Selection and Validation of Reference Genes for the qRT-PCR Assays of Populus ussuriensis Gene Expression under Abiotic Stresses and Related ABA Treatment
Abstract
1. Introduction
2. Materials and Methods
2.1. Plant Materials and Stress Treatments
2.2. Total RNA Extraction and cDNA Synthesis
2.3. Candidate Reference Gene Selection and PCR Primer Design
2.4. qRT-PCR
2.5. Statistical Analysis to Determine Expression Stability with geNorm, NormFinder, and BestKeeper
2.6. Validation of Candidate Reference Genes
3. Results
3.1. Selection, Amplification Efficiency, and Ct Value Range of Candidate Reference Genes
3.2. Expression Profiles of Candidate Reference Genes under Abiotic Stresses and Hormone Treatment
3.3. Expression Stability of Candidate Reference Genes under Abiotic Stress and Hormone Treatment
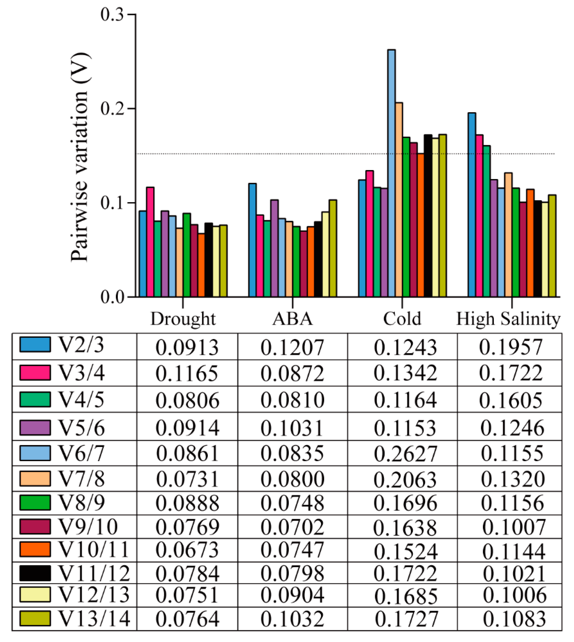
3.3.1. geNorm Analysis
3.3.2. NormFinder Analysis
3.3.3. BestKeeper Analysis
3.4. Comprehensive Stability Analysis of the Reference Genes
3.5. Reference Gene Validation
4. Discussion
5. Conclusions
Supplementary Materials
Author Contributions
Funding
Conflicts of Interest
References
- Bogdanović, M.; Dragićević, M.; Tanić, N.T.; Todorović, S.; Mišić, D.; Živković, S.; Tissier, A.; Simonović, A. Reverse Transcription of 18S rRNA with Poly(dT)18 and Other Homopolymers. Plant Mol. Boil. Rep. 2012, 31, 55–63. [Google Scholar] [CrossRef]
- Liu, X.; Guan, H.; Song, M.; Fu, Y.; Han, X.; Lei, M.; Ren, J.; Guo, B.; He, W.; Wei, Y. Reference gene selection for qRT-PCR assays in Stellera chamaejasme subjected to abiotic stresses and hormone treatments based on transcriptome datasets. PeerJ 2018, 6, e4535. [Google Scholar] [CrossRef] [PubMed]
- VanGuilder, H.D.; Vrana, K.E.; Freeman, W.M. Twenty-five years of quantitative PCR for gene expression analysis. Biotechniques 2008, 44, 619–626. [Google Scholar] [CrossRef] [PubMed]
- Kozera, B.; Rapacz, M. Reference genes in real-time PCR. J. Appl. Genet. 2013, 54, 391–406. [Google Scholar] [CrossRef] [PubMed]
- Huggett, J.; Dheda, K.; Bustin, S.; Zumla, A. Real-time RT-PCR normalisation; strategies and considerations. Genes Immun. 2005, 6, 279–284. [Google Scholar] [CrossRef] [PubMed]
- Bustin, S.; Beaulieu, J.-F.; Huggett, J.; Jaggi, R.; Kibenge, F.S.; Olsvik, P.; Penning, L.; Toegel, S. MIQE précis: Practical implementation of minimum standard guidelines for fluorescence-based quantitative real-time PCR experiments. BMC Mol. Boil. 2010, 11, 74. [Google Scholar] [CrossRef]
- Li, M.-Y.; Xiong, A.-S.; Wang, F.; Xiong, A.-S. Suitable Reference Genes for Accurate Gene Expression Analysis in Parsley (Petroselinum crispum) for Abiotic Stresses and Hormone Stimuli. Front. Plant Sci. 2016, 7, 1263. [Google Scholar] [CrossRef]
- Løvdal, T.; Lillo, C. Reference gene selection for quantitative real-time PCR normalization in tomato subjected to nitrogen, cold, and light stress. Anal. Biochem. 2009, 387, 238–242. [Google Scholar] [CrossRef]
- Jain, M.; Nijhawan, A.; Tyagi, A.K.; Khurana, J.P. Validation of housekeeping genes as internal control for studying gene expression in rice by quantitative real-time PCR. Biochem. Biophys. Res. Commun. 2006, 345, 646–651. [Google Scholar] [CrossRef]
