Physiological and Psychological Effects of Nature Experiences in Different Forests on Young People
Abstract
:1. Introduction
2. Materials and Methods
2.1. Participants
2.2. Study Sites
2.3. Procedure
2.4. Measurements
2.5. Data Analysis
3. Results
3.1. Physiological Parameters
3.1.1. Results of Differences in Physiological Parameters
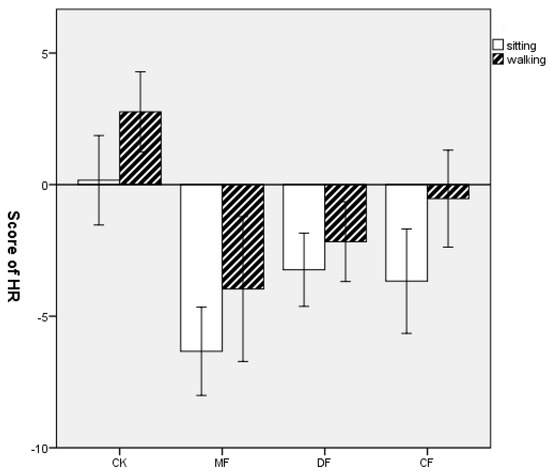
3.1.2. Results of Changes in SBP, DBP and HR
3.2. Psychological Parameters
3.2.1. Results of Differences in Psychological Parameters
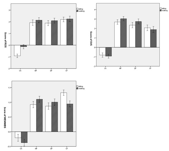
3.2.2. Results of Changes in ROS
3.2.3. Results of Changes in SVS
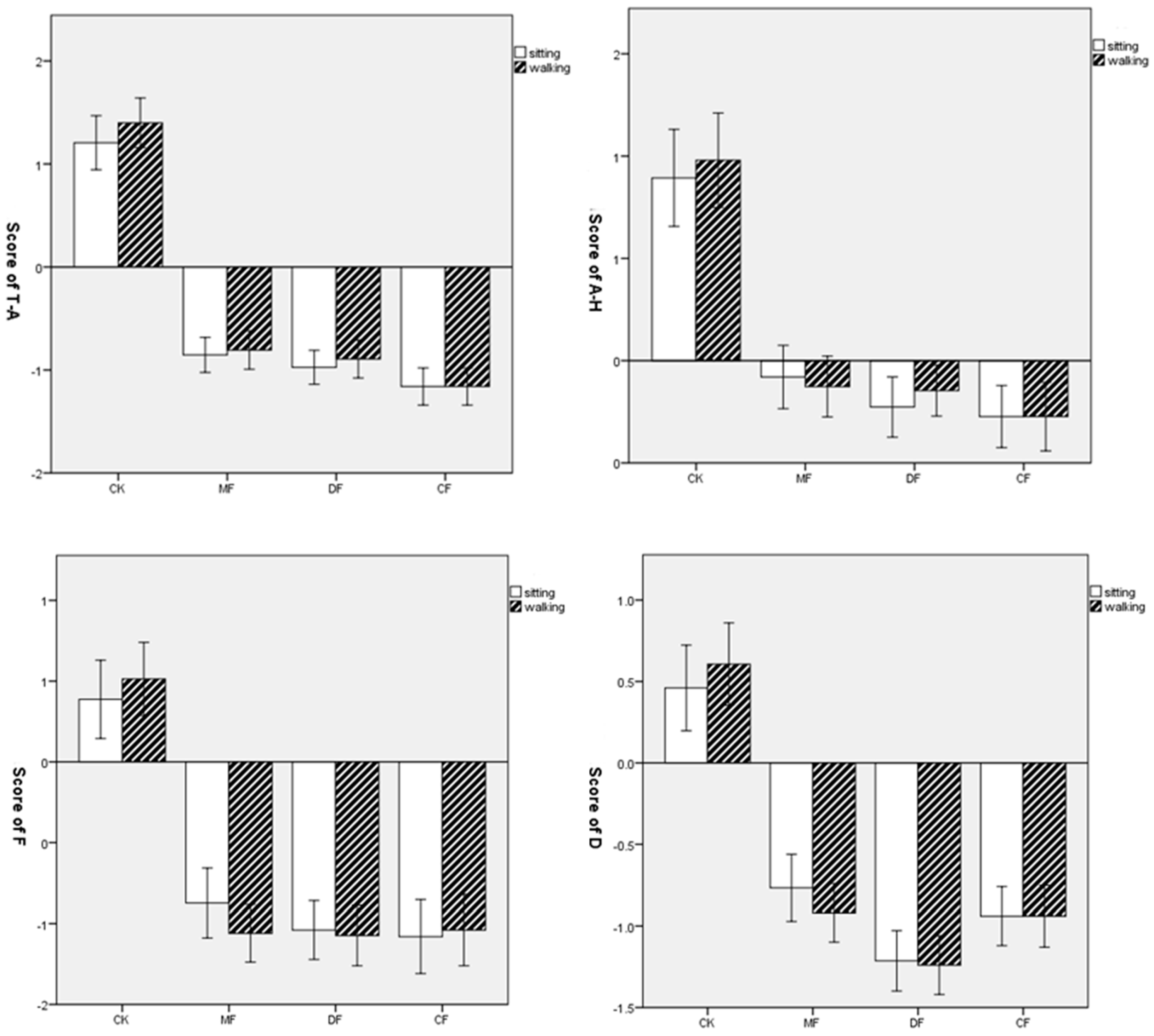
3.2.4. Results of Changes in WEMWBS
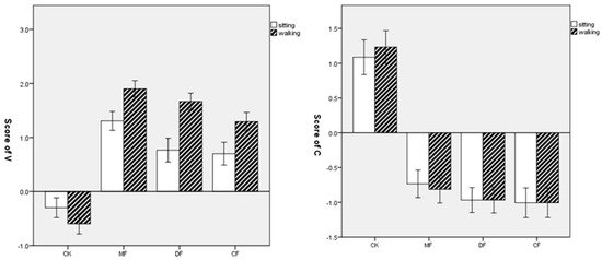
3.2.5. Results of Changes in POMS
4. Discussion
4.1. Restorative Effects of Three Different Forests
4.2. Restorative Effects of Two Different Experience Activities
5. Limitations
6. Conclusions
Author Contributions
Funding
Institutional Review Board Statement
Informed Consent Statement
Data Availability Statement
Acknowledgments
Conflicts of Interest
References
- Zhu, Y.-G.; Ioannidis, J.P.A.; Li, H.; Jones, K.C.; Martin, F.L. Understanding and Harnessing the Health Effects of Rapid Urbanization in China. Environ. Sci. Technol. 2011, 45, 5099–5104. [Google Scholar] [CrossRef]
- Cox, D.T.; Hudson, H.L.; Shanahan, D.F.; Fuller, R.; Gaston, K.J. The rarity of direct experiences of nature in an urban population. Landsc. Urban Plan. 2017, 160, 79–84. [Google Scholar] [CrossRef] [Green Version]
- Moore, M.; Gould, P.; Keary, B.S. Global urbanization and impact on health. Int. J. Hyg. Environ. Health 2003, 206, 269–278. [Google Scholar] [CrossRef] [PubMed]
- Dye, C. Health and Urban Living. Science 2008, 319, 766–769. [Google Scholar] [CrossRef] [PubMed]
- Maller, C.; Townsend, M.; Pryor, A.; Brown, P.; Leger, L.S. Healthy nature healthy people: ‘contact with nature’ as an upstream health promotion intervention for populations. Health Promot. Int. 2005, 21, 45–54. [Google Scholar] [CrossRef] [Green Version]
- Keniger, L.E.; Gaston, K.J.; Irvine, K.N.; Fuller, R.A. What are the Benefits of Interacting with Nature? Int. J. Environ. Res. Public Health 2013, 10, 913–935. [Google Scholar] [CrossRef] [Green Version]
- Tamosiunas, A.; Grazuleviciene, R.; Luksiene, D.; Dedele, A.; Reklaitiene, R.; Baceviciene, M.; Vencloviene, J.; Bernotiene, G.; Radisauskas, R.; Malinauskiene, V.; et al. Accessibility and use of urban green spaces, and cardiovascular health: Findings from a Kaunas cohort study. Environ. Health 2014, 13, 20. [Google Scholar] [CrossRef] [PubMed] [Green Version]
- Kabisch, N.; Püffel, C.; Masztalerz, O.; Hemmerling, J.; Kraemer, R. Physiological and psychological effects of visits to different urban green and street environments in older people: A field experiment in a dense inner-city area. Landsc. Urban Plan. 2020, 207, 103998. [Google Scholar] [CrossRef]
- Fan, Y.; Das, K.V.; Chen, Q. Neighborhood green, social support, physical activity, and stress: Assessing the cumulative impact. Health Place 2011, 17, 1202–1211. [Google Scholar] [CrossRef] [PubMed]
