Leaf Structural Carbohydrate Decreased for Pinus thunbergii along Coast–Inland Gradients
Abstract
1. Introduction
2. Material and Methods
2.1. Study Area and Experimental Design
2.2. Sampling and Measurements
2.3. Chemical Analyses
2.4. Data Analysis
3. Results
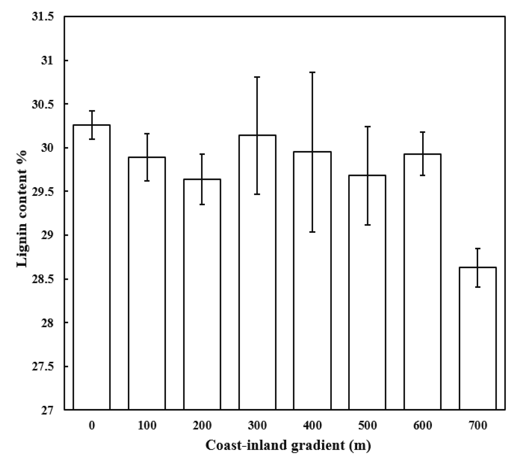
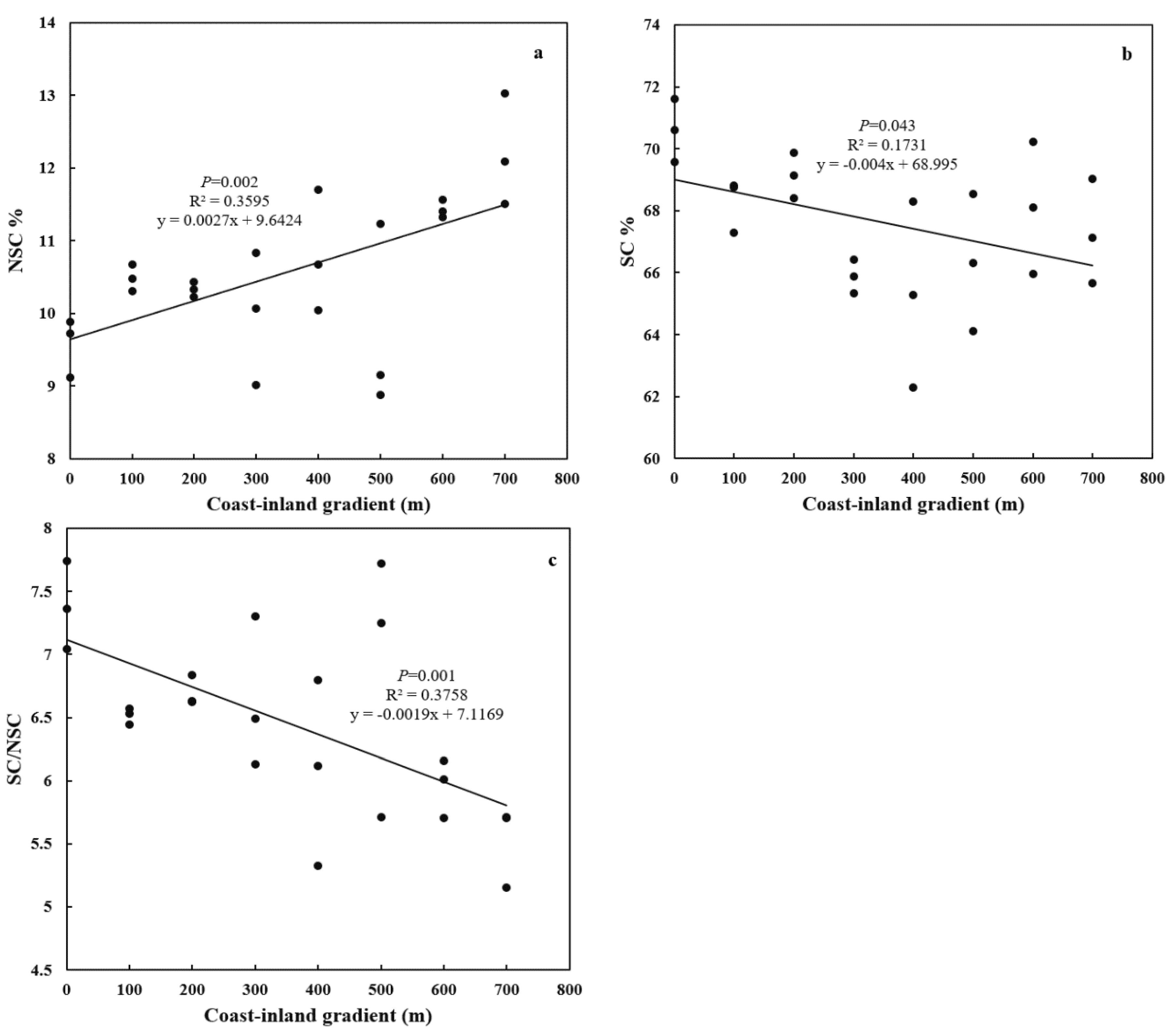
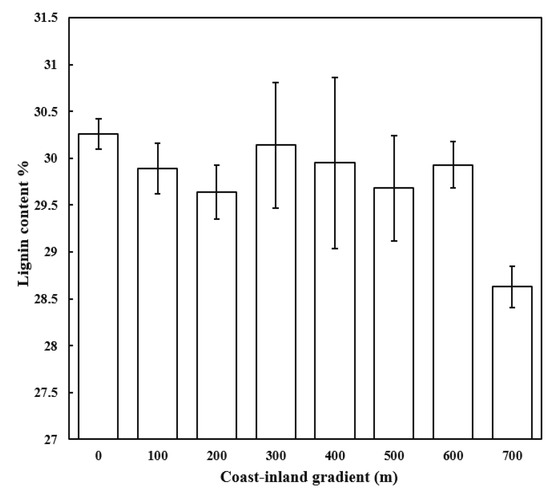
3.1. Leaf Carbohydrate Production and Allocation from Coast to Inland
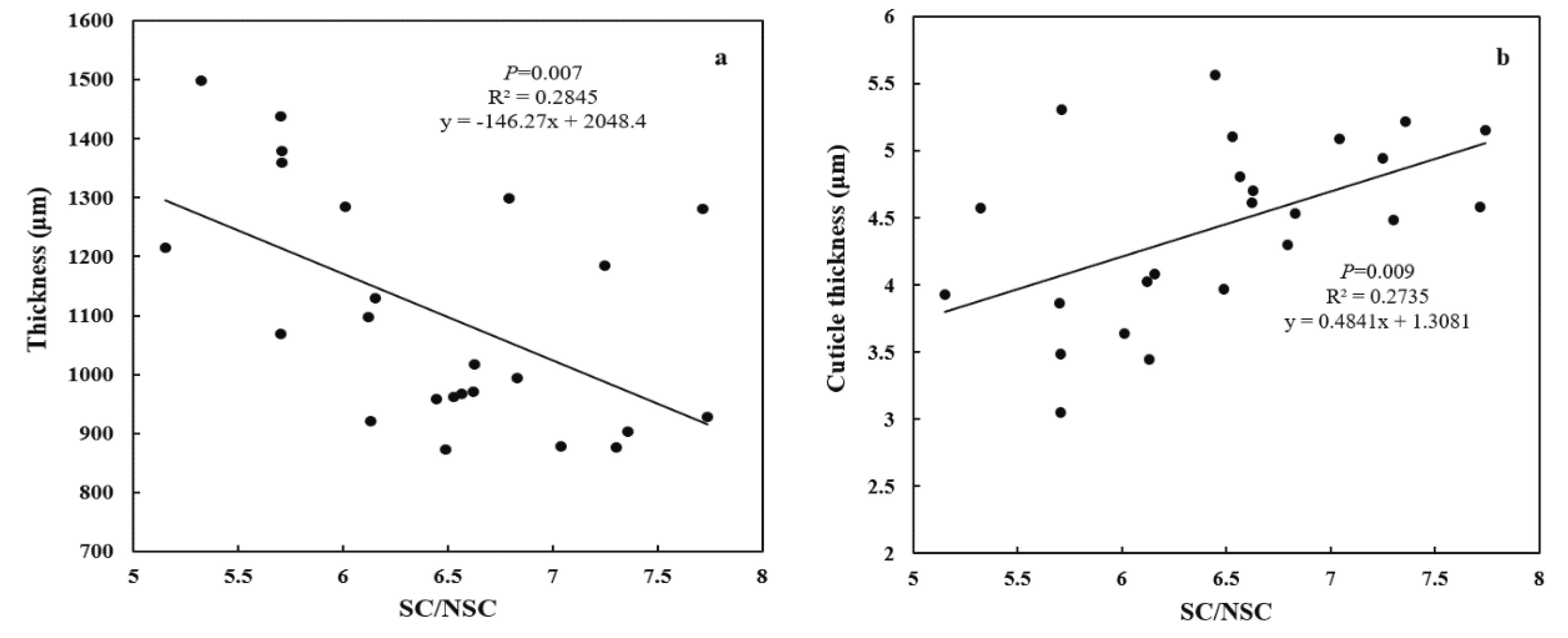
3.2. Leaf Morphology and Anatomy from Coast to Inland
3.3. Effect of Environment on Leaf Traits along Coast-Inland Gradients
4. Discussion
5. Conclusions
Author Contributions
Funding
Acknowledgments
Conflicts of Interest
Appendix A
| Y(II) | SC % | NSC % | SC/NSC | SLA (cm2 g−1) | Thickness (μm) | Epidermal Thickness (μm) | Cuticle Thickness (μm) | |
|---|---|---|---|---|---|---|---|---|
| N | 24 | 24 | 24 | 24 | 24 | 24 | 24 | 24 |
| Mean | 0.68 | 67.61 | 10.57 | 6.46 | 142.71 | 1103.54 | 22.08 | 4.48 |
| Std. deviation | 0.05 | 2.23 | 1.04 | 0.72 | 23.89 | 89.06 | 1.53 | 0.26 |
| Asymp. sig (2-tailed) | 0.20 | 0.19 | 0.20 | 0.31 | 0.28 | 0.34 | 0.23 | 0.20 |


References
- Telewski, F.W. Is windswept tree growth negative thigmotropism? Plant Sci. 2012, 184, 20–28. [Google Scholar] [CrossRef] [PubMed]
- Reis, G.S.M.; de Almeida, A.F.; Mangabeira, P.A.O.; Dos Santos, I.C.; Pirovani, C.P.; Ahnert, D. Mechanical stress caused by wind on leaves of Theobroma cacao: Photosynthetic, molecular, antioxidative and ultrastructural responses. PLoS ONE 2018, 13, e0198274. [Google Scholar] [CrossRef] [PubMed]
- Anten, N.P.R.; Alcalá-Herrera, R.; Schieving, F.; Onoda, Y. Wind and mechanical stimuli differentially affect leaf traits in Plantago major. New Phytol. 2010, 188, 554–564. [Google Scholar] [CrossRef] [PubMed]
- Leblanc-Fournier, N.; Martin, L.; Lenne, C.; Decourteix, M. To respond or not to respond, the recurring question in plant mechanosensitivity. Front. Plant Sci. 2014, 5, 401. [Google Scholar] [CrossRef] [PubMed]
- Schymanski, S.J.; Or, D. Wind increases leaf water use efficiency. Plant Cell Environ. 2016, 39, 1448–1459. [Google Scholar] [CrossRef] [PubMed]
