Initial Responses in Growth, Production, and Regeneration following Selection Cuttings in Hardwood-Dominated Temperate Rainforests in Chile
Abstract
1. Introduction
2. Methods
2.1. Study Area
2.2. Experimental Design
2.3. Estimation of Stand Variables
2.4. Statistical Analyses
3. Results
3.1. Diameter Growth
3.2. Ingrowth
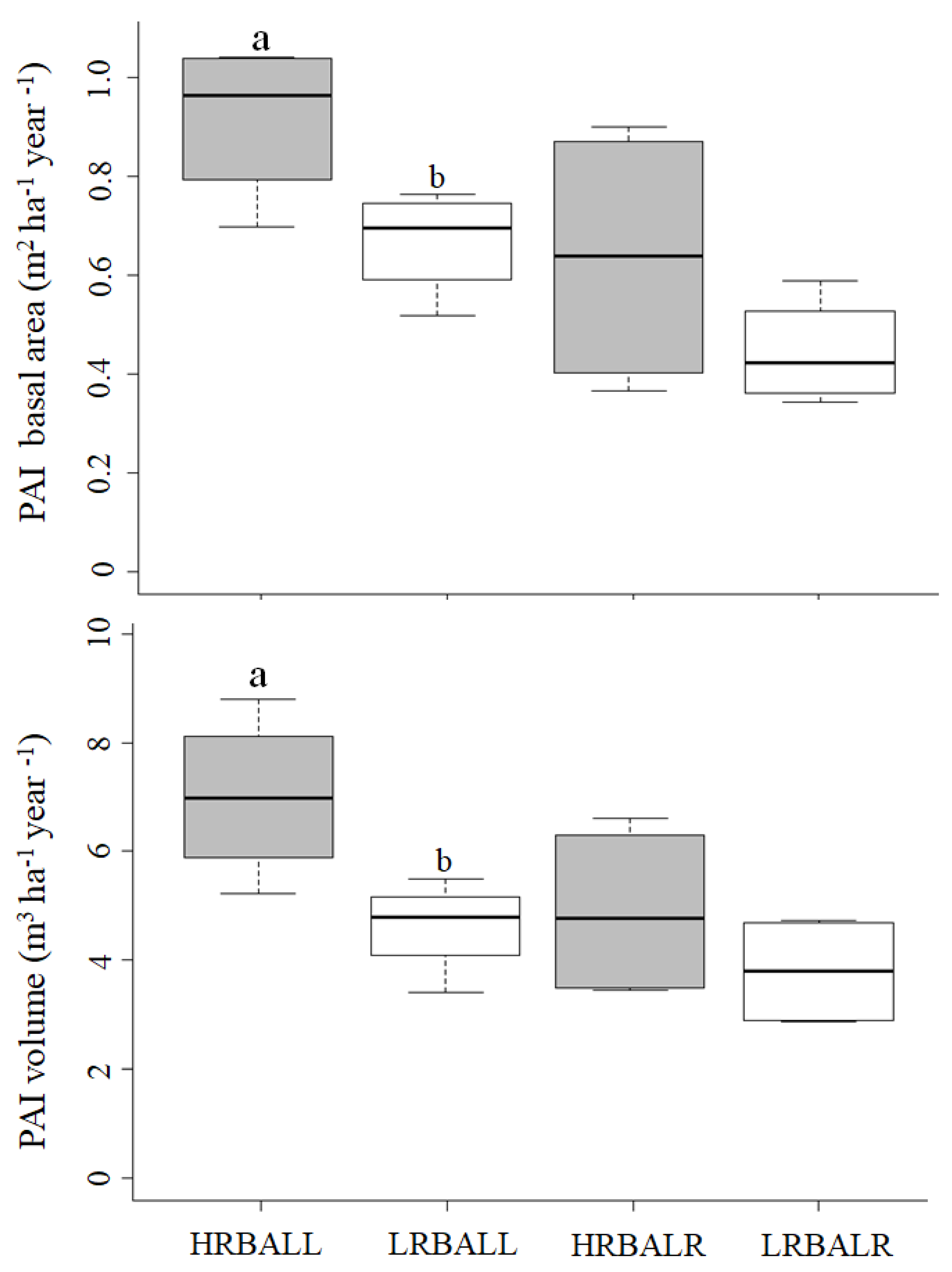
3.3. Growth in Basal Area and Volume
3.4. Regeneration
4. Discussion
4.1. General Response Patterns Following Selection Cuttings in Valdivian Rainforests
4.2. Growth in Stand Variables: Comparisons and Expectations
4.3. Does a Lower Residual Basal Area Promote Mid-Tolerant Species?
4.4. Prospects for Uneven-Aged Management in Valdivian Temperate Rainforests
5. Conclusions
Supplementary Materials
Author Contributions
Funding
Acknowledgments
Conflicts of Interest
References
- O’Hara, K. Multiaged Silviculture: Managing for Complex Forest Stands Structures; Oxford University Press: Oxford, UK, 2014. [Google Scholar]
- Schütz, J.P.; Pukkala, T.; Donoso, P.; von Gadow, K. Historical Emergence and Current Application of CCF. In Continuous Cover Forestry. Book Series Managing Forest Ecosystems; Pukkala, T., Gadow, K.V., Eds.; Springer Science+Business Media B.V.: Berlin/Heidelberg, Germany, 2011; Volume 24, pp. 1–28. [Google Scholar]
- Pommerening, A.; Murphy, S.T. A review of the history, definitions and methods of continuous cover forestry with special attention to afforestation and restocking. Forestry 2004, 77, 27–44. [Google Scholar] [CrossRef]
- Nyland, R.D. Silviculture Concepts and Applications, 3rd ed.; Waveland Press, Inc.: Long Grove, IL, USA, 2016. [Google Scholar]
- Knapp, S.P.; Webster, C.R.; Kern, C.C. Can group selection with legacy retention change compositional trajectories in conventionally managed hardwoods? For. Ecol. Manag. 2019, 448, 174–186. [Google Scholar] [CrossRef]
- Baker, J.B.; Cain, M.D.; Guldin, J.M.; Murphy, P.A.; Shelton, M.G. Uneven-Aged silviculture for the loblolly and shortleaf pine forests cover types. US For. Serv. Gen. Tech. Rep. 1996. [Google Scholar] [CrossRef]
