Predicting the Outdoor Moisture Performance of Wood Based on Laboratory Indicators
Abstract
1. Introduction
2. Materials and Methods
2.1. Wood Specimens
2.2. Laboratory Testing
2.2.1. W24-Tests (24 h Water Uptake and Release Tests (Meyer-Veltrup et al. 2017))
Liquid Water Uptake by Submersion
- W24sub. = Liquid water uptake during 24 h submersion (%);
- m0 = Oven-dry mass before submersion (g);
- msub. = Mass after 24 h of submersion (g).
Water Vapor Uptake in Water-Saturated Atmosphere
- W24100%RH = Water vapor uptake during 24 h exposure above water (%);
- m0 = Oven-dry mass before exposure (g);
- m100%RH = Mass after 24 h exposure above water (g).
Desorption
- W240%RH = Water vapor release during 24 h exposure at 0% RH (%);
- mCWS = Mass at CWS (g);
- m0%RH = Mass after 24 h exposure to 0% RH (g).
2.2.2. Capillary Water Uptake Tests (CWU)
- CWU = Capillary water uptake during 200 s (g/cm2);
- m200s = Mass after 200 s in contact with water (g);
- m65%RH = Mass at 20 °C, 65% RH (g).
2.2.3. Floating and Submersion Test (CEN/TS 16818 (2018))
Floating Test—Absorption and Desorption Cycle
Submersion Test—Absorption and Desorption Cycle
Indicators and Calculations from Floating and Submersion Tests
- MC = Moisture content of the specimen (%);
- m0 = Oven-dry mass without sealant (g);
- m = Mass after absorption/desorption without sealant (g).
- MCcorr = Material moisture content of the modified specimen related to the oven-dry; cell wall mass (%);
- MC = Material moisture content of the modified specimen related to the oven-dry; material mass (cell wall + chemical) (%).
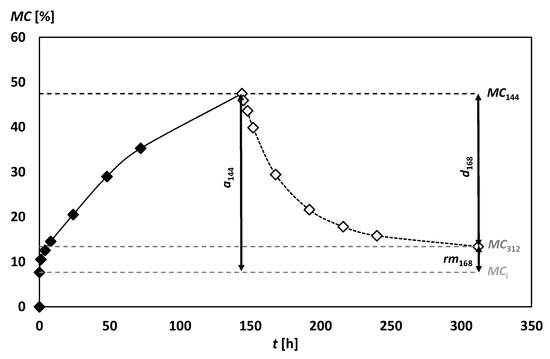
- a144 = Amount of absorbed moisture after 144 h (g);
- MCi = Initial moisture content of the specimen (g);
- MC144 = Moisture content of the specimen after 144 h of water uptake (g).
- d168 = Amount of desorbed moisture after 168 h (g);
- MC144 = Moisture content of the specimen after 144 h of water uptake (g);
- MC312 = Moisture content of the specimen after 168 h of desorption (g).
- rm168 = Residual moisture content of the specimen after 312 h of testing (g);
- a144 = Amount of absorbed moisture after 144 h (g);
- d168 = Amount of desorbed moisture after 168 h (g).
- res312 = Residue in the specimen after 312 h of testing expressed as a percentage (%);
