Thirst or Malnutrition: The Impacts of Invasive Insect Agrilus mali on the Physiological Status of Wild Apple Trees
Abstract
1. Introduction
2. Materials and Methods
2.1. Site Selection
2.2. Field Sampling and Sample Preparation
2.3. Isotopic Analysis
2.4. Mineral Nutrient Analysis
2.5. Statistical Analyses
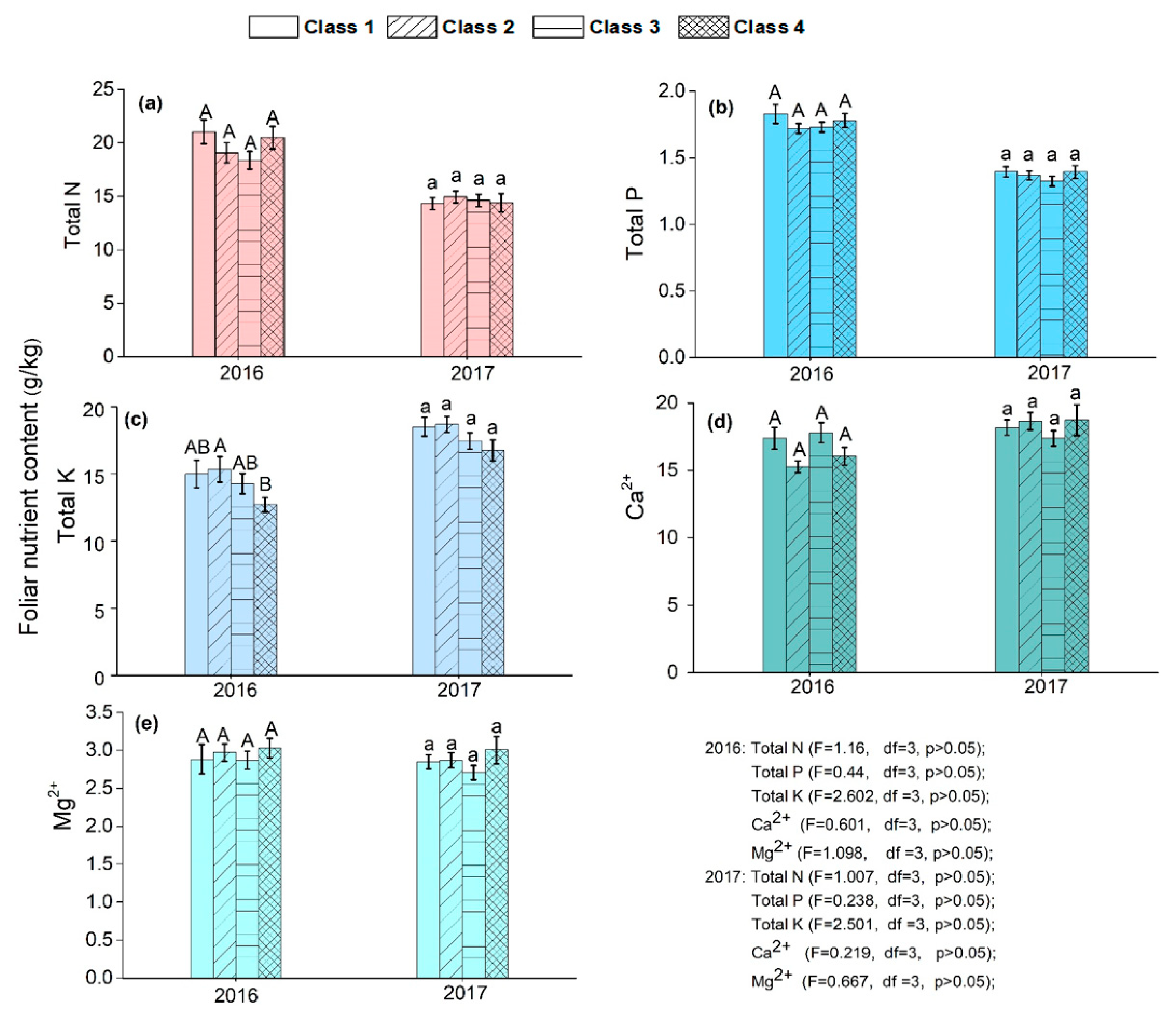
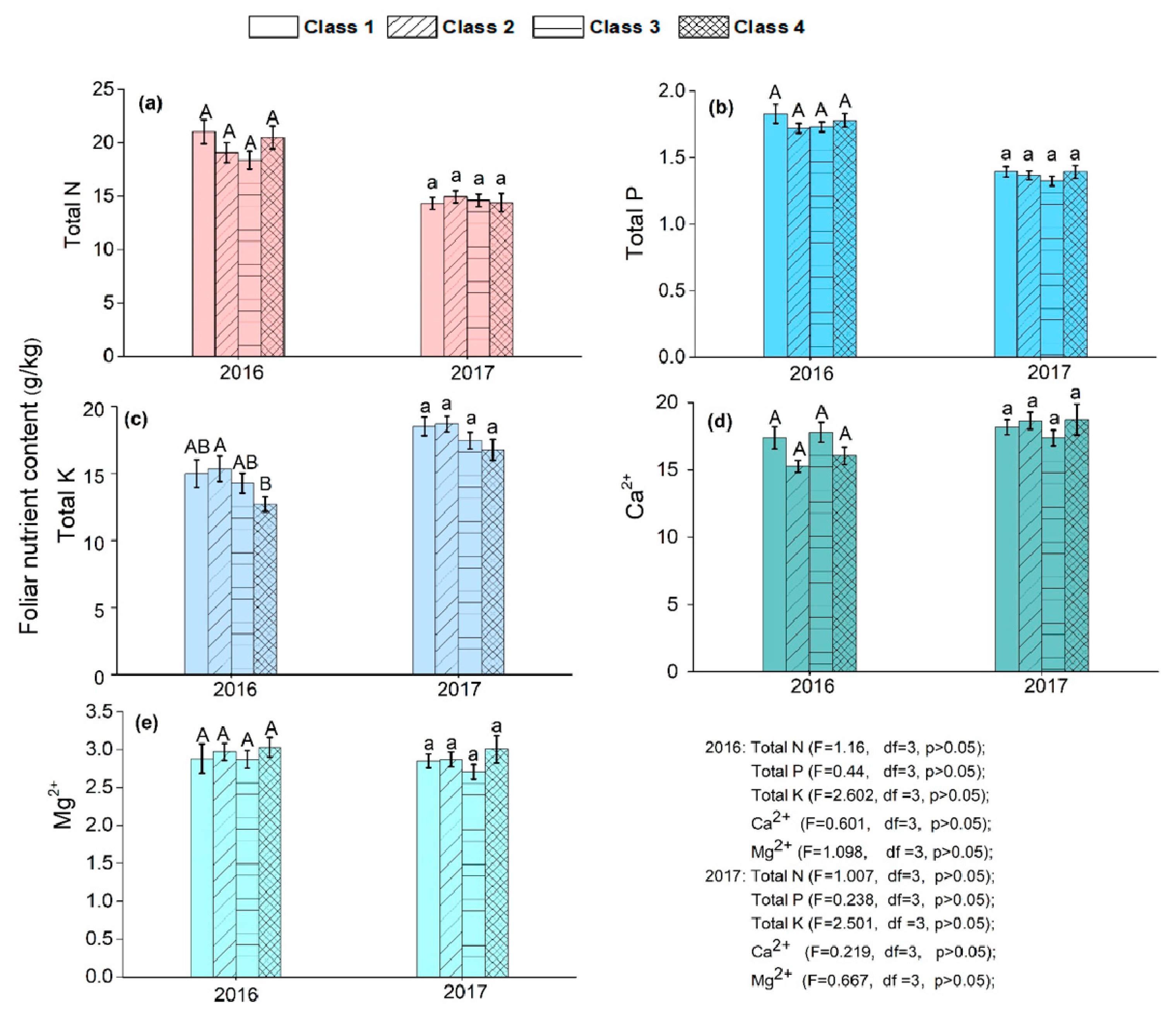
3. Results
4. Discussion
4.1. Tree Dieback and Borer-Induced Water Stress
4.2. Confluent Impacts of Pest Infestation and Drought
4.3. Potential Impacts of Nutrient Deficiency
5. Conclusions
Author Contributions
Funding
Acknowledgments
Conflicts of Interest
References
- Harris, S.A.; Robinson, J.P.; Juniper, B.E. Genetic clues to the origin of the apple. Trends Genet. 2002, 18, 426–430. [Google Scholar] [CrossRef]
- Cornille, A.; Gladieux, P.; Smulders, M.J.; Roldán-Ruiz, I.; Laurens, F.; Le Cam, B.; Nersesyan, A.; Clavel, J.; Olonova, M.; Feugey, L.; et al. New Insight into the History of Domesticated Apple: Secondary Contribution of the European Wild Apple to the Genome of Cultivated Varieties. PLoS Genet. 2012, 8, e1002703. [Google Scholar] [CrossRef] [PubMed]
- Forsline, P.L.; Aldwinckle, H.S.; Dickson, E.E.; Luby, J.J.; Hokanson, S.C. Horticultural Reviews: Wild Apple and Fruit Trees of Central Asia; Wiley: New York, NY, USA, 2010. [Google Scholar]
- Bus, V.G.M.; Laurens, F.N.D.; Van De Weg, W.E.; Rusholme-Pilcher, R.; Rikkerink, E.H.; Gardiner, S.E.; Bassett, H.C.M.; Kodde, L.P.; Plummer, K.M. The Vh8 locus of a new gene-for-gene interaction between Venturia inaequalis and the wild apple Malus sieversii is closely linked to the Vh2 locus in Malus pumila R12740-7A. New Phytol. 2005, 166, 1035–1049. [Google Scholar] [CrossRef] [PubMed]
- Cui, X.N.; Liu, D.G.; Liu, A.H. Research progress in integrated management of Agrilus mali. Plant Prot. 2015, 41, 16–23. [Google Scholar]
- Wang, Z.Y. Research on Biological Control of Agrilus mali Matsumura (Coleoptera: Buprestidae) in Stands of Malus sieversii in Xinjiang. Ph.D. Thesis, Chinese Academy of Forestry, Beijing, China, 2013. [Google Scholar]