- Hartig, T.; Evans, G.W.; Jamner, L.D.; Davis, D.S.; Gärling, T. Tracking restoration in natural and urban field settings. J. Environ. Psychol. 2003, 23, 109–123. [Google Scholar] [CrossRef]
- Park, B.-J.; Furuya, K.; Kasetani, T.; Takayama, N.; Kagawa, T.; Miyazaki, Y. Relationship between psychological responses and physical environments in forest settings. Landsc. Urban Plan. 2011, 102, 24–32. [Google Scholar] [CrossRef]
- Tsunetsugu, Y.; Lee, J.; Park, B.-J.; Tyrväinen, L.; Kagawa, T.; Miyazaki, Y. Physiological and psychological effects of viewing urban forest landscapes assessed by multiple measurements. Landsc. Urban Plan. 2013, 113, 90–93. [Google Scholar] [CrossRef]
- Pasanen, T.P.; Ojala, A.; Tyrväinen, L.; Korpela, K.M. Restoration, well-being, and everyday physical activity in indoor, built outdoor and natural outdoor settings. J. Environ. Psychol. 2018, 59, 85–93. [Google Scholar] [CrossRef]
- Tyrväinen, L.; Ojala, A.; Korpela, K.; Lanki, T.; Tsunetsugu, Y.; Kagawa, T. The influence of urban green environments on stress relief measures: A field experiment. J. Environ. Psychol. 2014, 38, 1–9. [Google Scholar] [CrossRef]
- White, M.P.; Pahl, S.; Ashbullby, K.; Herbert, S.; Depledge, M.H. Feelings of restoration from recent nature visits. J. Environ. Psychol. 2013, 35, 40–51. [Google Scholar] [CrossRef]
- Ulrich, R.S.; Simons, R.F.; Losito, B.D.; Fiorito, E.; Miles, M.A.; Zelson, M. Stress recovery during exposure to natural and urban environments. J. Environ. Psychol. 1991, 11, 201–230. [Google Scholar] [CrossRef]
- Kaplan, S. The restorative benefits of nature: Toward an integrative framework. J. Environ. Psychol. 1995, 15, 169–182. [Google Scholar] [CrossRef]
- Prüss, Ü.A.; Neira, M. Preventing disease through healthy environments: A global assessment of the burden of disease from environmental risks. Rev. Epidemiol. Sante Publique 2016, 64, 375. [Google Scholar] [CrossRef]
- Tsunetsugu, Y.; Park, B.-J.; Miyazaki, Y. Trends in research related to “Shinrin-yoku” (taking in the forest atmosphere or forest bathing) in Japan. Environ. Health Prev. Med. 2009, 15, 27–37. [Google Scholar] [CrossRef] [Green Version]
- Ribe, R.G. The aesthetics of forestry: What has empirical preference research taught us? Environ. Manag. 1989, 13, 55–74. [Google Scholar] [CrossRef]
- Edwards, D.; Jay, M.; Jensen, F.S.; Lucas, B.; Marzano, M.; Montagné, C.; Peace, A.; Weiss, G. Public preferences for structural attributes of forests: Towards a pan-European perspective. For. Policy Econ. 2011, 19, 12–19. [Google Scholar] [CrossRef]
- Daniel, T.C.; Schroeder, H. Scenic beauty estimation model: Predicting perceived beauty of forest landscapes. In Proceedings of the Our National Landscape: A Conference on Applied Techniques for Analysis and Management of the Visual Resource, Berkeley, CA, USA, 23–25 April 1979; pp. 514–523. [Google Scholar]
- Chen, X.F.; Jia, L.M. Research on evaluation of in forest landscapes in West Beijing Mountain area. Sci. Silv. Sin. 2003, 39, 59–66. [Google Scholar] [CrossRef]