- rm168 = Residual moisture content of the specimen after 312 h of testing (g);
- a144 = Amount of absorbed moisture after 144 h (g).
2.3. Field Exposure
- MCmean = Mean moisture content over 10 weeks of outside exposure (%);
- MCj = Mean moisture content per material and specimen design at each day of measurement (j) (%);
- n = Number of moisture content measurements (-).
3. Results and Discussion
3.1. Laboratory Trials
3.1.1. W24-Tests (24 h Water Uptake and Release Tests (Meyer-Veltrup et al. 2017))
- W24sub. = Liquid water uptake during 24 h submersion (%);
- W24100%RH = Water vapor uptake during 24 h exposure above water (%);
- W240%RH = Water vapor release during 24 h exposure at 0% RH (%);
- CWU = Capillary water uptake during 200 s (g/cm2);
- NS = Norway spruce as reference material;
- test. = Tested material.
3.1.2. Floating Test (CEN/TS 16818 (2018))
3.1.3. Submersion Test (CEN/TS 16818 (2018))
3.2. Outdoor Moisture Performance
3.3. Predicting Moisture Performance Based on Laboratory Indicators
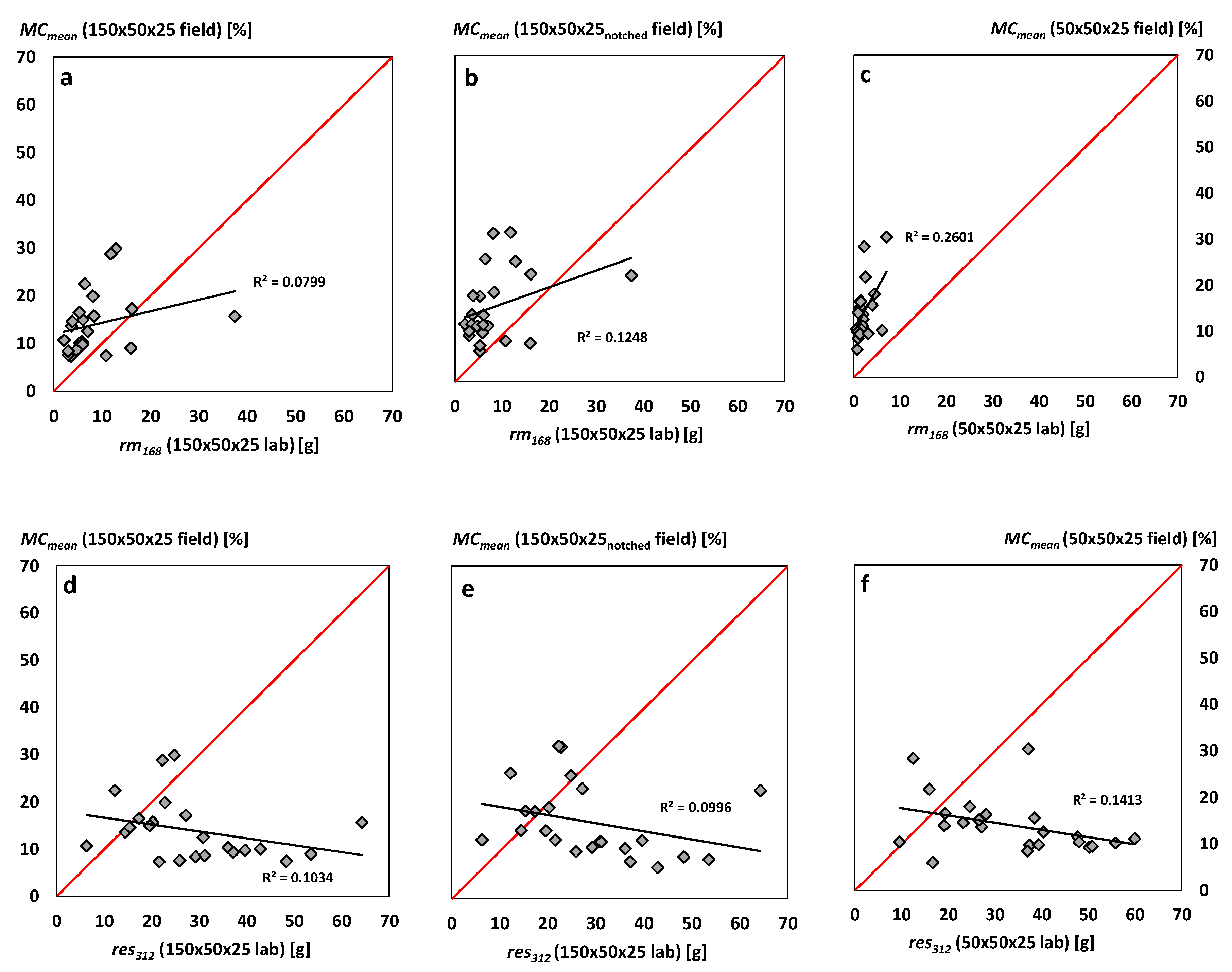
3.3.1. Residual Moisture Content (rm168) and Residue (res312) According to CEN/TS 16818 (2018)—Calculation Basis: Absorbed Moisture (g)
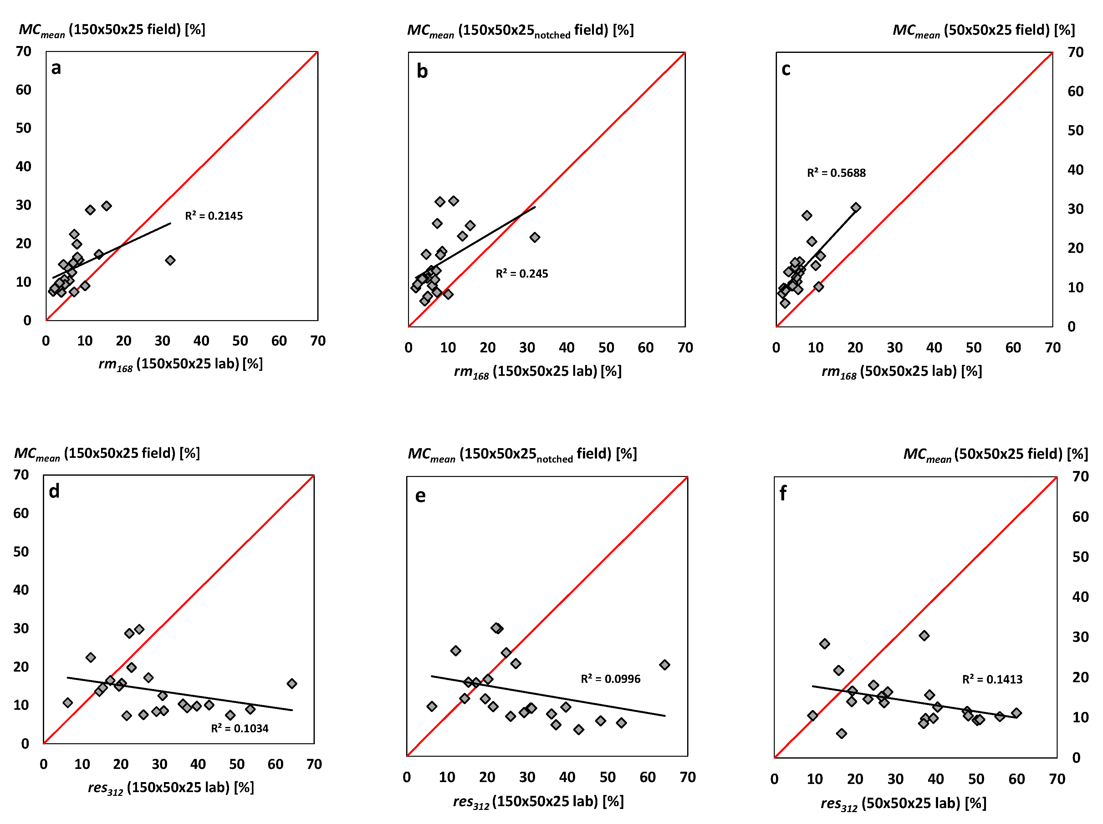
3.3.2. Residual Moisture Content (rm168) and Residue (res312) According to CEN/TS 16818 (2018)—Calculation Basis: Moisture Content (%)
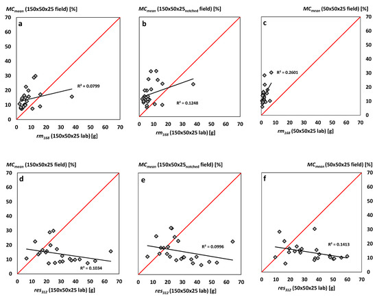
3.3.3. Mean Moisture Content (MCmean) (%) Calculated during Absorption and Desorption Cycles According to CEN/TS 16818 (2018)
- MCmean = Mean moisture content over absorption and desorption cycles (%)
- MCj = Moisture content after j hours of absorption/desorption (%)
3.3.4. Mean Moisture Content (MCmean) (%) Calculated during Absorption and Desorption Cycles According to Meyer-Veltrup et al. (2017) and CEN/TS 16818 (2018)
4. Conclusions
- Both laboratory test procedures—CEN/TS 16818 (2018) and short-term water uptake and release tests according to Meyer-Vektrup et al. (2017)—enabled to point out differences in the water permeability of the different materials under test (untreated, modified and preservative-treated wood); this was also the case for a 10-week period of outside exposure.
