Traditional Villages in Forest Areas: Exploring the Spatiotemporal Dynamics of Land Use and Landscape Patterns in Enshi Prefecture, China
Abstract
1. Introduction
2. Materials and Methods
2.1. Study Area
2.2. Data Sources and Analysis
3. Results
3.1. Land Use and Cover Change in Enshi Prefecture
3.2. Landscape Metrics of the Buffer Zones of Traditional Villages
3.2.1. Percentage of Landscape around Villages
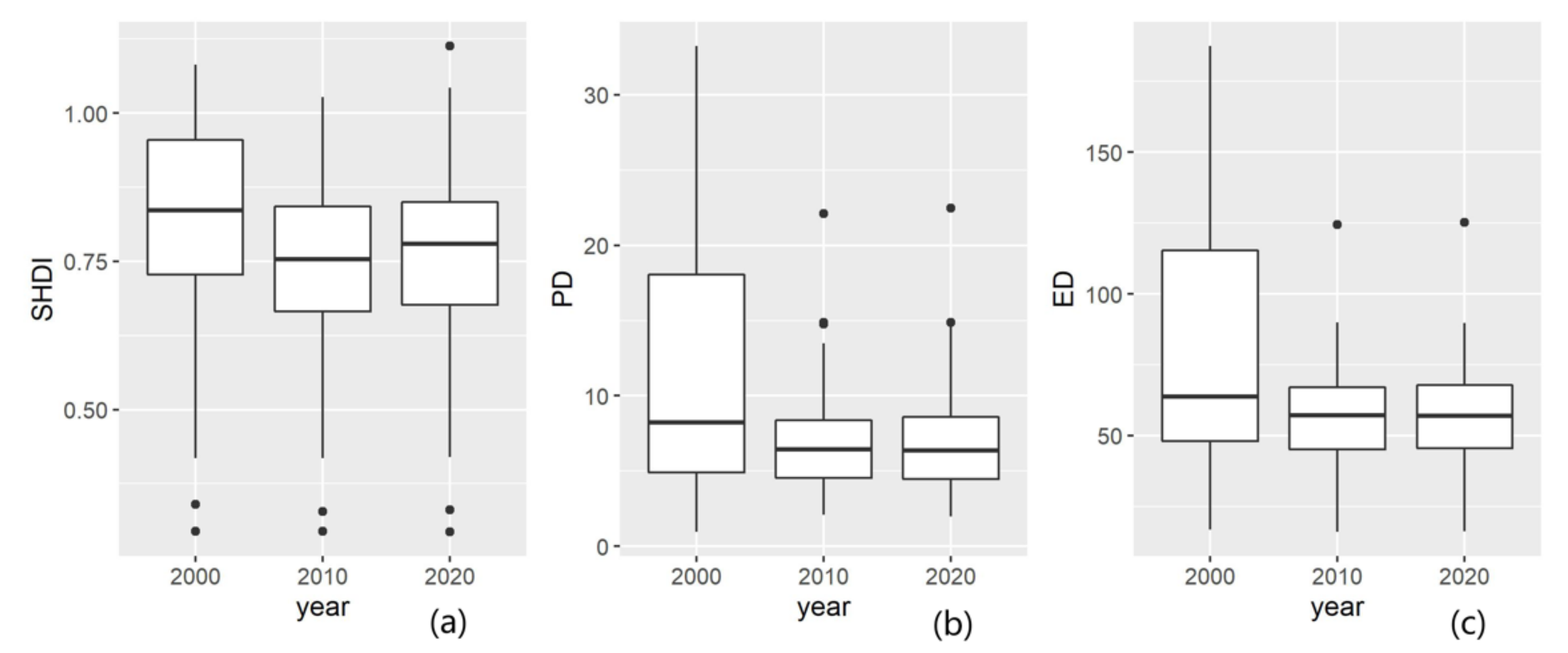
3.2.2. Results of Shannon’s Diversity Index, Patch Density, and Edge Density
3.2.3. The Relationship between Landscape Metrics and Territorial Variables
4. Discussion
5. Conclusions
Author Contributions
Funding
Institutional Review Board Statement
Informed Consent Statement
Data Availability Statement
Acknowledgments
Conflicts of Interest
References
- Li, Y.; Fan, P.; Liu, Y. What makes better village development in traditional agricultural areas of China? Evidence from long-term observation of typical villages. Habitat Int. 2019, 83, 111–124. [Google Scholar] [CrossRef]
- Liu, Y. Introduction to land use and rural sustainability in China. Land Use Policy 2018, 74, 1–4. [Google Scholar] [CrossRef]
- Ma, W.; Jiang, G.; Li, W.; Zhou, T. How do population decline, urban sprawl and industrial transformation impact land use change in rural residential areas? A comparative regional analysis at the peri-urban interface. J. Clean. Prod. 2018, 205, 76–85. [Google Scholar] [CrossRef]
- Liu, J.; Liu, Y.; Yan, M. Spatial and temporal change in urban-rural land use transformation at village scale—A case study of Xuanhua district, North China. J. Rural Stud. 2016, 47, 425–434. [Google Scholar] [CrossRef]
- Bai, C.; Chen, X. Review of the Traditional Villages Protection. Huazhong Archit. 2016, 34, 15–18. [Google Scholar] [CrossRef]
- Zhang, W.; Kato, E.; Bhandary, P.; Nkonya, E.; Ibrahim, H.I.; Agbonlahor, M.; Ibrahim, H.Y.; Cox, C. Awareness and perceptions of ecosystem services in relation to land use types: Evidence from rural communities in Nigeria. Ecosyst. Serv. 2016, 22, 150–160. [Google Scholar] [CrossRef]
- Islam, G.M.T.; Islam, A.K.M.S.; Shopan, A.A.; Rahman, M.M.; Lázár, A.N.; Mukhopadhyay, A. Implications of agricultural land use change to ecosystem services in the Ganges delta. J. Environ. Manag. 2015, 161, 443–452. [Google Scholar] [CrossRef]
- Metzger, M.J.; Rounsevell, M.D.A.; Acosta-Michlik, L.; Leemans, R.; Schröter, D. The vulnerability of ecosystem services to land use change. Agric. Ecosyst. Environ. 2006, 114, 69–85. [Google Scholar] [CrossRef]
- Power, A.G. Ecosystem services and agriculture: Tradeoffs and synergies. Philos. Trans. R. Soc. B Biol. Sci. 2010, 365, 2959–2971. [Google Scholar] [CrossRef]
- Gao, J.; Wu, B. Revitalizing traditional villages through rural tourism: A case study of Yuanjia Village, Shaanxi Province, China. Tour. Manag. 2017, 63, 223–233. [Google Scholar] [CrossRef]