- Penfield, S.; Hall, A. A Role for Multiple Circadian Clock Genes in the Response to Signals That Break Seed Dormancy in Arabidopsis. Plant Cell 2009, 21, 1722–1732. [Google Scholar] [CrossRef]
- Kim, B.-R.; Nam, H.-Y.; Kim, S.-U.; Kim, S.-I.; Chang, Y.-J. Normalization of reverse transcription quantitative-PCR with housekeeping genes in rice. Biotechnol. Lett. 2003, 25, 1869–1872. [Google Scholar] [CrossRef]
- Xu, M.; Zhang, B.; Su, X.; Zhang, S.; Huang, M. Reference gene selection for quantitative real-time polymerase chain reaction in Populus. Anal. Biochem. 2011, 408, 337–339. [Google Scholar] [CrossRef]
- Jian, B.; Liu, B.; Bi, Y.; Hou, W.; Wu, C.; Han, T. Validation of internal control for gene expression study in soybean by quantitative real-time PCR. BMC Mol. Boil. 2008, 9, 59. [Google Scholar] [CrossRef]
- Jin, J.; Zhao, X.; Liu, H.; Wang, S.; Song, Z.; Ma, X.; Li, K. Preliminary study on genetic variation of growth traits and wood properties and superior clones selection of Populus ussuriensis Kom. iForest Biogeosci. For. 2019, 12, 459–466. [Google Scholar] [CrossRef]
- Wei, M.; Xu, X.; Li, C. Identification and expression of CAMTA genes in Populus trichocarpa under biotic and abiotic stress. Sci. Rep. 2017, 7, 17910. [Google Scholar] [CrossRef]
- Zhao, H.; Zhao, X.; Li, M.; Jiang, Y.; Xu, J.; Jin, J.; Li, K. Ectopic expression of Limonium bicolor (Bag.) Kuntze DREB (LbDREB) results in enhanced salt stress tolerance of transgenic Populus ussuriensis Kom. Plant Cell Tissue Organ Cult. 2017, 132, 123–136. [Google Scholar] [CrossRef]
- Zhang, H.; Yang, J.; Li, W.; Chen, Y.; Lu, H.; Zhao, S.; Li, D.; Wei, M.; Li, C. PuHSFA4a Enhances Tolerance to Excess Zinc by Regulating Reactive Oxygen Species Production and Root Development in Populus. Plant Physiol. 2019, 180, 2254–2271. [Google Scholar] [CrossRef]
- Li, S.; Lin, Y.-C.; Wang, P.; Zhang, B.; Li, M.; Chen, S.; Shi, R.; Tunlaya-Anukit, S.; Liu, X.; Wang, Z.; et al. The AREB1 Transcription Factor Influences Histone Acetylation to Regulate Drought Responses and Tolerance in Populus trichocarpa. Plant Cell 2018, 31, 663–686. [Google Scholar] [CrossRef]
- Wang, Z.; Liu, Q.; Wang, H.; Zhang, H.; Xu, X.; Li, C.; Yang, C. Comprehensive analysis of trihelix genes and their expression under biotic and abiotic stresses in Populus trichocarpa. Sci. Rep. 2016, 6, 36274. [Google Scholar] [CrossRef]
- Liu, Q.; Wang, Z.; Xu, X.; Zhang, H.; Li, C. Genome-Wide Analysis of C2H2 Zinc-Finger Family Transcription Factors and Their Responses to Abiotic Stresses in Poplar (Populus trichocarpa). PLoS ONE 2015, 10, e0134753. [Google Scholar] [CrossRef]
- Vandesompele, J.; De Preter, K.; Pattyn, F.; Poppe, B.; Van Roy, N.; De Paepe, A.; Speleman, F. Accurate normalization of real-time quantitative RT-PCR data by geometric averaging of multiple internal control genes. Genome Boil. 2002, 3, 7. [Google Scholar] [CrossRef]
- Andersen, C.L.; Jensen, J.L.; Ørntoft, T.F. Normalization of Real-Time Quantitative Reverse Transcription-PCR Data: A Model-Based Variance Estimation Approach to Identify Genes Suited for Normalization, Applied to Bladder and Colon Cancer Data Sets. Cancer Res. 2004, 64, 5245–5250. [Google Scholar] [CrossRef] [PubMed]