- Zhang, P.; Wang, H.; Wu, Q.; Yu, M.; Wu, T. Effect of wind on the relation of leaf N, P stoichiometry with leaf morphology in Quercus species. Forests 2018, 9, 110. [Google Scholar] [CrossRef]
- Wu, T.; Zhang, P.; Zhang, L.; Wang, G.; Yu, M. Morphological response of eight Quercus species to simulated wind load. PLoS ONE 2016, 11, e0163613. [Google Scholar] [CrossRef]
- Yang, S.J.; Sun, M.; Yang, Q.Y.; Ma, R.Y.; Zhang, J.L.; Zhang, S.B. Two strategies by epiphytic orchids for maintaining water balance: Thick cuticles in leaves and water storage in pseudobulbs. AoB Plants 2016, 8. [Google Scholar] [CrossRef]
- Ingram, G.; Nawrath, C. The roles of the cuticle in plant development: Organ adhesions and beyond. J. Exp. Bot. 2017, 68, 5307–5321. [Google Scholar] [CrossRef]
- Smith, V.C.; Ennos, A.R. The effects of air flow and stem flexure on the mechanical and hydraulic properties of the stems of sunflowers Helianthus annuus L. J. Exp. Bot. 2003, 54, 845–849. [Google Scholar] [CrossRef]
- Huang, P.; Wan, X.; Lieffers, V.J. Daytime and nighttime wind differentially affects hydraulic properties and thigmomorphogenic response of poplar saplings. Physiol. Plant. 2016, 157, 85–94. [Google Scholar] [CrossRef] [PubMed]
- Tang, F.Y.; Wang, T.; Zhu, J.M. Carbohydrate profiles during cotton (Gossypium hirsutum L.) boll development and their relationships to boll characters. Field Crops Res. 2014, 164, 98–106. [Google Scholar] [CrossRef]
- Yang, X.; Zhang, P.; Wu, Q.; Yan, H.; Yu, M.; Wang, G.; Wu, T. Effects of simulated wind load on leaf photosynthesis and carbohydrate allocation in eight Quercus species. J. Biobased Mater. Bioenergy 2017, 11, 652–657. [Google Scholar] [CrossRef]
- Barbehenn, R.V.; Haugberg, N.; Kochmanski, J.; Menachem, B. Effects of leaf maturity and wind stress on the nutrition of the generalist caterpillar Lymantria dispar feeding on poplar. Physiol. Entomol. 2015, 40, 212–222. [Google Scholar] [CrossRef]
- Godin, B.; Agneessens, R.; Gerin, P.A.; Delcarte, J. Composition of structural carbohydrates in biomass: Precision of a liquid chromatography method using a neutral detergent extraction and a charged aerosol detector. Talanta 2011, 85, 2014–2026. [Google Scholar] [CrossRef] [PubMed]