- Cheng, S. The Spatial Distribution of National Traditional Villages and its Tourism Development Model in Hubei Province; Central China Normal University: Wuhan, China, 2019. [Google Scholar]
- Wu, W.; Liu, T.; Ma, Y.; Zhang, J. Spatial-temporal Pattern and its Influencing Factors of Traditional Villages in Enshi Prefecture. J. Hubei Minzu Univ. Nat. Sci. Ed. 2019, 37, 474–480. [Google Scholar]
- Qian, L.; Wang, J.; Duan, J. An Exploration on the Strategies to Ecologically Protect Qinghai Small Watersheds and Traditional Rural Settlements. Chin. Landsc. Archit. 2018, 34, 23–27. [Google Scholar]
- Chen, X.; Xie, W.; Li, H. The spatial evolution process, characteristics and driving factors of traditional villages from the perspective of the cultural ecosystem: A case study of Chengkan Village. Habitat Int. 2020, 104, 102250. [Google Scholar] [CrossRef]
- Li, G.; Hu, W. A network-based approach for landscape integration of traditional settlements: A case study in the Wuling Mountain area, southwestern China. Land Use Policy 2019, 83, 105–112. [Google Scholar] [CrossRef]
- Fu, J.; Huang, D. Research on the Traditional Villages Morphology Pattern of ZengCheng, GuangZhou City Based on the GIS Spatial Analysis. South Archit. 2016, 232, 80–85. [Google Scholar] [CrossRef]
- Tao, W.; Chen, H.; Lin, J. Spatial form and spatial cognition of traditional village in syntactical view: A case study of Xiaozhou Village, Guangzhou. Acta Geogr. Sin. 2013, 68, 209–218. [Google Scholar]
- Nowak, A.; Grunewald, K. Landscape sustainability in terms of landscape services in rural areas: Exemplified with a case study area in Poland. Ecol. Indic. 2018, 94, 12–22. [Google Scholar] [CrossRef]
- Liu, Y.; Yang, R.; Long, H.; Gao, J.; Wang, J. Implications of land-use change in rural China: A case study of Yucheng, Shandong province. Land Use Policy 2014, 40, 111–118. [Google Scholar] [CrossRef]
- Peng, J.; Liu, Y.; Li, T.; Wu, J. Regional ecosystem health response to rural land use change: A case study in Lijiang City, China. Ecol. Indic. 2017, 72, 399–410. [Google Scholar] [CrossRef]
- Liang, X.; Li, Y. Identification of spatial coupling between cultivated land functional transformation and settlements in Three Gorges Reservoir Area, China. Habitat Int. 2020, 104, 102236. [Google Scholar] [CrossRef]
- Wang, Y.; Dai, E.; Yin, L.; Ma, L. Land use/land cover change and the effects on ecosystem services in the Hengduan Mountain region, China. Ecosyst. Serv. 2018, 34, 55–67. [Google Scholar] [CrossRef]
- Statuto, D.; Cillis, G.; Picuno, P. Analysis of the effects of agricultural land use change on rural environment and landscape through historical cartography and GIS tools. J. Agric. Eng. 2016, 47, 28–39. [Google Scholar] [CrossRef]