- Prévost, M.; Charette, L. Selection cutting in a yellow birch–Conifer stand, in Quebec, Canada: Comparing the single-Tree and two hybrid methods using different sizes of canopy opening. For. Ecol. Manag. 2015, 357, 195–205. [Google Scholar] [CrossRef]
- Escandón, A.B.; Paula, S.; Rojas, R.; Corcuera, L.J.; Coopman, R.E. Sprouting extends the regeneration niche in temperate rain forests: The case of the long-Lived tree Eucryphia cordifolia. For. Ecol. Manag. 2013, 310, 321–326. [Google Scholar] [CrossRef]
- Tecklin, D.; DellaSala, D.A.; Luebert, F.; Pliscoff, P. Valdivian temperate forests of Chile and Argentina. In Temperate and Boreal Rainforests of the World: Ecology and Conservation; Della, S., Ed.; Island Press: Washington, DC, USA, 2011; pp. 132–153. [Google Scholar]
- Donoso, P.J.; Ponce, D.B.; Pinto, J.B.; Triviño, I.L. Cobertura y regeneración arbórea en bosques siempreverdes en diferentes estados sucesionales en el sitio experimental de Llancahue, cordillera de la costa de Valdivia, centro sur de Chile. Gayana Bot. 2018, 75, 657–662. [Google Scholar] [CrossRef]
- Ponce, D.B.; Donoso, P.J.; Salas-Eljatib, C. Differentiating Structural and Compositional Attributes across Successional Stages in Chilean Temperate Rainforests. Forests 2017, 8, 329. [Google Scholar] [CrossRef]
- Donoso, P.J. Structure and Growth in Coastal Evergreen Forests as the Bases for Uneven-Aged Silviculture in Chile. Ph.D. Thesis, College of Environmental Science and Forestry, State University of New York (SUNY-ESF), Syracuse, NY, USA, 2002; p. 178. [Google Scholar]
- Donoso, C.; Donoso, P.J.; González, M.; Sandoval, V. Los Bosques Siempreverdes; Donoso, C., Lara, A., Eds.; Silvicultura de los Bosques Nativos de Chile. Ed. Universitaria: Santiago, Chile, 1998; pp. 297–339. [Google Scholar]
- Donoso, C. Antecedentes básicos para la silvicultura del tipo forestal siempreverde. Bosque 1989, 10, 37–53. [Google Scholar] [CrossRef]
- Schnabel, F.; Donoso, P.J.; Winter, C. Short-Term effects of single-Tree selection cutting on stand structure and tree species composition in Valdivian rainforests of Chile. N. Z. J. For. Sc. 2017, 47, 21. [Google Scholar] [CrossRef]