- Floating and submersion tests according to [5] evidenced similar water uptake and release behavior for the different materials under test. Hence, the two test set-ups appeared replaceable by each other.
- The moisture indicators rm168 and res312 [5] showed the minor potential to predict the outdoor moisture performance of the tested materials. This became evident for both parameters and was shown both, when the absolute amount of moisture was calculated and given in grams and when the respective moisture content values were calculated as a percentage related to the oven-dry specimens’ mass.
- The MCmean during submersion and floating tests, respectively, showed high potential to predict the outdoor moisture performance of the different test materials.
- Short-term water uptake and release tests with small-sized specimens (100 (ax.) × 10 × 5 mm3) and free end-grain surfaces were shown to be an adequate alternative to standardized tests (e.g., [5]) and showed fairly high predictive power of the outdoor moisture performance of wood.
Author Contributions
Funding
Acknowledgments
Conflicts of Interest
References
- Brischke, C. Durability and Outdoor Performance of Wood Products towards a Comprehensive Methodology for Service Life Prediction. Habilitation Thesis, Leibniz University Hannover, Hannover, Germany, 2016. [Google Scholar]
- Meyer-Veltrup, L.; Brischke, C.; Niklewski, J.; Frühwald Hansson, E. Design and performance prediction of timber bridges based on a factorization approach. Wood Mat. Sci. Eng. 2018, 13, 167–173. [Google Scholar] [CrossRef]
- Meyer-Veltrup, L.; Brischke, C.; Alfredsen, G.; Humar, M.; Flæte, P.O.; Isaksson, T.; Larsson Brelid, P.; Westin, M.; Jermer, J. The combined effect of wetting ability and durability on outdoor performance of wood: Development and verification of a new prediction approach. Wood Sci. Technol. 2017, 51, 615–637. [Google Scholar] [CrossRef]
- EN 350. Durability of Wood and Wood-Based Products—Testing and Classification of the Durability to Biological Agents of Wood and Wood-Based Materials; European Committee for Standardization: Brussels, Belgium, 2016. [Google Scholar]
- CEN/TS 16818. Durability of Wood and Wood-Based Products—Moisture Dynamics of Wood and Wood-Based Products; European Committee for Standardization: Brussels, Belgium, 2018. [Google Scholar]
- EN 927-5. Paints and Varnishes—Coating Materials and Coating Systems for Exterior Wood—Part. 5: Assessment of the Liquid Water Permeability; European Committee for Standardization: Brussels, Belgium, 2007. [Google Scholar]
- ISO 535. Paper and Board—Determination of Water Absorptiveness—Cobb Method; International Standardization Organization: Geneve, Switzerland, 2014. [Google Scholar]
- Rapp, A.O.; Peek, R.D.; Sailer, M. Modelling the moisture induced risk of decay for treated and untreated wood above ground. Holzforschung 2000, 54, 111–118. [Google Scholar] [CrossRef]
- Brandt, K.; Melcher, E.; Rapp, A.O.; Welzbacher, C. Entwicklung und Untersuchung von hydrophobiertem und koloriertem Holz für Anwendungen im dekorativen, bewitterten Einsatz. Available online: https://www.fisaonline.de/projekte-finden/details/?tx_fisaresearch_projects%5Bp_id%5D=198&tx_fisaresearch_projects%5Baction%5D=projectDetails&tx_fisaresearch_projects%5Bcontroller%5D=Projects&cHash=3151d39c4d638287be68bae8f2ef7a45.URL (accessed on 31 August 2020).