- Pfaffl, M.; Tichopad, A.; Prgomet, C.; Neuvians, T.P. Determination of stable housekeeping genes, differentially regulated target genes and sample integrity: BestKeeper--Excel-based tool using pair-wise correlations. Biotechnol. Lett. 2004, 26, 509–515. [Google Scholar] [CrossRef]
- Jaakola, L.; Pirttilä, A.M.; Halonen, M.; Hohtola, A. Isolation of High Quality RNA from Bilberry (Vaccinium myrtillus L.) Fruit. Mol. Biotechnol. 2001, 19, 201–204. [Google Scholar] [CrossRef]
- Livak, K.J.; Schmittgen, T.D. Analysis of relative gene expression data using real-time quantitative PCR and the 2(-Delta Delta C(T)) Method. Methods 2001, 25, 402–408. [Google Scholar] [CrossRef]
- Dheda, K.; Huggett, J.; Chang, J.; Kim, L.; Bustin, S.; Johnson, M.; Rook, G.; Zumla, A. The implications of using an inappropriate reference gene for real-time reverse transcription PCR data normalization. Anal. Biochem. 2005, 344, 141–143. [Google Scholar] [CrossRef]
- Bustin, S.; Benes, V.; Garson, J.A.; Hellemans, J.; Huggett, J.; Kubista, M.; Mueller, R.; Nolan, T.; Pfaffl, M.; Shipley, G.L.; et al. The MIQE Guidelines: Minimum Information for Publication of Quantitative Real-Time PCR Experiments. Clin. Chem. 2009, 55, 611–622. [Google Scholar] [CrossRef]
- Joseph, J.T.; Poolakkalody, N.J.; Shah, J.M. Plant reference genes for development and stress response studies. J. Biosci. 2018, 43, 173–187. [Google Scholar] [CrossRef]
- Su, M.; Li, X.-F.; Ma, X.-Y.; Peng, X.; Zhao, A.-G.; Cheng, L.; Chen, S.; Liu, G. Cloning two P5CS genes from bioenergy sorghum and their expression profiles under abiotic stresses and MeJA treatment. Plant Sci. 2011, 181, 652–659. [Google Scholar] [CrossRef]
- Rai, A.N.; Suprasanna, P. Molecular evolution of plant P5CS gene involved in proline biosynthesis. Mol. Boil. Rep. 2013, 40, 6429–6435. [Google Scholar] [CrossRef]
- Xia, Y.; Li, R.; Bai, G.; Siddique, K.H.M.; Varshney, R.K.; Baum, M.; Yan, G.; Guo, P. Genetic variations of HvP5CS1 and their association with drought tolerance related traits in barley (Hordeum vulgare L.). Sci. Rep. 2017, 7, 7870. [Google Scholar] [CrossRef] [PubMed]
- Székelyg, G.; Ábrahám, E.; Cséplo, Á.; Rigó, G.; Zsigmond, L.; Csiszar, J.; Ayaydin, F.; Strizhov, N.; Jasik, J.; Schmelzer, E.; et al. DuplicatedP5CSgenes of Arabidopsis play distinct roles in stress regulation and developmental control of proline biosynthesis. Plant J. 2008, 53, 11–28. [Google Scholar] [CrossRef]
- Cao, S.; Ye, M.; Jiang, S. Involvement of GIGANTEA gene in the regulation of the cold stress response in Arabidopsis. Plant Cell Rep. 2005, 24, 683–690. [Google Scholar] [CrossRef]
- Du, Y.-L.; Wang, Z.-Y.; Fan, J.-W.; Turner, N.C.; He, J.; Wang, T.; Li, F.-M. Exogenous abscisic acid reduces water loss and improves antioxidant defence, desiccation tolerance and transpiration efficiency in two spring wheat cultivars subjected to a soil water deficit. Funct. Plant Boil. 2013, 40, 494. [Google Scholar] [CrossRef]
- Khadri, M.; Tejera, N.; Lluch, C. Sodium chloride–ABA interaction in two common bean (Phaseolus vulgaris) cultivars differing in salinity tolerance. Environ. Exp. Bot. 2007, 60, 211–218. [Google Scholar] [CrossRef]
- Kobayashi, F.; Takumi, S.; Nakamura, C. Increased freezing tolerance in an ABA-hypersensitive mutant of common wheat. J. Plant Physiol. 2008, 165, 224–232. [Google Scholar] [CrossRef]