- Griffiths, J.S.; North, H.M. Sticking to cellulose: Exploiting Arabidopsis seed coat mucilage to understand cellulose biosynthesis and cell wall polysaccharide interactions. New Phytol. 2017, 214, 959–966. [Google Scholar] [CrossRef] [PubMed]
- Dong, Y.; Wang, Z.; Wu, T.; Yu, M.; Cheng, X.; Duan, X. Temporal and special distribution of wind in coastal area, Shanghai. Resour. Environ. Yangtze Basin 2013, 22, 40–45, (In Chinese with English abstract). [Google Scholar]
- Jensen, D.D.; Price, T.A.; Nadeau, D.F.; Kingston, J.; Pardyjak, E.R. Coastal Wind and Turbulence Observations during the Morning and Evening Transitions over Tropical Terrain. J. Appl. Meteorol. Climatol. 2017, 56, 3167–3185. [Google Scholar] [CrossRef]
- Gagnon, D.; Bradfield, G.E. Gradient analysis of west central Vancouver Island forests. Can. J. Bot. 1987, 65, 822–833. [Google Scholar] [CrossRef]
- Hesp, P.; Martínez, M.; Ecología, I. Disturbance Processes and Dynamics in Coastal Dunes. In Plant Disturbance Ecology: The Process and the Response; Johnson, E.A., Miyanishi, K., Eds.; Elsevier: Amsterdam, The Netherlands, 2007; pp. 215–247. [Google Scholar] [CrossRef]
- Karlin, M.S. Soil-Plant Relationships in the Sabkhat of America. In Sabkha Ecosystems. Volume V: The Americas; Khan, M.A., Boër, B., Ȫzturk, M., Clüsener-Godt, M., Gul, B., Breckle, S.-W., Eds.; Springer: Berlin/Heidelberg, Germany, 2016; pp. 329–347. [Google Scholar] [CrossRef]
- Both, S.; Riutta, T.; Paine, C.E.T.; Elias, D.M.O.; Cruz, R.S.; Jain, A.; Johnson, D.; Kritzler, U.H.; Kuntz, M.; Majalap-Lee, N.; et al. Logging and soil nutrients independently explain plant trait expression in tropical forests. New Phytol. 2019, 221, 1853–1865. [Google Scholar] [CrossRef]
- Mao, P.; Han, G.; Wang, G.; Yu, J.; Shao, H. Effects of age and stand density of mother trees on early Pinus thunbergii seedling establishment in the coastal zone, China. Sci. World J. 2014, 468036, 1–9. [Google Scholar] [CrossRef]