- Brischke, C.; Hesse, C.; Meyer-Veltrup, L.; Humar, M. Studies on the material resistance and moisture dynamics of Common juniper, English yew, Black cherry, and Rowan. Wood Mat. Sci. Eng. 2018, 13, 222–230. [Google Scholar] [CrossRef]
- Žlahtič, M.; Humar, M. Influence of artificial and natural weathering on the moisture dynamic of wood. BioResources 2017, 12, 117–142. [Google Scholar] [CrossRef]
- Humar, M.; Kržišnik, D.; Lesar, B.; Thaler, N.; Ugovšek, A.; Zupančič, K.; Žlahtič, M. Thermal modification of wax-impregnated wood to enhance its physical, mechanical, and biological properties. Holzforschung 2017, 71, 57–64. [Google Scholar] [CrossRef]
- Žlahtič-Zupanc, M.; Lesar, B.; Humar, M. Changes in moisture performance of wood after weathering. Constr. Buil. Mat. 2018, 193, 529–538. [Google Scholar] [CrossRef]
- Van den Bulcke, J.; De Windt, I.; Defoirdt, N.; De Smet, J.; Van Acker, J. Moisture dynamics and fungal susceptibility of plywood. Int. Biodeter. Biodegr. 2011, 65, 708–716. [Google Scholar] [CrossRef]
- Brischke, C.; Meyer, L.; Bornemann, T. The potential of moisture content measurements for testing the durability of timber products. Wood Sci. Technol. 2013, 47, 869–886. [Google Scholar] [CrossRef]
- Grüll, G.; Truskaller, M.; Podgorski, L.; Bollmus, S.; De Windt, I.; Suttie, E. Moisture conditions in coated wood panels during 24 months natural weathering at five sites in Europe. Wood Mat. Sci. Eng. 2013, 8, 95–110. [Google Scholar]
- Li, W.; Van den Bulcke, J.; De Windt, I.; Dhaene, J.; Van Acker, J. Moisture behavior and structural changes of plywood during outdoor exposure. Eur. J. Wood Prod. 2016, 74, 211–221. [Google Scholar] [CrossRef]
- Humar, M.; Kržišnik, D.; Lesar, B.; Brischke, C. The Performance of Wood Decking after Five Years of Exposure: Verification of the Combined Effect of Wetting Ability and Durability. Forests 2019, 10, 903. [Google Scholar] [CrossRef]
- Slávik, R.; Čekon, M.; Štefaňák, J. A Nondestructive Indirect Approach to Long-Term Wood Moisture Monitoring Based on Electrical Methods. Materials 2019, 12, 2373. [Google Scholar] [CrossRef] [PubMed]
- Kržišnik, D.; Lesar, B.; Thaler, N.; Planinšič, J.; Humar, M. A study on the moisture performance of wood determined in laboratory and field trials. Eur. J. Wood Prod. 2020, 1–17. [Google Scholar] [CrossRef]
- Li, W.; Van den Bulcke, J.; De Windt, I.; Dhaene, J.; Mannes, D.; Lehmann, E.; Van Acker, J. Investigating plywood behaviour in outdoor conditions. Int. Wood Prod. J. 2016, 7, 220–224. [Google Scholar] [CrossRef]
- Rosso, L.; Negro, F.; Castro, G.; Cremonini, C.; Zanuttini, R. Moisture dynamics of thermally treated poplar plywood. Eur. J. Wood Prod. 2017, 75, 277–279. [Google Scholar] [CrossRef]
- Niklewski, J.; Brischke, C.; Frühwald Hansson, E.; Meyer-Veltrup, L. Moisture behavior of weathered wood surfaces during cyclic wetting: Measurements and modeling. Wood Sci. Technol. 2018, 52, 1431–1450. [Google Scholar] [CrossRef]
- Meyer, L.; Brischke, C.; Kasselmann, M. Holzfeuchte-Monitoring im Rahmen von Dauerhaftigkeitsprüfungen—Praktische Erfahrungen aus Freilandversuchen. Holztechnologie 2015, 56, 11–19. [Google Scholar]















| Wood Species | ID | W24sub. | W24100%RH | W240%RH | CWU | kwa, all (-) | ||||
|---|---|---|---|---|---|---|---|---|---|---|
| Mean (%) | kwa (-) | Mean (%) | kwa (-) | Mean (%) | kwa (-) | Mean (%) | kwa (-) | |||
| Softwoods | ||||||||||
| Norway spruce | NS | 52.8 | 1.00 | 14.7 | 1.00 | 17.5 | 1.00 | 0.32 | 1.00 | 1.00 |