- Nakashima, K.; Yamaguchi-Shinozaki, K. ABA signaling in stress-response and seed development. Plant Cell Rep. 2013, 32, 959–970. [Google Scholar] [CrossRef]
- Maksup, S.; Supaibulwatana, K.; Selvaraj, G. High-quality reference genes for quantifying the transcriptional responses of Oryza sativa L. (ssp. indica and japonica) to abiotic stress conditions. Chin. Sci. Bull. 2013, 58, 1919–1930. [Google Scholar] [CrossRef]
- Manoli, A.; Sturaro, A.; Trevisan, S.; Quaggiotti, S.; Nonis, A. Evaluation of candidate reference genes for qPCR in maize. J. Plant Physiol. 2012, 169, 807–815. [Google Scholar] [CrossRef]
- Le, D.T.; Aldrich, D.L.; Valliyodan, B.; Watanabe, Y.; Van Ha, C.; Nishiyama, R.; Guttikonda, S.K.; Quach, T.N.; Gutierrez-Gonzalez, J.J.; Tran, L.S.P.; et al. Evaluation of candidate reference genes for normalization of quantitative RT-PCR in soybean tissues under various abiotic stress conditions. PLoS ONE 2012, 7, e0046487. [Google Scholar] [CrossRef]
- Ma, S.; Niu, H.; Liu, C.; Zhang, J.; Hou, C.; Wang, N. Expression Stabilities of Candidate Reference Genes for RT-qPCR under Different Stress Conditions in Soybean. PLoS ONE 2013, 8, e75271. [Google Scholar] [CrossRef]
- Tian, C.; Jiang, Q.; Wang, F.; Wang, G.-L.; Xiong, A.-S.; Xiong, A.-S. Selection of Suitable Reference Genes for qPCR Normalization under Abiotic Stresses and Hormone Stimuli in Carrot Leaves. PLoS ONE 2015, 10, e0117569. [Google Scholar] [CrossRef]
- Wang, M.; Lu, S. Validation of Suitable Reference Genes for Quantitative Gene Expression Analysis in Panax ginseng. Front. Plant Sci. 2016, 6, 5245. [Google Scholar] [CrossRef]
- Chang, E.; Shi, S.; Liu, J.; Cheng, T.; Xue, L.; Yang, X.; Yang, W.; Lan, Q.; Jiang, Z. Selection of Reference Genes for Quantitative Gene Expression Studies in Platycladus orientalis (Cupressaceae) Using Real-Time PCR. PLoS ONE 2012, 7, e33278. [Google Scholar] [CrossRef]
- Narancio, R.; John, U.; Mason, J.; Spangenberg, G. Selection of optimal reference genes for quantitative RT-PCR transcript abundance analysis in white clover (Trifolium repens L.). Funct. Plant Boil. 2018, 45, 737–744. [Google Scholar] [CrossRef]
- Hong, S.-Y.; Seo, P.J.; Yang, M.-S.; Liu, Z.; Park, C.-M. Exploring valid reference genes for gene expression studies in Brachypodium distachyon by real-time PCR. BMC Plant Boil. 2008, 8, 112. [Google Scholar] [CrossRef]
- Czechowski, T.; Stitt, M.; Altmann, T.; Udvardi, M.K.; Scheible, W.-R. Genome-Wide Identification and Testing of Superior Reference Genes for Transcript Normalization in Arabidopsis. Plant Physiol. 2005, 139, 5–17. [Google Scholar] [CrossRef]
- Cao, J.; Wang, L.; Lan, H. Validation of reference genes for quantitative RT-PCR normalization in Suaeda aralocaspica, an annual halophyte with heteromorphism and C4 pathway without Kranz anatomy. PeerJ 2016, 4, 1697. [Google Scholar] [CrossRef]
- Gong, B.; Radulovic, M.; Figueiredo-Pereira, M.E.; Cardozo, C.P. The Ubiquitin-Proteasome System: Potential Therapeutic Targets for Alzheimer’s Disease and Spinal Cord Injury. Front. Mol. Neurosci. 2016, 9, 3. [Google Scholar] [CrossRef]