- Kellomäki, S.; Savolainen, R. The scenic value of the forest landscape as assessed in the field and the laboratory. Landsc. Plan. 1984, 11, 97–107. [Google Scholar] [CrossRef]
- Li, Q. What is Forest Medicine? In Forest Medicine; Nova Science Publishers: New York, NY, USA, 2013. [Google Scholar]
- Zhao, Q.; Qian, W.H.; Tang, H.H.; Yang, Q.; Yan, J. Differences of health care functions of six forest stands in Yunyong Forest Park, Guangdong. J. Zhejiang Univ. 2018, 35, 750–756. [Google Scholar] [CrossRef]
- Abe, T.; Hisama, M.; Tanimoto, S.; Shibayama, H.; Mihara, Y.; Nomura, M. Antioxidant Effects and Antimicrobial Activites of Phytoncide. Biocontrol. Sci. 2008, 13, 23–27. [Google Scholar] [CrossRef] [Green Version]
- Li, Q.; Morimoto, K.; Kobayashi, M.; Inagaki, H.; Katsumata, M.; Hirata, Y.; Hirata, K.; Suzuki, H.; Li, Y.; Wakayama, Y.; et al. Visiting a Forest, but Not a City, Increases Human Natural Killer Activity and Expression of Anti-Cancer Proteins. Int. J. Immunopathol. Pharmacol. 2008, 21, 117–127. [Google Scholar] [CrossRef] [PubMed]
- Yokouchi, Y.; Ambe, Y. Factors affecting the emission of monoterpenes from red pine (Pinus densiflora). Plant Physiol. 1984, 75, 1009–1012. [Google Scholar] [CrossRef] [PubMed] [Green Version]
- Oh, B.; Lee, K.J.; Zaslawski, C.; Yeung, A.; Rosenthal, D.; Larkey, L.; Back, M. Health and well-being benefits of spending time in forests: Systematic review. Environ. Health Prev. Med. 2017, 22, 1–11. [Google Scholar] [CrossRef]
- Twohig-Bennett, C.; Jones, A. The health benefits of the great outdoors: A systematic review and meta-analysis of greenspace exposure and health outcomes. Environ. Res. 2018, 166, 628–637. [Google Scholar] [CrossRef]
- Park, B.-J.; Tsunetsugu, Y.; Kasetani, T.; Hirano, H.; Kagawa, T.; Sato, M.; Miyazaki, Y. Physiological Effects of Shinrin-yoku (Taking in the Atmosphere of the Forest)—Using Salivary Cortisol and Cerebral Activity as Indicators. J. Physiol. Anthropol. 2007, 26, 123–128. [Google Scholar] [CrossRef] [PubMed] [Green Version]
- Horiuchi, M.; Endo, J.; Takayama, N.; Murase, K.; Nishiyama, N.; Saito, H.; Fujiwara, A. Impact of Viewing vs. Not Viewing a Real Forest on Physiological and Psychological Responses in the Same Setting. Int. J. Environ. Res. Public Health 2014, 11, 10883–10901. [Google Scholar] [CrossRef] [PubMed] [Green Version]
- Lanki, T.; Siponen, T.; Ojala, A.; Korpela, K.; Pennanen, A.; Tiittanen, P.; Tsunetsugu, Y.; Kagawa, T.; Tyrväinen, L. Acute effects of visits to urban green environments on cardiovascular physiology in women: A field experiment. Environ. Res. 2017, 159, 176–185. [Google Scholar] [CrossRef] [PubMed]
- Li, Q.; Otsuka, T.; Kobayashi, M.; Wakayama, Y.; Inagaki, H.; Katsumata, M.; Hirata, Y.; Li, Y.; Hirata, K.; Shimizu, T.; et al. Acute effects of walking in forest environments on cardiovascular and metabolic parameters. Graefe’s Arch. Clin. Exp. Ophthalmol. 2011, 111, 2845–2853. [Google Scholar] [CrossRef] [PubMed]
- Herzog, T.R.; Colleen; Maguire, P.; Nebel, M.B. Assessing the restorative components of environments. J. Environ. Psychol. 2003, 23, 159–170. [Google Scholar] [CrossRef]