- Bozorov, T.A.; Rasulov, B.A.; Zhang, D. Characterization of the gut microbiota of invasive Agrilus mali Matsumara (Coleoptera: Buprestidae) using high-throughput sequencing: Uncovering plant cell-wall degrading bacteria. Sci. Rep. 2019, 9, 4923. [Google Scholar] [CrossRef]
- Cui, Z.-J.; Zhang, Y.-L.; Zhang, X.; Luo, Z.-H.; Zhang, P.; Golec, J.; Poland, T.M.; Zalucki, M.P.; Han, P.; Lu, Z.-Z. Life history and mortality factors of Agrilus mali Matsumura (Coleoptera: Buprestidae) in wild apples in Northwestern China. Agric. For. Entomol. 2019, 21, 309–317. [Google Scholar] [CrossRef]
- Li, M.L.; Zhang, Z.Q. Discussion on biology and life history associated with Agrilus mali Matsumura. J. Northwest For. Univ. 2017, 32, 139–146. [Google Scholar]
- Ritchie, M.E.; Tilman, D.; Knops, J.M.H. Herbivore effects on plant and nitrogen dynamics in oak savanna. Ecology 1998, 79, 165–177. [Google Scholar] [CrossRef]
- Flower, C.E.; Lynch, D.J.; Knight, K.S.; Gonzalez-Meler, M.A. Biotic and abiotic drivers of sap flux in mature green ash trees (Fraxinus pennsylvanica) experiencing varying levels of emerald ash borer (Agrilus planipennis) infestation. Forests 2018, 9, 2–17. [Google Scholar] [CrossRef]
- Huggett, B.A.; Savage, J.; Hao, G.-Y.; Preisser, E.L.; Holbrook, N.M. Impact of hemlock woolly adelgid (Adelges tsugae) infestation on xylem structure and function and leaf physiology in eastern hemlock (Tsuga canadensis). Funct. Plant Boil. 2018, 45, 501. [Google Scholar] [CrossRef]
- Chen, Y.; Whitehill, J.; Bonello, P.; Poland, T. Differential Response in Foliar Chemistry of Three Ash Species to Emerald Ash Borer Adult Feeding. J. Chem. Ecol. 2010, 37, 29–39. [Google Scholar] [CrossRef] [PubMed]
- Katayama, N.; Silva, A.O.; Kishida, O.; Ohgushi, T. Aphids decelerate litter nitrogen mineralisation through changes in litter quality. Ecol. Entomol. 2013, 38, 627–630. [Google Scholar] [CrossRef]