- Liu, J.; Wang, Q.; Sun, M.; Zhu, L.; Yang, M.; Zhao, Y. Selection of Reference Genes for Quantitative Real-Time PCR Normalization in Panax ginseng at Different Stages of Growth and in Different Organs. PLoS ONE 2014, 9, e112177. [Google Scholar] [CrossRef]
- Zhang, X.; Ding, L.; Sandford, A.J. Selection of reference genes for gene expression studies in human neutrophils by real-time PCR. BMC Mol. Boil. 2005, 6, 4. [Google Scholar] [CrossRef]
- Nygard, A.-B.; Jorgensen, C.B.; Cirera, S.; Fredholm, M. Selection of reference genes for gene expression studies in pig tissues using SYBR green qPCR. BMC Mol. Boil. 2007, 8, 67. [Google Scholar] [CrossRef]
- Brinkhof, B.; Spee, B.; Rothuizen, J.; Penning, L.C. Development and evaluation of canine reference genes for accurate quantification of gene expression. Anal. Biochem. 2006, 356, 36–43. [Google Scholar] [CrossRef]
- Sikand, K.; Singh, J.; Ebron, J.S.; Shukla, G. Housekeeping Gene Selection Advisory: Glyceraldehyde-3-Phosphate Dehydrogenase (GAPDH) and β-Actin Are Targets of miR-644a. PLoS ONE 2012, 7, e47510. [Google Scholar] [CrossRef] [PubMed]
- Borges, A.; Tsai, S.M.; Caldas, D.G.G. Validation of reference genes for RT-qPCR normalization in common bean during biotic and abiotic stresses. Plant Cell Rep. 2011, 31, 827–838. [Google Scholar] [CrossRef]
- Chi, X.; Hu, R.; Yang, Q.; Zhang, X.; Pan, L.; Chen, N.; Chen, M.; Yang, Z.; Wang, T.; He, Y.; et al. Validation of reference genes for gene expression studies in peanut by quantitative real-time RT-PCR. Mol. Genet. Genom. 2011, 287, 167–176. [Google Scholar] [CrossRef]
- Han, B.; Yang, Z.; Samma, M.K.; Wang, R.; Shen, W. Systematic validation of candidate reference genes for qRT-PCR normalization under iron deficiency in Arabidopsis. BioMetals 2013, 26, 403–413. [Google Scholar] [CrossRef]
- Reid, K.E.; Olsson, N.; Schlosser, J.; Peng, F.; Lund, S.T. An optimized grapevine RNA isolation procedure and statistical determination of reference genes for real-time RT-PCR during berry development. BMC Plant Boil. 2006, 6, 27. [Google Scholar] [CrossRef]
- Brunner, A.M.; Yakovlev, I.; Strauss, S.H. Validating internal controls for quantitative plant gene expression studies. BMC Plant Boil. 2004, 4, 14. [Google Scholar] [CrossRef]
- Yun, T.; Li, J.; Zu, Y.; Zhou, A.; Zong, D.; Wang, S.; Li, D.; He, C. Selection of reference genes for RT-qPCR analysis in the bark of Populus yunnanensis cuttings. J. Environ. Boil. 2019, 40, 584–591. [Google Scholar] [CrossRef]
- Scholtz, J.J.; Visser, B. Reference gene selection for qPCR gene expression analysis of rust-infected wheat. Physiol. Mol. Plant Pathol. 2013, 81, 22–25. [Google Scholar] [CrossRef]
- Lin, Y.; Zhang, C.; Lan, H.; Gao, S.; Liu, H.; Liu, J.; Cao, M.; Pan, G.; Rong, T.; Zhang, S.-Z. Validation of Potential Reference Genes for qPCR in Maize across Abiotic Stresses, Hormone Treatments, and Tissue Types. PLoS ONE 2014, 9, e95445. [Google Scholar] [CrossRef] [PubMed]
- Abrahám, E.; Rigó, G.; Székely, G.; Nagy, R.; Koncz, C.; Szabados, L. Light-dependent induction of proline biosynthesis by abscisic acid and salt stress is inhibited by brassinosteroid in Arabidopsis. Plant Mol. Boil. 2003, 51, 363–372. [Google Scholar] [CrossRef] [PubMed]