- Marselle, M.R.; Irvine, K.N.; Lorenzo-Arribas, A.; Warber, S.L. Moving beyond Green: Exploring the Relationship of Environment Type and Indicators of Perceived Environmental Quality on Emotional Well-Being following Group Walks. Int. J. Environ. Res. Public Health 2014, 12, 106–130. [Google Scholar] [CrossRef]
- Grilli, G.; Sacchelli, S. Health Benefits Derived from Forest: A Review. Int. J. Environ. Res. Public Health 2020, 17, 6125. [Google Scholar] [CrossRef]
- Simkin, J.; Ojala, A.; Tyrväinen, L. Restorative effects of mature and young commercial forests, pristine old-growth forest and urban recreation forest—A field experiment. Urban For. Urban Green. 2020, 48. [Google Scholar] [CrossRef]
- Paletto, A.; de Meo, I.; Grilli, G.; Nikodinoska, N. Effects of different thinning systems on the economic value of ecosystem services: A case-study in a black pine peri-urban forest in Central Italy. Ann. For. Res. 2014, 60, 313–326. [Google Scholar] [CrossRef] [Green Version]
- Chiang, Y.-C.; Li, D.; Jane, H.-A. Wild or tended nature? The effects of landscape location and vegetation density on physiological and psychological responses. Landsc. Urban Plan. 2017, 167, 72–83. [Google Scholar] [CrossRef]
- Saito, H.; Horiuchi, M.; Takayama, N.; Fujiwara, A. Effects of managed forest versus unmanaged forest on physiological restoration from a stress stimulus, and the relationship with individual traits. J. For. Res. 2019, 24, 77–85. [Google Scholar] [CrossRef]
- Sacchelli, S.; Grilli, G.; Capecchi, I.; Bambi, L.; Barbierato, E.; Borghini, T. Neuroscience Application for the Analysis of Cultural Ecosystem Services Related to Stress Relief in Forest. Forests 2020, 11, 190. [Google Scholar] [CrossRef] [Green Version]
- Wang, R.; Zhao, J. Effects of evergreen trees on landscape preference and perceived restorativeness across seasons. Landsc. Res. 2020, 45, 649–661. [Google Scholar] [CrossRef]
- Bratman, G.N.; Anderson, C.B.; Berman, M.G.; Cochran, B.; Daily, G.C. Nature and mental health: An ecosystem service perspective. Sci. Adv. 2019, 5, eaax0903. [Google Scholar] [CrossRef] [PubMed] [Green Version]
- Nutsford, D.; Pearson, A.L.; Kingham, S.; Reitsma, F. Residential exposure to visible blue space (but not green space) associated with lower psychological distress in a capital city. Health Place 2016, 39, 70–78. [Google Scholar] [CrossRef] [PubMed]
- Conniff, A.; Craig, T. A methodological approach to understanding the wellbeing and restorative benefits associated with greenspace. Urban For. Urban Green. 2016, 19, 103–109. [Google Scholar] [CrossRef]
- Kahn, P.H.; Ruckert, J.H.; Severson, R.L.; Reichert, A.L.; Fowler, E. A Nature Language: An Agenda to Catalog, Save, and Recover Patterns of Human–Nature Interaction. Ecopsychology 2010, 2, 59–66. [Google Scholar] [CrossRef]
- Breckenkamp, J.; Blettner, M.; Laaser, U. Physical activity, cardiovascular morbidity and overall mortality: Results from a 14-year follow-up of the German Health Interview Survey. J. Public Health 2004, 12, 321–328. [Google Scholar] [CrossRef]
