Effects of Intercropping on Fractal Dimension and Physicochemical Properties of Soil in Karst Areas
Abstract
:1. Introduction
2. Materials and Methods
2.1. Overview of the Location of the Study Area
2.2. Experimental Design
2.3. Sample Analysis and Determination Method
2.3.1. Analysis of Soil Physical and Chemical Properties
2.3.2. Analysis of Soil Particles and Fractal Dimension
2.4. Statistics and Analysis
3. Results
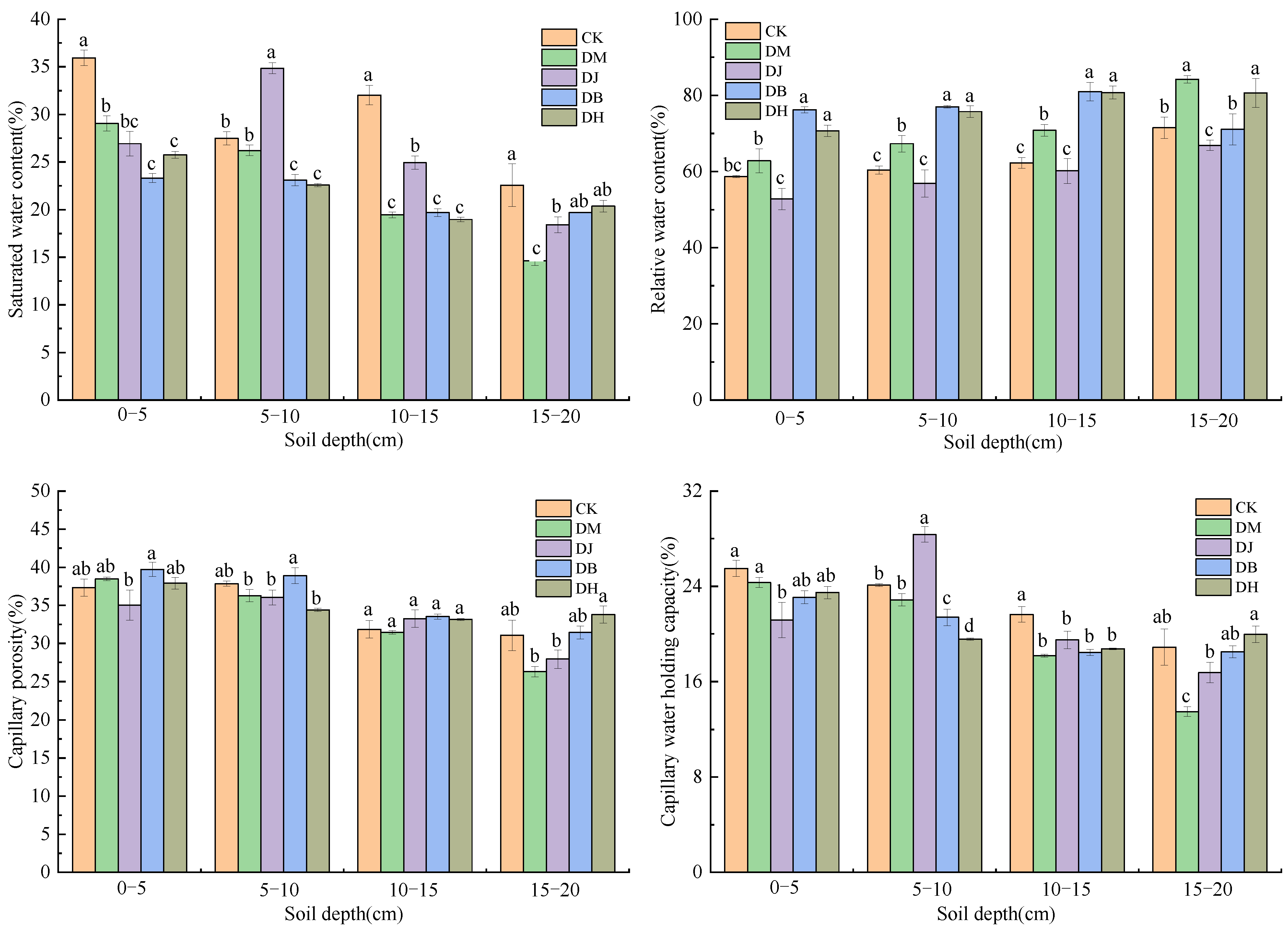
3.1. The Change of Physical Properties of Soil by Intercropping
3.2. Study on the Change of Soil Carbon and Nitrogen by Intercropping
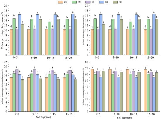
3.3. Changes in Soil Particle Composition by Intercropping
3.4. The Change of Soil Fractal Dimension by Intercropping
3.5. Changes in Soil Properties by Intercropping
3.5.1. Correlation Variation of Particle Size and Fractal Dimension
3.5.2. Correlation Changes between Soil Physical and Chemical Properties and Fractal Dimension
3.5.3. Changes in Principal Component Analysis of Soil Indicators under Intercropping
4. Discussion
4.1. The Changes of Soil Particle Size and Fractal Dimension
4.2. Study on the Changes of Planting Pattern on the Characteristics of Soil Physicochemical Properties
5. Conclusions
Author Contributions
Funding
Institutional Review Board Statement
Informed Consent Statement
Data Availability Statement
Conflicts of Interest
References
- Xiong, K.; Chen, Q. Discussion on karst rocky desert evolution trend based on ecologically comprehensive treatment. Caisol. Sin. 2010, 29, 50–56. [Google Scholar]
- Jiang, Z.; Lian, Y.; Qin, X. Rocky desertification in Southwest China: Impacts, causes, and restoration. Earth-Sci. Rev. 2014, 132, 1–12. [Google Scholar] [CrossRef]
- Xiong, K.N.; Li, J.; Long, M.Z. Features of Soil and Water Loss and Key Issues in Demonstration Areas for Combating Karst Rocky Desertification. Acta Geogr. Sin. 2012, 67, 878–888. [Google Scholar]
- Sheng, M.; Xiong, K.; Wang, L.; Li, X.; Li, R.; Tian, X. Response of soil physical and chemical properties to Rocky desertification succession in South China Karst. Carbonates Evaporites 2018, 33, 15–28. [Google Scholar] [CrossRef]
- Li, Y.-B.; Shao, J.-A.; Yang, H.; Bai, X.-Y. The relations between land use and karst rocky desertification in a typical karst area, China. Environ. Earth Sci. 2009, 57, 621–627. [Google Scholar] [CrossRef]
- Tom, G. Formation of mineral-mineral and organo-mineral composite building units from microaggregate-forming mate-rials including microbially produced extracellular polymeric substances. Eur. J. Soil Sci. 2019, 70, 604–615. [Google Scholar]