- Ewane, E.B.; Lee, J.H.; Lee, H.H. Eight-year monitoring of the height growth and survivorship of seedlings of Pinus thunbergii Parl. planted with sand fence and bush hedge protection in a coastal sandy environment in Korea. For. Sci. Technol. 2016, 12, 192–198. [Google Scholar] [CrossRef]
- Zha, T.; Wu, Y.; Jia, X.; Zhang, M.; Bai, Y.; Liu, P.; Ma, J.; Bourque, C.; Peltola, H. Diurnal response of effective quantum yield of PSII photochemistry to irradiance as an indicator of photosynthetic acclimation to stressed environments revealed in a xerophytic species. Ecol. Indic. 2017, 74, 191–197. [Google Scholar] [CrossRef]
- Feng, T.; Chen, S.S.; Gao, D.Q.; Liu, G.Q.; Bai, H.X.; Li, A.; Peng, L.X.; Ren, Z.Y. Selenium improves photosynthesis and protects photosystem II in pear (Pyrus bretschneideri), grape (Vitis vinifera), and peach (Prunus persica). Photosynthetica 2015, 53, 609–612. [Google Scholar] [CrossRef]
- Cornelissen, J.H.C.; Lavorel, S.; Garnier, E.; Díaz, S.; Buchmann, N.; Gurvich, D.E.; Reich, P.B.; Ter Steege, H.; Morgan, H.D.; Heijden, M.G.A.; et al. A handbook of protocols for standardized and easy measurement of plant functional traits worldwide. Aust. J. Bot. 2003, 51, 335–380. [Google Scholar] [CrossRef]
- Sendall, K.M.; Reich, P.B. Variation in leaf and twig CO2 flux as a function of plant size: A comparison of seedlings, saplings and trees. Tree Physiol. 2013, 33, 713–729. [Google Scholar] [CrossRef]
- Dusenge, M.E.; Wallin, G.; Gårdesten, J.; Niyonzima, F.; Adolfsson, L.; Nsabimana, D.; Uddling, J. Photosynthetic capacity of tropical montane tree species in relation to leaf nutrients, successional strategy and growth temperature. Oecologia 2015, 177, 1183–1194. [Google Scholar] [CrossRef]
- Arndt, S.K.; Livesley, S.J.; Merchant, A.; Bleby, T.M.; Grierson, P.F. Quercitol and osmotic adaptation of field-grown Eucalyptus under seasonal drought stress. Plant Cell Environ. 2008, 31, 915–924. [Google Scholar] [CrossRef]
- Hoch, G.; Popp, M.; Körner, C. Altitudinal increase of mobile carbon pools in Pinus cembra suggests sink limitation of growth at the Swiss treeline. Oikos 2002, 98, 361–374. [Google Scholar] [CrossRef]
- Van Soest, P.J.; Wine, R.H. Determination of lignin and cellulose in acid detergent fiber with permanganate. J. Assoc. Off. Agric. Chem. 1968, 51, 780–785. [Google Scholar] [CrossRef]