- Ferrara, A.; Salvati, L.; Sateriano, A.; Carlucci, M.; Gitas, I.; Biasi, R. Unraveling the ‘stable’ landscape: A multi-factor analysis of unchanged agricultural and forest land (1987–2007) in a rapidly-expanding urban region. Urban Ecosyst. 2016, 19, 835–848. [Google Scholar] [CrossRef]
- Peng, J.; Wang, Y.; Zhang, Y.; Wu, J.; Li, W.; Li, Y. Evaluating the effectiveness of landscape metrics in quantifying spatial patterns. Ecol. Indic. 2010, 10, 217–223. [Google Scholar] [CrossRef]
- Frank, S.; Fürst, C.; Koschke, L.; Witt, A.; Makeschin, F. Assessment of landscape aesthetics—Validation of a landscape metrics-based assessment by visual estimation of the scenic beauty. Ecol. Indic. 2013, 32, 222–231. [Google Scholar] [CrossRef]
- Wan, L.; Zhang, Y.; Zhang, X.; Qi, S.; Na, X. Comparison of land use/land cover change and landscape patterns in Honghe National Nature Reserve and the surrounding Jiansanjiang Region, China. Ecol. Indic. 2015, 51, 205–214. [Google Scholar] [CrossRef]
- Ma, B.; Tian, G.; Kong, L.; Liu, X. How China’s linked urban–rural construction land policy impacts rural landscape patterns: A simulation study in Tianjin, China. Landsc. Ecol. 2018, 33, 1417–1434. [Google Scholar] [CrossRef]
- Mcgarigal, K. FRAGSTATS Help; University of Massachusetts: Amherst, MA, USA, 2015. [Google Scholar]
- Long, H.; Wu, X.; Wang, W.; Dong, G. Analysis of Urban-Rural Land-Use Change during 1995–2006 and its Policy Dimensional Driving Forces in Chongqing, China. Sensors 2008, 8, 681–699. [Google Scholar] [CrossRef]
- Duan, M.; Gao, Q.; Wan, Y.; Li, Y.; Guo, Y.; Ganzhu, Z.; Wu, Y. Assessing vulnerability and adaptation responses to rainfall-related landslides in China, a case study of Enshi Prefecture in Hubei Province. Procedia Environ. Sci. 2011, 11, 1379–1385. [Google Scholar] [CrossRef][Green Version]
- Li, H.; Niu, X.; Wang, B.; Zhao, Z. Coupled coordination of ecosystem services and landscape patterns: Take the Grain for Green Project in the Wuling Mountain Area as an example. Acta Ecol. Sin. 2020, 40, 4316–4326. [Google Scholar]
- Xiao, H.; Liu, Y.; Li, L.; Yu, Z.; Zhang, X. Spatial variability of local rural landscape change under rapid urbanization in Eastern China. ISPRS Int. J. Geo Inf. 2018, 7, 231. [Google Scholar] [CrossRef]
- Hubei Provincial People’s Government Notice on Issuing the 13th Five-Year Plan for the Development of the Ecological and Cultural Tourism Circle in Western Hubei. Available online: http://www.hubei.gov.cn/xxgk/ghjh/201709/t20170927_1758792.shtml (accessed on 23 November 2020).
- Jun, C.; Ban, Y.; Li, S. Open access to Earth land-cover map. Nature 2014, 514, 434. [Google Scholar] [CrossRef] [PubMed]
- Exavier, R.; Zeilhofer, P. OpenLand: Quantitative Analysis and Visualization of LUCC. Available online: https://cran.r-project.org/package=OpenLand (accessed on 10 November 2020).