- Donoso, P.J.; Nyland, R.D. Seeding density according to structure, dominance and understory cover in old-Growth forest stands of the evergreen forest type in the coastal range of Chile. Rev. Chil. de Hist. Nat. 2005, 78, 51–63. [Google Scholar] [CrossRef]
- Donoso, C. Regeneración y crecimiento en el tipo forestal Siempreverde costero y andino tras distintos tratamientos silviculturales. Bosque 1989, 10, 69–83. [Google Scholar] [CrossRef]
- Donoso, P.J. Crown Index: A canopy balance indicator to assess growth and regeneration in uneven-Aged forest stands of the Coastal Range of Chile. Forestry 2005, 78, 337–351. [Google Scholar] [CrossRef]
- Ponce, D.B.; Donoso, P.J.; Salas-Eljatib, C. Índice de bosque adulto: Una herramienta para evaluar estados de desarrollo de bosques nativos de tierras bajas del centro-sur de Chile. Bosque 2019, 40, 235–240. [Google Scholar] [CrossRef]
- Veblen, T.T. Forest development in tree-Fall gaps in the temperate rain forests of Chile. Natl. Geogr. Res. 1985, 1, 162–183. [Google Scholar]
- Veblen, T.T. Regeneration Dynamics. In Plant Succession: Theory and Prediction; Glenn-Lewin, C., Peet, R.K., Veblen, T.T., Eds.; Chapman and Hall: London, UK, 1992; pp. 153–187. [Google Scholar]
- Donoso, C. Las especies arbóreas de los bosques templados de Chile y Argentina; Autoecología. Marisa Cuneo ediciones: Valdivia, Chile, 2006; p. 678. [Google Scholar]
- Donoso, P.J. Necesidades, opciones y futuro del manejo multietáneo en Chile. In Silvicultura en Bosques Nativos. Avances en la investigación en Chile, Argentina y Nueva Zelandia. Estudios en Silvicultura de Bosques Nativos; Donoso, P.J., Promis, A., Eds.; Marisa Cuneo: Valdivia, Chile, 2013; Volume 1, pp. 55–85. [Google Scholar]
- Di Castri, F.; Hajek, E. Bioclimatología de Chile; Editorial Universidad Católica de Chile: Santiago, Chile, 1976; pp. 11–12. Available online: https://sites.google.com/site/alvaropromis/Home/libro-silvicultura-bosques-nativos (accessed on 14 June 2019).