| Scots pine SW | P | 71.9 | 0.73 | 15.7 | 0.94 | 19.3 | 1.10 | 0.67 | 0.47 | 0.81 |
| Douglas fir | D | 30.7 | 1.72 | 12.9 | 1.15 | 15.2 | 0.87 | 0.30 | 1.06 | 1.20 |
| Radiata pine SW | RP | 64.6 | 0.82 | 17.5 | 0.84 | 20.1 | 1.15 | 0.63 | 0.50 | 0.83 |
| Hardwoods | ||||||||||
| Maple | M | 73.7 | 0.72 | 13.5 | 1.09 | 18.8 | 1.08 | 0.18 | 1.72 | 1.15 |
| English oak | O | 38.3 | 1.38 | 11.1 | 1.32 | 17.8 | 1.02 | 0.27 | 1.18 | 1.22 |
| European beech | B | 68.4 | 0.77 | 14.2 | 1.04 | 19.9 | 1.14 | 0.39 | 0.81 | 0.94 |
| Black locust | Ro | 30.4 | 1.74 | 9.6 | 1.53 | 16.4 | 0.94 | 0.28 | 1.15 | 1.34 |
| Paulownia | Pau | 91.5 | 0.58 | 16.6 | 0.88 | 20.4 | 1.16 | 0.31 | 1.02 | 0.91 |
| Alder | A | 62.2 | 0.85 | 14.0 | 1.05 | 19.0 | 1.09 | 0.17 | 1.86 | 1.21 |
| Poplar | Po | 62.5 | 0.84 | 13.5 | 1.09 | 18.7 | 1.07 | 0.24 | 1.33 | 1.08 |
| Teak | T | 30.7 | 1.72 | 7.5 | 1.96 | 15.9 | 0.91 | 0.29 | 1.09 | 1.42 |
| Basralocus | Bas | 29.8 | 1.77 | 10.9 | 1.35 | 12.4 | 0.71 | 0.29 | 1.08 | 1.23 |
| Amaranth | Ama | 27.8 | 1.90 | 11.2 | 1.31 | 12.1 | 0.69 | 0.21 | 1.50 | 1.35 |
| Bangkirai | Ban | 26.5 | 1.99 | 8.3 | 1.78 | 12.6 | 0.72 | 0.05 | 5.80 | 2.57 |
| Bongossi | Bon | 25.6 | 2.06 | 9.3 | 1.58 | 12.2 | 0.70 | 0.26 | 1.22 | 1.39 |
| Chemically modified wood | ||||||||||
| Alder acetylated | Aacc | 27.8 | 1.90 | 4.8 | 3.10 | 10.8 | 0.61 | 0.20 | 1.55 | 1.79 |
| Scots pine SW | PDMDHEU | 58.6 | 0.90 | 11.4 | 1.29 | 16.0 | 0.91 | 0.52 | 0.61 | 0.93 |
| Radiata pine SW | RPDMDHEU | 81.1 | 0.65 | 14.9 | 0.99 | 16.9 | 0.96 | 0.57 | 0.56 | 0.79 |
| Poplar | PoDMDHEU | 61.8 | 0.85 | 13.1 | 1.13 | 21.0 | 1.20 | 0.30 | 1.05 | 1.06 |
| Preservative-treated wood | ||||||||||
| European beech | BCo | 61.6 | 0.86 | 14.2 | 1.04 | 18.90 | 1.08 | 0.40 | 0.79 | 0.94 |
| European beech | BOil | 27.9 | 1.89 | 5.3 | 2.80 | 9.53 | 0.54 | 0.22 | 1.46 | 1.67 |
| European beech | BCo+Oil | 27.2 | 1.94 | 4.7 | 3.15 | 11.97 | 0.68 | 0.20 | 1.58 | 1.84 |
| Material | MC144 | MC312 | a144 | d168 | rm168 | res312 | MCmean | |||
|---|---|---|---|---|---|---|---|---|---|---|
| (g) | (g) | (g) | (g) | Mean (g) | kwa (-) | Mean (g) | kwa (-) | Mean (g) | kwa (-) | |
| Softwoods | ||||||||||
| NS | 7.22 | 2.94 | 5.57 | 4.28 | 1.29 | 1.00 | 23.19 | 1.00 | 4.50 | 1.00 |
| P | 17.38 | 4.56 | 15.24 | 12.82 | 2.43 | 0.53 | 15.93 | 1.46 | 11.39 | 0.40 |
| D | 5.52 | 3.67 | 3.54 | 1.85 | 1.69 | 0.77 | 47.73 | 0.49 | 3.92 | 1.15 |
| RP | 20.25 | 4.73 | 17.74 | 15.53 | 2.21 | 0.58 | 12.47 | 1.86 | 14.06 | 0.32 |
| Hardwoods | ||||||||||
| M | 9.49 | 4.34 | 7.08 | 5.15 | 1.92 | 0.67 | 27.15 | 0.85 | 6.19 | 0.73 |
| O | 7.43 | 4.50 | 4.90 | 2.92 | 1.98 | 0.65 | 40.40 | 0.57 | 5.13 | 0.88 |
| B | 20.57 | 7.08 | 17.88 | 13.49 | 4.39 | 0.29 | 24.57 | 0.94 | 12.33 | 0.36 |
| Ro | 4.99 | 3.73 | 3.13 | 1.26 | 1.88 | 0.69 | 59.92 | 0.39 | 3.64 | 1.23 |
| Pau | 7.54 | 1.87 | 6.26 | 5.67 | 0.60 | 2.17 | 9.52 | 2.44 | 4.27 | 1.05 |
| A | 7.07 | 3.34 | 5.07 | 5.07 | 1.35 | 0.96 | 26.53 | 0.87 | 4.55 | 0.99 |
| Po | 9.32 | 3.30 | 7.47 | 7.47 | 1.44 | 0.90 | 19.31 | 1.20 | 5.80 | 0.78 |
| T | 4.78 | 3.14 | 3.15 | 1.64 | 1.51 | 0.86 | 47.97 | 0.48 | 3.26 | 1.38 |
| Bas | 10.62 | 8.83 | 2.86 | 1.79 | 1.07 | 1.21 | 37.41 | 0.62 | 9.34 | 0.48 |
| Ama | 10.13 | 8.65 | 2.35 | 1.48 | 0.87 | 1.49 | 36.93 | 0.63 | 9.00 | 0.50 |
| Ban | 9.28 | 8.06 | 2.01 | 1.22 | 0.79 | 1.63 | 39.34 | 0.59 | 8.35 | 0.54 |
| Bon | 9.71 | 8.45 | 2.53 | 1.26 | 1.27 | 1.02 | 50.18 | 0.46 | 8.74 | 0.51 |
| Chemically modified wood | ||||||||||
