45 b | 24.34 ± 0.12 b | 21.20 ± 0.16 b |
| N400 | 17.77 ± 0.78 | 17.67 ± 0.20 a | 13.45 ± 0.51 | 15.82 ± 0.77 a | 24.40 ± 0.33 b | 28.86 ± 1.40 a |
| 60d root N concentration (mg·g−1) | 60d stem N concentration (mg·g−1) | 60d leaf N concentration (mg·g−1) | ||||
| N100 | - | - | 5.92 ± 0.30 b | 12.21 ± 0.20 | 9.14 ± 0.22 c | 21.90 ± 0.32 b |
| N200 | - | - | 6.80 ± 0.21 b | 11.46 ± 0.30 | 11.08 ± 0.35 b | 24.04 ± 0.34 a |
| N400 | - | - | 8.04 ± 0.40 a | 11.38 ± 0.73 | 15.37 ± 0.57 a | 22.98 ± 0.64 ab |
| 30d 15N retranslocted into new roots (%) | 30d 15N retranslocted into new stems (%) | 30d 15N retranslocted into new leaves (%) | ||||
| N100 | 34 ± 4 b | 61 ± 2 b | 34 ± 4 b | 73 ± 4 b | 30 ± 3 b | 72 ± 4 c |
| N200 | 49 ± 6 b | 99 ± 3 a | 47 ± 0 b | 103 ± 3 a | 39 ± 1 b | 104 ± 3 a |
| N400 | 131 ± 5 a | 95 ± 5 a | 139 ± 6 a | 95 ± 4 a | 134 ± 5 a | 90 ± 3 b |
| 60d 15N retranslocted into new roots (%) | 60d 15N retranslocted into new stems (%) | 60d 15N retranslocted into new leaves (%) | ||||
| N100 | 49 ± 5 c | 13 ± 2 c | 52 ± 4 c | 10 ± 0 c | 53 ± 4 c | 9 ± 0 c |
| N200 | 68 ± 4 b | 24 ± 3 b | 76 ± 4 b | 19 ± 1 b | 75 ± 5 b | 18 ± 1 b |
| N400 | 100 ± 6 a | 40 ± 2 a | 107 ± 5 a | 35 ± 2 a | 110 ± 6 a | 32 ± 2 a |
Publisher’s Note: MDPI stays neutral with regard to jurisdictional claims in published maps and institutional affiliations. |
© 2021 by the authors. Licensee MDPI, Basel, Switzerland. This article is an open access article distributed under the terms and conditions of the Creative Commons Attribution (CC BY) license (https://creativecommons.org/licenses/by/4.0/).
Share and Cite
Chen, L.; Ma, Y.; Li, H.; Zeng, J.; Dell, B.; Li, Z. Growth and Nitrogen Retranslocation of Nutrient-Loaded Clonal Betulaalnoides Transplanted with or without Fertilization. Forests 2021, 12, 1603. https://doi.org/10.3390/f12111603
Chen L, Ma Y, Li H, Zeng J, Dell B, Li Z. Growth and Nitrogen Retranslocation of Nutrient-Loaded Clonal Betulaalnoides Transplanted with or without Fertilization. Forests. 2021; 12(11):1603. https://doi.org/10.3390/f12111603
Chicago/Turabian StyleChen, Lin, Yue Ma, Hua Li, Ji Zeng, Bernard Dell, and Zhaoying Li. 2021. "Growth and Nitrogen Retranslocation of Nutrient-Loaded Clonal Betulaalnoides Transplanted with or without Fertilization" Forests 12, no. 11: 1603. https://doi.org/10.3390/f12111603
APA StyleChen, L., Ma, Y., Li, H., Zeng, J., Dell, B., & Li, Z. (2021). Growth and Nitrogen Retranslocation of Nutrient-Loaded Clonal Betulaalnoides Transplanted with or without Fertilization. Forests, 12(11), 1603. https://doi.org/10.3390/f12111603