- Oyarzún, C.; Nahuelhual, L.; Núñez, D. Los servicios ecosistémicos del bosque templado lluvioso: Producción de agua y su valoración económica. Rev. Ambiente Desarro. 2005, 20, 88–95. [Google Scholar]
- Luebert, F.; Pliscoff, P. Bioclimas de la Cordillera de la Costa del centro-sur de Chile. In Historia, biodiversidad y ecología de los bosques costeros de Chile; Smith-Ramírez, C., Armesto, J.Y., Valdovinos, C., Eds.; Editorial Universitaria: Santiago, Chile, 2005; pp. 60–73. [Google Scholar]
- Donoso, P.J.; Frene, C.; Flores, M.; Moorman, M.; Oyarzún, C.; Zavaleta, J. Balancing water supply and old-Growth forest conservation in the lowlands of south-Central Chile through an adaptive co-Management approach. Landsc. Ecol. 2014, 29, 245–260. [Google Scholar] [CrossRef]
- Centro de Información de Recursos Naturales (CIREN). Estudio Agrológico de la X Región; CIREN: Santiago, Chile, 2003. [Google Scholar]
- Pincheira, J.; Rau, J.; Smith, C. Diversidad de plantas trepadoras y epífitas vasculares en un paisaje agroforestal del sur de Chile: Una Comparación entre fragmentos de bosque nativo. Boletín de la Sociedad Argentina de Botánica 2012, 47, 411–426. [Google Scholar]
- Guldin, J.M. Uneven-Aged BDq regulation of Sierra Nevada mixed conifers. West. J. Appl. For. 1991, 6, 27–32. [Google Scholar] [CrossRef]
- Bacardit, P. Evaluación del daño provocado por cortas de selección sobre los árboles residuales en un bosque del Tipo Forestal Siempreverde en Llancahue, provincia de Valdivia. Bachelor’s Thesis, Universidad Austral de Chile, Valdivia, Chile, 2014; p. 56. [Google Scholar]
- Hansen, G.D.; Nyland, R.D. Effects of diameter distribution on the growth of simulated uneven-Aged sugar maple stands. Can. J. For. Res. 1986, 17, 1–8. [Google Scholar] [CrossRef]
- Forget, E.; Nolet, P.; Doyon, F.; Delagrange, S.; Jardon, Y. Ten-Year response of northern hardwood stands to commercial selection cutting in southern Quebec, Canada. For. Ecol. Manag. 2007, 242, 764–775. [Google Scholar] [CrossRef]
- Gutiérrez, A.G.; Armesto, J.J.; Aravena, J.C.; Carmona, M.; Carrasco, N.V.; Christie, D.A.; Peña, M.P.; Pérez, C.; Huth, A. Structural and environmental characterization of old-Growth temperate rainforests of northern Chiloe Island, Chile: Regional and global relevance. For. Ecol. Manag. 2009, 258, 376–388. [Google Scholar] [CrossRef]
- Stage, A.R. A mathematical approach to polymorphic site index curves for grand fir. For. Sci. 1963, 9, 167–180. [Google Scholar]
- Zuur, A.; Ieno, E.; Walker, N.; Saveliev, A.; Smith, G. Mixed Effects Models and Extensions in Ecology with R. North Carolina, USA; Springer: Berlin/Heidelberg, Germany, 2009; p. 589. [Google Scholar]
- R Core Team. R: A Language and Environment for Statistical Computing. R Foundation for Statistical Computing: Vienna, Austria, 2017. Available online: http://www.R-project.org (accessed on 16 December 2019).