- Xu, L.; Wang, R.; Yu, L.; Wang, T.; Zong, S. Physiological changes of Hippophae rhamnoides ssp. sinensis before and after infested by Eogystia hippophaecolus (Lepidoptera: Cossidae). Orient. Insects 2017, 52, 264–274. [Google Scholar] [CrossRef]
- Lusebrink, I.; Erbilgin, N.; Evenden, M.L. The Effect of Water Limitation on Volatile Emission, Tree Defense Response, and Brood Success of Dendroctonus ponderosae in Two Pine Hosts, Lodgepole, and Jack Pine. Front. Ecol. Evol. 2016, 4, 602. [Google Scholar] [CrossRef]
- Pandey, P.; Irulappan, V.; Bagavathiannan, M.V.; Senthil-Kumar, M. Impact of Combined Abiotic and Biotic Stresses on Plant Growth and Avenues for Crop Improvement by Exploiting Physio-morphological Traits. Front. Plant Sci. 2017, 8, 178. [Google Scholar] [CrossRef]
- Hanks, L.M.; Paine, T.D.; Millar, J.G.; Campbell, C.D.; Schuch, U.K. Water relations of host trees and resistance to the phloem-boring beetle Phoracantha semipunctata F. (Coleoptera: Cerambycidae). Oecologia 1999, 119, 400–407. [Google Scholar] [CrossRef]
- Coleman, T.W.; Grulke, N.E.; Daly, M.; Godinez, C.; Schilling, S.L.; Riggan, P.J.; Seybold, S. Coast live oak, Quercus agrifolia, susceptibility and response to gold spotted oak borer, Agrilus auroguttatus, injury in southern California. For. Ecol. Manag. 2011, 261, 1852–1865. [Google Scholar] [CrossRef]
- Flower, C.E.; Knight, K.S.; Rebbeck, J.; Gonzalez-Meler, M.A. The relationship between the emerald ash borer (Agrilus planipennis) and ash (Fraxinus spp.) tree decline: Using visual canopy condition assessments and leaf isotope measurements to assess pest damage. For. Ecol. Manag. 2013, 303, 143–147. [Google Scholar] [CrossRef]
- Cernusak, L.A.; Ubierna, N.; Winter, K.; Holtum, J.A.; Marshall, J.D.; Farquhar, G.D. Environmental and physiological determinants of carbon isotope discrimination in terrestrial plants. New Phytol. 2013, 200, 950–965. [Google Scholar] [CrossRef]
- Mei, C.; Yan, P.; Maimaiti, A.; Han, L.; Zhang, Y.; Ma, K.; Wang, J. Links between nutrients, secondary metabolites of Xinjiang wild apple and Agrilus mali mats resistance. J. Agric. Sci. Technol. 2018, 20, 26–33. [Google Scholar]