| Aacc | 4.92 | 1.52 | 4.08 | 3.40 | 0.68 | 1.90 | 16.65 | 1.39 | 2.88 | 1.56 |
| PDMDHEU | 7.46 | 3.79 | 5.11 | 3.67 | 1.43 | 0.90 | 28.08 | 0.83 | 5.40 | 0.83 |
| RPDMDHEU | 21.99 | 10.04 | 18.99 | 11.95 | 7.05 | 0.18 | 37.10 | 0.63 | 16.63 | 0.27 |
| PoDMDHEU | 6.56 | 2.84 | 4.60 | 3.72 | 0.88 | 1.47 | 19.14 | 1.21 | 4.20 | 1.07 |
| Preservative-treated wood | ||||||||||
| BCo | 12.57 | 6.29 | 10.20 | 6.28 | 3.92 | 0.33 | 38.43 | 0.60 | 8.48 | 0.53 |
| BOil | 12.95 | 8.14 | 10.90 | 4.81 | 6.08 | 0.21 | 55.82 | 0.42 | 8.71 | 0.52 |
| BCo+Oil | 8.00 | 5.05 | 6.01 | 2.95 | 3.05 | 0.42 | 50.84 | 0.46 | 5.42 | 0.83 |
| Material | MC144 | MC312 | a144 | d168 | rm168 | res312 | MCmean | |||
|---|---|---|---|---|---|---|---|---|---|---|
| (%) | (%) | (%) | (%) | Mean (%) | kwa (-) | Mean (%) | kwa (-) | Mean (%) | kwa (-) | |
| Softwoods | ||||||||||
| NS | 34.80 | 14.17 | 26.86 | 20.63 | 6.23 | 1.00 | 23.19 | 1.00 | 21.67 | 1.00 |
| P | 64.41 | 16.91 | 56.50 | 47.50 | 9.00 | 0.69 | 15.93 | 1.46 | 42.20 | 0.51 |
| D | 17.22 | 11.45 | 11.03 | 5.77 | 5.27 | 1.18 | 47.73 | 0.49 | 12.22 | 1.77 |
| RP | 71.17 | 16.61 | 62.33 | 54.56 | 7.77 | 0.80 | 12.47 | 1.86 | 49.41 | 0.44 |
| Hardwoods | ||||||||||
| M | 28.53 | 13.03 | 21.27 | 15.49 | 5.77 | 1.08 | 27.15 | 0.85 | 18.61 | 1.16 |
| O | 19.04 | 11.55 | 12.58 | 7.50 | 5.08 | 1.23 | 40.40 | 0.57 | 13.15 | 1.65 |
| B | 52.52 | 18.08 | 45.66 | 34.44 | 11.22 | 0.56 | 24.57 | 0.94 | 31.48 | 0.69 |
| Ro | 11.16 | 8.35 | 7.01 | 2.81 | 4.20 | 1.48 | 59.92 | 0.39 | 8.15 | 2.66 |
| Pau | 48.71 | 12.09 | 40.47 | 36.62 | 3.85 | 1.62 | 9.52 | 2.44 | 27.58 | 0.79 |
| A | 24.57 | 8.63 | 17.64 | 12.96 | 4.68 | 1.33 | 26.53 | 0.87 | 15.81 | 1.37 |
| Po | 38.40 | 11.61 | 30.75 | 24.81 | 5.94 | 1.05 | 19.31 | 1.20 | 23.91 | 0.91 |
| T | 13.13 | 13.13 | 8.65 | 4.50 | 4.15 | 1.50 | 47.97 | 0.48 | 8.97 | 2.42 |
| Bas | 21.78 | 18.11 | 5.87 | 3.67 | 2.20 | 2.84 | 37.41 | 0.62 | 19.15 | 1.13 |
| Ama | 18.48 | 15.77 | 4.28 | 2.70 | 1.58 | 3.94 | 36.93 | 0.63 | 16.42 | 1.32 |
| Ban | 21.64 | 18.79 | 4.69 | 2.85 | 1.85 | 3.37 | 39.34 | 0.59 | 19.46 | 1.11 |
| Bon | 17.09 | 14.87 | 4.45 | 2.22 | 2.24 | 2.79 | 50.18 | 0.46 | 15.38 | 1.41 |
| Chemically modified wood | ||||||||||
| Aacc | 16.16 | 4.99 | 13.40 | 11.17 | 2.23 | 2.79 | 16.65 | 1.39 | 9.45 | 2.29 |
| PDMDHEU | 24.68 | 12.53 | 16.90 | 12.16 | 4.75 | 1.31 | 28.08 | 0.83 | 17.88 | 1.21 |
| RPDMDHEU | 62.87 | 28.71 | 54.30 | 34.15 | 20.15 | 0.31 | 37.10 | 0.63 | 47.54 | 0.46 |
| PoDMDHEU | 23.08 | 9.99 | 16.18 | 13.08 | 3.10 | 2.01 | 19.14 | 1.21 | 14.75 | 1.47 |
| Preservative-treated wood | ||||||||||
| BCo | 32.01 | 16.01 | 25.98 | 16.00 | 9.99 | 0.62 | 38.43 | 0.60 | 21.60 | 1.00 |
| BOil | 22.92 | 14.40 | 19.28 | 8.52 | 10.76 | 0.58 | 55.82 | 0.42 | 15.42 | 1.41 |
| BCo+Oil | 14.43 | 9.10 | 10.83 | 5.32 | 5.50 | 1.13 | 50.84 | 0.46 | 9.76 | 2.22 |
| Material | MC144 | MC312 | a144 | d168 | rm168 | res312 | MCmean | |||
|---|---|---|---|---|---|---|---|---|---|---|
| (g) | (g) | (g) | (g) | Mean (g) | kwa (-) | Mean (g) | kwa (-) | Mean (g) | kwa (-) | |
| Softwoods | ||||||||||
| NS | 30.23 | 8.54 | 25.35 | 21.69 | 3.66 | 1.00 | 14.44 | 1.00 | 17.39 | 1.00 |
| P | 59.69 | 13.54 | 52.57 | 46.15 | 6.42 | 0.57 | 12.22 | 1.18 | 39.40 | 0.44 |
| D | 21.45 | 11.06 | 16.26 | 10.39 | 5.87 | 0.62 | 36.10 | 0.40 | 13.78 | 1.26 |
| RP | 59.48 | 20.45 | 51.88 | 39.03 | 12.85 | 0.29 | 24.76 | 0.58 | 43.87 | 0.40 |
| Hardwoods | ||||||||||
| M | 48.50 | 15.80 | 40.99 | 32.70 | 8.30 | 0.44 | 20.24 | 0.71 | 30.02 | 0.58 |