- Pinheiro, J.; Bates, D.; Debroy, S.; Sarkar, D.F.; R Core Team. Nlme: Linear and nonlinear mixed effects models. R Package Version 2017, 3, 1–131. [Google Scholar]
- Donoso, P.J.; Soto, D.P.; Bertín, R.A. Size–Density relationships in Drimys winteri secondary forests of the Chiloe Island, Chile: Effects of physiography and species composition. For. Ecol. Manag. 2007, 239, 120–127. [Google Scholar] [CrossRef]
- Kiernan, D.H.; Bevilacqua, E.; Nyland, R.D. Individual-Tree diameter growth model for sugar maple trees in uneven-Aged northern hardwood stands under selection system. For. Ecol. Manag. 2009, 256, 1579–1586. [Google Scholar] [CrossRef]
- Donoso, P.J.; Nyland, R.D.; Zhang, L. Growth of saplings after selection cutting in Northern Hardwood. North. J. Appl. For. 2000, 17, 149–152. [Google Scholar] [CrossRef]
- Zamorano-Elgueta, C.; Cayuela, L.; Rey-Benayas, J.M.; Donoso, P.J.; Geneletti, D.; Hobbs, R. The differential influences of human-Induced disturbances on tree regeneration community: A landscape approach. Ecosphere 2014. [Google Scholar] [CrossRef]
- Kupferschmid, A.D.; Bugmann, H. Timing, light availability and vigour determine the response of Abies alba saplings to leader shoot browsing. Eur. J. For. Res. 2013, 132, 47–60. [Google Scholar] [CrossRef]
- Gustafsson, L.; Bauhus, J.; Asbeck, T.; Derci Augustynczik, A.L.; Basile, M.; Frey, J.; Gutzat, F.; Hanewinkel, M.; Helbach, J.; Jonker, M.; et al. Retention as an integrated biodiversity conservation approach for continuous-Cover forestry in Europe. Ambio 2019. [Google Scholar] [CrossRef]
- Donoso, P.J.; Soto, D.P. Does site quality affect the additive basal area phenomenon? Results from Chilean old-Growth temperate rainforests. Can. J. For. Res. 2016, 46, 1330–1336. [Google Scholar] [CrossRef]







| Seedling Density | Sapling Density | |||||
|---|---|---|---|---|---|---|
| HRBA | LRBA | HRBA | LRBA | |||
| 2013 | 2018 | 2013 | 2018 | 2018 | ||
| Species | ||||||
| Shade-intolerant | ||||||
| Nothofagus dombeyi (Mirb.) Oerst. | 1505 | 1019 | 69 | 116 | 0 | 0 |
| Weinmannia trichosperma Cav. | 46 | 23 | 0 | 0 | 0 | 0 |
| Other species * | 69 | 185 | 209 | 139 | 0 | 0 |
| Sub-total | 1620 | 1227 | 278 | 255 | 0 | 0 |
| Mid-tolerant | ||||||
| Caldcluvia paniculata (Cav.) D. Don | 0 | 0 | 23 | 69 | 0 | 0 |
| Drimys winteri J.R. Forst. & G. Forst. | 2361 | 2477 | 4745 | 8426 | 116 | 347 |
| Eucryphia cordifolia Cav. | 4352 | 4931 | 3171 | 3032 | 46 | 208 |
| Gevuina avellana Molina | 1250 | 1111 | 880 | 1181 | 278 | 324 |
| Podocarpus salignus D. Don | 1528 | 1944 | 1042 | 648 | 46 | 69 |
| Sub-total | 9421 | 10,463 | 9861 | 13,356 | 486 | 948 |