- Peng, B.; Ma, Z.L.; Kader, K.; Shataer, A.; Zhang, Y.M. Effects of main nutrients of wild apple branches on the development of Agrilus mali Matsumura larvae. Xinjiang Agric. Sci. 2019, 56, 1710–1719. [Google Scholar]
- Farquhar, G.D.; Ehleringer, J.R.; Hubick, K.T. Carbon Isotope Discrimination and Photosynthesis. Annu. Rev. Plant Biol. 1989, 40, 503–537. [Google Scholar] [CrossRef]
- Tao, Y.; Zhang, Y.M.; Zhou, X.B. Ecological stoichiometry of surface soil nutrient and its influencing factors in the wild fruit forest in Yili region, Xinjiang, China. Chin. J. Appl. Ecol. 2016, 27, 2239–2248. [Google Scholar]
- Zhang, X.S. On the eco-geographical characters and the problems of classification of the wild fruit-tree in the Yili Valley of Sinkiang. J. Integr. Plant Biol. 1973, 15, 239–253. [Google Scholar]
- Liu, Z.Q.; Chen, W.M.; Zheng, X.U.; Liang, Q.L. Malus Sieverss forest distribution and Agrilus mali Matsumura status of damage in the west part of Tienshan mountains. North. Hortic. 2014, 17, 121–124. [Google Scholar]
- Olbrich, B.W.; Roux, D.L.; Poulter, A.G.; Bond, W.J.; Stock, W.D. Variation in water use efficiency and δ13C levels in Eucalyptus grandis clones. J. Hydrol. 1993, 150, 615–633. [Google Scholar] [CrossRef]
- Cao, X.; Jia, J.; Li, H.; Li, M.; Luo, J.; Liang, Z.; Liu, T.X.; Liu, W.; Peng, C.H.; Luo, Z.B. Photosynthesis, water use efficiency and stable carbon isotope composition are associated with anatomical properties of leaf and xylem in six poplar species. Plant Boil. 2011, 14, 612–620. [Google Scholar] [CrossRef]
- Domec, J.C.; Rivera, L.N.; King, J.S.; Peszlen, I.; Hain, F.; Smith, B.; Frampton, J. Hemlock woolly adelgid (Adelges tsugae) infestation affects water and carbon relations of eastern hemlock (Tsuga canadensis) and Carolina hemlock (Tsuga caroliniana). New Phytol. 2013, 199, 452–463. [Google Scholar] [CrossRef]
- Simard, S.; Elhani, S.; Morin, H.; Krause, C.; Cherubini, P. Carbon and oxygen stable isotopes from tree-rings to identify spruce budworm outbreaks in the boreal forest of Quebec. Chem. Geol. 2008, 252, 80–87. [Google Scholar] [CrossRef]