- Brooker, R.W.; Bennett, A.E.; Cong, W.-F.; Daniell, T.J.; George, T.S.; Hallett, P.; Hawes, C.; Iannetta, P.P.M.; Jones, H.G.; Karley, A.J.; et al. Improving intercropping: A synthesis of research in agronomy, plant physiology and ecology. New Phytol. 2014, 206, 107–117. [Google Scholar] [CrossRef] [PubMed]
- Yin, W.; Chai, Q.; Zhao, C.; Yu, A.; Fan, Z.; Hu, F.; Fan, H.; Guo, Y.; Coulter, J.A. Water utilization in intercropping: A review. Agric. Water Manag. 2020, 241, 106335. [Google Scholar] [CrossRef]
- Amundson, R.; Berhe, A.A.; Hopmans, J.W.; Olson, C.; Sztein, A.E.; Sparks, D.L. Soil and human security in the 21st century. Science 2015, 348, 1261071. [Google Scholar] [CrossRef] [Green Version]
- Bai, Z.; Caspari, T.; Gonzalez, M.R.; Batjes, N.H.; Mäder, P.; Bünemann, E.K.; de Goede, R.; Brussaard, L.; Xu, M.; Ferreira, C.S.S.; et al. Effects of agricultural management practices on soil quality: A review of long-term experiments for Europe and China. Agric. Ecosyst. Environ. 2018, 265, 1–7. [Google Scholar] [CrossRef]
- Chen, Q.; Lu, S.; Xiong, K.; Zhao, R. Coupling analysis on ecological environment fragility and poverty in South China Karst. Environ. Res. 2021, 201, 111650. [Google Scholar] [CrossRef]
- Sun, C.; Liu, G.; Xue, S. Natural succession of grassland on the Loess Plateau of China affects multifractal characteristics of soil particle-size distribution and soil nutrients. Ecol. Res. 2016, 31, 891–902. [Google Scholar] [CrossRef]
- Chen, T.-L.; Shi, Z.-L.; Wen, A.-B.; Yan, D.-C.; Guo, J.; Chen, J.-C.; Liu, Y.; Chen, R.-Y. Multifractal characteristics and spatial variability of soil particle-size distribution in different land use patterns in a small catchment of the Three Gorges Reservoir Region, China. J. Mt. Sci. 2021, 18, 111–125. [Google Scholar] [CrossRef]
- Li, K.; Yang, H.; Han, X.; Xue, L.; Lv, Y.; Li, J.; Fu, Z.; Li, C.; Shen, W.; Guo, H.; et al. Fractal features of soil particle size distributions and their potential as an indicator of Robinia pseudoacacia invasion1. Sci. Rep. 2018, 8, 1–13. [Google Scholar] [CrossRef]
- Qi, F.; Zhang, R.; Liu, X.; Niu, Y.; Zhang, H.; Li, H.; Li, J.; Wang, B.; Zhang, G. Soil particle size distribution characteristics of different land-use types in the Funiu mountainous region. Soil Tillage Res. 2018, 184, 45–51. [Google Scholar] [CrossRef]
- Zhao, W.-J.; Cui, Z.; Ma, H. Fractal features of soil particle-size distributions and their relationships with soil properties in gravel-mulched fields. Arab. J. Geosci. 2017, 10, 211. [Google Scholar] [CrossRef]