| Shade-tolerant | ||||||
| Aextoxicon punctatum Ruiz et Pav. | 7662 | 9676 | 22,014 | 16,713 | 232 | 370 |
| Amomyrtus luma (Molina) D. Legrand & Kausel | 12,083 | 17,083 | 16,088 | 13,611 | 717 | 1019 |
| Amomyrtus meli (Phil.) D. Legrand & Kausel | 278 | 0 | 995 | 4005 | 0 | 0 |
| Dasyphyllum diacanthoides (Less.) Cabrera | 486 | 787 | 0 | 417 | 0 | 0 |
| Laureliopsis philippiana (Looser) Schodde | 1574 | 1319 | 2269 | 2454 | 486 | 348 |
| Lomatia dentata (R. et P.) R. Br. | 1389 | 1574 | 394 | 486 | 116 | 0 |
| Lomatia ferruginea (Cav.) R. Br. | 3218 | 4931 | 8380 | 7060 | 0 | 185 |
| Myrceugenia planipes (Hook. & Arn.) O. Berg | 1898 | 2662 | 486 | 833 | 116 | 23 |
| Persea lingue (Ruiz & Pav.) Nees | 0 | 255 | 0 | 46 | 0 | 0 |
| Raukaua laetevirens (Gay) Frodin | 394 | 486 | 347 | 509 | 0 | 0 |
| Rhaphithamnus spinosus (Juss.) Moldenke | 1042 | 1157 | 2731 | 2546 | 116 | 93 |
| Saxegothaea conspicua Lindl. | 23 | 46 | 0 | 69 | 0 | 0 |
| Other species ** | 23 | 139 | 0 | 115 | 0 | 0 |
| Sub-total | 30,069 | 40,116 | 53,704 | 48,866 | 1783 | 2038 |
| Seedling Density | Sapling Density | |||||
|---|---|---|---|---|---|---|
| HRBA | LRBA | HRBA | LRBA | |||
| Species | 2013 | 2019 | 2013 | 2019 | 2019 | |
| Shade-intolerant | ||||||
| Embothrium coccineum | 0 | 0 | 0 | 23 | 0 | 0 |
| Weinmannia trichosperma | 0 | 23 | 0 | 0 | 0 | 0 |
| Sub-total | 0 | 23 | 0 | 23 | 0 | 0 |
| Mid-tolerant | ||||||
| Caldcluvia paniculata | 116 | 162 | 162 | 93 | 116 | 93 |
| Eucryphia cordifolia | 3125 | 3588 | 2500 | 2963 | 1319 | 1667 |
| Gevuina avellana | 1065 | 1806 | 880 | 1227 | 810 | 486 |
| Sub-total | 4306 | 5556 | 3542 | 4283 | 2245 | 2246 |
| Shade-tolerant | ||||||
| Aextoxicon punctatum | 1435 | 5856 | 1134 | 3009 | 301 | 162 |
| Amomyrtus luma | 625 | 5046 | 1551 | 6088 | 579 | 949 |
| Amomyrtus meli | 2338 | 4074 | 1690 | 3796 | 532 | 301 |
| Laureliopsis philippiana | 463 | 880 | 486 | 694 | 162 | 185 |
| Lomatia ferruginea | 2245 | 3032 | 1968 | 3843 | 648 | 486 |
| Myrceugenia planipes | 1644 | 3009 | 1296 | 2685 | 139 | 347 |
| Persea lingue | 1481 | 509 | 1736 | 671 | 46 | 69 |
| Raukaua laetevirens | 0 | 370 | 463 | 648 | 23 | 23 |
| Rhaphithamnus spinosus | 139 | 370 | 69 | 301 | 23 | 23 |
| Other species ** | 6 | 116 | 23 | 93 | 23 | 0 |
| Sub-total | 10,439 | 23,262 | 10,416 | 21,828 | 2476 | 2545 |
| N (Trees Per ha) | Basal Area (m2 ha−1) | Volume (m3 ha−1) | ||||||
|---|---|---|---|---|---|---|---|---|
| Site | Plot | Treatment | 2012 (Before) | 2013 (After) | 2012 (Before) | 2013 (After) | 2012 (Before) | 2013 (After) |
| LL | P1 | LRBA | 1360 | 1331 | 49.7 | 41.3 | 369.7 | 278.3 |
| P3 | LRBA | 1640 | 1532 | 68.3 | 41.4 | 542.8 | 371.12 | |