| Gene Symbol | Accession Number | Gene Name | Primer Sequence (5′–3′) | Amplicon Size (bp) | Amplification Efficiency (E) | Correlation Coefficient (R2) |
|---|---|---|---|---|---|---|
| Reference Genes | ||||||
| ACT7 | MN872586 | Actin7 | ATGGAACTGGAATGGTGAAGGCTGG | 187 | 1.85 | 0.9971 |
| CCGTGCTCAATGGGGTATTTCAAGGTC | ||||||
| TUA2 | MN872587 | Tubin alpha 2 | TTCAAGTCGGAAATGCCTGCTGGGAAC | 263 | 1.90 | 0.9968 |
| GTTGGCAGCATCTTCCTTGCCGC | ||||||
| TUB3 | MN872588 | Tubulin beta chain 3 | ATGAGGGAAATCCTTCACATTCAAGGAGG | 212 | 1.99 | 0.9927 |
| CCAGGCTCAAGATCCATAAGCACAGC | ||||||
| GAPDH | MN872589 | Glyceraldehyde 3-phosphate dehydrogenase | GGAAGCACGGAGATATCAA | 187 | 2.08 | 0.9936 |
| ACCACCCTTCAAATGAGCA | ||||||
| UBQ10 | MN872590 | Polyubiquitin | GGAGTCAACCCTTCACTTGGTGC | 253 | 1.97 | 0.9925 |
| GAGGACAAGGTGAAGGGTGGACTCC | ||||||
| EF1-α | MN872591 | Elongation factor 1-alpha | CACTGGTCACTTGATCTACAAGCTTG | 200 | 1.82 | 0.998 |
| TGACAGTGCAGTAGTACCTGG | ||||||
| SAND | MN872592 | SAND family | ATGTCCTCATCCGATTCCAACTCCTC | 240 | 2.00 | 0.9963 |
| CACGACACTCCTGACGAGGCC | ||||||
| 60S rRNA | MN872593 | 60S acidic ribosomal protein P0-A | CTTCAGCCCTGAGGTGCTGGACC | 276 | 2.05 | 0.9959 |
| GCACCCCCAGAAGCAGCAGC | ||||||
| PP2A | MN872594 | Protein phosphatase | CAGCTAAGGTTAAACTCAATCCGTAGAC | 226 | 1.98 | 0.9935 |
| CCTCGACAGTGCAAAGAGTCTCC | ||||||
| CYP2 | MN872595 | Cyclophilin | ATTGGCAAGATGAAAGCAGGTAGGATTG | 234 | 1.99 | 0.9986 |
| CTTTGCGCCATAGATTGATTCTCCTC | ||||||
| F-box | MN872596 | F-box family protein | GGGGCTGGAATCAGTGGGAG | 162 | 2.01 | 0.9918 |
| GCAGAAAGATCAAGATCTTGACGGC | ||||||
| RPL24 | MN872597 | 60S ribosomal protein L24 | CCTCGACTGTATACCCGGGGC | 225 | 1.99 | 0.9996 |
| GATTCCTATCATATCTCTCAGGCC | ||||||
| RPL25 | MN872598 | Large subunit ribosomal protein L23Ae | GGCTGATGCAAAGACACAGGCAC | 134 | 1.94 | 0.9985 |
| GGTTCCTTTCCTTCTTCAATGTCCTGG | ||||||
| UBC | MN872599 | Ubiquitin-protein ligase | GTCAACCCCAGCCAGGAAGAGG | 160 | 1.99 | 0.9974 |
| CTTAAACGTCCCTCCATCCCATGG | ||||||
| Target Genes | ||||||
| P5CS2 | MN872600 | Delta1-pyrroline-5-carboxylate synthase 1 | CACGGATCCTTCTCGTGGTT | 247 | 1.99 | 0.9991 |
| TTTTTGGAGATCGGCGAAGC | ||||||
| GI | MN872601 | GIGANTEA protein | GCAGCCCTCCATTTGCTTCT | 178 | 1.97 | 0.9942 |
| TTGCCATCACTGCTGCTTCT | ||||||
| Rank | Drought | ABA | Cold | High Salinity | ||||
|---|---|---|---|---|---|---|---|---|
| Gene Name | M | Gene Name | M | Gene Name | M | Gene Name | M | |
| 1 | UBQ10 | 0.30 | RPL24 | 0.22 | TUB3 | 0.36 | TUA2 | 0.54 |
| 2 | ACT7 | 0.30 | ACT7 | 0.22 | EF1-α | 0.36 | RPL24” | 0.54 |
| 3 | RPL24 | 0.31 | 60S rRNA | 0.33 | UBC | 0.40 | ACT7 | 0.60 |
| 4 | RPL25 | 0.40 | UBC | 0.36 | SAND | 0.50 | 60S rRNA | 0.68 |
| 5 | 60S rRNA | 0.43 | UBQ10 | 0.40 | TUA2 | 0.56 | EF1-α | 0.77 |
| 6 | GAPDH | 0.49 | GAPDH | 0.49 | 60S rRNA | 0.62 | TUB3 | 0.81 |
| 7 | EF1-α | 0.54 | RPL25 | 0.54 | RPL25 | 0.98 | RPL25 | 0.85 |
| 8 | TUB3 | 0.58 | SAND | 0.58 | ACT7 | 1.17 | UBQ10 | 0.93 |
| 9 | CYP2 | 0.64 | TUB3 | 0.62 | RPL24 | 1.28 | GAPDH | 0.99 |
| 10 | PP2A | 0.69 | EF1-α | 0.66 | GAPDH | 1.40 | UBC | 1.04 |
| 11 | SAND | 0.72 | CYP2 | 0.70 | UBQ10 | 1.50 | F-box | 1.10 |
| 12 | UBC | 0.78 | PP2A | 0.76 | PP2A | 1.63 | CYP2 | 1.15 |