| O | 29.19 | 13.44 | 22.77 | 15.75 | 7.02 | 0.52 | 30.82 | 0.47 | 18.23 | 0.95 |
| B | 67.21 | 23.95 | 59.40 | 43.26 | 16.14 | 0.23 | 27.16 | 0.53 | 41.59 | 0.42 |
| Ro | 16.55 | 9.47 | 12.39 | 7.08 | 5.31 | 0.69 | 42.86 | 0.34 | 10.94 | 1.59 |
| Pau | 37.72 | 6.02 | 33.81 | 31.70 | 2.12 | 1.73 | 6.26 | 2.31 | 21.21 | 0.82 |
| A | 18.03 | 12.36 | 30.93 | 24.88 | 6.05 | 0.61 | 19.55 | 0.74 | 22.52 | 0.77 |
| Po | 37.24 | 10.62 | 30.56 | 25.28 | 5.28 | 0.69 | 17.29 | 0.84 | 21.58 | 0.81 |
| T | 35.90 | 9.08 | 14.24 | 8.95 | 5.29 | 0.69 | 37.17 | 0.39 | 11.45 | 1.52 |
| Bas | 32.87 | 22.43 | 15.16 | 10.44 | 4.72 | 0.78 | 31.14 | 0.46 | 26.02 | 0.67 |
| Ama | 30.52 | 21.87 | 11.67 | 8.65 | 3.02 | 1.21 | 25.86 | 0.56 | 24.78 | 0.70 |
| Ban | 26.74 | 19.48 | 10.25 | 7.25 | 2.99 | 1.22 | 29.21 | 0.49 | 21.98 | 0.79 |
| Bon | 34.55 | 25.46 | 15.05 | 9.09 | 5.97 | 0.61 | 39.64 | 0.36 | 28.34 | 0.61 |
| Chemically modified wood | ||||||||||
| Aacc | 19.13 | 6.05 | 16.66 | 13.07 | 3.59 | 1.02 | 21.55 | 0.67 | 11.57 | 1.50 |
| PDMDHEU | 42.57 | 15.07 | 35.61 | 27.50 | 8.11 | 0.45 | 22.77 | 0.63 | 30.35 | 0.57 |
| RPDMDHEU | 62.50 | 21.21 | 53.10 | 41.29 | 11.81 | 0.31 | 22.25 | 0.65 | 44.74 | 0.39 |
| PoDMDHEU | 30.31 | 9.10 | 25.06 | 21.21 | 3.85 | 0.95 | 15.35 | 0.94 | 18.02 | 0.96 |
| Preservative-treated wood | ||||||||||
| BCo | 63.92 | 43.10 | 58.28 | 20.82 | 37.46 | 0.10 | 64.27 | 0.22 | 43.57 | 0.40 |
| BOil | 33.96 | 20.08 | 29.85 | 13.88 | 15.97 | 0.23 | 53.51 | 0.27 | 22.83 | 0.76 |
| BCo+Oil | 26.80 | 15.26 | 22.33 | 11.54 | 10.79 | 0.34 | 48.33 | 0.30 | 17.80 | 0.98 |
| Material | MC144 | MC312 | a144 | d168 | rm168 | res312 | MCmean | |||
|---|---|---|---|---|---|---|---|---|---|---|
| (%) | (%) | (%) | (%) | Mean (%) | kwa (-) | Mean (%) | kwa (-) | Mean (%) | kwa (-) | |
| Softwoods | ||||||||||
| NS | 47.46 | 13.40 | 39.80 | 34.05 | 5.75 | 1.00 | 14.44 | 1.00 | 27.30 | 1.00 |
| P | 67.56 | 15.32 | 59.51 | 52.24 | 7.27 | 0.79 | 12.22 | 1.18 | 44.60 | 0.61 |
| D | 22.02 | 11.35 | 16.70 | 10.67 | 6.03 | 0.95 | 36.10 | 0.40 | 14.15 | 1.93 |
| RP | 72.24 | 24.84 | 63.00 | 47.40 | 15.60 | 0.37 | 24.76 | 0.58 | 53.28 | 0.51 |
| Hardwoods | ||||||||||
| M | 49.63 | 16.17 | 41.95 | 33.46 | 8.49 | 0.68 | 20.24 | 0.71 | 30.72 | 0.89 |
| O | 27.75 | 12.77 | 21.65 | 14.98 | 6.67 | 0.86 | 30.82 | 0.47 | 17.33 | 1.57 |
| B | 56.89 | 20.27 | 50.28 | 36.62 | 13.66 | 0.42 | 27.16 | 0.53 | 35.20 | 0.78 |
| Ro | 12.77 | 7.31 | 9.56 | 5.47 | 4.10 | 1.40 | 42.86 | 0.34 | 8.44 | 3.23 |
| Pau | 84.13 | 13.44 | 75.42 | 70.69 | 4.72 | 1.22 | 6.26 | 2.31 | 47.31 | 0.58 |
| A | 43.19 | 14.33 | 35.87 | 28.86 | 7.01 | 0.82 | 19.55 | 0.74 | 26.11 | 1.05 |
| Po | 54.85 | 16.23 | 46.69 | 38.62 | 8.07 | 0.71 | 17.29 | 0.84 | 32.97 | 0.83 |
| T | 16.60 | 8.36 | 13.11 | 8.24 | 4.87 | 1.18 | 37.17 | 0.39 | 10.54 | 2.59 |
| Bas | 22.42 | 15.30 | 10.34 | 7.12 | 7.12 | 1.79 | 31.14 | 0.46 | 17.75 | 1.54 |
| Ama | 18.81 | 13.48 | 7.19 | 5.33 | 5.33 | 3.09 | 25.86 | 0.56 | 15.27 | 1.79 |
| Ban | 20.18 | 14.71 | 7.73 | 5.47 | 5.47 | 2.54 | 39.64 | 0.49 | 16.59 | 1.65 |
| Bon | 20.20 | 14.89 | 8.80 | 5.31 | 5.31 | 1.65 | 29.21 | 0.36 | 16.57 | 1.65 |
| Chemically modified wood | ||||||||||
| Aacc | 20.97 | 6.64 | 18.27 | 14.33 | 14.33 | 1.46 | 21.55 | 0.67 | 12.68 | 2.15 |
| PDMDHEU | 41.81 | 14.80 | 34.97 | 27.01 | 27.01 | 0.72 | 22.77 | 0.63 | 29.81 | 0.92 |
| RPDMDHEU | 60.31 | 20.47 | 51.24 | 39.84 | 24.73 | 0.50 | 22.25 | 0.65 | 43.17 | 0.63 |