- Kobayashi, H.; Ikei, H.; Song, C.; Kagawa, T.; Miyazaki, Y. Comparing the impact of forest walking and forest viewing on psychological states. Urban For. Urban Green. 2020, 57, 126920. [Google Scholar] [CrossRef]
- Zeng, C.; Lyu, B.; Deng, S.; Yu, Y.; Li, N.; Lin, W.; Li, D.; Chen, Q. Benefits of a Three-Day Bamboo Forest Therapy Session on the Physiological Responses of University Students. Int. J. Environ. Res. Public Health 2020, 17, 3238. [Google Scholar] [CrossRef]
- Zhong, D.Y. Analysis of college students’ physical and mental sub-health. Educ. Vocat. 2012, 9, 101–102. [Google Scholar] [CrossRef]
- Regehr, C.; Glancy, D.; Pitts, A. Interventions to reduce stress in university students: A review and meta-analysis. J. Affect. Disord. 2013, 148, 1–11. [Google Scholar] [CrossRef] [PubMed]
- Zhu, B.L. Brief introduction of POMS sacle and its model for China. J. Tianjin Inst. Phys. Educ. 1995, 10, 35–37. [Google Scholar]
- Takayama, N.; Korpela, K.; Lee, J.; Morikawa, T.; Tsunetsugu, Y.; Park, B.-J.; Li, Q.; Tyrväinen, L.; Miyazaki, Y.; Kagawa, T. Emotional, Restorative and Vitalizing Effects of Forest and Urban Environments at Four Sites in Japan. Int. J. Environ. Res. Public Health 2014, 11, 7207–7230. [Google Scholar] [CrossRef] [Green Version]
- Ryan, R.M.; Frederick, C. On Energy, Personality, and Health: Subjective Vitality as a Dynamic Reflection of Well-Being. J. Pers. Med. 1997, 65, 529–565. [Google Scholar] [CrossRef]
- Tennant, R.; Hiller, L.; Fishwick, R.; Platt, S.; Joseph, S.; Weich, S.; Parkinson, J.; Secker, J.; Stewart-Brown, S. The Warwick-Edinburgh Mental Well-being Scale (WEMWBS): Development and UK validation. Health Qual. Life Outcomes 2007, 5, 63. [Google Scholar] [CrossRef] [PubMed] [Green Version]
- Zhao, B.H.; Guo, J.Q.; Zhang, X.; Pan, Y.L. Reliability, and validity of Warwick-Edinburgh Mental Well-being Scale (WEMWBS) in middle-school students. Chin. J. Clin. Psych. 2019, 27, 286–289. [Google Scholar] [CrossRef]
- Janeczko, E.; Bielinis, E.; Wójcik, R.; Woźnicka, M.; Kędziora, W.; Łukowski, A.; Elsadek, M.; Szyc, K.; Janeczko, K. When Urban Environment is Restorative: The Effect of Walking in Suburbs and Forests on Psychological and Physiological Relaxation of Young Polish Adults. Forests 2020, 11, 591. [Google Scholar] [CrossRef]
- Bielinis, E.; Łukowski, A.; Omelan, A.; Boiko, S.; Takayama, N.; Grebner, D.L. The Effect of Recreation in a Snow-Covered Forest Environment on the Psychological Wellbeing of Young Adults: Randomized Controlled Study. Forests 2019, 10, 827. [Google Scholar] [CrossRef] [Green Version]
- Ikei, H.; Song, C.; Igarashi, M.; Namekawa, T.; Miyazaki, Y. Physiological and psychological relaxing effects of visual stim-ulation with foliage plants in high school students. Adv. Hortc. Sci. 2014, 28, 111–116. [Google Scholar] [CrossRef]
- Park, B.J.; Tsunetsugu, Y.; Kasetani, T.; Kagawa, T.; Miyazaki, Y. The physiological effects of Shinrin-yoku (taking in the forest atmosphere or forest bathing): Evidence from field experiments in 24 forests across Japan. Environ. Health Prev. Med. 2009, 15, 18–26. [Google Scholar] [CrossRef] [PubMed] [Green Version]