- Ueda, M.; Shibata, E.; Fukuda, H.; Sano, A.; Waguchi, Y. Girdling and tree death: Lessons from Chamaecyparis pisifera. Can. J. For. Res. 2014, 44, 1133–1137. [Google Scholar] [CrossRef]
- Hodge, E.J.; Richards, D.A.; Smart, P.L.; Andreo, B.; Hoffmann, D.L.; Mattey, D.P.; González-Ramón, A. Effective precipitation in southern Spain (~266 to 46 ka) based on a speleothem stable carbon isotope record. Quat. Res. 2008, 69, 447–457. [Google Scholar] [CrossRef]
- Zdravko, B. Leaf trait variation of a dominant neotropical savanna tree across rainfall and fertility gradients. Acta Oecol. 2011, 37, 455–461. [Google Scholar]
- Zhang, C.J.; Chen, F.H.; Jin, M. Study on modern plant C-13 in western China and its significance. Chin. J. Geochem. 2003, 22, 97–106. [Google Scholar]
- Linares, J.C.; Taïqui, L.; Camarero, J.J. Increasing drought sensitivity and decline of Atlas cedar (Cedrus atlantica) in the Moroccan Middle Atlas forests. Forests 2011, 2, 777–796. [Google Scholar] [CrossRef]
- Singh, J.; Silva, K.J.P.; Fuchs, M.; Khan, A. Potential role of weather, soil and plant microbial communities in rapid decline of apple trees. PLoS ONE 2019, 14, e0213293. [Google Scholar] [CrossRef] [PubMed]
- Schafellner, C.; Berger, R.; Dermutz, A.; Fuhrer, E.; Mattanovich, J. Relationship between foliar chemistry and susceptibility of Norway Spruce (Pinaceae) to Pristiphora abietina (Hymenoptera: Tenthredinidae). Can. Entomol. 1999, 131, 373–385. [Google Scholar] [CrossRef]
- Lind, E.M.; Barbosa, P. The Role of Ecological Stoichiometry in Outbreaks of Insect Herbivores. Insect Outbreaks Revisited; John Wiley and Sons: Hoboken, NJ, USA, 2012; pp. 71–88. [Google Scholar]
- Chaves, M.M.; João, P.M.; João, S.P. Understanding plant responses to drought from genes to the whole plant. Funct. Plant Boil. 2003, 30, 239–264. [Google Scholar] [CrossRef]
- Pontius, J.A.; Hallett, R.A.; Jenkins, J.C. Foliar chemistry linked to infestation and susceptibility to hemlock woolly adelgid (Homoptera: Adelgidae). Environ. Entomol. 2006, 35, 112–120. [Google Scholar] [CrossRef]