| 13 | TUA2 | 0.83 | TUA2 | 0.84 | CYP2 | 1.75 | SAND | 1.21 |
| 14 | F-box | 0.88 | F-box | 0.94 | F-box | 1.88 | PP2A | 1.28 |
| Rank | Drought | ABA | Cold | High Salinity | ||||
|---|---|---|---|---|---|---|---|---|
| Gene Name | SV 1 | Gene Name | SV | Gene Name | SV | Gene Name | SV | |
| 1 | UBQ10 | 0.08 | UBQ10 | 0.05 | UBQ10 | 0.12 | 60S rRNA | 0.15 |
| 2 | ACT7 | 0.10 | RPL24 | 0.12 | TUB3 | 0.14 | RPL25 | 0.17 |
| 3 | RPL24 | 0.10 | ACT7 | 0.12 | SAND | 0.16 | UBQ10 | 0.17 |
| 4 | GAPDH | 0.19 | 60S rRNA | 0.13 | UBC | 0.17 | ACT7 | 0.19 |
| 5 | 60S rRNA | 0.19 | UBC | 0.17 | EF1-α | 0.18 | RPL24 | 0.22 |
| 6 | TUB3 | 0.20 | SAND | 0.19 | TUA2 | 0.20 | UBC | 0.23 |
| 7 | EF1-α | 0.20 | TUB3 | 0.20 | 60S rRNA | 0.21 | EF1-α | 0.25 |
| 8 | RPL25 | 0.22 | EF1-α | 0.20 | GAPDH | 0.24 | TUB3 | 0.25 |
| 9 | TUA2 | 0.23 | GAPDH | 0.23 | RPL25 | 0.24 | SAND | 0.28 |
| 10 | CYP2 | 0.24 | RPL25 | 0.25 | RPL24 | 0.26 | TUA2 | 0.28 |
| 11 | UBC | 0.25 | TUA2 | 0.25 | ACT7 | 0.27 | GAPDH | 0.31 |
| 12 | F-box | 0.26 | CYP2 | 0.28 | F-box | 0.34 | CYP2 | 0.32 |
| 13 | SAND | 0.27 | PP2A | 0.33 | PP2A | 0.35 | F-box | 0.32 |
| 14 | PP2A | 0.28 | F-box | 0.43 | CYP2 | 0.40 | PP2A | 0.39 |
| Rank | Drought | ABA | Cold | High Salinity | ||||||||
|---|---|---|---|---|---|---|---|---|---|---|---|---|
| Gene Name | SD 1 | CV 2 | Gene Name | SD | CV | Gene Name | SD | CV | Gene Name | SD | CV | |
| 1 | UBQ10 | 0.21 | 1.28 | UBQ10 | 0.28 | 1.75 | UBQ10 | 0.30 | 1.86 | UBQ10 | 0.39 | 2.49 |
| 2 | GAPDH | 0.34 | 1.65 | SAND | 0.41 | 1.55 | SAND | 0.70 | 2.42 | UBC | 0.42 | 2.26 |
| 3 | RPL24 | 0.45 | 1.85 | CYP2 | 0.42 | 1.80 | GAPDH | 0.79 | 3.30 | GAPDH | 0.49 | 2.36 |
| 4 | RPL25 | 0.53 | 2.39 | F-box | 0.50 | 2.10 | CYP2 | 0.94 | 3.56 | F-box | 0.55 | 2.33 |
| 5 | 60S rRNA | 0.56 | 2.61 | ACT7 | 0.55 | 2.85 | F-box | 1.26 | 4.46 | SAND | 0.58 | 2.22 |
| 6 | UBC | 0.59 | 2.93 | GAPDH | 0.55 | 2.56 | PP2A | 1.16 | 5.08 | CYP2 | 0.58 | 2.50 |
| 7 | ACT7 | 0.60 | 2.99 | RPL24 | 0.55 | 2.35 | 60S rRNA | 1.27 | 5.68 | EF1-α | 0.83 | 4.58 |
| 8 | PP2A | 0.63 | 3.63 | 60S rRNA | 0.62 | 3.04 | TUB3 | 1.47 | 6.23 | 60S rRNA | 0.84 | 4.17 |
| 9 | EF1-α | 0.64 | 3.30 | RPL25 | 0.74 | 3.52 | RPL24 | 1.75 | 6.71 | RPL24 | 0.92 | 3.80 |
| 10 | SAND | 0.66 | 2.45 | UBC | 0.76 | 3.96 | UBC | 1.41 | 6.77 | PP2A | 0.93 | 5.28 |
| 11 | TUB3 | 0.68 | 3.02 | EF1-α | 0.89 | 4.86 | EF1-α | 1.62 | 7.67 | ACT7 | 0.94 | 4.78 |
| 12 | TUA2 | 0.97 | 4.63 | TUB3 | 0.93 | 4.21 | TUA2 | 1.66 | 7.73 | TUA2 | 1.05 | 5.41 |
| 13 | CYP2 | 1.01 | 4.55 | TUA2 | 1.52 | 7.49 | RPL25 | 1.97 | 8.34 | TUB3 | 1.06 | 4.89 |
| 14 | F-box | 1.27 | 5.63 | PP2A | 1.58 | 8.42 | ACT7 | 2.01 | 9.16 | RPL25 | 1.08 | 5.07 |
| Method | 1 | 2 | 3 | 4 | 5 | 6 | 7 | 8 | 9 | 10 | 11 | 12 | 13 | 14 |
|---|---|---|---|---|---|---|---|---|---|---|---|---|---|---|
| A. Ranking order under drought stress | ||||||||||||||
| geNorm | UBQ10 | ACT7 | RPL24 | RPL25 | 60S rRNA | GAPDH | EF1-α | TUB3 | CYP2 | PP2A | SAND | UBC | TUA2 | F-box |
| NormFinder | UBQ10 | ACT7 | RPL24 | GAPDH | 60S rRNA | TUB3 | EF1-α | RPL25 | TUA2 | CYP2 | UBC | F-box | SAND | PP2A |
| BestKeeper | UBQ10 | GAPDH | RPL24 | RPL25 | 60S rRNA | UBC | ACT7 | PP2A | EF1-α | SAND | TUB3 | TUA2 | CYP2 | F-box |