| P5 | LRBA | 1241 | 1136 | 62.9 | 38.7 | 550.5 | 327.6 | |
| P7 | LRBA | 1619 | 1426 | 73.3 | 43.4 | 563.3 | 342.7 | |
| Mean ± standard deviation | 1465 ± 196 | 1356 ± 168 | 63.6 ± 10.2 | 41.2 ± 1.9 | 506.6 ± 91.6 | 329.9 ± 38.9 | ||
| LR | P2 | LRBA | 1681 | 1244 | 64.4 | 39.9 | 448.7 | 273.0 |
| P3 | LRBA | 1526 | 1277 | 50.7 | 42.4 | 348.6 | 291.6 | |
| P4 | LRBA | 1411 | 924 | 88.0 | 42.7 | 659.3 | 301.6 | |
| P7 | LRBA | 1966 | 1665 | 58.3 | 44.9 | 397.0 | 295.3 | |
| Mean ± standard deviation | 1646 ± 240 | 1277 ± 303 | 65.4 ± 16.1 | 42.0 ± 2.0 | 463.4 ± 136.8 | 290.4 ± 12.3 | ||
| LL | P2 | HRBA | 2085 | 2016 | 75.6 | 59.4 | 595.9 | 508.5 |
| P4 | HRBA | 1355 | 1263 | 97.5 | 59.9 | 735.0 | 477.1 | |
| P6 | HRBA | 1608 | 1568 | 58.9 | 53.0 | 445.4 | 401.9 | |
| P8 | HRBA | 1519 | 1448 | 81.2 | 60.6 | 653.0 | 511.6 | |
| Mean ± standard deviation | 1641 ± 313 | 1574 ± 320 | 78.3 ± 15.9 | 58.2 ± 3.5 | 607.3 ± 122.1 | 474.8 ± 51 | ||
| LR | P1 | HRBA | 1688 | 1045 | 84.1 | 62.2 | 593.2 | 435.0 |
| P5 | HRBA | 1804 | 1378 | 86.3 | 58.6 | 627.6 | 435.5 | |
| P6 | HRBA | 1556 | 1158 | 97.0 | 61.0 | 691.3 | 432.0 | |
| P8 | HRBA | 1332 | 1011 | 97.0 | 61.6 | 634.1 | 399.5 | |
| Mean ± standard deviation | 1595 ± 203 | 1148 ± 166 | 91.1 ± 6.9 | 60.9 ± 1.6 | 636.6 ± 40.7 | 425.5 ± 17.4 | ||
© 2020 by the authors. Licensee MDPI, Basel, Switzerland. This article is an open access article distributed under the terms and conditions of the Creative Commons Attribution (CC BY) license (http://creativecommons.org/licenses/by/4.0/).
Share and Cite
Donoso, P.J.; Ojeda, P.F.; Schnabel, F.; Nyland, R.D. Initial Responses in Growth, Production, and Regeneration following Selection Cuttings in Hardwood-Dominated Temperate Rainforests in Chile. Forests 2020, 11, 412. https://doi.org/10.3390/f11040412
Donoso PJ, Ojeda PF, Schnabel F, Nyland RD. Initial Responses in Growth, Production, and Regeneration following Selection Cuttings in Hardwood-Dominated Temperate Rainforests in Chile. Forests. 2020; 11(4):412. https://doi.org/10.3390/f11040412
Chicago/Turabian StyleDonoso, Pablo J., Patricio F. Ojeda, Florian Schnabel, and Ralph D. Nyland. 2020. "Initial Responses in Growth, Production, and Regeneration following Selection Cuttings in Hardwood-Dominated Temperate Rainforests in Chile" Forests 11, no. 4: 412. https://doi.org/10.3390/f11040412
APA StyleDonoso, P. J., Ojeda, P. F., Schnabel, F., & Nyland, R. D. (2020). Initial Responses in Growth, Production, and Regeneration following Selection Cuttings in Hardwood-Dominated Temperate Rainforests in Chile. Forests, 11(4), 412. https://doi.org/10.3390/f11040412