- Lee, J.; Park, B.-J.; Tsunetsugu, Y.; Ohira, T.; Kagawa, T.; Miyazaki, Y. Effect of forest bathing on physiological and psychological responses in young Japanese male subjects. Public Health 2011, 125, 93–100. [Google Scholar] [CrossRef]
- Grilli, G.; Paletto, A.; de Meo, I. Economic valuation of forest recreation in an Alpine Valley. Balt. For. 2014, 20, 167–175. [Google Scholar]
- Paletto, A.; de Meo, I.; Cantiani, M.G.; Maino, F. Social Perceptions and Forest Management Strategies in an Italian Alpine Community. Mt. Res. Dev. 2013, 33, 152–160. [Google Scholar] [CrossRef]
- Pretty, J.; Peacock, J.; Sellens, M.; Griffin, M. The mental and physical health outcomes of green exercise. Int. J. Environ. Health Res. 2005, 15, 319–337. [Google Scholar] [CrossRef]
- Chen, X.F.; Jia, L.M.; Wang, Y. Landscape estimation and management technique principles of different seasonal scenic and recreational forests in West Mountain, Beijing. J. Beijing Univ. 2008, 30, 39–45. [Google Scholar]
- Stigsdotter, U.K.; Corazon, S.S.; Sidenius, U.; Refshauge, A.D.; Grahn, P. Forest design for mental health promotion—Using perceived sensory dimensions to elicit restorative responses. Landsc. Urban Plan. 2017, 160, 1–15. [Google Scholar] [CrossRef]
- Li, Q. Forest Medicine, 1st ed.; Science Press: Beijing, China, 2013; pp. 13–31. [Google Scholar]
- Mishima, R.; Kudo, T.; Tsunetsugu, Y.; Miyazaki, Y.; Yamamura, C.; Yamada, Y. Effects of sounds generated by a dental turbine and a stream on regional cerebral blood flow and cardiovascular responses. Odontology 2004, 92, 54–60. [Google Scholar] [CrossRef]
- Gold, D.R.; Litonjua, A.; Schwartz, J.; Lovett, E.; Verrier, R. Ambient Pollution and Heart Rate Variability. Circulation 2000, 101, 1267–1273. [Google Scholar] [CrossRef]
- Pope, C.A.; Hansen, M.L.; Long, R.W.; Nielsen, K.R.; Eatough, N.L.; E Wilson, W.; Eatough, D.J. Ambient particulate air pollution, heart rate variability, and blood markers of inflammation in a panel of elderly subjects. Environ. Health Perspect. 2004, 112, 339–345. [Google Scholar] [CrossRef]
- Barton, J.; Pretty, J. What is the Best Dose of Nature and Green Exercise for Improving Mental Health? A Multi-Study Analysis. Environ. Sci. Technol. 2010, 44, 3947–3955. [Google Scholar] [CrossRef]







| Forest Site | Mixed Forest | Deciduous Forest | Coniferous Forest |
|---|---|---|---|
| Dominant Tree Species | Pinus tabuliformis Quercus mongolica | Cotinus coggygria | Platycladus orientalis |
| Tree height (m) | 7 ± 1.22 | 5 ± 1.00 | 8 ± 0.81 |
| Diameter breast height (cm) | 22 ± 3.67 | 15 ± 3.35 | 16 ± 1.81 |
| Canopy closure (%) | 0.7 ± 0.03 | 0.55 ± 0.01 | 0.6 ± 0.05 |
| Visual penetration through stand (m) | 40 ± 1.47 | 25 ± 3.74 | 45 ± 1.23 |
| Stand density (tress ha −1) | 525 ± 11 | 664 ± 10 | 825 ± 8 |
| Parameter | CK | MF | DF | CF | |
|---|---|---|---|---|---|
| Temperature (°C) | Mean | 32.67 | 27.44 | 27.78 | 26.33 |
| SD | 3.00 | 1.33 | 1.99 | 1.50 | |