| PoDMDHEU | 35.34 | 10.61 | 29.21 | 24.73 | 39.84 | 1.28 | 15.35 | 0.94 | 21.01 | 1.30 |
| Preservative-treated wood | ||||||||||
| BCo | 54.56 | 36.79 | 49.74 | 17.77 | 31.97 | 0.18 | 64.27 | 0.22 | 37.19 | 0.73 |
| BOil | 21.39 | 12.65 | 18.80 | 8.74 | 10.06 | 0.57 | 53.51 | 0.27 | 14.38 | 1.90 |
| BCo+Oil | 17.93 | 10.21 | 14.94 | 7.72 | 7.22 | 0.80 | 48.33 | 0.30 | 11.91 | 2.29 |
| Material | 150 × 50 × 25 mm3 | 150 × 50 × 25notched mm3 | 50 × 50 × 25 mm3 | 100 × 10 × 5 mm3 | ||||
|---|---|---|---|---|---|---|---|---|
| MCmean (%) | kwa (-) | MCmean (%) | kwa (-) | MCmean (%) | kwa (-) | MCmean (%) | kwa (-) | |
| Softwoods | ||||||||
| NS | 13.62 | 1.00 | 14.40 | 1.00 | 14.60 | 1.00 | 13.49 | 1.00 |
| P | 22.46 | 0.61 | 26.37 | 0.55 | 21.77 | 0.67 | 12.35 | 1.09 |
| D | 10.38 | 1.31 | 10.53 | 1.37 | 11.54 | 1.26 | 11.29 | 1.19 |
| RP | 29.84 | 0.46 | 25.84 | 0.56 | 28.37 | 0.51 | 11.19 | 1.21 |
| Hardwoods | ||||||||
| M | 15.74 | 0.87 | 19.25 | 0.75 | 13.70 | 1.07 | 12.95 | 1.04 |
| O | 12.55 | 1.09 | 12.02 | 1.20 | 12.62 | 1.16 | 11.52 | 1.17 |
| B | 17.22 | 0.79 | 23.15 | 0.62 | 18.08 | 0.81 | 12.85 | 1.05 |
| Ro | 10.08 | 1.35 | 6.59 | 2.19 | 11.14 | 1.31 | 12.07 | 1.12 |
| Pau | 10.70 | 1.27 | 12.41 | 1.16 | 10.50 | 1.39 | 11.28 | 1.20 |
| A | 14.99 | 0.91 | 14.32 | 1.01 | 15.23 | 0.96 | 12.49 | 1.08 |
| Po | 16.52 | 0.82 | 18.35 | 0.78 | 16.62 | 0.88 | 12.13 | 1.11 |
| T | 9.38 | 1.45 | 7.82 | 1.84 | 10.46 | 1.40 | 11.17 | 1.21 |
| Bas | 8.64 | 1.58 | 11.96 | 1.20 | 9.73 | 1.50 | 10.20 | 1.32 |
| Ama | 7.59 | 1.80 | 9.93 | 1.45 | 8.51 | 1.72 | 9.28 | 1.45 |
| Ban | 8.40 | 1.62 | 10.87 | 1.33 | 9.83 | 1.49 | 11.18 | 1.21 |
| Bon | 9.80 | 1.39 | 12.24 | 1.18 | 9.32 | 1.57 | 10.84 | 1.24 |
| Chemically modified wood | ||||||||
| Aacc | 7.32 | 1.86 | 12.37 | 1.16 | 6.03 | 2.42 | 5.95 | 2.27 |
| PDMDHEU | 19.87 | 0.69 | 31.91 | 0.45 | 16.38 | 0.89 | 14.56 | 0.93 |
| RPDMDHEU | 14.63 | 0.93 | 32.10 | 0.45 | 30.42 | 0.48 | 15.23 | 0.89 |
| PoDMDHEU | 28.78 | 0.47 | 18.49 | 0.78 | 14.00 | 1.04 | 14.80 | 0.91 |
| Preservative-treated wood | ||||||||
| BCo | 15.67 | 0.87 | 22.81 | 0.63 | 15.64 | 0.93 | 11.99 | 1.12 |
| BOil | 9.01 | 1.51 | 8.29 | 1.74 | 10.22 | 1.43 | 10.39 | 1.30 |
| BCo+Oil | 7.44 | 1.83 | 8.79 | 1.64 | 9.49 | 1.54 | 10.47 | 1.29 |
© 2020 by the authors. Licensee MDPI, Basel, Switzerland. This article is an open access article distributed under the terms and conditions of the Creative Commons Attribution (CC BY) license (http://creativecommons.org/licenses/by/4.0/).
Share and Cite
Emmerich, L.; Brischke, C.; Sievert, M.; Schulz, M.S.; Jaeger, A.-C.; Beulshausen, A.; Humar, M. Predicting the Outdoor Moisture Performance of Wood Based on Laboratory Indicators. Forests 2020, 11, 1001. https://doi.org/10.3390/f11091001
Emmerich L, Brischke C, Sievert M, Schulz MS, Jaeger A-C, Beulshausen A, Humar M. Predicting the Outdoor Moisture Performance of Wood Based on Laboratory Indicators. Forests. 2020; 11(9):1001. https://doi.org/10.3390/f11091001
Chicago/Turabian StyleEmmerich, Lukas, Christian Brischke, Marten Sievert, Manuel S. Schulz, Anne-Cathrin Jaeger, Arne Beulshausen, and Miha Humar. 2020. "Predicting the Outdoor Moisture Performance of Wood Based on Laboratory Indicators" Forests 11, no. 9: 1001. https://doi.org/10.3390/f11091001
APA StyleEmmerich, L., Brischke, C., Sievert, M., Schulz, M. S., Jaeger, A.-C., Beulshausen, A., & Humar, M. (2020). Predicting the Outdoor Moisture Performance of Wood Based on Laboratory Indicators. Forests, 11(9), 1001. https://doi.org/10.3390/f11091001