- Hijmans, R.J. Terra: Spatial Data Analysis. Available online: https://cran.r-project.org/package=terra (accessed on 6 November 2020).
- Pebesma, E. Simple Features for R: Standardized Support for Spatial Vector Data. R J. 2018, 10, 439–446. [Google Scholar] [CrossRef]
- James, F.P. Using spatial metrics to predict scenic perception in a changing landscape: Dennis, Massachusetts. Landsc. Urban Plan. 2004, 69, 201–218. [Google Scholar] [CrossRef]
- Bosch, M.; Jaligot, R.; Chenal, J. Spatiotemporal patterns of urbanization in three Swiss urban agglomerations: Insights from landscape metrics, growth modes and fractal analysis. Landsc. Ecol. 2020, 35, 879–891. [Google Scholar] [CrossRef]
- Huang, J.; Tu, Z.; Lin, J. Land-use dynamics and landscape pattern change in a coastal gulf region, southeast China. Int. J. Sustain. Dev. World Ecol. 2009, 16, 61–66. [Google Scholar] [CrossRef]
- Statuto, D.; Cillis, G.; Picuno, P. GIS-based Analysis of Temporal Evolution of Rural Landscape: A Case Study in Southern Italy. Nat. Resour. Res. 2019, 28, 61–75. [Google Scholar] [CrossRef]
- Babí Almenar, J.; Bolowich, A.; Elliot, T.; Geneletti, D.; Sonnemann, G.; Rugani, B. Assessing habitat loss, fragmentation and ecological connectivity in Luxembourg to support spatial planning. Landsc. Urban Plan. 2019, 189, 335–351. [Google Scholar] [CrossRef]
- Li, C.; Li, J.; Wu, J. Quantifying the speed, growth modes, and landscape pattern changes of urbanization: A hierarchical patch dynamics approach. Landsc. Ecol. 2013, 28, 1875–1888. [Google Scholar] [CrossRef]
- Uuemaa, E.; Antrop, M.; Roosaare, J.; Marja, R.; Mander, Ü. Landscape metrics and indices: An overview of their use in landscape research. Living Rev. Landsc. Res. 2009, 3, 1–28. [Google Scholar] [CrossRef]
- Hesselbarth, M.H.K.; Sciaini, M.; With, K.A.; Wiegand, K.; Nowosad, J. Landscapemetrics: An open-source R tool to calculate landscape metrics. Ecography 2019, 42, 1648–1657. [Google Scholar] [CrossRef]
- Sakieh, Y.; Salmanmahiny, A. Performance assessment of geospatial simulation models of land-use change—A landscape metric-based approach. Environ. Monit. Assess. 2016, 188, 1–16. [Google Scholar] [CrossRef] [PubMed]
- Mansour, S.; Al-Belushi, M.; Al-Awadhi, T. Monitoring land use and land cover changes in the mountainous cities of Oman using GIS and CA-Markov modelling techniques. Land Use Policy 2020, 91, 104414. [Google Scholar] [CrossRef]
- Xie, W.; Jin, W.; Chen, K.; Wu, J.; Zhou, C. Land use transition and its influencing factors in poverty-stricken mountainous areas of Sangzhi County, China. Sustainability 2019, 11, 4195. [Google Scholar] [CrossRef]
- Tachikawa, T.; Kaku, M.; Iwasaki, A.; Gesch, D.B.; Oimoen, M.J.; Zhang, Z.; Danielson, J.J.; Krieger, T.; Curtis, B.; Haase, J. Aster Global Digital Elevation Model Version 2-Summary of Validation Results. Available online: https://pubs.er.usgs.gov/publication/70005960 (accessed on 10 November 2020).