- He, C.; Zeng, C.; Xiao, S.Z. Preliminary Study on Hydrological and Hydrochemical Regime of a Typical Humid Subtropical Dolomite Catchment, A Case Study in the Huangzhou River Basin, Shibing County, Guizhou Province. Earth Environ. 2020, 48, 279–293. [Google Scholar]
- Liu, Q.; Gu, Z.F.; Lu, Y.R. The Experimental Study of Dolomite Dissolution and Pore Characteristics in Shibing, Guizhou. Acta Geosci. Sin. 2015, 26, 413–418. [Google Scholar]
- The effect of type, concentration and volume of dispersing agent on the magnitude of the clay content determined by the hydrometer analysis. J. S. Afr. Inst. Civ. Eng. 2016, 58, 48–54. [CrossRef] [Green Version]
- Tyler, S.W.; Wheatcraft, S.W. Application of Fractal Mathematics to Soil Water Retention Estimation. Soil Sci. Soc. Am. J. 1989, 53, 987–996. [Google Scholar] [CrossRef]
- Jia, X.H.; Li, X.R.; Zhang, J.G. Spatial heterogeneity analysis of fractal dimension of soil particle for Ammopiptanhus mongolicus shrub. Acta Ecol. Sin. 2006, 26, 2827–2833. [Google Scholar]
- Hu, Y.F.; Liu, J.Y.; Zhuang, D.F. Fractal Dimension of Soil Particle Size Distribution Under Different Land Use / Land Coverage. Acta Pedol. Sin. 2005, 42, 336. [Google Scholar]
- Xia, D.; Deng, Y.; Wang, S.; Ding, S.; Cai, C. Fractal features of soil particle-size distribution of different weathering profiles of the collapsing gullies in the hilly granitic region, south China. Nat. Hazards 2015, 79, 455–478. [Google Scholar] [CrossRef]
- Zhang, S.R.; Deng, L.J.; Zhou, Q. Fractal Dimensions of Particle Surface in The Plowed Layers and Their Relationships with Main Soil Properties. Acta Pedol. Sin. 2002, 39, 221–226. [Google Scholar]
- Wang, D.; Fu, B.J.; Chen, L.D. Fractal analysis on soil particle size distributions under different land-use types: A case study in the loess hilly areas of the Loess Plateau, China. Acta Ecol. Sin. 2007, 27, 3081–3089. [Google Scholar]
- Yuan, C.J.; Xiong, K.N.; Rong, L. Research Progress on the Biodiversity during the Ecological Restoration of Karst Rocky Desertification. Earth Environ. 2021, 49, 1–10. [Google Scholar]
- Ulusal, A.; Varol, E.A.; Bruckman, V.J.; Uzun, B.B. Opportunity for sustainable biomass valorization to produce biochar for improving soil characteristics. Biomass-Convers. Biorefinery 2021, 11, 1041–1051. [Google Scholar] [CrossRef]
- Somasundaram, J.; Salikram, M.; Sinha, N.K.; Mohanty, M.; Chaudhary, R.S.; Dalal, R.C.; Mitra, N.G.; Blaise, D.; Coumar, M.V.; Hati, K.M.; et al. Conservation agriculture effects on soil properties and crop productivity in a semiarid region of India. Soil Res. 2019, 57, 187. [Google Scholar] [CrossRef]
- Abid, M.; Lal, R. Tillage and drainage impact on soil quality: II. Tensile strength of aggregates, moisture retention and water infiltration. Soil Till Res. 2009, 103, 364–372. [Google Scholar] [CrossRef]