- Vogel, S. Leaves in the lowest and highest winds: Temperature, force and shape. New Phytol. 2009, 183, 13–26. [Google Scholar] [CrossRef] [PubMed]
- Jaegher, G.D.; Boyer, N.; Gaspar, T. Thigmomorphogenesis in Bryonia dioica: Changes in soluble and wall peroxidases, phenylalanine ammonia-lyase activity, cellulose, lignin content and monomeric constituents. Plant Growth Regul. 1985, 3, 133–148. [Google Scholar] [CrossRef]
- Kang, X.; Kirui, A.; Widanage, M.C.D.; Mentink-Vigier, F.; Cosgrove, D.J.; Wang, T. Lignin-polysaccharide interactions in plant secondary cell walls revealed by solid-state NMR. Nat. Commun. 2019, 10, 347. [Google Scholar] [CrossRef]
- Segado, P.; Domínguez, E.; Heredia, A. Ultrastructure of the epidermal cell wall and cuticle of tomato fruit (Solanum lycopersicum L.) during Development. Plant Physiol. 2016, 170, 935–946. [Google Scholar] [CrossRef]
- Kimmins, J.P. Forest Ecology; Addison-Wesley Press: New York, NY, USA, 2003. [Google Scholar]
- Schoelynck, J.; Bal, K.; Puijalon, S.; Meire, P.; Struyf, E. Hydrodynamically mediated macrophyte silica dynamics. Plant Biol. 2015, 14, 997–1005. [Google Scholar] [CrossRef] [PubMed]








| Samples | Coast-Inland Gradients (m) | Wind Speed (m s−1) | DBH (cm) | H (m) | Canopy (m2) | Salinity (g kg−1) | Soil Organic Carbon (g kg−1) | Soil Total Nitrogen (g kg−1) | Soil Total Phosphorus (g kg−1) |
|---|---|---|---|---|---|---|---|---|---|
| 1 | 0 | 3.69 ± 0.48 | 12.8 ± 1.6 | 6.96 ± 0.83 | 7.49 ± 0.28 | 69.3 ± 6.5 | 31.7 ± 11.4 | 0.73 ± 0.39 | 0.19 ± 0.05 |
| 2 | 100 | 2.80 ± 0.18 | 11.9 ± 1.6 | 7.02 ± 0.20 | 8.74 ± 1.21 | 41.2 ± 22.3 | 23.5 ± 5.3 | 0.44 ± 0.11 | 0.14 ± 0.04 |
| 3 | 200 | 1.62 ± 0.11 | 13.1 ± 1.8 | 7.75 ± 0.75 | 9.81 ± 1.42 | 31.4 ± 4.0 | 14.4 ± 4.2 | 0.17 ± 0.08 | 0.15 ± 0.04 |
| 4 | 300 | 1.12 ± 0.14 | 12.5 ± 1.3 | 7.76 ± 0.72 | 10.7 ± 1.5 | 36.9 ± 11.3 | 17.9 ± 8.9 | 0.22 ± 0.15 | 0.10 ± 0.01 |
| 5 | 400 | 0.93 ± 0.05 | 14.9 ± 1.1 | 7.97 ± 0.41 | 11.8 ± 1.2 | 36.0 ± 4.1 | 13.4 ± 3.2 | 0.24 ± 0.18 | 0.13 ± 0.03 |
| 6 | 500 | 0.68 ± 0.04 | 15.3 ± 0.4 | 8.35 ± 0.44 | 13.9 ± 1.8 | 26.0 ± 3.5 | 12.1 ± 6.2 | 0.20 ± 0.17 | 0.08 ± 0.02 |