- Wang, G.; Liu, G.; Tong, G.; Duan, M.; Qin, Q. Discussion on Model of Conversion of Cropland to Forest in Mountainous Land of Western Hubei. Hubei For. Sci. Technol. 2007, 5, 43–46. [Google Scholar]
- Van Khuc, Q.; Le, T.A.T.; Nguyen, T.H.; Nong, D.; Tran, B.Q.; Meyfroidt, P.; Tran, T.; Duong, P.B.; Nguyen, T.T.; Tran, T.; et al. Forest cover change, households’ livelihoods, trade-offs, and constraints associated with plantation forests in poor upland-rural landscapes: Evidence from north central Vietnam. Forests 2020, 11, 548. [Google Scholar] [CrossRef]
- Bentley, L.; Coomes, D.A. Partial river flow recovery with forest age is rare in the decades following establishment. Glob. Change Biol. 2020, 26, 1458–1473. [Google Scholar] [CrossRef]





| Metric Name | Category | Description [26,29,40] | Justification [29,47] | 
|---|---|---|---|
| Percentage of landscape (PLAND) | Area and edge | The percentage of the landscape belonging to a given class. Unit: Percent. | A measure of composition. | 
| Shannon’s diversity index (SHDI) | Diversity | An index that accounts for both the number of classes and the abundance of each class. Unit: none. | A measure of diversity. | 
| Patch density (PD) | Aggregation | The number of patches per area unit. Unit: Number per 100 hectares. | A measure of composition (fragmentation). | 
| Edge density (ED) | Area and edge | The sum of the length of all edges of different classes per area unit. Unit: Meters per hectare. | A measure of configuration (density). | 
| Land Use | 2000 | 2010 | 2020 | Net Gain/Loss (%) | |||
|---|---|---|---|---|---|---|---|
| (km2) | (%) | (km2) | (%) | (km2) | (%) | ||
| Forest | 14,852.9 | 61.67 | 16,148.2 | 67.05 | 16,109.8 | 66.89 | +8.46 | 
| Cultivated land | 6907.9 | 28.68 | 6918.2 | 28.73 | 6796.0 | 28.22 | −1.62 | 
| Grassland | 2158.4 | 8.96 | 812.7 | 3.37 | 785.9 | 3.26 | −63.59 | 
| Water bodies | 98.0 | 0.41 | 138.2 | 0.57 | 171.9 | 0.71 | +75.33 | 
| Artificial surfaces | 65.8 | 0.27 | 65.8 | 0.27 | 219.6 | 0.91 | +233.90 | 
| Wetland | 0.15 | 0.0006 | 0.005 | 0.00002 | 0.003 | 0.00001 | −98.18 | 
| Year | Median of PLAND | ||
|---|---|---|---|
| Forest | Cultivated Land | Grassland | |
| 2000 | 57.79 | 34.03 | 4.02 | 
| 2010 | 63.12 | 33.98 | 2.59 | 
| 2020 | 63.28 | 31.51 | 2.56 | 
| Year | Median of SHDI | Median of PD | Median of ED | 
|---|---|---|---|
| 2000 | 0.84 | 8.22 | 63.70 | 
| 2010 | 0.75 | 6.44 | 57.08 | 
| 2020 | 0.78 | 6.36 | 57.03 | 
| SHDI | PD | ED | PLAND of Cultivated Land | PLAND of Forest | PLAND of Grassland | |
|---|---|---|---|---|---|---|
| Elevation | −0.45 *** | −0.19 | −0.18 | −0.32 ** | 0.38 *** | −0.32 ** | 
| Slope | −0.64 *** | −0.42 *** | −0.50 *** | −0.71 *** | 0.73 *** | −0.40 *** | 
| Distance to the city center | −0.09 | −0.06 | −0.10 | −0.06 | 0.09 | −0.19 | 
| Publisher’s Note: MDPI stays neutral with regard to jurisdictional claims in published maps and institutional affiliations. | 
© 2021 by the authors. Licensee MDPI, Basel, Switzerland. This article is an open access article distributed under the terms and conditions of the Creative Commons Attribution (CC BY) license (http://creativecommons.org/licenses/by/4.0/).
Share and Cite
Wang, L.; Wen, C. Traditional Villages in Forest Areas: Exploring the Spatiotemporal Dynamics of Land Use and Landscape Patterns in Enshi Prefecture, China. Forests 2021, 12, 65. https://doi.org/10.3390/f12010065
Wang L, Wen C. Traditional Villages in Forest Areas: Exploring the Spatiotemporal Dynamics of Land Use and Landscape Patterns in Enshi Prefecture, China. Forests. 2021; 12(1):65. https://doi.org/10.3390/f12010065
Chicago/Turabian StyleWang, Luqi, and Chen Wen. 2021. "Traditional Villages in Forest Areas: Exploring the Spatiotemporal Dynamics of Land Use and Landscape Patterns in Enshi Prefecture, China" Forests 12, no. 1: 65. https://doi.org/10.3390/f12010065
APA StyleWang, L., & Wen, C. (2021). Traditional Villages in Forest Areas: Exploring the Spatiotemporal Dynamics of Land Use and Landscape Patterns in Enshi Prefecture, China. Forests, 12(1), 65. https://doi.org/10.3390/f12010065
 
        

 
       