- Augé, R.; Stodola, A.J.; Tims, J.E.; Saxton, A. Moisture retention properties of a mycorrhizal soil. Plant Soil 2001, 230, 87–97. [Google Scholar] [CrossRef]
- Guber, A.; Pachepsky, Y.; Shein, E.; Rawls, W. Soil aggregates and water retention. Soil Organ. Matter 2004, 30, 143–151. [Google Scholar] [CrossRef]
- Zhang, J.H.; Li, G.D.; Nan, Z.R. Research on soil particle size distribution and its relationship with soil organic carbon under the effects of tillage in the Heihe oasis. Geogr. Res.-Aust. 2012, 31, 608–618. [Google Scholar]
- Zotarelli, L.; Alves, B.; Urquiaga, S.; Boddey, R.; Six, J. Impact of tillage and crop rotation on light fraction and intra-aggregate soil organic matter in two Oxisols. Soil Tillage Res. 2007, 95, 196–206. [Google Scholar] [CrossRef]
- Techen, A.-K.; Helming, K.; Brüggemann, N.; Veldkamp, E.; Reinhold-Hurek, B.; Lorenz, M.; Bartke, S.; Heinrich, U.; Amelung, W.; Augustin, K.; et al. Soil research challenges in response to emerging agricultural soil management practices. Adv. Agron. 2020, 161, 179–240. [Google Scholar] [CrossRef]
- Wang, K. Effects of plant roots on soil anti-erosion. Soil Environ. Sci. 2001, 10, 250–252. [Google Scholar]
- Cong, W.-F.; Hoffland, E.; Li, L.; Six, J.; Sun, J.-H.; Bao, X.-G.; Zhang, F.-S.; Van Der Werf, W. Intercropping enhances soil carbon and nitrogen. Glob. Chang. Biol. 2015, 21, 1715–1726. [Google Scholar] [CrossRef] [PubMed]
- Brady, N.C.; Weil, R.R. The Nature and Properties of Soils, 14th ed.; Pearson Education Inc.: London, UK, 2008. [Google Scholar]
- Yang, C.; Chai, Q.; Gb, H. Root distribution and yield responses of wheat/maize intercropping to alternate irrigation in the arid areas of northwest China. Plant Soil Environ. 2010, 56, 253–262. [Google Scholar] [CrossRef] [Green Version]
- Fu, X.P.; Wu, F.Z.; Wu, X. Advances in the mechanism of improving crop mineral nutrients in intercropping and relay intercropping systems. Plant Nutr. Fertil. Sci. 2016, 22, 525–535. [Google Scholar]
- Bruun, S.; Luxhoi, J.; Magid, J. A nitrogen mineralization model based on relationships for gross mineralization and immobilization. Soil Biol Biochem. 2006, 38, 2712–2721. [Google Scholar] [CrossRef]
- Yurova, A.; Wolf, A.; Sagerfors, J.; Nilsson, M. Variations in net ecosystem exchange of carbon dioxide in a boreal mire: Modeling mechanisms linked to water table position. J. Geophys. Res. Space Phys. 2007, 112, 245–252. [Google Scholar] [CrossRef]
- Scheible, W.R.; Gonzalezfontes, A.; Lauerer, M. Nitrate acts as a signal to induce organic acid metabolism and repress starch metabolism in tobacco. Plant Cell. 1997, 9, 783–798. [Google Scholar] [CrossRef] [PubMed]