| Wind velocity (m/s) | Mean | 1.03 | 0.23 | 0.23 | 0.64 |
| SD | 1.17 | 0.18 | 0.17 | 0.46 | |
| Relative humidity (%) | Mean | 31.22 | 44.33 | 43.44 | 39.89 |
| SD | 3.70 | 1.94 | 2.35 | 2.42 | |
| Noise (dB) | Mean | 63.44 | 47.67 | 47.00 | 48.44 |
| SD | 4.04 | 5.41 | 4.15 | 5.46 | |
| Illumination (lx) | Mean | 9066.67 | 4944.44 | 3424.44 | 5994.44 |
| SD | 3103.63 | 1609.43 | 1897.31 | 2400.71 | |
| TSP (μg/cm3) | Mean | 120.78 | 31.56 | 35.67 | 39.11 |
| SD | 57.42 | 30.26 | 31.93 | 19.28 | |
| Aero-anion concentration (per unit/cm3) | Mean | 350.00 | 872.22 | 788.89 | 846.67 |
| SD | 102.10 | 147.38 | 136.15 | 166.51 |
| DF | SBP | DBP | HR | |
|---|---|---|---|---|
| Site | 3 | 37.97 ** | 5.15 ** | 19.53 ** |
| Time | 1 | 8.02 * | 6.34 * | 21.25 ** |
| Site × time | 3 | 12.25 ** | 3.87 * | 0.78 |
| City Site | Mixed Forest | Deciduous Forest | Coniferous Forest | ||||||
|---|---|---|---|---|---|---|---|---|---|
| Mean | SD | Mean | SD | Mean | SD | Mean | SD | ||
| SBP | Baseline (TO) | 113.30 | 4.71 | 117.10 | 4.44 | 114.33 | 6.48 | 116.07 | 5.35 |
| Sitting (T3) | 114.40 | 7.31 | 107.77 ** | 8.12 | 109.77 ** | 8.13 | 110.40 ** | 7.26 | |
| Walking (T6) | 117.87 ** | 6.78 | 106.43 ** | 7.70 | 107.67 ** | 6.34 | 117.07 | 5.41 | |
| DBP | Baseline (TO) | 66.70 | 4.24 | 70.77 | 5.12 | 68.63 | 5.50 | 71.30 | 4.69 |
| Sitting (T3) | 67.20 | 5.73 | 62.73 ** | 5.87 | 65.60 * | 6.32 | 66.70 ** | 6.15 | |
| Walking (T6) | 69.80 * | 5.88 | 66.67 ** | 7.06 | 64.93 ** | 5.17 | 66.50 ** | 5.59 | |
| HR | Baseline (TO) | 79.70 | 4.09 | 82.07 | 3.61 | 78.60 | 3.38 | 80.63 | 3.01 |
| Sitting (T3) | 79.87 | 4.22 | 75.73 ** | 4.40 | 75.37 ** | 4.00 | 76.97 * | 5.14 | |
| Walking (T6) | 82.47 * | 4.66 | 78.10 * | 6.54 | 76.43 * | 5.24 | 80.10 | 5.82 | |
| DF | ROS | SVS | WEMWBS | Subscales of POMS | ||||||
|---|---|---|---|---|---|---|---|---|---|---|
| T–A | A–H | F | D | V | C | |||||
| Site | 3 | 165.44 ** | 391.27 ** | 111.17 ** | 221.97 ** | 64.22 ** | 81.13 ** | 90.88 ** | 196.39 ** | 178.12 ** |
| Time | 1 | 18.25 ** | 2.40 | 1.19 | 2.16 | 0.51 | 0.06 | 0.03 | 52.25 ** | 0.13 |
| Site × time | 3 | 2.50 | 3.12 * | 3.96 * | 0.37 | 0.25 | 0.83 | 0.80 | 13.81 ** | 0.50 |
| City Site | Mixed Forest | Deciduous Forest | Coniferous Forest | ||||||
|---|---|---|---|---|---|---|---|---|---|
| Mean | SD | Mean | SD | Mean | SD | Mean | SD | ||
| ROS | Baseline (TO) | 2.03 | 0.75 | 2.21 | 0.78 | 2.15 | 0.76 | 1.79 | 0.81 |
| Sitting (T3) | 1.12 ** | 0.85 | 4.14 ** | 1.36 | 4.04 ** | 1.26 | 3.99 ** | 1.16 | |
| Walking (T6) | 1.90 | 0.92 | 4.35 ** | 1.26 | 4.25 ** | 1.16 | 4.03 ** | 1.37 | |
| SVS | Baseline (TO) | 1.83 | 1.03 | 1.74 | 0.88 | 1.80 | 0.95 | 1.97 | 0.91 |
| Sitting (T3) | 1.01 ** | 0.74 | 4.43 ** | 1.09 | 4.15 ** | 1.29 | 4.03 ** | 1.37 | |
| Walking (T6) | 0.89 ** | 0.70 | 4.78 ** | 1.03 | 4.54 ** | 1.11 | 3.85 ** | 1.48 | |
| WEMWBS | Baseline (TO) | 1.86 | 0.710 | 1.93 | 0.715 | 2.01 | 0.72 | 1.89 | 0.73 |
| Sitting (T3) | 1.65 * | 1.05 | 2.85 ** | 0.922 | 2.88 ** | 0.93 | 3.21 ** | 0.78 | |