- Gómez, S.; Orians, C.M.; Preisser, E.L. Exotic herbivores on a shared native host: Tissue quality after individual, simultaneous, and sequential attack. Oecologia 2012, 169, 1015–1024. [Google Scholar] [CrossRef]




| Damage Ranking | Number of Surveyed Trees | Percentage in Surveyed Population | Number of Samples for Isotope Analysis | Number of Samples for Nutrient Analysis |
|---|---|---|---|---|
| Class 1 | 157 (151) | 32.04 (36.47) | 14 (20) | 47 (51) |
| Class 2 | 129 (107) | 26.33 (25.84) | 20 (20) | 62 (52) |
| Class 3 | 112 (99) | 22.85 (23.91) | 20 (20) | 59 (43) |
| Class 4 | 92 (57) | 18.78 (13.76) | 15 (20) | 46 (27) |
© 2020 by the authors. Licensee MDPI, Basel, Switzerland. This article is an open access article distributed under the terms and conditions of the Creative Commons Attribution (CC BY) license (http://creativecommons.org/licenses/by/4.0/).
Share and Cite
Zhang, P.; Cui, Z.; Xu, H.; Ali, A.; Zhang, X.; Liu, X.; Zhang, Y.; Zhou, X.; Lu, Z. Thirst or Malnutrition: The Impacts of Invasive Insect Agrilus mali on the Physiological Status of Wild Apple Trees. Forests 2020, 11, 440. https://doi.org/10.3390/f11040440
Zhang P, Cui Z, Xu H, Ali A, Zhang X, Liu X, Zhang Y, Zhou X, Lu Z. Thirst or Malnutrition: The Impacts of Invasive Insect Agrilus mali on the Physiological Status of Wild Apple Trees. Forests. 2020; 11(4):440. https://doi.org/10.3390/f11040440
Chicago/Turabian StyleZhang, Ping, Zhijun Cui, Hao Xu, Abid Ali, Xin Zhang, Xiaoxian Liu, Yuanming Zhang, Xiaobing Zhou, and Zhaozhi Lu. 2020. "Thirst or Malnutrition: The Impacts of Invasive Insect Agrilus mali on the Physiological Status of Wild Apple Trees" Forests 11, no. 4: 440. https://doi.org/10.3390/f11040440
APA StyleZhang, P., Cui, Z., Xu, H., Ali, A., Zhang, X., Liu, X., Zhang, Y., Zhou, X., & Lu, Z. (2020). Thirst or Malnutrition: The Impacts of Invasive Insect Agrilus mali on the Physiological Status of Wild Apple Trees. Forests, 11(4), 440. https://doi.org/10.3390/f11040440