- Liebig, M.A.; Hendrickson, J.R.; Berdahl, J.D. Response of soil carbon and nitrogen to transplanted alfalfa in North Dakot. Can. J. Soil Sci. 2010, 90, 523–526. [Google Scholar] [CrossRef]










| Treatment | Longitude | Latitude | Altitude/m | Exposition | Slope Position | Slope Inclination/° |
|---|---|---|---|---|---|---|
| Salvia miltiorrhiza (CK) | 108.0812° | 27.0543° | 717.08 m | Sunny slope | Upslope | 11 |
| Salvia miltiorrhiza—Lolium perenne (DM) | 108.0811° | 27.0540° | 716.88 m | Sunny slope | Upslope | 9 |
| Salvia miltiorrhiza—Medicago sativa (DJ) | 108.0822° | 27.0532° | 718.85 m | Sunny slope | Middle slope | 7 |
| Salvia miltiorrhiza—Sophora japonica (DB) | 108.0823° | 27.0535° | 719.89 m | Sunny slope | Upslope | 7 |
| Salvia miltiorrhiza—Lagerstroemia indica (DH) | 108.0824° | 27.0537° | 721.25 m | Sunny slope | Middle slope | 5 |
| Treatment | pH | Organic Matter Content (g/kg) | Available Nitrogen Content (mg/kg) | Available Phosphorus Content (mg/kg) |
|---|---|---|---|---|
| Salvia miltiorrhiza (CK) | 6.82 | 23.61 | 164.23 | 40.36 |
| Salvia miltiorrhiza—Lolium perenne (DM) | 6.88 | 26.24 | 182.37 | 39.64 |
| Salvia miltiorrhiza—Medicago sativa (DJ) | 7.11 | 24.49 | 161.13 | 41.83 |
| Salvia miltiorrhiza—Sophora japonica (DB) | 7.07 | 23.81 | 172.20 | 43.80 |
| Salvia miltiorrhiza—Lagerstroemia indica (DH) | 6.91 | 23.15 | 190.40 | 46.42 |
Publisher’s Note: MDPI stays neutral with regard to jurisdictional claims in published maps and institutional affiliations. |
© 2021 by the authors. Licensee MDPI, Basel, Switzerland. This article is an open access article distributed under the terms and conditions of the Creative Commons Attribution (CC BY) license (https://creativecommons.org/licenses/by/4.0/).
Share and Cite
Xu, Q.; Xiong, K.; Chi, Y. Effects of Intercropping on Fractal Dimension and Physicochemical Properties of Soil in Karst Areas. Forests 2021, 12, 1422. https://doi.org/10.3390/f12101422
Xu Q, Xiong K, Chi Y. Effects of Intercropping on Fractal Dimension and Physicochemical Properties of Soil in Karst Areas. Forests. 2021; 12(10):1422. https://doi.org/10.3390/f12101422
Chicago/Turabian StyleXu, Qinqin, Kangning Xiong, and Yongkuan Chi. 2021. "Effects of Intercropping on Fractal Dimension and Physicochemical Properties of Soil in Karst Areas" Forests 12, no. 10: 1422. https://doi.org/10.3390/f12101422
APA StyleXu, Q., Xiong, K., & Chi, Y. (2021). Effects of Intercropping on Fractal Dimension and Physicochemical Properties of Soil in Karst Areas. Forests, 12(10), 1422. https://doi.org/10.3390/f12101422