| 7 | 600 | 0.54 ± 0.05 | 14.4 ± 3.0 | 8.60 ± 0.23 | 13.6 ± 1.2 | 39.1 ± 19.3 | 17.5 ± 7.4 | 0.29 ± 0.19 | 0.09 ± 0.04 |
| 8 | 700 | 0.55 ± 0.03 | 17.3 ± 0.9 | 9.53 ± 0.90 | 13.0 ± 1.0 | 30.4 ± 10.6 | 23.4 ± 6.7 | 0.37 ± 0.20 | 0.12 ± 0.03 |
| Abbreviations | Traits |
|---|---|
| H | Height |
| DBH | Diameter at breast height |
| Y(II) | Effective quantum yield of Photosystem II |
| SLA | Specific leaf area |
| SC | Structural carbohydrates |
| NSC | Non-structural carbohydrates |
| Full Model (R2) | Wind Speed % | Salinity % | Soil Organic Carbon % | Soil Total Nitrogen % | Soil Total Phosphorus % | |
|---|---|---|---|---|---|---|
| Y(II) | 0.40 | 65 * | 5 | 17 | 6 | 7 |
| SC | 0.50 | 19 ** | 16 ** | 15 ** | 24 | 26 ** |
| NSC | 0.32 | 49 * | 5 | 19 | 21 ** | 6 |
| SC/NSC | 0.42 | 39 ** | 8 | 15 | 27 | 11 |
| SLA | 0.56 | 49 ** | 7 | 3 | 4 | 37 ** |
| Thickness | 0.53 | 51 ** | 8 | 14 | 11 | 16 * |
| Epidermal thickness | 0.74 | 59 ** | 6 | 4 | 3 | 28 ** |
| Cuticle thickness | 0.61 | 69 ** | 7 | 11 | 6 | 6 |
© 2020 by the authors. Licensee MDPI, Basel, Switzerland. This article is an open access article distributed under the terms and conditions of the Creative Commons Attribution (CC BY) license (http://creativecommons.org/licenses/by/4.0/).
Share and Cite
Zhang, P.; Wen, Y.; Wang, L.; Zhang, H.; Wang, G.G.; Wu, T. Leaf Structural Carbohydrate Decreased for Pinus thunbergii along Coast–Inland Gradients. Forests 2020, 11, 449. https://doi.org/10.3390/f11040449
Zhang P, Wen Y, Wang L, Zhang H, Wang GG, Wu T. Leaf Structural Carbohydrate Decreased for Pinus thunbergii along Coast–Inland Gradients. Forests. 2020; 11(4):449. https://doi.org/10.3390/f11040449
Chicago/Turabian StyleZhang, Peng, Yuxiang Wen, Lei Wang, Hui Zhang, G. Geoff Wang, and Tonggui Wu. 2020. "Leaf Structural Carbohydrate Decreased for Pinus thunbergii along Coast–Inland Gradients" Forests 11, no. 4: 449. https://doi.org/10.3390/f11040449
APA StyleZhang, P., Wen, Y., Wang, L., Zhang, H., Wang, G. G., & Wu, T. (2020). Leaf Structural Carbohydrate Decreased for Pinus thunbergii along Coast–Inland Gradients. Forests, 11(4), 449. https://doi.org/10.3390/f11040449