| Walking (T6) | 1.48 ** | 1.01 | 3.04 ** | 0.84 | 3.02 ** | 0.90 | 2.83 ** | 0.91 | |
| City Site | Mixed Forest | Deciduous Forest | Coniferous Forest | ||||||
|---|---|---|---|---|---|---|---|---|---|
| Mean | SD | Mean | SD | Mean | SD | Mean | SD | ||
| T–A | Baseline (TO) | 1.31 | 0.83 | 1.42 | 0.81 | 1.50 | 0.76 | 1.70 | 0.83 |
| Sitting (T3) | 2.51 ** | 1.38 | 0.57 ** | 0.80 | 0.53 ** | 0.70 | 0.54 ** | 0.75 | |
| Walking (T6) | 2.71 ** | 1.25 | 0.61 ** | 0.84 | 0.61 ** | 0.76 | 0.54 ** | 0.68 | |
| A–H | Baseline (TO) | 0.65 | 0.85 | 0.67 | 0.80 | 0.73 | 0.71 | 0.08 | 0.83 |
| Sitting (T3) | 1.54 ** | 1.25 | 0.59 | 0.92 | 0.50 * | 0.78 | 0.55 ** | 0.86 | |
| Walking (T6) | 1.63 ** | 1.21 | 0.55 | 0.78 | 0.58 * | 0.73 | 0.55 * | 0.77 | |
| F | Baseline (TO) | 1.55 | 0.91 | 1.66 | 0.86 | 1.76 | 0.78 | 1.74 | 0.95 |
| Sitting (T3) | 1.94 * | 1.32 | 0.79 ** | 1.00 | 0.72 ** | 0.84 | 0.66 ** | 0.91 | |
| Walking (T6) | 2.07 ** | 1.27 | 0.60 ** | 0.77 | 0.69 ** | 0.82 | 0.70 ** | 0.96 | |
| D | Baseline (TO) | 1.35 | 0.89 | 1.47 | 0.83 | 1.79 | 0.83 | 1.48 | 0.83 |
| Sitting (T3) | 1.81 * | 1.28 | 0.70 ** | 0.92 | 0.58 ** | 0.74 | 0.54 ** | 0.78 | |
| Walking (T6) | 1.96 ** | 1.24 | 0.55 ** | 0.75 | 0.55 ** | 0.65 | 0.54 ** | 0.78 | |
| V | Baseline (TO) | 1.61 | 0.78 | 1.78 | 0.79 | 1.79 | 0.74 | 1.75 | 0.70 |
| Sitting (T3) | 1.31 * | 0.98 | 3.09 ** | 0.82 | 3.46 ** | 0.56 | 2.45 ** | 1.08 | |
| Walking (T6) | 1.01 ** | 0.87 | 3.68 ** | 0.47 | 2.56 ** | 1.10 | 3.05 ** | 0.87 | |
| C | Baseline (TO) | 1.29 | 1.03 | 1.46 | 0.95 | 1.63 | 0.83 | 1.65 | 1.02 |
| Sitting (T3) | 2.38 ** | 1.40 | 0.73 ** | 0.87 | 0.66 ** | 0.86 | 0.64 ** | 0.91 | |
| Walking (T6) | 2.53 ** | 1.31 | 0.65 ** | 0.85 | 0.66 ** | 0.90 | 0.64 ** | 0.78 | |
Publisher’s Note: MDPI stays neutral with regard to jurisdictional claims in published maps and institutional affiliations. |
© 2021 by the authors. Licensee MDPI, Basel, Switzerland. This article is an open access article distributed under the terms and conditions of the Creative Commons Attribution (CC BY) license (https://creativecommons.org/licenses/by/4.0/).
Share and Cite
Liu, Q.; Wang, X.; Liu, J.; An, C.; Liu, Y.; Fan, X.; Hu, Y. Physiological and Psychological Effects of Nature Experiences in Different Forests on Young People. Forests 2021, 12, 1391. https://doi.org/10.3390/f12101391
Liu Q, Wang X, Liu J, An C, Liu Y, Fan X, Hu Y. Physiological and Psychological Effects of Nature Experiences in Different Forests on Young People. Forests. 2021; 12(10):1391. https://doi.org/10.3390/f12101391
Chicago/Turabian StyleLiu, Qiaohui, Xiaoping Wang, Jinglan Liu, Congying An, Yuqi Liu, Xiaoli Fan, and Yishen Hu. 2021. "Physiological and Psychological Effects of Nature Experiences in Different Forests on Young People" Forests 12, no. 10: 1391. https://doi.org/10.3390/f12101391
APA StyleLiu, Q., Wang, X., Liu, J., An, C., Liu, Y., Fan, X., & Hu, Y. (2021). Physiological and Psychological Effects of Nature Experiences in Different Forests on Young People. Forests, 12(10), 1391. https://doi.org/10.3390/f12101391