| Comprehensive Ranking | UBQ10 | RPL24 | ACT7 | GAPDH | 60S rRNA | RPL25 | EF1-α | TUB3 | UBC | PP2A | CYP2 | TUA2 | SAND | F-box |
| B. Ranking order under ABA treatment | ||||||||||||||
| geNorm | RPL24 | ACT7 | 60S rRNA | UBC | UBQ10 | GAPDH | RPL25 | SAND | TUB3 | EF1-α | CYP2 | PP2A | TUA2 | F-box |
| NormFinder | UBQ10 | RPL24 | ACT7 | 60S rRNA | UBC | SAND | TUB3 | EF1-α | GAPDH | RPL25 | TUA2 | CYP2 | PP2A | F-box |
| BestKeeper | UBQ10 | SAND | CYP2 | F-box | ACT7 | GAPDH | RPL24 | 60S rRNA | RPL25 | UBC | EF1-α | TUB3 | TUA2 | PP2A |
| Comprehensive Ranking | UBQ10 | RPL24 | ACT7 | 60S rRNA | SAND | UBC | GAPDH | CYP2 | RPL25 | TUB3 | F-box | EF1-α | TUA2 | PP2A |
| C. Ranking order under cold stress | ||||||||||||||
| geNorm | TUB3 | EF1-α | UBC | SAND | TUA2 | 60S rRNA | RPL25 | ACT7 | RPL24 | GAPDH | UBQ10 | PP2A | CYP2 | F-box |
| NormFinder | UBQ10 | TUB3 | SAND | UBC | EF1-α | TUA2 | 60S rRNA | GAPDH | RPL25 | RPL24 | ACT7 | F-box | PP2A | CYP2 |
| BestKeeper | UBQ10 | SAND | GAPDH | CYP2 | F-box | PP2A | 60S rRNA | TUB3 | RPL24 | UBC | EF1-α | TUA2 | RPL25 | ACT7 |
| Comprehensive Ranking | UBQ10 | TUB3 | SAND | EF1-α | UBC | GAPDH | 60S rRNA | TUA2 | CYP2 | RPL24 | RPL25 | F-box | PP2A | ACT7 |
| D. Ranking order under high salinity stress | ||||||||||||||
| geNorm | TUA2 | RPL24” | ACT7 | 60S rRNA | EF1-α | TUB3 | RPL25 | UBQ10 | GAPDH | UBC | F-box | CYP2 | SAND | PP2A |
| NormFinder | 60S rRNA | RPL25 | UBQ10 | ACT7 | RPL24 | UBC | EF1-α | TUB3 | SAND | TUA2 | GAPDH | CYP2 | F-box | PP2A |
| BestKeeper | UBQ10 | UBC | GAPDH | F-box | SAND | CYP2 | EF1-α | 60S rRNA | RPL24 | PP2A | ACT7 | TUA2 | TUB3 | RPL25 |
| Comprehensive Ranking | UBQ10 | 60S rRNA | RPL24” | TUA2 | UBC | ACT7 | RPL25 | EF1-α | GAPDH | F-box | TUB3 | SAND | CYP2 | PP2A |
© 2020 by the authors. Licensee MDPI, Basel, Switzerland. This article is an open access article distributed under the terms and conditions of the Creative Commons Attribution (CC BY) license (http://creativecommons.org/licenses/by/4.0/).
Share and Cite
Wei, M.; Chen, Y.; Zhang, M.; Yang, J.; Lu, H.; Zhang, X.; Li, C. Selection and Validation of Reference Genes for the qRT-PCR Assays of Populus ussuriensis Gene Expression under Abiotic Stresses and Related ABA Treatment. Forests 2020, 11, 476. https://doi.org/10.3390/f11040476
Wei M, Chen Y, Zhang M, Yang J, Lu H, Zhang X, Li C. Selection and Validation of Reference Genes for the qRT-PCR Assays of Populus ussuriensis Gene Expression under Abiotic Stresses and Related ABA Treatment. Forests. 2020; 11(4):476. https://doi.org/10.3390/f11040476
Chicago/Turabian StyleWei, Ming, Yingxi Chen, Mengqiu Zhang, Jingli Yang, Han Lu, Xin Zhang, and Chenghao Li. 2020. "Selection and Validation of Reference Genes for the qRT-PCR Assays of Populus ussuriensis Gene Expression under Abiotic Stresses and Related ABA Treatment" Forests 11, no. 4: 476. https://doi.org/10.3390/f11040476
APA StyleWei, M., Chen, Y., Zhang, M., Yang, J., Lu, H., Zhang, X., & Li, C. (2020). Selection and Validation of Reference Genes for the qRT-PCR Assays of Populus ussuriensis Gene Expression under Abiotic Stresses and Related ABA Treatment. Forests, 11(4), 476. https://doi.org/10.3390/f11040476
